Study of Condensation during Direct Contact between Steam and Water in Pressure-Relief Tank
Abstract
1. Introduction
2. Physical and Numerical Models
2.1. Geometry Model
2.2. Numerical Model
2.2.1. Equations of the Mixture Model
- (1)
- Continuity Equation
- (2)
- Momentum equation
- (3)
- Energy equation
2.2.2. Interphase Interaction Model
2.3. Operating Conditions
- (a)
- The water volume of the pressure-relief tank can receive 110% of the steam volume of the normal steam chamber of the regulator at any given time.
- (b)
- After the condensation of all the steam received, the water temperature and pressure in the tank should not exceed 100 °C and 0.6 MPa, respectively. Furthermore, the water level and temperature in the pressure-relief tank should be restored to normal values prior to receiving steam within 90 min.
- (c)
- The shape of the pressure-relief tube and design of the closing hole should ensure that the steam condenses in the water space of the pressure-relief tank and that no high-temperature steam directly enters the gas space of the pressure-relief tank.
2.3.1. Conditions for Steady-State Analogue Inputs
Calculation Area Selection
Meshing
Boundary Conditions and Calculation Control
2.3.2. Simulation of Transient Conditions
Calculation Area Selection
Meshing
Boundary Conditions and Calculation Control
Equilibrium State Analysis
- (1)
- Parameter input
- (2)
- Calculation method
3. Results and Discussion
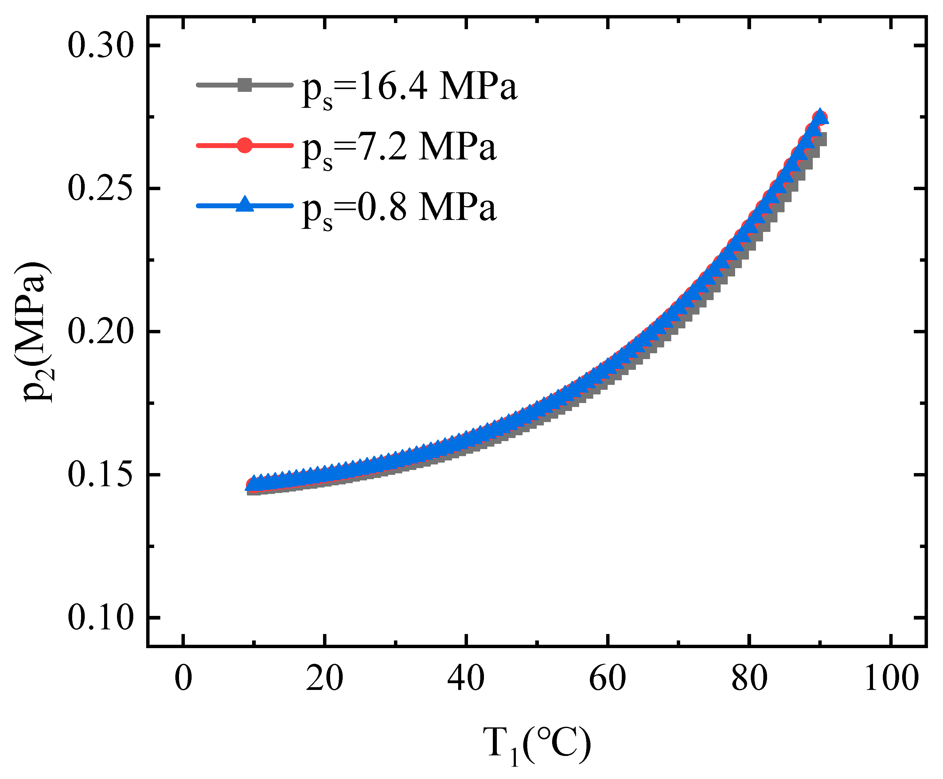
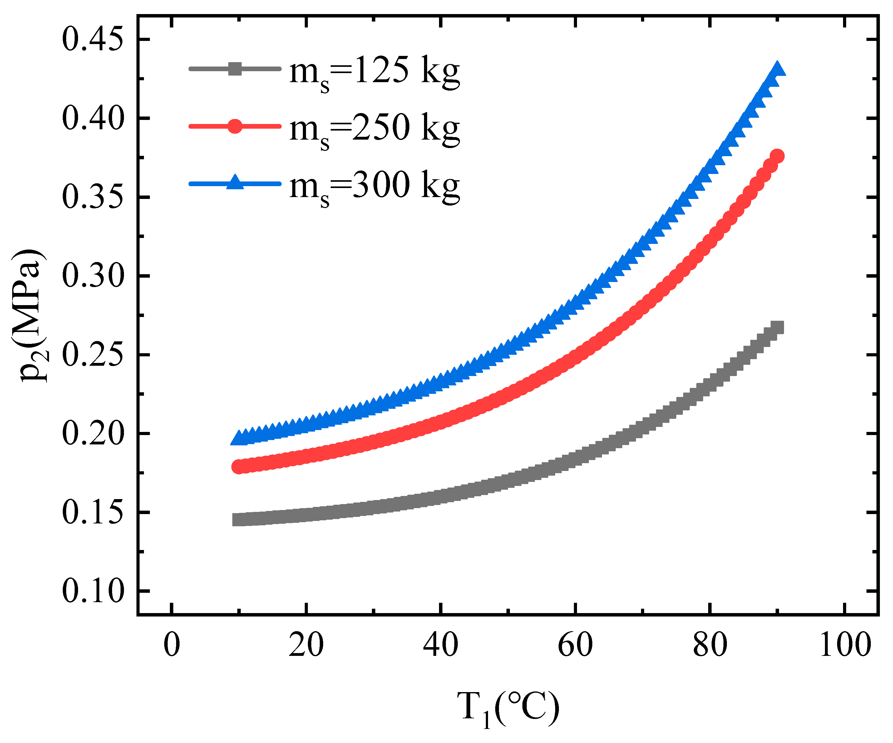
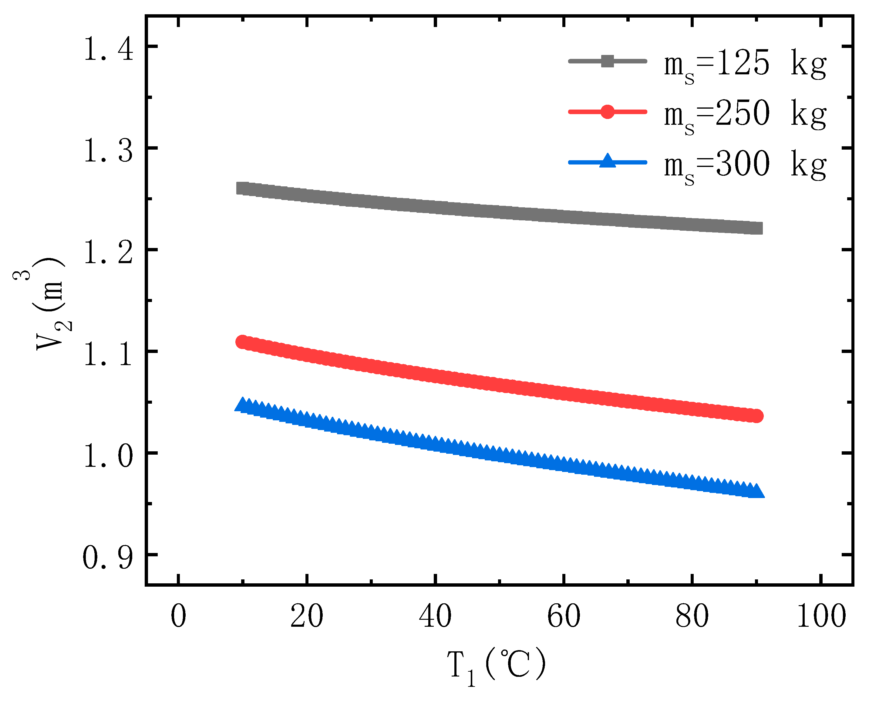
3.1. Analysis of the Steady-State Simulation Results
3.2. Analysis of Transient Results
4. Conclusions
Author Contributions
Funding
Data Availability Statement
Conflicts of Interest
References
- Versteeg, H.K.; Malalasekera, W. An Introduction to Computational Fluid Dynamics; Pearson Education: London, UK, 1995. [Google Scholar]
- Sundén, B. Introduction to Heat Transfer. Appl. Mech. Rev. 2012, 55, B37–B38. [Google Scholar]
- Tao, W. Numerical Heat Transfer; Xi’an Jiaotong University Press: Xi’an, China, 2001. [Google Scholar]
- Kim, H.Y.; Bae, Y.Y.; Song, C.H.; Park, J.K.; Choi, S.M. Experimental study on stable steam condensation in a quenching tank. Int. J. Energy Res. 2001, 25, 239–252. [Google Scholar] [CrossRef]
- Wang, J.; Chen, L.; Cai, Q.; Hu, C.; Wang, C. Direct contact condensation of steam jet in subcooled water: A review. Nucl. Eng. Design 2021, 377, 111142. [Google Scholar] [CrossRef]
- Xu, Q.; Guo, L.; Zou, S.; Chen, J.; Zhang, X. Experimental study on direct contact condensation of stable steam jet in water flow in a vertical pipe. Int. J. Heat Mass Transfer 2013, 66, 808–817. [Google Scholar] [CrossRef]
- Gulawani, S.S.; Joshi, J.B.; Shah, M.S.; RamaPrasad, C.S.; Shukla, D.S. CFD analysis of flow pattern and heat transfer in direct contact steam condensation. Chem. Eng. Sci. 2006, 61, 5204–5220. [Google Scholar] [CrossRef]
- Zhou, Y.; Liu, J.; Mo, Y.; Chen, W.; Xiao, Q.; Li, Y.; Yan, J. Numerical simulation on the direct contact condensation in a steam-water two-phase ejector with non-condensable gas. Int. J. Therm. Sci. 2023, 185, 108030. [Google Scholar] [CrossRef]
- Jiang, B.; Jiang, Y.; Gu, H.; Chen, Y.; Wu, J. Numerical Study of Steam–CO2 Mixture Condensation over a Flat Plate Based on the Solubility of CO2. Appl. Sci. 2023, 13, 5747. [Google Scholar] [CrossRef]
- Patel, G.; Tanskanen, V.; Kyrki-Rajamäki, R. Numerical modelling of low-Reynolds number direct contact condensation in a suppression pool test facility. Ann. Nucl. Energy 2014, 71, 376–387. [Google Scholar] [CrossRef]
- Tanskanen, V.; Jordan, A.; Puustinen, M.; Kyrki-Rajamäki, R. CFD simulation and pattern recognition analysis of the chugging condensation regime. Ann. Nucl. Energy 2014, 66, 133–143. [Google Scholar] [CrossRef]
- Jeon, S.-S.; Kim, S.-J.; Park, G.-C. Numerical study of condensing bubble in subcooled boiling flow using volume of fluid model. Chem. Eng. Sci. 2011, 66, 5899–5909. [Google Scholar] [CrossRef]
- Li, S.Q.; Wang, P.; Lu, T. Numerical simulation of direct contact condensation of subsonic steam injected in a water pool using VOF method and LES turbulence model. Prog. Nucl. Energy 2015, 78, 201–215. [Google Scholar] [CrossRef]
- Chen, S.; Song, C.H.; Park, C.K.; Yang, S.K.; Chung, M.K. Experimental study on dynamic pressure pulse in direct contact condensation of steam discharging into subcooled water. In Proceedings of the 1st Korea-Japan Symposium on Nuclear Thermal Hydraulics and Safety (NTHAS1), Pusan, Republic of Korea, 8 October 1998; pp. 291–298. [Google Scholar]
- Brackbill, J.U.; Kothe, D.B.; Zemach, C. A Continuum Method for Modeling Surface Tension; Academic Press: Cambridge, MA, USA, 1992; Volume 100. [Google Scholar]

























| Number of mesh elements | 650,746 | 1,306,424 | 2,606,234 | 3,411,695 |
| Inlet mass flow | Calculation divergence | 0.5643 kg/s | 0.5732 kg/s | 0.5745 kg/s |
Disclaimer/Publisher’s Note: The statements, opinions and data contained in all publications are solely those of the individual author(s) and contributor(s) and not of MDPI and/or the editor(s). MDPI and/or the editor(s) disclaim responsibility for any injury to people or property resulting from any ideas, methods, instructions or products referred to in the content. |
© 2024 by the authors. Licensee MDPI, Basel, Switzerland. This article is an open access article distributed under the terms and conditions of the Creative Commons Attribution (CC BY) license (https://creativecommons.org/licenses/by/4.0/).
Share and Cite
Yin, S.; Wang, Y.; Yuan, Y.; Li, B. Study of Condensation during Direct Contact between Steam and Water in Pressure-Relief Tank. Energies 2024, 17, 2772. https://doi.org/10.3390/en17112772
Yin S, Wang Y, Yuan Y, Li B. Study of Condensation during Direct Contact between Steam and Water in Pressure-Relief Tank. Energies. 2024; 17(11):2772. https://doi.org/10.3390/en17112772
Chicago/Turabian StyleYin, Shasha, Yingjie Wang, Yuan Yuan, and Bei Li. 2024. "Study of Condensation during Direct Contact between Steam and Water in Pressure-Relief Tank" Energies 17, no. 11: 2772. https://doi.org/10.3390/en17112772
APA StyleYin, S., Wang, Y., Yuan, Y., & Li, B. (2024). Study of Condensation during Direct Contact between Steam and Water in Pressure-Relief Tank. Energies, 17(11), 2772. https://doi.org/10.3390/en17112772
