An Intelligent Regression-Based Approach for Predicting a Geothermal Heat Exchanger’s Behavior in a Bioclimatic House Context
Abstract
1. Introduction
2. Case of Study
2.1. Sotavento Bioclimatic House
- Solar thermal system: The solar panels absorb energy from the solar radiation and heat the fluid of the primary circuit. Then, this fluid is fed into a solar accumulator.
- Biomass boiler system: a biomass boiler with a pellet yield of 90% provides hot water to the inertial accumulator, ensuring an internal temperature of around 63 °C.
- Geothermal system: It combines a ground source heat pump and a horizontal heat exchanger. The heat exchanger consists of several pipes arranged horizontally at depth of 2 m. The warm water from the heat pump is driven directly to the inertial accumulator.
2.2. Geothermal Heat Pump and Horizontal Heat Exchanger
2.3. Dataset Description
- date-time (yyyy-mm-dd hh:mm): date-time for the corresponding observation.
- Tin (°C): return temperature of the horizontal heat exchanger circuit to the heat pump.
- Tout (°C): output temperature from the heat pump to the heat exchanger circuit.
- Tref (°C): reference temperature of the ground.
- c1sn (°C): temperature sensor n for horizontal heat exchanger circuit 1.
- Pavg (W): output thermal power of the heat pump, averaged over 10 min.
2.4. Data Preparation
3. Methods
3.1. Correlation Analysis
3.2. Regression Techniques
3.2.1. Recursive Least Squares Regressor
3.2.2. K-Nearest Neighbors
3.2.3. Decision Tree Regressor
3.2.4. Random Forest Regressor
3.2.5. Polynomial Regression
3.2.6. Support Vector Regression
3.2.7. Multilayer Perceptron
3.3. Statistical Analysis
4. Experiments and Results
4.1. Experiment Setup
4.1.1. Regression Techniques
Recursive Least Squares Regressor
K-Nearest Neighbors
Decision Tree Regressor
Random Forest Regressor
Polynomial Regression
Support Vector Regression
Multilayer Perceptron
4.1.2. Model Evaluation
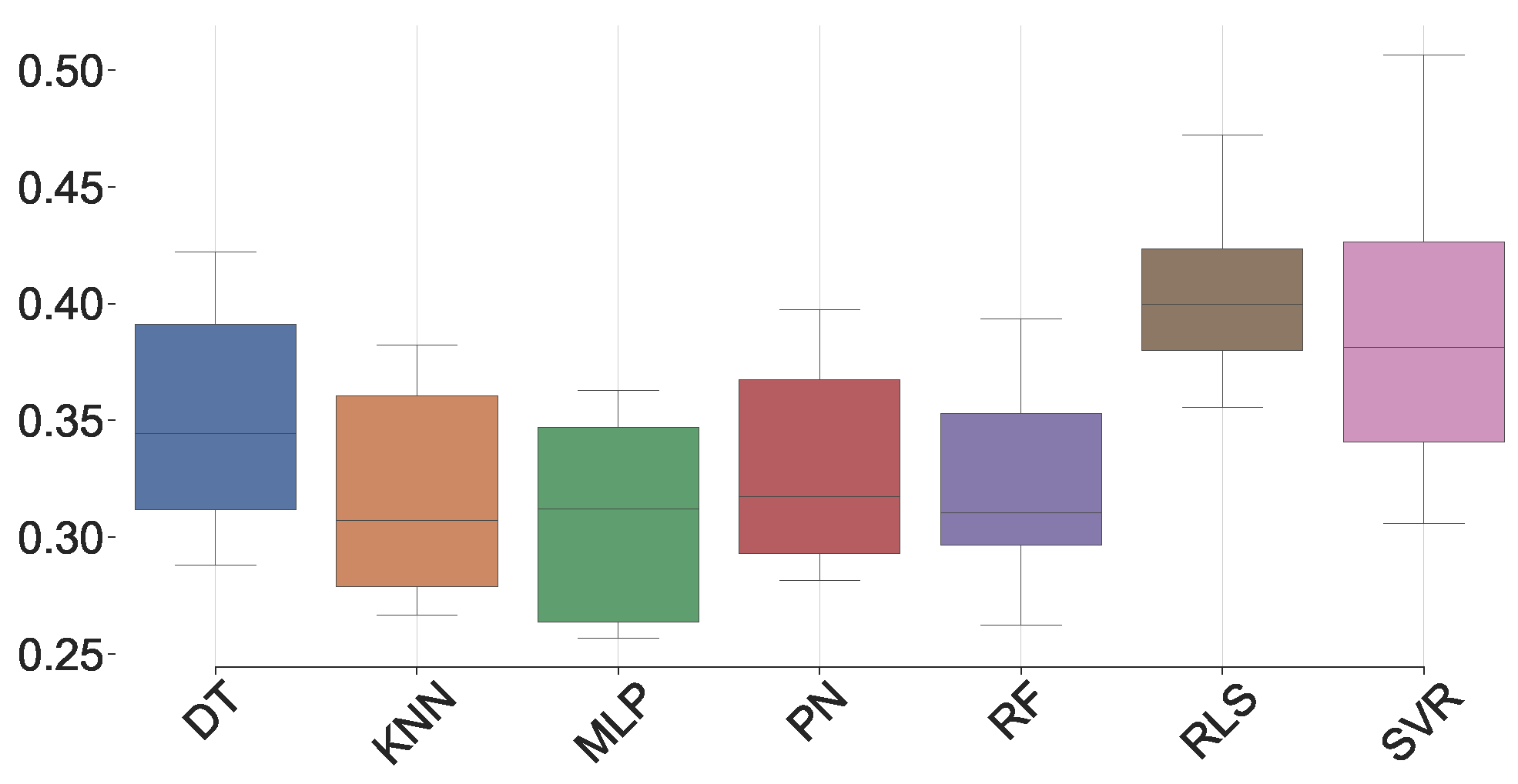
4.2. Results
4.2.1. Correlation Analysis
4.2.2. Regression Techniques Results
5. Conclusions and Future Work
Author Contributions
Funding
Data Availability Statement
Conflicts of Interest
Abbreviations
| ANN | Artificial Neural Network |
| ARIMA | AutorRegressive Integrated Moving Average |
| DHW | Domestic Hot Water |
| DT | Decision Tree |
| GRU | Gated Recurrent Units |
| HSD | Honestly Significant Difference |
| KNN | K-Nearest Neighbors |
| LSTM | Long Short-Term Memory |
| MAE | Mean Absolute Error |
| ML | Machine Learning |
| MLP | MultiLayer Perceptron |
| MSE | Mean Squared Error |
| RBF | Radial Basis Function |
| ReLU | Rectified Linear Unit |
| RF | Random Forest |
| RLS | Recursive Least Squares |
| R2 | Coefficient of Determination |
| SMAPE | Symmetric Mean Absolute Percentage Error |
| SVM | Support Vector Machine |
| SVR | Support Vector Regression |
References
- Costantini, V.; Morando, V.; Olk, C.; Tausch, L. Fuelling the Fire: Rethinking European Policy in Times of Energy and Climate Crises. Energies 2022, 15, 7781. [Google Scholar] [CrossRef]
- Lund, J.W.; Toth, A.N. Direct utilization of geothermal energy 2020 worldwide review. Geothermics 2021, 90, 101915. [Google Scholar] [CrossRef]
- Hemeida, M.G.; Hemeida, A.M.; Senjyu, T.; Osheba, D. Renewable energy resources technologies and life cycle assessment. Energies 2022, 15, 9417. [Google Scholar] [CrossRef]
- Dickson, M.H.; Fanelli, M. Geothermal Energy: Utilization and Technology; Routledge: London, UK, 2013. [Google Scholar]
- Ozgener, L.; Ozgener, O. Monitoring of energy exergy efficiencies and exergoeconomic parameters of geothermal district heating systems (GDHSs). Appl. Energy 2009, 86, 1704–1711. [Google Scholar] [CrossRef]
- Anderson, A.; Rezaie, B. Geothermal technology: Trends and potential role in a sustainable future. Appl. Energy 2019, 248, 18–34. [Google Scholar] [CrossRef]
- Shortall, R.; Davidsdottir, B.; Axelsson, G. Geothermal energy for sustainable development: A review of sustainability impacts and assessment frameworks. Renew. Sustain. Energy Rev. 2015, 44, 391–406. [Google Scholar] [CrossRef]
- Omer, A.M. Ground-source heat pumps systems and applications. Renew. Sustain. Energy Rev. 2008, 12, 344–371. [Google Scholar] [CrossRef]
- Jenssen, T. Glances at Renewable and Sustainable Energy; Springer: Berlin/Heidelberg, Germany, 2013. [Google Scholar]
- Hou, G.; Taherian, H.; Song, Y.; Jiang, W.; Chen, D. A systematic review on optimal analysis of horizontal heat exchangers in ground source heat pump systems. Renew. Sustain. Energy Rev. 2022, 154, 111830. [Google Scholar] [CrossRef]
- Florides, G.; Kalogirou, S. Ground heat exchangers—A review of systems, models and applications. Renew. Energy 2007, 32, 2461–2478. [Google Scholar] [CrossRef]
- Rezaei, A.; Kolahdouz, E.M.; Dargush, G.F.; Weber, A.S. Ground source heat pump pipe performance with tire derived aggregate. Int. J. Heat Mass Transf. 2012, 55, 2844–2853. [Google Scholar] [CrossRef]
- Ozgener, O.; Ozgener, L. Modeling of driveway as a solar collector for improving efficiency of solar assisted geothermal heat pump system: A case study. Renew. Sustain. Energy Rev. 2015, 46, 210–217. [Google Scholar] [CrossRef]
- Ozgener, O.; Ozgener, L.; Goswami, D.Y. Experimental prediction of total thermal resistance of a closed loop EAHE for greenhouse cooling system. Int. Commun. Heat Mass Transf. 2011, 38, 711–716. [Google Scholar] [CrossRef]
- Aláiz-Moretón, H.; Castejón-Limas, M.; Casteleiro-Roca, J.L.; Jove, E.; Fernández Robles, L.; Calvo-Rolle, J.L. A fault detection system for a geothermal heat exchanger sensor based on intelligent techniques. Sensors 2019, 19, 2740. [Google Scholar] [CrossRef] [PubMed]
- Esen, H.; Inalli, M.; Sengur, A.; Esen, M. Performance prediction of a ground-coupled heat pump system using artificial neural networks. Expert Syst. Appl. 2008, 35, 1940–1948. [Google Scholar] [CrossRef]
- Yan, L.; Hu, P.; Li, C.; Yao, Y.; Xing, L.; Lei, F.; Zhu, N. The performance prediction of ground source heat pump system based on monitoring data and data mining technology. Energy Build. 2016, 127, 1085–1095. [Google Scholar] [CrossRef]
- Lu, S.; Li, Q.; Bai, L.; Wang, R. Performance predictions of ground source heat pump system based on random forest and back propagation neural network models. Energy Convers. Manag. 2019, 197, 111864. [Google Scholar] [CrossRef]
- Shin, J.H.; Cho, Y.H. Machine-learning-based coefficient of performance prediction model for heat pump systems. Appl. Sci. 2021, 12, 362. [Google Scholar] [CrossRef]
- Xu, X.; Liu, J.; Wang, Y.; Xu, J.; Bao, J. Performance evaluation of ground source heat pump using linear and nonlinear regressions and artificial neural networks. Appl. Therm. Eng. 2020, 180, 115914. [Google Scholar] [CrossRef]
- Baruque, B.; Porras, S.; Jove, E.; Calvo-Rolle, J.L. Geothermal heat exchanger energy prediction based on time series and monitoring sensors optimization. Energy 2019, 171, 49–60. [Google Scholar] [CrossRef]
- Ivanov, A.; Bezyayev, A.; Gazin, A. Simplification of Statistical Description of Quantum Entanglement of Multidimensional Biometric Data Using Symmetrization of Paired Correlation Matrices. J. Comput. Eng. Math. 2017, 4, 3–13. [Google Scholar] [CrossRef]
- Engel, Y.; Mannor, S.; Meir, R. The kernel recursive least-squares algorithm. IEEE Trans. Signal Process. 2004, 52, 2275–2285. [Google Scholar] [CrossRef]
- Weinberger, K.Q.; Saul, L.K. Distance metric learning for large margin nearest neighbor classification. J. Mach. Learn. Res. 2009, 10, 207–244. [Google Scholar]
- Imandoust, S.B.; Bolandraftar, M. Application of k-nearest neighbor (knn) approach for predicting economic events: Theoretical background. Int. J. Eng. Res. Appl. 2013, 3, 605–610. [Google Scholar]
- Czajkowski, M.; Kretowski, M. The role of decision tree representation in regression problems – An evolutionary perspective. Appl. Soft Comput. 2016, 48, 458–475. [Google Scholar] [CrossRef]
- Athey, S.; Tibshirani, J.; Wager, S. Generalized random forests. Ann. Stat. 2019, 47, 1148–1178. [Google Scholar] [CrossRef]
- Ostertagová, E. Modelling using polynomial regression. Procedia Eng. 2012, 48, 500–506. [Google Scholar] [CrossRef]
- Awad, M.; Khanna, R.; Awad, M.; Khanna, R. Support vector regression. In Efficient Learning Machines: Theories, Concepts, and Applications for Engineers and System Designers; Apress: Berkeley, CA, USA, 2015; pp. 67–80. [Google Scholar]
- Popescu, M.C.; Balas, V.E.; Perescu-Popescu, L.; Mastorakis, N. Multilayer perceptron and neural networks. WSEAS Trans. Circuits Syst. 2009, 8, 579–588. [Google Scholar]
- Ostertagová, E.; Ostertag, O.; Kováč, J. Methodology and Application of the Kruskal-Wallis Test. Appl. Mech. Mater. 2014, 611, 115–120. [Google Scholar] [CrossRef]
- Abdi, H.; Williams, L.J. Tukey’s honestly significant difference (HSD) test. Encycl. Res. Des. 2010, 3, 1–5. [Google Scholar]









| Metric | Definition | Equation |
|---|---|---|
| MSE | Mean Squared Error | |
| MAE | Mean Absolute Error | |
| SMAPE | Symmetric Mean Absolute Percentage Error | |
| Coefficient of Determination |
| Technique | Hyperparameter | Value |
|---|---|---|
| RLS | Independent term | Calculated |
| Positive coefficient | Not forced | |
| KNN | Number of neighbors | 13 |
| Weight function | Uniform | |
| DT | Maximum diagram depth | 6 |
| Criterion | Squared error | |
| RF | Number of trees | 6 |
| Maximum diagram depth | 7 | |
| Criterion | Squared error | |
| PN | Maximum degree | 7 |
| Independent term | True | |
| SVR | Kernel | Radial basis function |
| Regularization coefficient | 10 | |
| Epsilon | 0.1 | |
| MLP | Number of hidden neurons | 15 |
| Activation function | Sigmoid |
| Technique | MSE (°C2) | MAE (°C) | SMAPE (%) | |
|---|---|---|---|---|
| RLS | 0.4067 | 0.4970 | 5.6826 | 0.9086 |
| KNN | 0.3189 | 0.3880 | 4.4308 | 0.9283 |
| DT | 0.3506 | 0.4114 | 4.7063 | 0.9213 |
| RF | 0.3222 | 0.3884 | 4.4528 | 0.9276 |
| PN | 0.3288 | 0.4052 | 4.6277 | 0.9261 |
| SVR | 0.3886 | 0.3454 | 3.9456 | 0.9125 |
| MLP | 0.3080 | 0.3918 | 4.5197 | 0.9308 |
| Technique 1 | Technique 2 | p-Value |
|---|---|---|
| KNN | RLS | 0.0078 |
| MLP | RLS | 0.0018 |
| PN | RLS | 0.0261 |
| RF | RLS | 0.012 |
| MLP | SVR | 0.0171 |
| Technique | MSE (°C2) | MAE (°C) | SMAPE (%) | |
|---|---|---|---|---|
| RLS | 0.4192 | 0.5079 | 5.8002 | 0.9027 |
| KNN | 0.3161 | 0.3845 | 4.4054 | 0.9266 |
| DT | 0.3579 | 0.4271 | 4.8597 | 0.9169 |
| RF | 0.3298 | 0.4030 | 4.5833 | 0.9234 |
| PN | 0.3388 | 0.4189 | 4.7596 | 0.9214 |
| SVR | 0.3981 | 0.3520 | 3.9778 | 0.9076 |
| MLP | 0.3887 | 0.4204 | 4.6589 | 0.9308 |
Disclaimer/Publisher’s Note: The statements, opinions and data contained in all publications are solely those of the individual author(s) and contributor(s) and not of MDPI and/or the editor(s). MDPI and/or the editor(s) disclaim responsibility for any injury to people or property resulting from any ideas, methods, instructions or products referred to in the content. |
© 2024 by the authors. Licensee MDPI, Basel, Switzerland. This article is an open access article distributed under the terms and conditions of the Creative Commons Attribution (CC BY) license (https://creativecommons.org/licenses/by/4.0/).
Share and Cite
Díaz-Longueira, A.; Rubiños, M.; Arcano-Bea, P.; Calvo-Rolle, J.L.; Quintián, H.; Zayas-Gato, F. An Intelligent Regression-Based Approach for Predicting a Geothermal Heat Exchanger’s Behavior in a Bioclimatic House Context. Energies 2024, 17, 2706. https://doi.org/10.3390/en17112706
Díaz-Longueira A, Rubiños M, Arcano-Bea P, Calvo-Rolle JL, Quintián H, Zayas-Gato F. An Intelligent Regression-Based Approach for Predicting a Geothermal Heat Exchanger’s Behavior in a Bioclimatic House Context. Energies. 2024; 17(11):2706. https://doi.org/10.3390/en17112706
Chicago/Turabian StyleDíaz-Longueira, Antonio, Manuel Rubiños, Paula Arcano-Bea, Jose Luis Calvo-Rolle, Héctor Quintián, and Francisco Zayas-Gato. 2024. "An Intelligent Regression-Based Approach for Predicting a Geothermal Heat Exchanger’s Behavior in a Bioclimatic House Context" Energies 17, no. 11: 2706. https://doi.org/10.3390/en17112706
APA StyleDíaz-Longueira, A., Rubiños, M., Arcano-Bea, P., Calvo-Rolle, J. L., Quintián, H., & Zayas-Gato, F. (2024). An Intelligent Regression-Based Approach for Predicting a Geothermal Heat Exchanger’s Behavior in a Bioclimatic House Context. Energies, 17(11), 2706. https://doi.org/10.3390/en17112706

