Next Article in Journal
Innovation Solution in Photovoltaic Sector
Next Article in Special Issue
Impacts of Electric Vehicles Charging in Low-Voltage Distribution Networks: A Case Study in Malta
Previous Article in Journal
Compression Ignition Internal Combustion Engine’s Energy Parameter Research Using Variable (HVO) Biodiesel and Biobutanol Fuel Blends
Previous Article in Special Issue
Perspectives on the Applications of Radiative Cooling in Buildings and Electric Cars
 
 
Font Type:
Arial Georgia Verdana
Font Size:
Aa Aa Aa
Line Spacing:
Column Width:
Background:
Article

Assessing Combined High Photovoltaic and Electric Vehicle Charging Penetration in Low-Voltage Distribution Networks: A Case Study in Malta

by
Brian Azzopardi
1,2,* and
Yesbol Gabdullin
1
1
MCAST Energy Research Group, Institute for Engineering and Transport, Malta College of Arts, Science and Technology (MCAST), PLA 9032 Paola, Malta
2
The Foundation for Innovation and Research—Malta, BKR 4012 Birkirkara, Malta
*
Author to whom correspondence should be addressed.
Energies 2024, 17(1), 263; https://doi.org/10.3390/en17010263
Submission received: 28 May 2023 / Revised: 5 September 2023 / Accepted: 11 September 2023 / Published: 4 January 2024

Abstract

High Photovoltaic (PV) and Electric Vehicle (EV) Charging Penetration challenges the grid’s Low-Voltage (LV) Distribution Network’s stability due to voltage variations and the overloading of feeders. This research paper investigates the potential of combined PV and Electric Vehicle (EV) charging integration within LV DN, using a representative DN in Malta as a case study. The European Union (EU) has set forth objectives and guidelines that suggest a high likelihood of Distributed Networks (DNs) incorporating a significant number of Photovoltaic Systems (PVs), resulting in overvoltage occurrences, as well as a substantial number of Electric Vehicles (EVs), which may charge in an erratic manner, leading to undervoltage and overloading events. A distribution network (DN) may experience unfavorable situations concurrently due to the simultaneous occurrence of photovoltaic (PV) generation and electric vehicle (EV) charging, particularly in residential case studies. Effectively employing either dispersed or centralized storage is a viable approach to tackle these issues. However, this strategy may defer the requirement for expensive DN investments. The study showcases the extent of automated mitigation attained in the urban zones of Malta. The data presented primarily comprises empirical measurements obtained at the onset of the LV feeder.

1. Introduction

The worldwide energy landscape is shifting towards sustainable sources to reduce carbon dioxide emissions [1]. And now, 193 states and the EU have signed the Paris Agreement. Overall, 174 parties have ratified, approved, or acceded to the accord, representing 87% of global carbon emissions, but just 25 have established net-zero emission targets. Limiting the increase in global mean temperature reduces the risks and negative effects of global warming [2]. The EU’s proposed Renewable Energy Directive recast intends to attain 32% renewable energy sources (RES) in final energy consumption by 2030 [3]. All new EU buildings must meet Zero Energy Building (ZEB) standards by 2030 [4]. High-performance buildings use renewable energy sources (RES) to save energy. Before 2030 and throughout the current decade, the incentive structure for low- or zero-emission vehicles will encourage the growth of vehicles that emit between zero and 50 g CO2/km. This includes battery, hydrogen-powered fuel-cell, and plug-in hybrid electric vehicles [5]. The EU’s Low Voltage Distribution Networks will face problems. Installing solar systems on rooftop photovoltaics (PVs) may cause unwanted overvoltage for ZEB approval. On the other hand, large numbers of battery electric vehicles (BEVs) charging on LV networks might cause undervoltage and overloading.
Hence, it is anticipated that there will be a persistent expansion of renewable energy resources. The overall proportion of renewable energy has indeed risen culminating in a total capacity exceeding 3.3 TW by 2022. The PV sector has exhibited remarkable expansion, 945.7 GW of PVs of which 70% have been installed in the last five years [6,7,8]. In the past decade, there has been a notable acceleration in the progress of grid-connected Photovoltaic systems in Malta. The installed capacity of photovoltaic (PV) systems has exhibited a significant growth trajectory, rising from 745 kilowatts peak (kWp) in 2010 to a staggering 203.7 megawatts peak (MWp) by the end of 2019. According to reference [9], the aggregate quantity of photovoltaic installations has surpassed 30,972 units.
Electric Vehicles (EVs) have emerged as a promising green alternative to address the growing challenge of greenhouse emissions and are poised to become a significant component of future transportation mobility. The number of electric vehicles (EVs) sold in 2021 reached a new milestone, a record-breaking 6.6 million units [10]. The current state of electric vehicle integration in Malta is deemed inadequate; however, there is an anticipated increase in its adoption with electric registering quarterly increases of over 5% compared to insignificant increase in other types of vehicles [11].
Although PVs and EVs technologies offer advantages as low-carbon options, there exist obstacles that must be resolved immediately now that we are facing mature and early adaptations, respectively.
The issue of PV penetration on LV networks has garnered significant interest in recent times. It has been observed that overvoltage may arise when residential PV systems attain a certain threshold, necessitating appropriate measures. Additionally, research has demonstrated that Medium Voltage MV networks may also be affected by this phenomenon. According to various sources [12,13,14], the implementation of storage has been proposed as a potential solution to address this matter. Moreover, as demonstrated in reference [15], the preservation of distributed network self-consumption beyond a certain threshold has the potential to stabilize voltage levels.
Numerous scholars have also investigated the significant impact of electric vehicles on distribution networks. The widespread adoption of EVs may potentially result in challenges related to power quality and imbalances between supply and demand, as noted in reference [16]. According to the research conducted in reference [17], EVs have an impact on DNs that is contingent upon factors such as charging duration, charging characteristics, driving behaviors, and transportation network. According to reference [18], unregulated electric vehicle charging may pose a potential issue even with a 10% adoption rate.
A charging strategy that is regulated has been formulated with the aim of enhancing voltage quality and minimizing customer discomfort, as stated in reference [19]. A recent research study has demonstrated that voltage quality can be enhanced through reactive power regulation in cases where distributed generation systems, such as PVs and EVs, are connected to a common distribution network DN [20].
The present manuscript, a combined assessment of high PV and EV charging penetration, which is an extension of a previous publication [21], is structured in the following manner. Section 2 of the paper outlines the methodology-based framework employed in the study. Section 3 presents the demonstration of the methodology and framework through a study of the impact on an actual Maltese LV network that originates from a solitary 11/0.4 kV substation and comprises seven LV feeders. The Cumulative Distribution Function (CDF) obtained from the Monte Carlo methods is utilized in Section 4 to analyze the probability of LV Network issues. Subsequently, Section 5 expounds upon and analyses the comprehensive empirical findings of the Maltese LV multi-feeder impact study. Section 6 presents an exposition of the regression analysis tool and its corresponding outcomes. Section 7 of the article presents the main findings and a significant discovery that distinguishes it from other studies on the inadequate measure for non-linear regression. This section serves as the conclusion of the article.

2. The Methodology-Based Framework

OpenDSS [22] is utilized to conduct a time-series power flow analysis that is unbalanced and three-phase in nature. Figure 1 depicts the methodology employed to assess the impact of PV/EV penetration on LV networks, taking into account the uncertainties associated with size and behavior, as described in reference [21]. The computer models for LV feeders and EV profiles are developed prior to the loading of smart meter load and PVs and the developed EV profiles [22]. A Monte Carlo simulation is executed for a designated feeder.
Multiple power flows are evaluated for every level of PV and EV charging simultaneously, ranging from 0% to 100% in increments of 10%. For each power flow analysis, a set of profiles is available from which a random load, PV and EV profile are selected. The measure of effect analysis for every simulation, namely the utilization factor and the percentage of users encountering voltage issues, is recorded. The study concludes by conducting a comparative analysis of numerous feeders to identify specific feeder characteristics that may provide insights into technical concerns.

Impact Assessment

It is imperative to comprehend that technical impacts are subject to change over the course of the day owing to the time-dependent characteristics of electricity demands, PV generation, and EV Charging. Therefore, it is imperative to take this into account when assessing technical matters. In light of this objective, the subsequent indices are executed:
Individuals experiencing voltage-related problems. The metric evaluates the voltage calculated for individual consumers and verifies its adherence to the European Standard EN50160, which specifies that the voltage magnitude must fall within the range of 230 V +/− 10%. Any deviation from this range, such as voltage levels below 207 V or above 253 V, is identified as a violation. Non-compliance by a consumer is regarded as problematic. The aggregate count of individuals experiencing voltage-related difficulties is tallied, and the corresponding proportion is computed. The EN50150 standard would be violated if a single value exceeds the limit, as profiles are recorded at a resolution of fifteen minutes.
The utilization factor is a metric used to measure the efficiency of a system or process by determining the proportion of time that it is being utilized or actively engaged in performing its intended function. The aforementioned metric is derived by dividing the maximum current by its corresponding current carrying capacity. The presented index illustrates the utilization of the feeder in relation to varying levels of EV and PV penetration.

3. Application of the Methodology Framework

3.1. Real-Life Maltese LV Network

The methodology framework was implemented on an actual Maltese low-voltage (LV) network that originates from an 11/0.4 kV substation and comprises seven three-phase LV feeders. The objective was to highlight the impact analysis. The primary attributes of the LV network were ascertained through Geographic Information System (GIS) modelling. The modelling process considered multiple factors, such as the characteristics of the conductor, the location of the consumer, the connectivity of the phase, and the topology of the network. LV Feeder 4 was chosen for its emphasis on per feeder outcomes and based on its ranking as the most heavily loaded feeder in this particular scenario [1].

3.2. Summary of Results for Real-Life Maltese LV Network

Table 1 presents a summary of the outcomes of the seven (7) feeders in previous sole PV and EV impact studies and this combined assessment. The findings illustrate the initial instances of technical obstacles resulting from the proliferation of combined PV and EV charging. A utilization capacity threshold of 70% was chosen to signify potential constraints in headroom capacity for operational duties. The combined assessment offers an insignificant improvement on Voltage issues while it maintained a later technical obstacle in Feeders 5 and 6 on the utilization factor.

3.3. Voltage Issues

The graphical representation presented in Figure 2 illustrates the effects of different levels of PV [21], EV [23], and combined level adoption on the incidence of voltage-related problems experienced by consumers. The depicted impact is measured in terms of the mean value and standard deviation of such occurrences. The discernible dissimilarities in effects become apparent upon contrasting downstream and upstream allocation scenarios. In combined integrations, voltage challenges start on average at 30% and 10% of penetration for downstream and upstream scenarios, respectively, which shows early signs of LV network challenges than PV only integration but similar to EV Charging integration. Appendix A includes all the graphs of voltage issues for all seven feeders of the studied LV network illustrating the effects of different levels of PV [21], EV [23], and combined level adoption on the incidence of voltage-related problems experienced by consumers.

3.4. Utilization

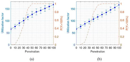
The graphical representation presented in Figure 3 illustrates the effects of different levels of PV [21], EV [23], and combined level adoption on the incidence of utilization-factor-related problems experienced on the feeder combined integration, which presents overloading problems at 30% on average. Combined integration shows a similar magnitude of thermal problems as EV cases. The graphs of the utilization factor for all feeders of the studied LV network can be found in Appendix B.

3.5. Conclusion on Single LV Network Analysis

The results are constrained to a single LV network; however, it is evident that feeders with minimal loads and short lengths do not exhibit any technical difficulties or voltage or overloading complications at exceedingly high levels of penetration. Conversely, feeders that are heavier and have greater length are susceptible to encountering technical difficulties when reaching a certain level of penetration. Section 4 entails conducting a multi-feeder assessment to thoroughly examine the technical issues on various LV feeders.

4. Likelihood of LV Network Challenges

The assessment of impact, as outlined in Section 3, has been expanded to account for the stochastic properties inherent in this particular analysis. The assessment of the acceptability of a given penetration level causing technical problems can be based on the probability of encountering voltage or thermal issues. Quantifying this probability can aid utility companies in assessing the viability of accepting penetration levels that denote low probabilities of technical obstacles, as opposed to investing in infrastructure.
The Monte Carlo method enables the derivation of a Cumulative Distribution Function (CDF) that can effectively showcase the likelihood of encountering voltage and overloading issues. Based on the collected empirical data from one hundred simulations, an empirical cumulative distribution function (CDF) is selected. The method allocates a probability of 1/n to each individual datum and subsequently computes the cumulative sum of these probabilities, encompassing the given datum. The outcome is a discontinuous function that exhibits a staircase-like pattern, where each step is augmented by a value of 1/n.
The likelihood of voltage problems arising in both downstream (a) and upstream (b) allocation situations can be graphically illustrated through the cumulative distribution functions (CDFs), as presented in Figure 4. Having >20% of consumers with voltage violations, the likelihood is found to be 0.1, 0.5, and 0.9 at 50%, 60%, and 70% penetration for downstream allocation scenarios, respectively, and for upstream scenarios, 0.2, 0.78, and 0.95 probability at 30%, 40%, and 50% penetration levels, respectively, of both PV and EVs.
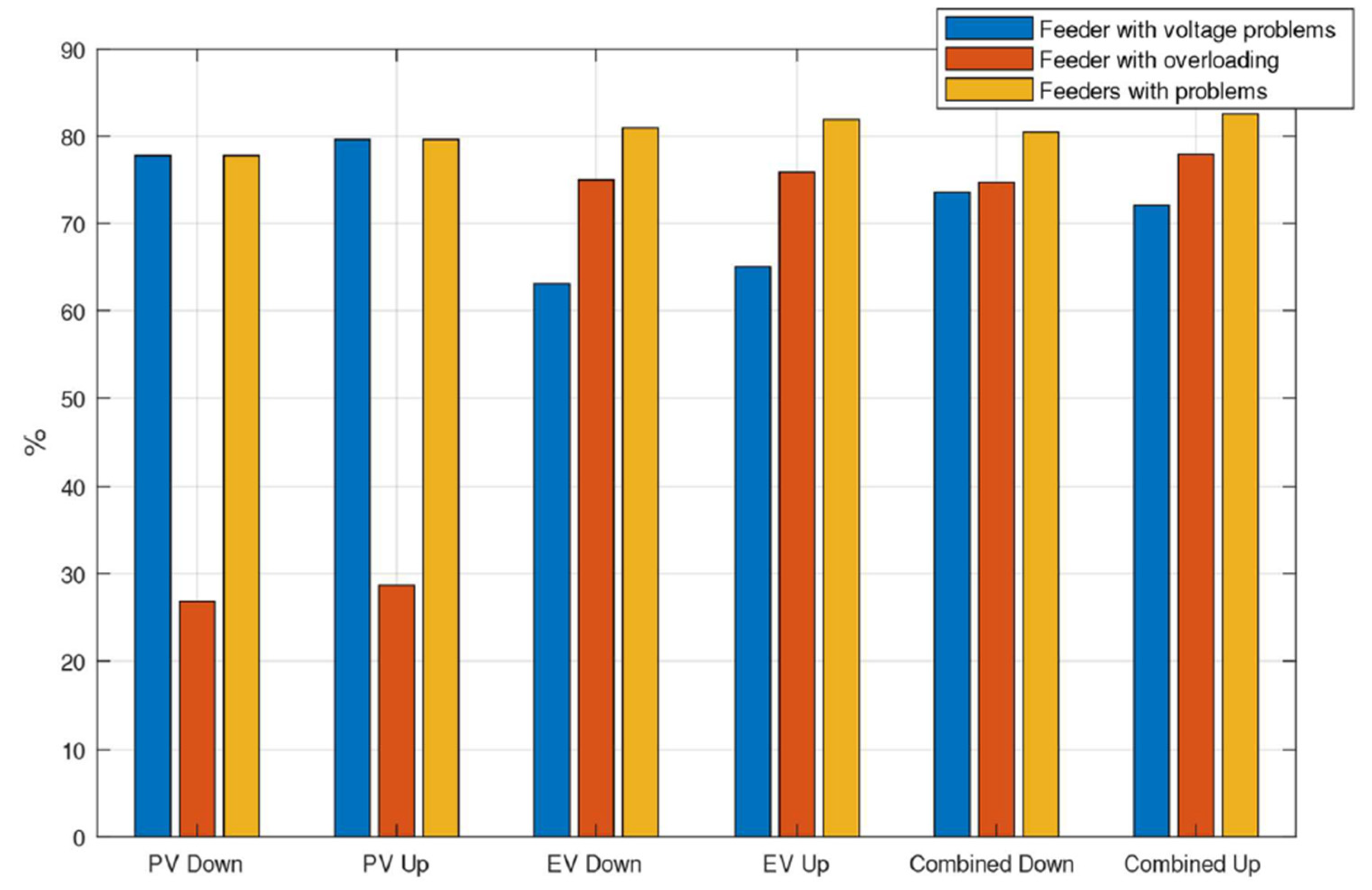
The likelihood of observing a utilization factor exceeding 100% is 0.2, 0.43, and 0.9 for penetration rates of 20%, 30%, and 40%, respectively, in the downstream allocation scenario as shown in Figure 5. Once the penetration reaches 60% in upstream scenario, the likelihood of encountering overloading issues increases to 100%. It is noteworthy that, in contrast to the PV scenario [21], the primary challenge for combined systems is the issue of overloading.
Regarding the acceptance of a potential technical issue, utility companies can determine whether a problem is deemed significant only if the likelihood of having a prevalence of voltage issues among consumers exceeding a specified threshold, such as 1%, is greater than a certain level. Hence, in the event that the utility is unresponsive to any conceivable technical difficulties, the aforementioned parameter may be assigned a value of zero, indicating that the infractions are identified as soon as a voltage issue is detected in any of the simulations. On the contrary, if the utility is willing to tolerate a certain level of potential technical issues, it has the option to increase the threshold accordingly. Figure 6 depicts the average percentage of consumers experiencing voltage issues, along with the corresponding standard deviation, resulting from the integration of PV and EV charging.
A comparable evaluation is conducted to determine the point at which a loading level of the feeder (utilization factor > 100%) is deemed problematic or not, based on the utilization factor. The graphical representation depicted in Figure 7 illustrates the effects of overloading resulting from the integration of photovoltaic (PV) and electric vehicle (EV) technologies on Feeder 4. Specifically, it portrays the likelihood of observing a utilization factor exceeding 100% per penetration level in the downstream scenario. Consequently, in the event that a utility opts to utilize a cautious scenario, difficulties may arise at a mere 10% level of penetration, where the likelihood is equivalent to 0.01. Generally, utilities tend to permit a certain level of asset overload. Thus, it is possible for them to determine that issues are deemed significant solely in instances where overloading transpires with a likelihood exceeding 0.05. This phenomenon leads to a greater level of penetration; however, it also significantly increases the likelihood of overloading issues. Such issues are expected to arise at approximately 30–40% penetration for both downstream and upstream allocation scenarios.

5. Multi-Feeder Impact Analysis

The impact analysis is applied to 95 LV distribution feeders to provide further investigation on the impacts of PV integration. The studied feeders are located in Malta, owned and operated by Enemalta plc. They have been modelled considering Geographic Information System (GIS) data provided by Enemalta plc. Hence, the conductor attributes, consumer geographical position, actual network configuration (comprising the coordinates and extent of each line), and phase interconnections are taken into account.

5.1. General Assessment of PV and EV Impacts

Through the utilization of Monte Carlo simulations, it becomes feasible to quantify the technical complications stemming from varying levels of PV and EV penetrations and subsequently assess their respective probabilities. Hence, a voltage infraction is identified when the likelihood of the feeder to encounter voltage problems among more than 1% of its consumers (X) surpasses a specific threshold value α, that is, P(X ≥ 1) ≥ α. The establishment of this threshold is determined by the utility company based on its tolerance for potential technical issues. Furthermore, it is deemed that a feeder has exceeded its capacity if the likelihood of its utilization factor surpassing 100% of the designated feeder capacity is equal to or greater than α, expressed as P(Y > 100) ≥ α. Thus, in the event that the utility set α is assigned a value of zero, technical difficulties may arise as soon as any of the simulations encounter an issue. Conversely, when α is assigned a value of 0.05, the occurrence of technical issues is deemed to be significant if they manifest in no less than 5% of the simulations.

5.2. Feeder Level Impacts

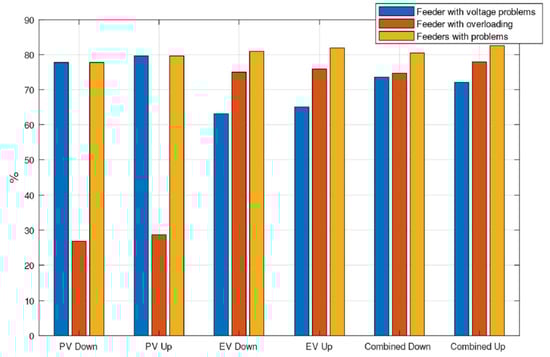
Figure 8 illustrates the proportion of feeders that encounter voltage or overloading issues for a range of penetration levels between 0% and 100%. The results are presented for the most conservative threshold, α = 0. The aforementioned criterion stipulates that in the event that a single simulation exhibits a voltage issue or a utilization factor surpassing 100% for over 1% of consumers across any penetration level ranging from 0% to 100%, the feeder in question is deemed to be problematic. Figure 8 presents the calculated total percentage of feeders that are experiencing technical difficulties.
The integration of PV and EV exhibits comparable percentages, albeit with a greater proportion of feeders experiencing voltage complications. The integration of PV and EV technologies yielded a noteworthy outcome whereby the percentage of feeders experiencing voltage issues for the PV scenario exhibited a marginal reduction of 4%. The marginal decrease can be attributed to the lack of alignment between the peaks of photovoltaic (PV) generation and electric vehicle (EV) charging, as demonstrated in Section 3.2. Additionally, it can be noted that there is no statistically significant distinction among allocation scenarios.
Furthermore, as depicted in Figure 8, the proportion of feeders experiencing technical difficulties is equivalent to that of the primary issues, namely overvoltage for PV scenarios and overloading for EVs and combined integrations at all levels of penetration. This is due to the fact that those feeders encounter additional technical difficulties as the penetration level increases.
Table 2 illustrates the percentage of feeders that experience voltage and overloading issues at two distinct thresholds, namely α = 0 and α = 0.05. The table demonstrates that a higher frequency of issues is encountered when utilizing a more conservative threshold (α = 0). In addition, the integration of PV and EV combined allocations has resulted in a reduction of 4.8% and 7.1% in the number of feeders encountering overloading issues for downstream and upstream allocation scenarios, respectively.
Hence, in the event that the utility company does not tolerate any level of potential technical complications, it becomes imperative to implement proactive measures across multiple feeders to mitigate any plausible technical impediments. The present analysis revealed that feeders exhibiting a consumer count of less than 40 and a length of less than 0.5 km did not exhibit any issues pertaining to the integration of photovoltaic (PV) and electric vehicle (EV) technologies for both allocation scenarios. This provides crucial insight for utility companies, as it underscores the notion that preventative measures should not be concentrated on the aforementioned feeders.

5.3. First Occurrence of LV Network Challenges

The preceding segment presented a comprehensive examination of the technical difficulties encountered by feeders in relation to PV [21], EV [24], and combined integration (both downstream and upstream) at varying levels of penetration. This section presents histograms depicting the penetration level at which feeders encounter technical difficulties, in order to facilitate a more comprehensive evaluation. The calculation of the penetration level is determined through the utilization of Equations (1) and (2).
p1 ≡ {min(pi)∈Q|P(X(pi) ≥ 1) ≥ α}
p2 = {min(pi)∈Q|P(Y(pi) > 100) ≥ α}
where Q is the set of penetration levels (0% to 100%) and pi is the penetration level i.
Hence, the variables p1 and p2 denote the initial level of penetration at which voltage or overloading predicaments arise. The provided visual aid in Figure 9 depicts the proportion of feeders that experience initial voltage issues, denoted as p1, in two allocation scenarios across three cases (solely photovoltaic [21], solely electric vehicle [24], and a combination of both) while adhering to the highest conservation threshold. It is imperative to acknowledge that there exists a substantial disparity between the two allocation scenarios in all three instances. In the context of combined integration, it has been observed that the incidence of voltage issues among feeders increases by 22% when the penetration level is at 10% for the upstream allocation scenario. This insight holds significant value for utility companies as it facilitates the identification of the limits pertaining to the integration of PV systems and EV charging stations.
Figure 10 depicts the proportion of feeders that experience initial occurrences of overloading issues, denoted as p2, at a specific level of penetration for all three cases under both allocation scenarios. The presented figure indicates that, in the context of photovoltaic (PV) systems, a majority of the feeders that encounter issues with overloading tend to experience their initial congestion problems at penetration levels that are relatively high, specifically at or above 70% [21]. Regarding electric vehicle (EV) scenarios, the initial issues with overloading are relatively widespread across various levels of penetration [24]. The findings from Figure 9 and Figure 10 indicate that for a combined PV and EV integration a higher frequency of overloading issues is exhibited, while it does not really subside to the primary limiting factor for PV integration.

6. A Tool for Predicting Impacts through Regression Analysis

Regression analysis is a highly potent technique in the realm of network planning and operation [21,24]. A regression analysis may be conducted to investigate the underlying reasons for the occurrence of technical problems in certain feeders before others. To achieve this, various parameters were analyzed from the 95 feeders studied, including total length and customer count. The identification of parameters with the most optimal fit utilizing the standard error of the regression enables the determination of a given feeder’s PV, EV, and combined integration hosting capacity. In this study, the standard error of the regression (S), which is also referred to as the standard error of the estimate, is considered a more favorable indicator of the goodness-of-fit compared to the coefficient of determination (R2) [25].
The seven feeder characteristic parameters [21,24] were (i) Feeder Length, (ii) Number of Customers, (iii) Total Path Resistance (TPR), (iv) Initial Utilization Factor, (v) Main Path Distance, (vi) Main Path Resistance (MPR), and (vii) Total Resistance. It is important to note that the calculation of intricate impedance is not performed, and exclusively, the assessment of resistance is considered, as it constitutes a more straightforward and economical approach for the utility to implement.
Regression analysis was utilized to evaluate all proposed parameters and technologies for both allocation scenarios while taking into account two potential technical issue thresholds of α = 0 and α = 0.05. Table 3 displays the corresponding S for α = 0, which is considered the most conservative threshold, as the results for both thresholds are comparable.
According to Table 3, the number of customers, total path resistance, and initial loading are the metrics with the best correlations or lowest S. The former incorporates the feeders’ total resistance; therefore, there is a strong correlation between potential voltage increases and decreases. On the other hand, the latter offers data on how assets are being utilized, i.e., 0% penetration (no units allotted), and as a result, can anticipate the onset of overloading issues. Appendix C presents the regression analysis plots for the combined PV and EV integration of the seven key feeder characteristics.

7. Conclusions

The emerging technologies of Electric Vehicles (EVs) and Photovoltaics (PVs) are highly promising and anticipated to have a substantial impact on the electricity industry in the forthcoming decade. The incorporation of photovoltaic (PV) units and electric vehicles (EVs) into the electrical grid presents technical obstacles related to voltage stability and asset utilization. The objective of this research was to perform a pioneering investigation on the Maltese archipelago by employing stochastic methods to examine the possible technical obstacles associated with the integration of photovoltaic (PV) and electric vehicle (EV) systems on actual low-voltage (LV) distribution networks. The study was conducted using real-world data and scenarios, while also providing a summary of previous independent studies on these technologies for comparative purposes. This study is noteworthy for being the initial endeavor to assess the technical consequences of the extensive integration of combined photovoltaic and electric vehicle systems on a significant number of electric networks, while taking into account real-life situations and data obtained from smart meters.
The present study introduced a probabilistic impact analysis approach that utilizes Monte Carlo simulations to summarize the technical effects of photovoltaic (PV) and electric vehicle (EV) integration. The study also compared the outcomes of PV and EV integration separately with the combined integration of both on low-voltage (LV) residential networks. Time-series profiles of smart meters were utilized for residential loads and photovoltaic (PV) units, with a resolution of 15 min. On the other hand, electric vehicle (EV) profiles were produced using data from the ‘My Electric Avenue’ initiative. In order to account for the variability associated with the dimensions and actions of loads, photovoltaic units, and electric vehicle charging, a total of one hundred simulations are conducted for each level of penetration. Furthermore, in order to account for the most unfavorable circumstances, two allocation strategies were evaluated, namely downstream and upstream allocation. In the downstream scenario, photovoltaic (PV) and electric vehicle (EV) resources are assigned from the substation to the farthest consumer, while in the upstream scenario, they are assigned from the farthest consumers to the head of the feeder. The quantification of the effects of daily analysis is accomplished through the utilization of two primary metrics, namely, the proportion of consumers experiencing voltage-related problems and the utilization factor at the head of the feeder.
The findings indicated that feeders with greater length and weight capacity pose technical difficulties at an earlier stage compared to those with shorter length and lower weight capacity.
By utilizing the Monte Carlo method, it was feasible to derive a Cumulative Distribution Function (CDF) that illustrates the likelihood of encountering voltage and utilization issues. The findings indicate that the primary constraint for the concurrent integration of photovoltaics (PVs) and electric vehicles (EVs) is the utilization level, commonly referred to as the ‘bottleneck’, while the voltage problem remains unresolved.
A total of 95 LV feeders serving residential areas were examined in order to elucidate the occurrence of technical difficulties. The assessment of the findings was conducted with consideration of their probabilistic nature. Specifically, the likelihood of encountering technical issues, such as voltage rise/fall and/or overloading exceeding a predetermined threshold, was taken into account. This threshold was established by the utility to reflect their tolerance for potential technical difficulties. This study examined two distinct values, namely a zero-tolerance threshold for technical issues (α = 0) and a threshold of greater than 5% of Monte Carlo simulations for a given penetration to encounter a technical problem (α = 0.05).
The conclusions drawn from the results remain consistent despite the variation in magnitudes, which can be attributed to the utilization of two distinct levels of acceptance. The integration of the combined system resulted in technical issues in approximately 80% and 82% of the analyzed feeders. Furthermore, the study revealed that feeders possessing a consumer count of less than 40 and a length of less than 0.5 km did not exhibit any issues concerning the integration of photovoltaic (PV) and electric vehicle (EV) technologies for both allocation scenarios.
The aforementioned results may serve as a basis for utilities to concentrate their endeavors on feeders with greater length and a higher number of consumers. The aforementioned findings indicate that the implementation of solutions aimed at addressing the challenges associated with the integration of a specific technology may not necessarily alleviate the impacts arising from the integration of another technology. Whilst it is acknowledged that the integration of photovoltaic (PV) and electric vehicle (EV) systems has the potential to overcome technical obstacles associated with each technology, research has demonstrated that the decrease in such challenges is insignificant. The reason for this is that the peaks of photovoltaic (PV) generation and electric vehicle (EV) charging are not synchronized.

Author Contributions

Conceptualization, B.A. and Y.G.; Methodology, B.A.; software, Y.G.; validation, Y.G. and B.A.; formal analysis, Y.G.; investigation, B.A. and Y.G.; resources, B.A.; data curation, Y.G.; writing—original draft preparation, B.A. and Y.G.; writing—review and editing, B.A. and Y.G.; visualization, B.A. and Y.G.; supervision, B.A.; project administration, B.A.; funding acquisition, B.A. All authors have read and agreed to the published version of the manuscript.

Funding

This study was supported in part by the European Union H2020 TWINNING Networking for Excellence in Electric Mobility Operations (NEEMO) Project under Grant 857484 and Horizon Europe TRANSITion to sustainable future through training and education under Grant 101075747. Views and opinions expressed are however those of the author(s) only and do not necessarily reflect those of the European Union or European Climate, Infrastructure and Environment Executive Agency (CINEA), granting authority. Neither the European Union nor the granting authority can be held responsible for them.

Data Availability Statement

Data are contained within the article.

Conflicts of Interest

The authors declare no conflicts of interest. The funders had no role in the design of the study; in the collection, analyses, or interpretation of data; in the writing of the manuscript; or in the decision to publish the results.

Appendix A

For each simulation, the quantity and matching proportion of users experiencing voltage problems are computed. It is possible to see the mean value and its standard deviation using Monte Carlo simulations. The consumers with voltage issues are shown in Figure A1, Figure A2, Figure A3 and Figure A4 with varying penetration levels for PV only derived from [21], EV only derived from [24], and combined PV and EV penetration levels. Different technologies and downstream and upstream allocation scenarios all exhibit a wide range of effects. Feeder 2 and Feeder 7 did not exhibit voltage issues.
Figure A1. Voltage issues for PV (a), EV (b), and combined (c) integration–Feeder 1.
Figure A1. Voltage issues for PV (a), EV (b), and combined (c) integration–Feeder 1.
Energies 17 00263 g0a1
Figure A2. Voltage issues for PV (a), EV (b), and combined (c) integration–Feeder 3.
Figure A2. Voltage issues for PV (a), EV (b), and combined (c) integration–Feeder 3.
Energies 17 00263 g0a2
Figure A3. Voltage issues for PV (a), EV (b), and combined (c) integration–Feeder 5.
Figure A3. Voltage issues for PV (a), EV (b), and combined (c) integration–Feeder 5.
Energies 17 00263 g0a3
Figure A4. Voltage issues for PV (a), EV (b), and combined (c) integration–Feeder 6.
Figure A4. Voltage issues for PV (a), EV (b), and combined (c) integration–Feeder 6.
Energies 17 00263 g0a4

Appendix B

The utilization factor impacts are shown in Figure A5, Figure A6, Figure A7, Figure A8, Figure A9 and Figure A10 with varying penetration levels for PV only derived from [21], EV only derived from [24], and combined PV and EV penetration levels.
Figure A5. Utilization factor for PV (a), EV (b), and combined (c) integration–Feeder 1.
Figure A5. Utilization factor for PV (a), EV (b), and combined (c) integration–Feeder 1.
Energies 17 00263 g0a5
Figure A6. Utilization factor for PV (a), EV (b), and combined (c) integration–Feeder 2.
Figure A6. Utilization factor for PV (a), EV (b), and combined (c) integration–Feeder 2.
Energies 17 00263 g0a6
Figure A7. Utilization factor for PV (a), EV (b), and combined (c) integration–Feeder 3.
Figure A7. Utilization factor for PV (a), EV (b), and combined (c) integration–Feeder 3.
Energies 17 00263 g0a7
Figure A8. Utilization factor for PV (a), EV (b), and combined (c) integration–Feeder 5.
Figure A8. Utilization factor for PV (a), EV (b), and combined (c) integration–Feeder 5.
Energies 17 00263 g0a8
Figure A9. Utilization factor for PV (a), EV (b), and combined (c) integration–Feeder 6.
Figure A9. Utilization factor for PV (a), EV (b), and combined (c) integration–Feeder 6.
Energies 17 00263 g0a9
Figure A10. Utilization factor for PV (a), EV (b), and combined (c) integration–Feeder 7.
Figure A10. Utilization factor for PV (a), EV (b), and combined (c) integration–Feeder 7.
Energies 17 00263 g0a10

Appendix C

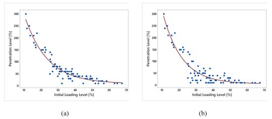
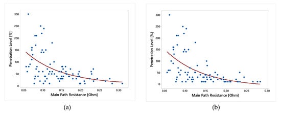
The regression outcomes for the six parameters pertaining to the integration of PV and EV are presented in Appendix C. The analysis includes two allocation scenarios, namely downstream (a) and upstream (b). Fourteen graphs are depicted in total. The regression results represent a highly effective tool for network planning and operation. This aids in the identification of the primary parameters that contribute significantly to technical integration issues, such as the overall number of consumers, initial utilization factor, and total path resistance (TPR). Hence, in order to incorporate this particular tool, a utility is required to strike a balance between precision in estimations, which demands greater computational effort (e.g., initial utilization factor and TPR), and reduced precision, which offers a simpler parameter (feeder length, number of consumers).
Figure A11. Regression analysis—Penetration vs. Feeder Length. (a) upstream; (b) downstream.
Figure A11. Regression analysis—Penetration vs. Feeder Length. (a) upstream; (b) downstream.
Energies 17 00263 g0a11
Figure A12. Regression analysis—Penetration vs. Number of consumers. (a) upstream; (b) downstream.
Figure A12. Regression analysis—Penetration vs. Number of consumers. (a) upstream; (b) downstream.
Energies 17 00263 g0a12
Figure A13. Regression analysis—Penetration vs. Initial Loading. (a) upstream; (b) downstream.
Figure A13. Regression analysis—Penetration vs. Initial Loading. (a) upstream; (b) downstream.
Energies 17 00263 g0a13
Figure A14. Regression analysis—Penetration vs. Total Path Resistance. (a) upstream; (b) downstream.
Figure A14. Regression analysis—Penetration vs. Total Path Resistance. (a) upstream; (b) downstream.
Energies 17 00263 g0a14
Figure A15. Regression analysis—Penetration vs. Total Resistance. (a) upstream; (b) downstream.
Figure A15. Regression analysis—Penetration vs. Total Resistance. (a) upstream; (b) downstream.
Energies 17 00263 g0a15
Figure A16. Regression analysis—Penetration vs. Main Path. (a) upstream; (b) downstream.
Figure A16. Regression analysis—Penetration vs. Main Path. (a) upstream; (b) downstream.
Energies 17 00263 g0a16
Figure A17. Regression analysis—Penetration vs. Main Path Resistance. (a) upstream; (b) downstream.
Figure A17. Regression analysis—Penetration vs. Main Path Resistance. (a) upstream; (b) downstream.
Energies 17 00263 g0a17

References

  1. Cramer, W.; Guiot, J.; Marini, K.; Azzopardi, B.; Balzan, M.V.; Cherif, S.; Doblas-Miranda, E.; Santos, M.D.; Drobinski, P.; Fader, M.; et al. MedECC 2020 Summary for Policymakers. In Climate and Environmental Change in the Mediterranean Basin—Current Situation and Risks for the Future. First Mediterranean Assessment Report; Cramer, W., Guiot, J., Marini, K., Eds.; Union for the Mediterranean: Plan Bleu, France; UNEP/MAP: Marseille, France, 2020; pp. 11–40. ISBN 978-2-9577416-1-8. [Google Scholar]
  2. United Nations. Paris Agreement; United Nations: Paris, France, 2015.
  3. European Commission. Renewable Energy Directive 2018/2001; European Commission: Brussels, Belgium, 2018.
  4. EU. Proposal to the revised Directive 2010/31/EU of the European Parliament and of the Council of 19 May 2010 on the energy performance of buildings (recast). Off. J. Eur. Union 2010, 153, 13–35. [Google Scholar]
  5. European Parliament and the Council. Amending Regulation (EU) 2019/631 as regards strengthening the CO2 emission performance standards for new passenger cars and new light commercial vehicles in line with the Union’s increased climate ambition. Off. J. Eur. Union 2023, 25, 5–20. [Google Scholar]
  6. REN21. Renewables 2022 Global Status Report; REN21 Secretariat: Paris, France, 2023. [Google Scholar]
  7. Masson, G.; Kaizuka, I.; Bosch, E.; Plaza, C.; Scognamiglio, A.; Jäger-Waldau, A.; Lindahl, J.; Blokken, E. Trends in Photovoltaic Applications 2022; IEA PVPS: Paris, France, 2022; ISBN 978-3-907281-35-2. [Google Scholar]
  8. IEA. Renewables 2022 Analysis and Forecast to 2027; IEA: Paris, France, 2023.
  9. NSO. NR106/2022 Renewable Energy from Photovoltaic Panels (PVs): 2021; National Statistics Office: Valletta, Malta, 2022.
  10. International Energy Agency. Global EV Outlook 2022; IEA Publications: Paris, France, 2022.
  11. NSO. NR071/2023 Motor Vehicles: Q1/2023, April 2023. NSO Malta|Motor Vehicles: Q1/2023—NSO Malta. Available online: https://nso.gov.mt/motor-vehicles-q1-2023/ (accessed on 20 May 2023).
  12. Von Appen, J.; Stetz, T.; Braun, M.; Schmiegel, A. Local voltage control strategies for PV storage systems in distribution grids. IEEE Trans. Smart Grid 2014, 5, 1002–1009. [Google Scholar] [CrossRef]
  13. Makarov, Y.V.; Du, P.; Kintner-Meyer, M.C.W.; Jin, C.; Illian, H.F. Sizing energy storage to accommodate high penetration of variable energy resources. IEEE Trans. Sustain. Energy 2012, 3, 34–40. [Google Scholar] [CrossRef]
  14. Moshövel, J.; Kairies, K.-P.; Magnor, D.; Leuthold, M.; Bost, M.; Gährs, S.; Szczechowicz, E.; Cramer, M.; Sauer, D.U. Analysis of the maximal possible grid relief from PV-peak-power impacts by using storage systems for increased self-consumption. Appl. Energy 2015, 137, 567–575. [Google Scholar] [CrossRef]
  15. Nousdilis, A.I.; Chrysochos, A.I.; Papagiannis, G.K.; Christoforidis, G.C. The impact of Photovoltaic Self-Consumption Rate on voltage levels in LV distribution grids. In Proceedings of the 2017 11th IEEE International Conference on Compatibility, Power Electronics and Power Engineering (CPE-POWERENG), Cadiz, Spain, 4–6 April 2017; pp. 650–655. [Google Scholar]
  16. Bentley, E.C.; Narayana, M. Impact of Electric Vehicles on Power Distribution Networks. In Proceedings of the 2009 IEEE Vehicle Power and Propulsion Conference, Dearborn, MI, USA, 7–10 September 2009; pp. 827–831. [Google Scholar]
  17. Haidar, A.M.A.; Muttaqi, K.M.; Sutanto, D. Technical challenges for electric power industries due to grid-integrated electric vehicles in low voltage distributions: A review. Energy Convers. Manag. 2014, 86, 689–700. [Google Scholar] [CrossRef]
  18. Zafred, K.; Nieto-Martin, J.; Butans, E. Electric Vehicles—Effects on domestic low voltage networks. In Proceedings of the 2016 IEEE International Energy Conference (ENERGYCON), Leuven, Belgium, 4–8 April 2016. [Google Scholar]
  19. Dubey, A.; Santoso, S. Electric Vehicle Charging on Residential Distribution Systems: Impacts and Mitigations. IEEE Access 2015, 3, 1871–1893. [Google Scholar] [CrossRef]
  20. Knezovic, K.; Marinelli, M.; Moller, R.J.; Andersen, P.B.; Traholt, C.; Sossan, F. Analysis of voltage support by electric vehicles and photovoltaic in a real Danish low voltage network. In Proceedings of the 2014 49th International Universities Power Engineering Conference (UPEC), Cluj-Napoca, Romania, 2–5 September 2014. [Google Scholar]
  21. Gabdullin, Y.; Azzopardi, B. Impacts of Photovoltaics in Low-Voltage Distribution Networks: A Case Study in Malta. Energies 2022, 15, 6731. [Google Scholar] [CrossRef]
  22. Dugan, R.C.; McDermott, T.E. An open source platform for collaborating on smart grid research. In Proceedings of the 2011 IEEE Power and Energy Society General Meeting, Detroit, MI, USA, 24–28 July 2011; pp. 1–7. [Google Scholar]
  23. Azzopardi, B.; Gabdullin, Y.; Simkoniene, G. Impacts of electric vehicles on low-voltage distribution networks in Malta. In Proceedings of the 13th Mediterranean Conference on Power Generation, Transmission, Distribution and Energy Conversion (MEDPOWER 2022), Valletta, Malta, 7–9 November 2022; pp. 551–553. [Google Scholar] [CrossRef]
  24. Azzopardi, B.; Gabdullin, Y. Impacts of Electric Vehicles Charging in Low-Voltage Distribution Networks: A Case Study in Malta. Energies, 2023; in press. [Google Scholar]
  25. Montgomery, D.C.; Peck, E.A.; Vining, G.G. Introduction to Linear Regression Analysis, 5th ed.; Wiley: New York, NY, USA, 2012. [Google Scholar]
Figure 1. Methodology Base Framework [21].
Figure 1. Methodology Base Framework [21].
Energies 17 00263 g001
Figure 2. Voltage issues for PV (a) [21], EV (b) [23], and combined (c) integration–Feeder 4.
Figure 2. Voltage issues for PV (a) [21], EV (b) [23], and combined (c) integration–Feeder 4.
Energies 17 00263 g002
Figure 3. Utilization factor for PV (a) [21], EV (b) [23], and combined (c) integration–Feeder 4.
Figure 3. Utilization factor for PV (a) [21], EV (b) [23], and combined (c) integration–Feeder 4.
Energies 17 00263 g003
Figure 4. Feeder 4 CDFs results: voltage issues for combined PV and EV penetration levels. (a) upstream; (b) downstream scenarios.
Figure 4. Feeder 4 CDFs results: voltage issues for combined PV and EV penetration levels. (a) upstream; (b) downstream scenarios.
Energies 17 00263 g004
Figure 5. Feeder 4 CDFs results: utilization factor for combined PV and EV penetration levels. (a) upstream; (b) downstream scenarios.
Figure 5. Feeder 4 CDFs results: utilization factor for combined PV and EV penetration levels. (a) upstream; (b) downstream scenarios.
Energies 17 00263 g005
Figure 6. Feeder 4 Probability of voltage issues for combined PV and EV penetration levels on Feeder 4. Additionally, the figure presents the likelihood of exceeding a 1% threshold of consumers experiencing voltage issues at varying penetration levels. Hence, in the event that the utility is incapable of accommodating any conceivable voltage irregularities, complications arise when the penetration level reaches 10%, resulting in a downstream scenario probability of 0.1. (a) upstream; (b) downstream scenario.
Figure 6. Feeder 4 Probability of voltage issues for combined PV and EV penetration levels on Feeder 4. Additionally, the figure presents the likelihood of exceeding a 1% threshold of consumers experiencing voltage issues at varying penetration levels. Hence, in the event that the utility is incapable of accommodating any conceivable voltage irregularities, complications arise when the penetration level reaches 10%, resulting in a downstream scenario probability of 0.1. (a) upstream; (b) downstream scenario.
Energies 17 00263 g006
Figure 7. Probability of Feeder 4 overloading issues for combined PV and EV penetration levels. (a) upstream; (b) downstream scenarios.
Figure 7. Probability of Feeder 4 overloading issues for combined PV and EV penetration levels. (a) upstream; (b) downstream scenarios.
Energies 17 00263 g007
Figure 8. Feeders with technical issues for two allocation scenarios (α = 0) for PV [21] and for EV [24].
Figure 8. Feeders with technical issues for two allocation scenarios (α = 0) for PV [21] and for EV [24].
Energies 17 00263 g008
Figure 9. First occurrence of voltage problems (α = 0) for PV [21] and for EV [24].
Figure 9. First occurrence of voltage problems (α = 0) for PV [21] and for EV [24].
Energies 17 00263 g009
Figure 10. First occurrence of overloading problems (α = 0) for PV [21] and for EV [24].
Figure 10. First occurrence of overloading problems (α = 0) for PV [21] and for EV [24].
Energies 17 00263 g010
Table 1. Summary of penetration levels, technical challenges thresholds [21,23].
Table 1. Summary of penetration levels, technical challenges thresholds [21,23].
FeederPV Only [21]EV Only [24]Combined PV and EV
VoltageUtilizationVoltageUtilizationVoltageUtilization
1302060802020202020102020
2------------
3503070601010202010102020
4502080803010101030101010
58050901008050303080502040
69030--8030405080304060
7------90100--10090
⇓ downstream and ⇑ upstream allocation scenarios of PV and/or EV units.
Table 2. Percentage of feeders with technical problems for PV [21] and for EV [24].
Table 2. Percentage of feeders with technical problems for PV [21] and for EV [24].
Caseα = 0α = 0.05
Voltage IssuesOverloadingVoltage IssuesOverloading
PV ⇓ [21]77.8%31.5%75.9%27.8%
PV ⇑ [21]79.6%33.3%75.0%28.7%
EV ⇓ [24]63.1%76.2%58.3%71.4%
EV ⇑ [24]65.5%76.2%58.3%69.1%
PV and EV ⇓79.6%75.9%66.7%67.8%
PV and EV ⇑72.4%78.2%70.1%66.7%
⇓ downstream and ⇑ upstream allocation scenarios of PV and/or EV units.
Table 3. Standard error of regression for each parameter and case [21,24].
Table 3. Standard error of regression for each parameter and case [21,24].
ParameterPV Only [21]EV Only [24]Combined PV and EV
(i) Feeder Length25.531.944.442.933.735.6
(ii) Number of Customers39.145.124.828.623.028.5
(iii) Total Path Resistance (TPR)25.033.123.122.221.422.3
(iv) Initial Utilization Factor38.144.817.625.917.424.1
(v) Main Path Distance43.545.754.750.151.853.6
(vi) Main Path Resistance (MPR)44.045.756.552.852.555.0
(vii) Total Resistance29.435.647.947.436.539.3
⇓ downstream and ⇑ upstream allocation scenarios of PV and/or EV units.
Disclaimer/Publisher’s Note: The statements, opinions and data contained in all publications are solely those of the individual author(s) and contributor(s) and not of MDPI and/or the editor(s). MDPI and/or the editor(s) disclaim responsibility for any injury to people or property resulting from any ideas, methods, instructions or products referred to in the content.

Share and Cite

MDPI and ACS Style

Azzopardi, B.; Gabdullin, Y. Assessing Combined High Photovoltaic and Electric Vehicle Charging Penetration in Low-Voltage Distribution Networks: A Case Study in Malta. Energies 2024, 17, 263. https://doi.org/10.3390/en17010263

AMA Style

Azzopardi B, Gabdullin Y. Assessing Combined High Photovoltaic and Electric Vehicle Charging Penetration in Low-Voltage Distribution Networks: A Case Study in Malta. Energies. 2024; 17(1):263. https://doi.org/10.3390/en17010263

Chicago/Turabian Style

Azzopardi, Brian, and Yesbol Gabdullin. 2024. "Assessing Combined High Photovoltaic and Electric Vehicle Charging Penetration in Low-Voltage Distribution Networks: A Case Study in Malta" Energies 17, no. 1: 263. https://doi.org/10.3390/en17010263

APA Style

Azzopardi, B., & Gabdullin, Y. (2024). Assessing Combined High Photovoltaic and Electric Vehicle Charging Penetration in Low-Voltage Distribution Networks: A Case Study in Malta. Energies, 17(1), 263. https://doi.org/10.3390/en17010263

Note that from the first issue of 2016, this journal uses article numbers instead of page numbers. See further details here.

Article Metrics

Back to TopTop