Experimental Investigations on Pressure Drop for Subcooled Water in a Circular Channel with a Twisted Tape Insert under One-Side Heating Conditions
Abstract
:1. Introduction
2. Experimental Descriptions
2.1. Test Loop
2.2. Experimental Section
2.3. Data Reduction
2.4. Heat Balance Experiment
2.5. Uncertainty Analysis
3. Effect of System Parameters
3.1. Typical Working Conditions
3.2. Effect of Pressure
3.3. Effect of Mass Flux
3.4. Effect of Heat Flux
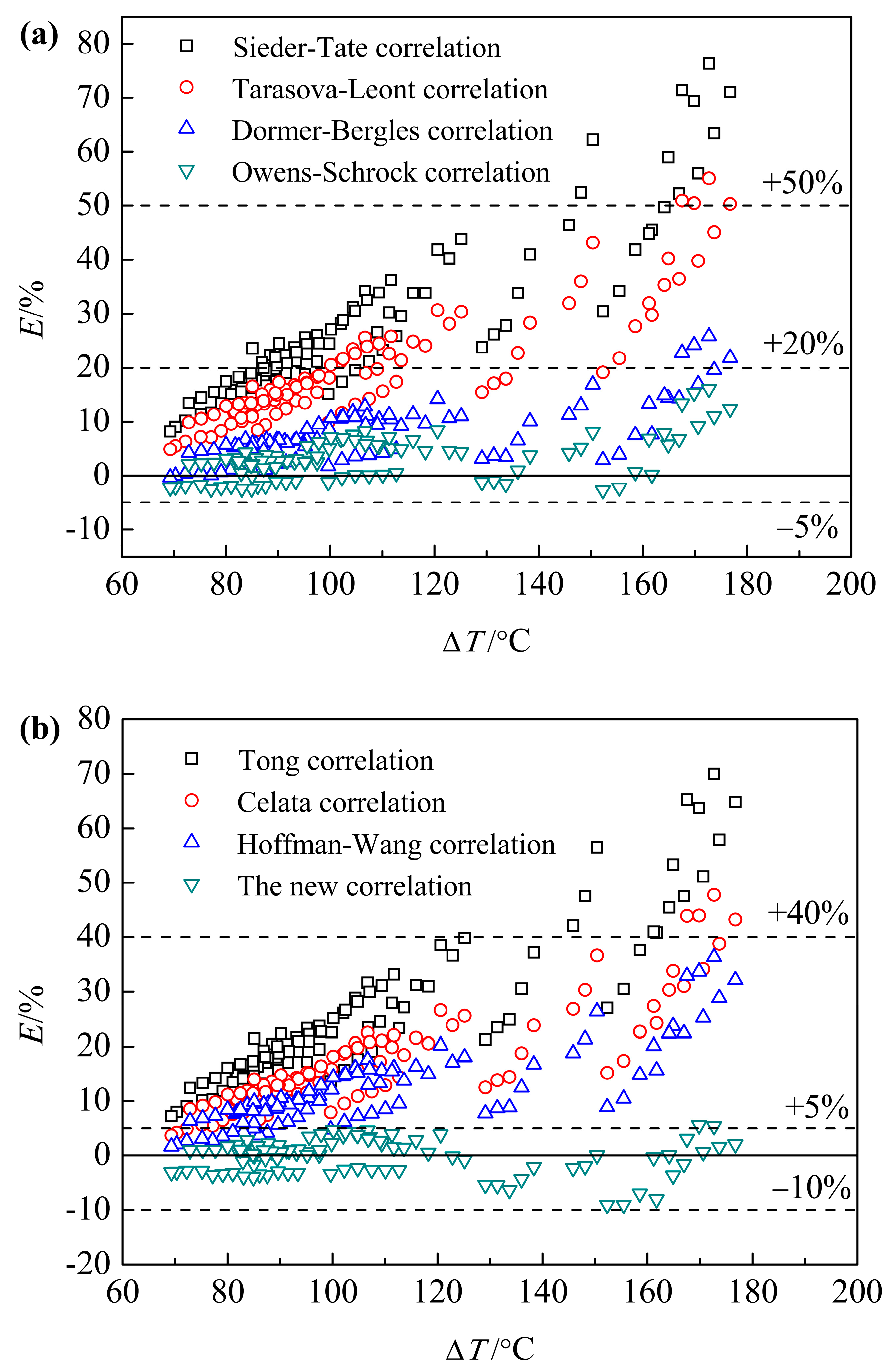
4. Evaluation of Pressure Drop Correlations
5. Conclusions
- (1)
- According to the analysis of pressure drop in the test section under typical working conditions, the pressure drop curve can be divided into two parts: SP flow region and SB (including PB and FDB) flow region. In the SP region, Δp decreases slightly with the increasing Tb,in. In the SB flow region, the pressure drop curve began to rise, and the slope increased with the increasing bulk temperature. The Δp increased significantly at a high Tb,in.
- (2)
- The factors affecting Δp are analyzed in detail. The results show that inlet pressure and bulk temperature have little effect on Δp in SP region. The mass flux is the main factor that determines Δp. A higher G leads to a larger Δp. The higher the qe, the smaller the Δp. In the SB flow region, the Δp mainly depends on the intensity of nuclear boiling. The lower p, the higher qe and Tb,in lead to a stronger nuclear boiling, then cause more bubbles produced, and a larger Δp.
- (3)
- A series of SP flow pressure drop correlations have been evaluated with experimental data and error analysis was carried out: most of them could not predict the pressure drop well under the experimental conditions. Based on the test data, the SP pressure drop correlation suitable for high mass flux and non-uniform high heat flux conditions was fitted. The new correlation has a good agreement with the experimental results, the AE and RMSE are 0.26% and 3.17%, respectively.
Author Contributions
Funding
Data Availability Statement
Conflicts of Interest
Nomenclature
| A | area (m2) |
| Af | flow area (m2) |
| Dh | hydraulic diameter (m) |
| f | friction factor (-) |
| G | mass flux (kg·m−2·s−1) |
| h | heat transfer coefficient (kw·m−2·K−1) |
| H | enthalpy (kJ·kg−1) |
| I | current (A) |
| k | thermal efficiency (%) |
| L | length (m) |
| Lh | heated length of tube (m) |
| M | mass flow (kg·m−2·s−1) |
| p | pressure (MPa) |
| Δp | pressure drop (MPa) |
| Pw | wetting perimeter (m) |
| q | heat flux (kW·m−2) |
| Q | power (kW) |
| T | temperature (°C) |
| ΔT | heat transfer temperature difference (°C) |
| U | voltage drop (V) |
| W | width (m) |
| density (kg·m−3) | |
| η | viscosity (Pa·s) |
| Subscripts | |
| ad | adiabatic |
| b | bulk |
| c | circumferential |
| cal | calculated |
| e | equivalent |
| eff | effective |
| exp | experimental |
| FDB | fully developed boiling |
| g | gravity |
| in | inlet of the test section |
| out | outlet of the test section |
| sp | single phase |
| TT | twist tape |
| w | wall |
References
- Raffary, A.R.; Schlosser, J.; Akiba, M.; Araki, M.; Chiocchio, S.; Driemeyer, D.; Escourbiac, F.; Grigoriev, S.; Merola, M.; Tivey, R.; et al. Critical heat flux analysis and R&D for design of the ITER divertor. Fusion Eng. Des. 1999, 45, 377–407. [Google Scholar]
- Baxi, C.B. Comparsion of swirl tube and hypervapotron for cooling of ITER divertor. In Proceedings of the 16th International Symposium on Fusion Engineering, Champaign, IL, USA, 30 September–5 October 1995; Volume 1, pp. 186–189. [Google Scholar]
- Tabatabaeikia, S.; Mohammand, H.A.; Nik-Ghazali, N.; Shahizare, B. Heat transfer enhancement by using different types of inserts. Adances Mech. Eng. 2014, 24, 623–632. [Google Scholar] [CrossRef]
- Eiamsa-Ard, S.; Somkleang, P.; Nuntadusit, C.; Thianpong, C. Heat transfer enhancement in tube by inserting uniform/non-uniform twisted-tapes with alternate axes: Effect of rotated-axis length. Appl. Them. Eng. 2013, 54, 289–309. [Google Scholar] [CrossRef]
- He, Y.; Liu, L.; Li, P.; Ma, L. Experimental study on heat transfer enhancement characteristics of tube with cross hollow twisted tape inserts. Appl. Them. Eng. 2018, 131, 743–749. [Google Scholar] [CrossRef]
- Sharma, K.V.; Syam, S.L.; Sarma, P.K. Estimation of heat transfer coefficient and friction factor in the transfition flow with low volume concentration of Al2O3 nanofluid in a circular tube and with twisted tape insert. Int. Common. Heat Mass 2009, 36, 503–507. [Google Scholar] [CrossRef]
- Akhavan-Behahabadi, M.A.; Ravi Kumar Mohammadpour, A.; Jamali-Aathiani, M. Effect of twisted tape insert on heat transfer and pressure drop in horizontal evaporators for the flow of R-134a. Int. J. Heat Mass Transf. 2009, 32, 922–930. [Google Scholar]
- Hejazi, V.; Akavan-Behabadi, M.A.; Afahari, A. Experimental investigation of twisted tape inserts performance on condensation heat transfer enhancement and pressure drop. Int. Common. Heat Mass 2010, 37, 1376–1387. [Google Scholar] [CrossRef]
- Bas, H.; Ozceyhan, V. Heat transfer enhancement in a tube with twisted tape inserts placed seprarately from the tube wall. Exp. Therm. Fluid Sci. 2012, 41, 51–58. [Google Scholar] [CrossRef]
- Cioncolini, A.; Santini, L.; Ricotti, M.E. Subcooled and saturated water flow boiling pressure drop in small diameter helical coils at low pressure. Exp. Therm. Fluid Sci. 2008, 32, 1301–1312. [Google Scholar] [CrossRef]
- Tarasova, N.V.; Leontiev, A.; Hlopushin, V.I.; Orlov, V.M. Pressure drop of boiling subcooled water and steam-water mixture flowing in heated channels. In Proceedings of the International Heat Transfer Conference 3, Chicago, IL, USA, 7–12 August 1966. [Google Scholar]
- Owens, W.L.; Schrock, V.E. Local Pressure Gradients for Subcooled Boiling of Water in Vertical Tubes; ASME Paper 60-WA-249; ASME: New York, NY, USA, 1960. [Google Scholar]
- Domer, T.J.; Bergles, A.E. Pressure Drop with Surface Boiling in Small-Diameter Tubes; MIT Report No. 8767-31; MIT Libraries: Cambridge, MA, USA, 1964. [Google Scholar]
- Bergles, A.E.; Dormer, T., Jr. Subcooled boiling pressure drop with water at low pressure. Int. J. Heat Mass Transf. 1969, 12, 459–470. [Google Scholar] [CrossRef]
- Inasaka, F.; Nariai, H.; Shimura, T. Pressure drop of subcooled flow boiling in narrow tube. Trans. Jpn. Soc. Mech. Eng. Ser. B 1987, 53, 3093–3099. [Google Scholar] [CrossRef]
- Hoffmanm, A.; Wongc, F. Prediction of pressure drops in forced convection subcooled boiling water flows. Int. J. Heat Mass Transf. 1992, 35, 3291–3299. [Google Scholar] [CrossRef]
- Davise, J.; Andersong, H. The incipience of nucleate boiling in forced convection flow. AIChE J. 1966, 12, 774–780. [Google Scholar] [CrossRef]
- Saha, P.; Zuber, N. Point of net vapor generation and vapor void fraction in subcooled boiling. In Proceedings of the International Heat Transfer Conference 5, Tokyo, Japan, 3–7 September 1974; pp. 175–179. [Google Scholar]
- Yan, J.; Guo, P.; Bi, Q.; Liu, Z.; Zhang, Q.; Yang, Z. Pressure drop for highly subcooled water flow boiling under high heat and mass fluxes. Appl. Therm. Eng. 2017, 124, 1061–1074. [Google Scholar] [CrossRef]
- Coleman, H.W.; Steele, W.G. Engineering application of experimental uncertainty analysis. AIAA J. 1995, 33, 1888–1896. [Google Scholar] [CrossRef]
- Piero, C.E.A.A.G.; Maurizio, C.U.O.; Andrea, M.A.I.N. Experimental evaluation of the onset of subcooled flow boiling at high liquid velocity and subcooling. Int. J. Heat Mass Transf. 1997, 40, 2879–2885. [Google Scholar]
- Sieder, E.N.; Tate, G.E. Heat transfer and pressure drop of liquids in tubes. Ind. Eng. Chem. 1936, 28, 1429–1435. [Google Scholar] [CrossRef]
- Tong, W.; Bergles, A.E.; Jensen, M.K. Pressure drop with highly subcooled flow boiling in small-diameter tubes. Exp. Therm. Fluid Sci. 1997, 15, 202–212. [Google Scholar] [CrossRef]












| Measurement Parameters | Range | Measuring Instrument | Accuracy |
|---|---|---|---|
| Mass flow rate | 0–2.5 t·h−1 | Mass flowmeter | 0.5% |
| Pressure | 0–6 MPa | Rosemount 3051 pressure transmitter | 0.3% |
| Fluid temperature | 20–300 °C | Φ1.5 mm T-sheathed thermocouple | 0.5% |
| Outer wall temperature | 20–1100 °C | Φ1.5 mm Type-K thermocouple | 0.4% |
| Parameters | Units | Uncertainties (%) |
|---|---|---|
| Electric heating power | kW | ±2.2 |
| System pressure | MPa | ±0.3 |
| Mass flux | kg·m−2·s−1 | ±0.8 |
| Equivalent one-side heat flux | MW·m−2 | ±3.3 |
| Fluid temperature | °C | ±0.5 |
| Outer wall temperature | °C | ±0.4 |
| Pressure drop | kPa | ±7.9 |
| Authors | Correlations | p/MPa | G/(kg∙m−2∙s−1) | q/(MW∙m−2) |
|---|---|---|---|---|
| Celata [21] | f/fad = (ηw/ηb)0.25 | 1~2.5 | 5000~10,000 | <14 |
| Hoffman [16] | f/fad = (ηw/ηb)0.3 | 0.2~2.8 | 2500~10,000 | <9.7 |
| Sieder [22] | f/fad = (ηw/ηb)0.14 | 25~387 | <0.013 | |
| Tong [23] | f/fad = (ηw/ηb)0.163 | 0.4~1.6 | 25,000~45,000 | <80 |
| Tarasova [11] | f/fad = (ηw/ηb)0.22 | 22.6~26.5 | 2000, 5000 | 0.58~1.32 |
| Owens [12] | f/fad = (ηw/ηb)0.4 | 0.34~2.76 | 1143~5322 | 0.675–4 |
| Dormer [14] | f/fad = (ηw/ηb)0.35 | 0.2~0.55 | 1500~15,000 | <17.35 |
| Correlations | AE/% | RSME/% |
|---|---|---|
| Celata [21] | 16.85 | 19.27 |
| Hoffman-Wang [16] | 12.07 | 14.06 |
| Sieder-Tate [22] | 28.21 | 32.00 |
| Tong [23] | 25.74 | 29.19 |
| Tarasova-Leont [11] | 19.83 | 22.57 |
| Owens-Schrock [12] | 3.19 | 5.08 |
| Dormer-Bergles [14] | 7.52 | 9.24 |
| The new correlation | 0.26 | 3.17 |
Disclaimer/Publisher’s Note: The statements, opinions and data contained in all publications are solely those of the individual author(s) and contributor(s) and not of MDPI and/or the editor(s). MDPI and/or the editor(s) disclaim responsibility for any injury to people or property resulting from any ideas, methods, instructions or products referred to in the content. |
© 2023 by the authors. Licensee MDPI, Basel, Switzerland. This article is an open access article distributed under the terms and conditions of the Creative Commons Attribution (CC BY) license (https://creativecommons.org/licenses/by/4.0/).
Share and Cite
Zhu, G.; Mei, G.; Bi, Q.; Tian, S. Experimental Investigations on Pressure Drop for Subcooled Water in a Circular Channel with a Twisted Tape Insert under One-Side Heating Conditions. Energies 2024, 17, 193. https://doi.org/10.3390/en17010193
Zhu G, Mei G, Bi Q, Tian S. Experimental Investigations on Pressure Drop for Subcooled Water in a Circular Channel with a Twisted Tape Insert under One-Side Heating Conditions. Energies. 2024; 17(1):193. https://doi.org/10.3390/en17010193
Chicago/Turabian StyleZhu, Ge, Ge Mei, Qincheng Bi, and Shujian Tian. 2024. "Experimental Investigations on Pressure Drop for Subcooled Water in a Circular Channel with a Twisted Tape Insert under One-Side Heating Conditions" Energies 17, no. 1: 193. https://doi.org/10.3390/en17010193
APA StyleZhu, G., Mei, G., Bi, Q., & Tian, S. (2024). Experimental Investigations on Pressure Drop for Subcooled Water in a Circular Channel with a Twisted Tape Insert under One-Side Heating Conditions. Energies, 17(1), 193. https://doi.org/10.3390/en17010193
