Assessing the Impact of Climate Changes, Building Characteristics, and HVAC Control on Energy Requirements under a Mediterranean Climate
Abstract
1. Introduction
1.1. Overview
- ▪
- RCP 2.6 (stringent mitigation scenario): it assumes substantial and sustained reductions in GHGs emissions, representing a world where global efforts effectively limit climate change.
- ▪
- RCP 4.5 (intermediate scenario): moderately reduced GHGs emissions reveal a future with some mitigation measures but are not as stringent as RCP 2.6.
- ▪
- RCP 6.0 (intermediate scenario): it involves intermediate emission reductions and considers a world where climate action is taken, but not to the same extent as RCP 4.5.
- ▪
- RCP 8.5 (high emissions scenario): it represents a future with very limited climate policies and very high global emissions of radiatively active substances, promoting a substantial environmental impact.
1.2. State of the Art
1.3. Objectives and Scope
2. Research Objects
2.1. Buildings’ Main Characteristics and Occupancy
- -
- Across all buildings, occupancy and operating profiles vary based on the time of day, the day of the week, and the week of the year;
- -
- When a building is unoccupied, the Heating, Ventilation, and Air Conditioning (HVAC) system remains off, and the lighting systems are either turned off or operate at very low power;
- -
- Residential buildings are assumed to be unoccupied during the first fifteen days of August and permanently occupied during the remaining days of the year, by four people on Saturdays and Sundays, and between 6 P.M. and 8 A.M. on weekdays (Mondays to Fridays) and by one person the rest of the time;
- -
- The clinic operates continuously throughout the year, with higher occupancy intensity between 8 A.M. and 8 P.M. on weekdays and on Saturdays;
- -
- The school is only occupied between 8 A.M. and 6 P.M. on weekdays, it remains closed on Saturdays and Sundays and its operation follows the Portuguese academic calendar, so it operates at 100% during regular school periods; at 50% during the 1st examination phase (15–30 June); at 25% during the 2nd examination phase (1–15 July); at 25% during admission phase (16–31 July); and is closed during school holidays (the first 15 days of April, 1 to 31 August, and the last 15 days of December);
- -
- The bank branch operates every weekday of the year and is occupied between 8 A.M. and 6 P.M., and it remains closed on Saturdays and Sundays;
- -
- The supermarket operates every day of the year and it is occupied between 8 A.M. and 10 P.M., but with more intense activity on Saturdays and Sundays.
2.2. Opaque Elements of Buildings’ Envelope
2.3. Glazing Elements
2.4. External Fixed Shading Elements
2.5. Heating, Ventilation, and Air Conditioning System
3. Methods and Conditions
3.1. Calculation Tool
3.2. Control of the Climatization System Operation
3.3. Climate Scenarios
4. Results and Discussion
4.1. Optimal Thermal Insulation Thickness and External Shade Lengths
4.2. Energy Demands for Heating and for Cooling
4.3. Energy Consumption by the HVAC System
4.4. Influence of HVAC System Type of Control
5. Conclusions
Author Contributions
Funding
Data Availability Statement
Conflicts of Interest
References
- IPCC. Climate Change 2022: Mitigation of Climate Change. Working Group III Contribution to the Sixth Assessment Report of the Intergovernmental Panel on Climate Change; Cambridge University Press: Cambridge, UK, 2022; Available online: https://www.ipcc.ch/report/sixth-assessment-report-working-group-3/ (accessed on 15 September 2023).
- UNEP—United Nations Environment Programme. Emissions Gap Report 2022: The Closing Window—Climate Crisis Calls for Rapid Transformation of Societies; United Nations Environment Programme: Nairobi, Kenya, 2022; Available online: https://www.unep.org/resources/emissions-gap-report-2022 (accessed on 20 September 2022).
- IPCC. Climate Change 1995: The Science of Climate Change. Contribution of Working Group I to the Second Assessment Report of the Intergovernmental Panel on Climate Change; Cambridge University Press: Cambridge, UK, 1996; 572p, Available online: https://www.ipcc.ch/site/assets/uploads/2018/02/ipcc_sar_wg_I_full_report.pdf (accessed on 13 September 2023).
- IPCC. Emissions Scenarios. Special Report of Working Group III of the Intergovernmental Panel on Climate Change; Cambridge University Press: Cambridge, UK, 2000; 599p, Available online: https://archive.ipcc.ch/pdf/special-reports/emissions_scenarios.pdf (accessed on 11 September 2023).
- IPCC. Climate Change 2014: Mitigation of Climate Change. Contribution of Working Group III to the Fifth Assessment Report of the Intergovernmental Panel on Climate Change; Cambridge University Press: Cambridge, UK, 2014; Available online: https://www.ipcc.ch/report/ar5/wg3/ (accessed on 12 September 2023).
- Salimi, S.; Hammad, A. Optimizing energy consumption and occupants comfort in open-plan offices using local control based on occupancy dynamic data. Build. Environ. 2020, 176, 106818. [Google Scholar] [CrossRef]
- Raimundo, A.M.; Oliveira, A.V.M. Analyzing thermal comfort and related costs in buildings under Portuguese temperate climate. Build. Environ. 2022, 219, 109238. [Google Scholar] [CrossRef]
- Frontczak, M.; Wargocki, P. Literature survey on how different factors influence human comfort in indoor environments. Build. Environ. 2011, 46, 922–937. [Google Scholar] [CrossRef]
- Hoyt, T.; Arens, E.; Zhang, H. Extending air temperature setpoints: Simulated energy savings and design considerations for new and retrofit buildings. Build. Environ. 2015, 88, 89–96. [Google Scholar] [CrossRef]
- Raimundo, A.M.; Sousa, A.M.; Oliveira, A.V.M. Assessment of energy, environmental and economic costs of buildings’ thermal insulation—Influence of type of use and climate. Buildings 2023, 13, 279. [Google Scholar] [CrossRef]
- Bamdad, K.; Cholette, M.E.; Omrani, S.; Bell, J. Future energy-optimised buildings—Addressing the impact of climate change on buildings. Energy Build. 2021, 23, 110610. [Google Scholar] [CrossRef]
- Congedo, P.M.; Baglivo, C.; Seyhan, A.K.; Marchetti, R. Worldwide dynamic predictive analysis of building performance under long-term climate change conditions. J. Build. Eng. 2021, 42, 103057. [Google Scholar] [CrossRef]
- Baglivo, C.; Congedo, P.M.; Murrone, G.; Lezzi, D. Long-term predictive energy analysis of a high-performance building in a mediterranean climate under climate change. Energy 2022, 238, 121641. [Google Scholar] [CrossRef]
- Jalali, Z.; Shamseldin, A.Y.; Ghaffarianhoseini, A. Impact assessment of climate change on energy performance and thermal load of residential buildings in New Zealand. Build. Environ. 2023, 243, 110627. [Google Scholar] [CrossRef]
- ASHRAE 55:2010; Thermal Environment Conditions for Human Occupancy. American Society of Heating, Refrigeration and Air Conditioning Engineers, Inc.: Peachtree Corners, GA, USA, 2010.
- ISO 7730:2005; Ergonomics of the Thermal Environment—Analytical Determination and Interpretation of Thermal Comfort Using Calculation of the PMV and PPD Indices. International Organization for Standardization: Geneva, Switzerland, 2005.
- Zampetti, L.; Arnesano, M.; Revel, G.M. Experimental testing of a system for the energy-efficient sub-zonal heating management in indoor environments based on PMV. Energy Build. 2018, 166, 229–238. [Google Scholar] [CrossRef]
- Xu, X.; Liu, W.; Lian, Z. Dynamic indoor comfort temperature settings based on the variation in clothing insulation and its energy-saving potential for an air conditioning system. Energy Build. 2020, 220, 110086. [Google Scholar] [CrossRef]
- Giorgi, F.; Lionello, P. Climate change projections for the Mediterranean region. Glob. Planet. Chang. 2008, 63, 90–104. [Google Scholar] [CrossRef]
- Raimundo, A.M.; Saraiva, N.B.; Oliveira, A.V.M. Thermal insulation cost optimality of opaque constructive solutions of buildings under Portuguese temperate climate. Build. Environ. 2020, 182, 107107. [Google Scholar] [CrossRef]
- Kolaitis, D.I.; Malliotakis, E.; Kontogeorgos, D.A.; Mandilaras, I.; Katsourinis, D.I.; Founti, M.A. Comparative assessment of internal and external thermal insulation systems for energy efficient retrofitting of residential buildings. Energy Build. 2013, 64, 123–131. [Google Scholar] [CrossRef]
- Lam, J.C.; Wan, K.K.W.; Tsang, C.L.; Yang, L. Building energy efficiency in different climates. Energy Convers. Manag. 2008, 49, 2354–2366. [Google Scholar] [CrossRef]
- McGraw-Hill Construction. Energy Efficiency Trends in Residential and Commercial Buildings; U.S. Department of Energy, Office of Energy Efficiency and Renewable Energy: Washington, DC, USA, 2010. Available online: https://www.energy.gov/sites/prod/files/2013/11/f5/building_trends_2010.pdf (accessed on 6 February 2019).
- Belcher, S.E.; Hacker, J.N.; Powell, D.S. Constructing design weather data for future climates. Build. Serv. Eng. Res. Technol. 2005, 26, 49–61. [Google Scholar] [CrossRef]
- Guan, L. Preparation of future weather data to study the impact of climate change on buildings. Build. Environ. 2009, 44, 793–800. [Google Scholar] [CrossRef]
- Larsen, M.A.D.; Petrovic, S.; Radoszynki, A.M.; McKenna, R.; Balyk, O. Climate change impacts on trends and extremes in future heating and cooling over Europe. Energy Build. 2020, 226, 110397. [Google Scholar] [CrossRef]
- Aguiar, R.; Oliveira, M.; Gonçalves, H. Climate change impacts on the thermal performance of Portuguese buildings. Results of the SIAM study. Build. Serv. Eng. Res. Technol. 2002, 23, 223–231. [Google Scholar] [CrossRef]
- Michałowski, B.; Marcinek, M.; Tomaszewska, J.; Czernik, S.; Piasecki, M.; Geryło, R.; Michalak, J. Influence of rendering type on the environmental characteristics of expanded polystyrene-based external thermal insulation composite system. Buildings 2020, 10, 47. [Google Scholar] [CrossRef]
- Grazieschi, G.; Asdrubali, F.; Thomas, G. Embodied energy and carbon of building insulating materials: A critical rewiew. Clean. Environ. Syst. 2021, 2, 100032. [Google Scholar] [CrossRef]
- Ounis, S.; Aste, N.; Butera, F.M.; Pero, C.D.; Leonforte, F.; Adhikari, R.S. Optimal balance between heating, cooling and environmental impacts: A method for appropriate assessment of building envelope’s U-value. Energies 2022, 15, 3570. [Google Scholar] [CrossRef]
- Wang, H.; Huang, Y.; Yang, L. Integrated economic and environmental assessment-based optimization design method of building roof thermal insulation. Buildings 2022, 12, 916. [Google Scholar] [CrossRef]
- Vasconcelos, A.B.; Pinheiro, M.D.; Manso, A.; Cabaço, A. EPBD cost-optimal methodology: Application to the thermal rehabilitation of the building envelope of a Portuguese residential reference building. Energy Build. 2016, 111, 12–25. [Google Scholar] [CrossRef]
- Raimundo, A.M.; Saraiva, N.B.; Dias, L.P.; Rebelo, A.C. Market-oriented cost-effectiveness and energy analysis of windows in Portugal. Energies 2021, 14, 3720. [Google Scholar] [CrossRef]
- Al-Masrani, S.M.; Al-Obaidi, K.M.; Zalin, N.A.; Isma, M.I.A. Design optimisation of solar shading systems for tropical office buildings: Challenges and future trends. Sol. Energy 2018, 170, 849–872. [Google Scholar] [CrossRef]
- Settino, J.; Carpino, C.; Perrella, S.; Arcuri, N. Multi-objective analysis of a fixed solar shading system in different climatic areas. Energies 2020, 13, 3249. [Google Scholar] [CrossRef]
- Alrasheed, M.; Mourshed, M. Domestic overheating risks and mitigation strategies: The state-of-the-art and directions for future research. Indoor Built Environ. 2023, 32, 1057–1077. [Google Scholar] [CrossRef]
- Shah, I.; Soh, B.; Lim, C.; Lau, S.-K.; Ghahramani, A. Thermal transfer and temperature reductions from shading systems on opaque facades: Quantifying the impacts of influential factors. Energy Build. 2023, 278, 112604. [Google Scholar] [CrossRef]
- European Commission. Consolidated text of Commission Delegated Regulation (EU) 626/2011 of 4 May 2011 supplementing Directive 2010/30/EU with regard to energy labelling of air conditioners. Off. J. Eur. Union 2011, L178, 1–72. Available online: https://eur-lex.europa.eu/legal-content/EN/TXT/?uri=CELEX%3A02011R0626-20200809 (accessed on 12 July 2018).
- ISO 13790:2008; Energy Performance of Buildings—Calculation of Energy Use for Space Heating and Cooling. International Organization for Standardization: Geneva, Switzerland, 2008.
- EN 16798-1:2019; Energy Performance of Buildings—Part 1: Indoor Environment Input Parameters for Design and Assessment of Energy Performance of Buildings Addressing Indoor Air Quality, Thermal Environment, Lighting and Acoustics. European Committee for Standardization: Brussels, Belgium, 2019.
- CCCMA. IPCC Experiments SRES B1 and SRES A2 with CGCM3.1/T47 for Years 2001–2100, Initialized from the End of the 20C3M Experiment. Canadian Centre for Climate Modelling and Analysis (2007). Available online: http://climate-modelling.canada.ca/data/cgcm3/cgcm3.shtml (accessed on 17 April 2020).
- Dylewski, R.; Adamczyk, J. Optimum thickness of thermal insulation with both economic and ecological costs of heating and cooling. Energies 2021, 14, 3835. [Google Scholar] [CrossRef]







| Apartment | Detached House | Clinic | High School | Bank Branch | Supermarket | |
|---|---|---|---|---|---|---|
| Np [persons] | 4 | 4 | 151 | 1100 | 12 | 194 |
| Nf [--] | 1 | 3 | 2 | 4 | 1 | 1 |
| Acl [m2] | 109.4 | 167.1 | 926.7 | 11,246.0 | 111.4 | 1035.3 |
| Agf [m2] | 141.6 | 212.6 | 1161.2 | 14,147.5 | 134.7 | 1176.1 |
| Ch [m] | 2.62 | 2.96 | 3.72 | 3.84 | 2.60 | 3.60 |
| Vol [m3] | 286.6 | 494.6 | 3447.3 | 43,184.6 | 316.2 | 3727.1 |
| Aopc [m2] | 58.6 | 343.4 | 743.4 | 22,703.8 | 181.0 | 2830.6 |
| Aglz [m2] | 21.3 | 49.7 | 192.8 | 2975.3 | 37.2 | 96.6 |
| AR [m−1] | 0.28 | 0.79 | 0.27 | 0.59 | 0.69 | 0.79 |
| EA [--] | 0.73 | 2.35 | 1.01 | 2.28 | 1.96 | 2.83 |
| GA [--] | 0.19 | 0.30 | 0.21 | 0.26 | 0.33 | 0.09 |
| Element | Description (from Outside to Inside) | Values |
|---|---|---|
| Wall | Traditional plaster with 2 cm, bored brick of 22 cm, not-ventilated air space with 1 cm, bored brick of 11 cm, traditional plaster with 2 cm | Thickness = 38 cm Mt = 150 kg/m2 U = 0.88 W/(m2 K) |
| Pillar/Beam | Traditional plaster with 2 cm, inert reinforced concrete (iron volume less than 1%) with 22 cm, not-ventilated air space of 1 cm, bored brick of 11 cm, traditional plaster with 2 cm | Thickness = 38 cm Mt = 150 kg/m2 U = 1.36 W/(m2 K) |
| Floor above outside | Traditional plaster with 2 cm, lightened slab of 38 cm, light-sand concrete of 7.5 cm, screed (mortar) of 5.5 cm, oak wood with 2 cm | Thickness = 55 cm Mt = 150 kg/m2 U = 1.17 W/(m2 K) |
| Ground floor | Waterproofing layer, lightened slab of 38 cm, light-sand concrete of 7.5 cm, screed (mortar) of 5.5 cm, oak wood with 2 cm | Thickness = 54 cm Mt = 150 kg/m2 U = 1.23 W/(m2 K) |
| Accessible roof | Mosaic tile with 1 cm, screed (mortar) of 5.5 cm, waterproofing of 3 mm, light-sand concrete of 7.5 cm, lightened slab of 38 cm, traditional plaster with 2 cm | Thickness = 55 cm Mt = 150 kg/m2 U = 1.39 W/(m2 K) |
| Not accessible roof | Sandstone (inert) with 4 cm (or ceramic tile), waterproofing of 3 mm, screed (mortar) of 4 cm, lightened slab of 23 cm, traditional plaster with 2 cm | Thickness = 33 cm Mt = 150 kg/m2 U = 2.40 W/(m2 K) |
| EPS Thickness [cm] | Thermal Transmission Coefficient—U [W/(m2 K)] | |||||
|---|---|---|---|---|---|---|
| Wall | Pillar/Beam | Floor above Outside | Ground Floor | Accessible Roof | Non-Accessible Roof | |
| 0 | 0.88 | 1.36 | 1.17 | 1.23 | 1.39 | 2.40 |
| 1 | 0.72 | 1.01 | 0.90 | 0.94 | 1.03 | 1.49 |
| 2 | 0.62 | 0.83 | 0.75 | 0.78 | 0.84 | 1.12 |
| 3 | 0.54 | 0.69 | 0.64 | 0.65 | 0.70 | 0.88 |
| 4 | 0.48 | 0.59 | 0.56 | 0.57 | 0.60 | 0.73 |
| 5 | 0.43 | 0.52 | 0.49 | 0.50 | 0.52 | 0.62 |
| 6 | 0.39 | 0.46 | 0.44 | 0.45 | 0.47 | 0.54 |
| 7 | 0.36 | 0.42 | 0.40 | 0.41 | 0.42 | 0.49 |
| 8 | 0.33 | 0.38 | 0.36 | 0.37 | 0.38 | 0.43 |
| 9 | 0.30 | 0.34 | 0.33 | 0.33 | 0.34 | 0.38 |
| 10 | 0.28 | 0.32 | 0.30 | 0.31 | 0.32 | 0.35 |
| 11 | 0.26 | 0.29 | 0.28 | 0.28 | 0.29 | 0.32 |
| 12 | 0.25 | 0.28 | 0.27 | 0.27 | 0.28 | 0.30 |
| During | During | Intrinsic Clothing | Activity | Air Velocity | |
|---|---|---|---|---|---|
| the: | the: | Insulation [clo] | Level [met] | [m/s] | |
| Apartment | Winter | Day/Night | 1.3/2.6 | ||
| and | Spring and Autumn | Day/Night | 1.0/2.0 | 1.2/0.8 | 0.2 |
| Dwelling | Summer | Day/Night | 0.7/1.4 | ||
| Winter | Day/Night | 1.3/2.0 | |||
| Clinic | Spring and Autumn | Day/Night | 1.0/2.0 | 1.4/0.8 | 0.2 |
| Summer | Day/Night | 0.7/1.4 | |||
| Winter | Day | 1.3 | |||
| School | Spring and Autumn | Day | 1.0 | 1.4 | 0.3 |
| Summer | Day | 0.7 | |||
| Bank | Winter | Day | 1.4 | ||
| branch | Spring and Autumn | Day | 1.2 | 1.2 | 0.2 |
| Summer | Day | 1.0 | |||
| Winter | Day/Night | 1.5/1.5 | |||
| Supermarket | Spring and Autumn | Day/Night | 1.2/1.2 | 1.5/1.5 | 0.3 |
| Summer | Day/Night | 0.7/0.7 |
| Control | Control of HVAC System | ||
|---|---|---|---|
| Type | Apartment, Dwelling, Clinic, School, Bank Branch, and Supermarket | ||
| A | −0.25 ≤ PMV ≤ +0.25 | PPD ≤ 6.3% | |
| B | −0.50 ≤ PMV ≤ +0.50 | PPD ≤ 10.2% | |
| C | −0.75 ≤ PMV ≤ +0.75 | PPD ≤ 16.8% | |
| NHS | No HVAC system | ||
| Apartment, Dwelling, Clinic, and School | Bank Branch | Supermarket | |
| DT5 | 20 ≤ Tair ≤ 25 °C | 19 ≤ Tair ≤ 24 °C | 18 ≤ Tair ≤ 23 °C |
| DT3 | 21 ≤ Tair ≤ 24 °C | 20 ≤ Tair ≤ 23 °C | 19 ≤ Tair ≤ 22 °C |
| DT1 | 22 ≤ Tair ≤ 23 °C | 21 ≤ Tair ≤ 22 °C | 20 ≤ Tair ≤ 21 °C |
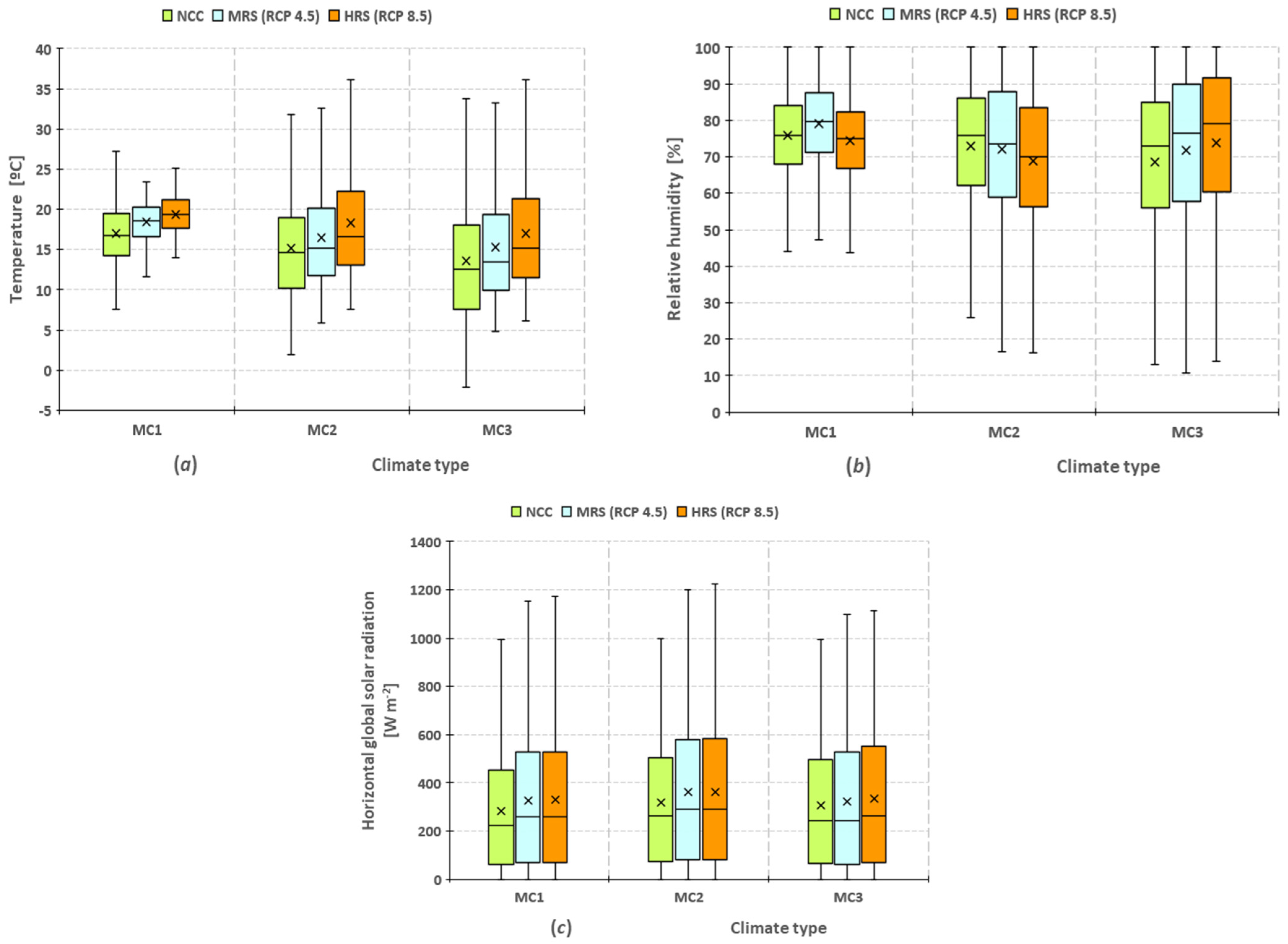
| Climate Type | NCC | MRS (RCP 4.5) | HRS (RCP 8.5) | |
|---|---|---|---|---|
| MC1 | HDD20 | 1256 | 682 | 456 |
| Mild | CDD25 | 16 | 72 | 148 |
| Tm (∆Tm) | 17.0 (--) | 18.4 (+1.4) | 19.4 (+2.4) | |
| RHm (∆RHm) | 76 (--) | 79 (+3) | 74 (−2) | |
| HGSRm (∆HGSRm) | 284 (--) | 328 (+44) | 329 (+45) | |
| ∆Tmax | 19.6 | 11.7 | 11.1 | |
| MC2 | HDD20 | 2111 | 1732 | 1357 |
| Moderate | CDD25 | 81 | 134 | 257 |
| Tm (∆Tm) | 15.1 (--) | 16.5 (+1.4) | 18.3 (+3.2) | |
| RHm (∆RHm) | 73 (--) | 72 (−1) | 69 (−4) | |
| HGSRm (∆HGSRm) | 317 (--) | 361 (+44) | 362 (+45) | |
| ∆Tmax | 29.9 | 26.7 | 28.6 | |
| MC3 | HDD20 | 2762 | 2170 | 1739 |
| Intense | CDD25 | 144 | 152 | 276 |
| Tm (∆Tm) | 13.6 (--) | 15.3 (+1.7) | 17.0 (+3.4) | |
| RHm (∆RHm) | 69 (--) | 72 (+3) | 74 (+5) | |
| HGSRm (∆HGSRm) | 305 (--) | 323 (+18) | 336 (+31) | |
| ∆Tmax | 35.9 | 28.4 | 30.0 | |
| MC1 + MC2 + MC3 | Winter | 10.6 (--) | 12.6 (+2.0) | 13.7 (+3.1) |
| Tm (∆Tm) | Spring | 15.2 (--) | 15.7 (+0.5) | 17.0 (+1.8) |
| Summer | 20.7 (--) | 22.2 (+1.5) | 24.2 (+3.5) | |
| Autumn | 14.3 (--) | 16.3 (+2.0) | 17.9 (+3.6) |
| Apartment | NCC: No Further Climatic Changes | MRS: Mid-Range Scenario (RCP 4.5) | HRS: High-Range Scenario (RCP 8.5) | |||||||||||||||
| Climate | MC1 | MC2 | MC3 | MC1 | MC2 | MC3 | MC1 | MC2 | MC3 | |||||||||
| HVAC | EPS | Shd | EPS | Shd | EPS | Shd | EPS | Shd | EPS | Shd | EPS | Shd | EPS | Shd | EPS | Shd | EPS | Shd |
| Control | [cm] | [cm] | [cm] | [cm] | [cm] | [cm] | [cm] | [cm] | [cm] | [cm] | [cm] | [cm] | [cm] | [cm] | [cm] | [cm] | [cm] | [cm] |
| PMV | 12 | 80 | 12 | 60 | 12 | 40 | 12 | 110 | 12 | 90 | 12 | 60 | 12 | 150 | 12 | 130 | 12 | 110 |
| Tair | 12 | 0 | 12 | 0 | 12 | 0 | 12 | 0 | 12 | 0 | 12 | 0 | 12 | 0 | 12 | 0 | 12 | 0 |
| Dwelling | NCC: no further climatic changes | MRS: mid-range scenario (RCP 4.5) | HRS: high-range scenario (RCP 8.5) | |||||||||||||||
| Climate | MC1 | MC2 | MC3 | MC1 | MC2 | MC3 | MC1 | MC2 | MC3 | |||||||||
| HVAC | EPS | Shd | EPS | Shd | EPS | Shd | EPS | Shd | EPS | Shd | EPS | Shd | EPS | Shd | EPS | Shd | EPS | Shd |
| Control | [cm] | [cm] | [cm] | [cm] | [cm] | [cm] | [cm] | [cm] | [cm] | [cm] | [cm] | [cm] | [cm] | [cm] | [cm] | [cm] | [cm] | [cm] |
| PMV | 12 | 100 | 12 | 70 | 12 | 50 | 12 | 140 | 12 | 110 | 12 | 90 | 12 | 150 | 12 | 130 | 12 | 110 |
| Tair | 12 | 0 | 12 | 0 | 12 | 0 | 12 | 0 | 12 | 0 | 12 | 0 | 12 | 0 | 12 | 0 | 12 | 0 |
| Clinic | NCC: no further climatic changes | MRS: mid-range scenario (RCP 4.5) | HRS: high-range scenario (RCP 8.5) | |||||||||||||||
| Climate | MC1 | MC2 | MC3 | MC1 | MC2 | MC3 | MC1 | MC2 | MC3 | |||||||||
| HVAC | EPS | Shd | EPS | Shd | EPS | Shd | EPS | Shd | EPS | Shd | EPS | Shd | EPS | Shd | EPS | Shd | EPS | Shd |
| Control | [cm] | [cm] | [cm] | [cm] | [cm] | [cm] | [cm] | [cm] | [cm] | [cm] | [cm] | [cm] | [cm] | [cm] | [cm] | [cm] | [cm] | [cm] |
| PMV | 12 | 150 | 12 | 130 | 12 | 100 | 12 | 150 | 12 | 130 | 12 | 110 | 12 | 150 | 12 | 150 | 12 | 150 |
| Tair | 12 | 0 | 12 | 0 | 12 | 0 | 12 | 0 | 12 | 0 | 12 | 0 | 12 | 0 | 12 | 0 | 12 | 0 |
| School | NCC: no further climatic changes | MRS: mid-range scenario (RCP 4.5) | HRS: high-range scenario (RCP 8.5) | |||||||||||||||
| Climate | MC1 | MC2 | MC3 | MC1 | MC2 | MC3 | MC1 | MC2 | MC3 | |||||||||
| HVAC | EPS | Shd | EPS | Shd | EPS | Shd | EPS | Shd | EPS | Shd | EPS | Shd | EPS | Shd | EPS | Shd | EPS | Shd |
| Control | [cm] | [cm] | [cm] | [cm] | [cm] | [cm] | [cm] | [cm] | [cm] | [cm] | [cm] | [cm] | [cm] | [cm] | [cm] | [cm] | [cm] | [cm] |
| PMV | 0 | 150 | 12 | 50 | 12 | 20 | 0 | 150 | 6 | 90 | 12 | 70 | 0 | 150 | 3 | 150 | 8 | 150 |
| Tair | 12 | 0 | 12 | 0 | 12 | 0 | 6 | 150 | 12 | 0 | 12 | 0 | 0 | 150 | 12 | 0 | 12 | 0 |
| Bank | NCC: no further climatic changes | MRS: mid-range scenario (RCP 4.5) | HRS: high-range scenario (RCP 8.5) | |||||||||||||||
| Climate | MC1 | MC2 | MC3 | MC1 | MC2 | MC3 | MC1 | MC2 | MC3 | |||||||||
| HVAC | EPS | Shd | EPS | Shd | EPS | Shd | EPS | Shd | EPS | Shd | EPS | Shd | EPS | Shd | EPS | Shd | EPS | Shd |
| Control | [cm] | [cm] | [cm] | [cm] | [cm] | [cm] | [cm] | [cm] | [cm] | [cm] | [cm] | [cm] | [cm] | [cm] | [cm] | [cm] | [cm] | [cm] |
| PMV | 0 | 150 | 12 | 70 | 12 | 40 | 0 | 150 | 12 | 110 | 12 | 80 | 0 | 150 | 0 | 150 | 12 | 150 |
| Tair | 12 | 0 | 12 | 0 | 12 | 0 | 12 | 0 | 12 | 0 | 12 | 0 | 12 | 0 | 12 | 0 | 12 | 0 |
| Super | NCC: no further climatic changes | MRS: mid-range scenario (RCP 4.5) | HRS: high-range scenario (RCP 8.5) | |||||||||||||||
| Climate | MC1 | MC2 | MC3 | MC1 | MC2 | MC3 | MC1 | MC2 | MC3 | |||||||||
| HVAC | EPS | Shd | EPS | Shd | EPS | Shd | EPS | Shd | EPS | Shd | EPS | Shd | EPS | Shd | EPS | Shd | EPS | Shd |
| Control | [cm] | [cm] | [cm] | [cm] | [cm] | [cm] | [cm] | [cm] | [cm] | [cm] | [cm] | [cm] | [cm] | [cm] | [cm] | [cm] | [cm] | [cm] |
| PMV | 0 | 150 | 0 | 150 | 0 | 150 | 0 | 150 | 0 | 150 | 0 | 150 | 0 | 150 | 0 | 150 | 0 | 150 |
| Tair | 0 | 150 | 12 | 150 | 12 | 150 | 0 | 150 | 12 | 150 | 12 | 150 | 0 | 150 | 12 | 150 | 12 | 150 |
| Building | Climate | Heating | Demand | Cooling | Demand |
|---|---|---|---|---|---|
| Type | MRS | HRS | MRS | HRS | |
| Apartment | MC1 | — | * | — | — |
| MC2 | — | ** | — | — | |
| MC3 | — | ** | — | — | |
| Detached | MC1 | — | * | — | — |
| house | MC2 | — | ** | — | * |
| MC3 | — | ** | — | * | |
| Clinic | MC1 | — | * | — | — |
| MC2 | — | * | — | — | |
| MC3 | — | ** | — | — | |
| School | MC1 | — | * | — | — |
| MC2 | — | * | — | * | |
| MC3 | — | ** | — | * | |
| Bank | MC1 | — | — | — | — |
| branch | MC2 | — | — | — | * |
| MC3 | — | — | — | ** | |
| Supermarket | MC1 | — | — | — | — |
| MC2 | — | — | — | * | |
| MC3 | — | — | — | * |
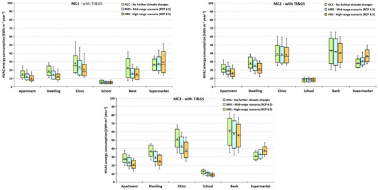
| Building | Climate | HVAC | Consumption |
|---|---|---|---|
| Type | MRS | HRS | |
| Apartment | MC1 | — | — |
| MC2 | — | — | |
| MC3 | — | * | |
| Detached | MC1 | — | — |
| house | MC2 | — | — |
| MC3 | — | ** | |
| Clinic | MC1 | — | — |
| MC2 | — | — | |
| MC3 | — | * | |
| School | MC1 | — | — |
| MC2 | — | — | |
| MC3 | — | * | |
| Bank | MC1 | — | — |
| branch | MC2 | — | — |
| MC3 | — | * | |
| Supermarket | MC1 | — | — |
| MC2 | — | — | |
| MC3 | — | * |
| Building | Climate | Climate | Change | Scenario |
|---|---|---|---|---|
| Type | NCC | MRS | HRS | |
| Apartment | MC1 | Tair | Tair | Tair |
| MC2 | Tair | Tair | Tair | |
| MC3 | PMV | PMV | PMV | |
| Detached | MC1 | Tair | Tair | Tair |
| House | MC2 | Tair | Tair | Tair |
| MC3 | PMV | PMV | PMV | |
| Clinic | MC1 | Tair | Tair | Tair |
| MC2 | Tair | Tair | Tair | |
| MC3 | PMV | PMV | PMV | |
| School | MC1 | PMV | PMV | PMV |
| MC2 | PMV | PMV | PMV | |
| MC3 | PMV | PMV | PMV | |
| Bank | MC1 | PMV | PMV | PMV |
| Branch | MC2 | PMV | PMV | PMV |
| MC3 | PMV | PMV | PMV | |
| Supermarket | MC1 | Tair | Tair | Tair |
| MC2 | Tair | Tair | Tair | |
| MC3 | PMV | PMV | PMV |
Disclaimer/Publisher’s Note: The statements, opinions and data contained in all publications are solely those of the individual author(s) and contributor(s) and not of MDPI and/or the editor(s). MDPI and/or the editor(s) disclaim responsibility for any injury to people or property resulting from any ideas, methods, instructions or products referred to in the content. |
© 2024 by the authors. Licensee MDPI, Basel, Switzerland. This article is an open access article distributed under the terms and conditions of the Creative Commons Attribution (CC BY) license (https://creativecommons.org/licenses/by/4.0/).
Share and Cite
Raimundo, A.M.; Oliveira, A.V.M. Assessing the Impact of Climate Changes, Building Characteristics, and HVAC Control on Energy Requirements under a Mediterranean Climate. Energies 2024, 17, 2362. https://doi.org/10.3390/en17102362
Raimundo AM, Oliveira AVM. Assessing the Impact of Climate Changes, Building Characteristics, and HVAC Control on Energy Requirements under a Mediterranean Climate. Energies. 2024; 17(10):2362. https://doi.org/10.3390/en17102362
Chicago/Turabian StyleRaimundo, António M., and A. Virgílio M. Oliveira. 2024. "Assessing the Impact of Climate Changes, Building Characteristics, and HVAC Control on Energy Requirements under a Mediterranean Climate" Energies 17, no. 10: 2362. https://doi.org/10.3390/en17102362
APA StyleRaimundo, A. M., & Oliveira, A. V. M. (2024). Assessing the Impact of Climate Changes, Building Characteristics, and HVAC Control on Energy Requirements under a Mediterranean Climate. Energies, 17(10), 2362. https://doi.org/10.3390/en17102362

