Study on the Compressive and Tensile Properties of Gneiss Outcrop of Bozhong 196 Gas Field in China
Abstract
:1. Introduction
2. Test Methods and Specimen Preparation
2.1. Test Methods
2.2. Specimen Preparation
3. Study on Mechanical Properties of Gneiss in Different Directions: Experimental Results and Discussion
3.1. Study on Compression Properties
3.2. Study on Tensile Properties
4. Conclusions
- (1)
- There is no obvious bedding for the gneiss specimens, but the anisotropy is clearly observed. The elastic compression modulus and compressive strength of gneiss specimens in the horizontal direction are greater than those in the vertical direction, while the Poisson’s ratio of gneiss specimens in the horizontal direction is smaller than that in the vertical direction. The elastic compression modulus, Poisson’s ratio and compressive strength of gneiss specimens in the horizontal direction are 29.688–45.760 GPa, 0.186–0.386, and 174.94–147.80 MPa, respectively. The corresponding elastic compression modulus of the vertical gneiss specimens is 26.541–32.602 GPa, the Poisson’s ratio is 0.429–0.476 and the compressive strength is 169.37–134.46 MPa.
- (2)
- The anisotropy of gneiss tensile properties is significant. The tensile modulus of the horizontal gneiss specimens is 4.93–5.98 GPa. The tensile modulus of the vertical gneiss specimens is 0.96–2.11 GPa. The tensile modulus of the horizontal gneiss specimens is five times that of the vertical gneiss specimens. The elastic compression modulus of gneiss is 5–20 times that of the tensile modulus.
- (3)
- The tensile strength and peak energy rate of gneiss specimens in the horizontal direction are greater than those in the vertical direction. The tensile strength of the horizontal gneiss specimens is 14.33–17.55 MPa, and the peak energy rate is 2598.67–4049.53 J/m2. The tensile strength of the vertical gneiss specimens is 6.12–9.65 MPa, and the peak energy rate is 715.74–1515.30 J/m2.
- (4)
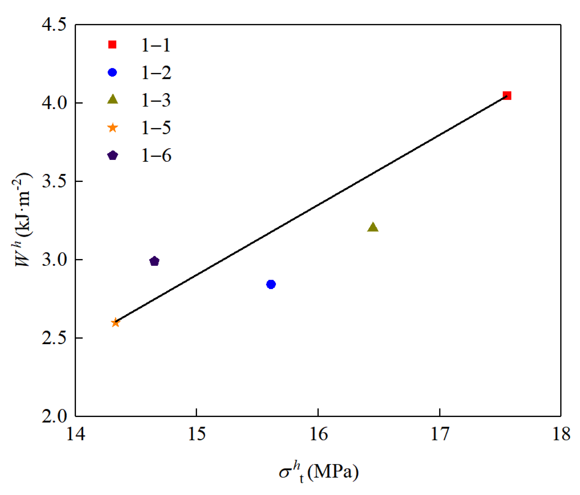
- The peak energy rate of gneiss has a good linear relationship with the tensile strength, and the peak energy rate of gneiss increases with the increase in the tensile strength.
- (5)
- The results in this paper can provide simulation parameters for the hydraulic fracturing simulations of Bozhong 196 gas field in China.
Author Contributions
Funding
Data Availability Statement
Conflicts of Interest
References
- Cai, G.; Huang, R.; Xu, Q.; Lin, F.; Tang, M. AE characteristics of gneiss fracture process under uniaxial compression. J. Eng. Geol. 2011, 19, 472–477. [Google Scholar]
- Yao, J.; Yao, H.; Dai, L.; Bian, H. Study on the mechanical characteristics of anisotropic gneiss under point load and uniaxial compression. Chin. J. Undergr. Space Eng. 2021, 17, 1038–1044+1062. [Google Scholar]
- Wang, X.; Jiang, P.; Yan, S.; Zhan, S.; Huang, F. Mechanical properties and deformation field evolution of layered gneiss. J. Min. Saf. Eng. 2020, 37, 1255–1262. [Google Scholar]
- Feng, X.; Dai, L.; Yao, H.; Hu, H.; Zhang, Z.; Li, H. Experimental study on anisotropic characteristics of gneiss. Sci. Technol. Eng. 2019, 19, 233–239. [Google Scholar]
- Wang, S.; Chen, Y.; Ni, J.; Fernández, T.M.; Xu, C. Mechanical Characteristics and Mechanism of Granite Subjected to Coupling Effect of Acidic Corrosion and Freeze-Thaw Cycles. J. Earth Sci. 2021, 32, 1202–1211. [Google Scholar] [CrossRef]
- Deng, X.; Zhang, Y.; Wang, R.; Yuan, D. Study on mechanical properties and damage mechanism of strongly weathered gneiss under freeze–thaw cycles. Arab. J. Geosci. 2022, 15, 428. [Google Scholar] [CrossRef]
- Ji, D.; Yang, Z.; Peng, C. Numerical Simulation Research on mechanism of gneisses fracture evolution by particle flow code. Chin. J. Undergr. Space Eng. 2013, 9, 825–830+877. [Google Scholar]
- João, P.; Rogério, R.; Marcos, F. Relationship between durability index and uniaxial compressive strength of a gneissic rock at different weathering grades. Bull. Eng. Geol. Environ. Off. J. IAEG 2020, 79, 1381–1397. [Google Scholar]
- Liu, H.; Jing, H.; Yin, Q.; Meng, Y.; Zhu, G. Effect of bedding plane on mechanical properties, failure mode, and crack evolution characteristic of bedded rock-like specimen. Theor. Appl. Fract. Mech. 2023, 123, 103681. [Google Scholar] [CrossRef]
- Costa, K.; Xavier, G.; Marvila, M.; Alexandre, J.; Azevedo, A.; Monteiro, S. Influence of high temperatures on physical properties and microstructure of gneiss. Bull. Eng. Geol. Env. 2021, 80, 7069–7081. [Google Scholar] [CrossRef]
- Liu, K.; Liu, Q.; Zhu, Y.; Liu, B. Experimental study of coal considering directivity effect of bedding plane under Brazilian splitting and uniaxial compression. Chin. J. Rock Mech. Eng. 2013, 32, 308–316. [Google Scholar]
- Wang, R.; Wang, Y.; Deng, X.; Qin, Y.; Xie, B. Investigation on the properties of gneiss under different ground stresses. Sensors 2022, 22, 1591. [Google Scholar] [CrossRef]
- Istvan, J.A.; Evans, L.J.; Weber, J.H.; Devine, C. Rock mechanics for gas storage in bedded salt caverns. Int. J. Rock Mech. Min. Sci. 1997, 34, 142.e1–142.e12. [Google Scholar] [CrossRef]
- McLamore, R.; Gray, E.K. The mechanical behavior of anisotropic sedimentary rocks. J. Eng. Ind. 1967, 89, 62–73. [Google Scholar] [CrossRef]
- Zhong, S.; Zuo, S.; Luo, S. Brazilian tensile strength and tensile damage anisotropy of laminated limestone. Sci. Technol. Eng. 2020, 20, 6578–6584. [Google Scholar]
- Hou, P.; Gao, F.; Yang, Y.; Zhang, Z.; Gao, Y.; Zhang, X.; Zhang, J. Effect of bedding plane direction on acoustic emission characteristics of shale in Brazilian tests. Rock Soil Mech. 2016, 37, 1603–1612. [Google Scholar]
- Zhu, S.; Li, J. Energy research on slates with bedding structure under Brazilian splitting tests in dry and saturated condition. J. Cent. South Univ. 2018, 49, 2024–2030. [Google Scholar]
- Tan, X.; Konietzky, H. Brazilian split tests and numerical simulation by discrete element method for heterogeneous gneiss with bedding structure. Chin. J. Rock Mech. Eng. 2014, 33, 938–946. [Google Scholar]
- Amadei, B.; Rogers, J.D.; Goodman, R.E. Elastic constants and tensile strength of the anisotropic rocks. In Proceedings of the Fifth Congress of International Society of Rock Mechanics, Melbourne, VIC, Australia, 10 April 1983; pp. 189–196. [Google Scholar]
- Chen, C.; Pan, E.; Amadei, B. Determination of deformability and tensile strength of anisotropic rock using Brazilian tests. Int. J. Rock Mech. Min. Sci. 1998, 35, 43–61. [Google Scholar] [CrossRef]
- Gong, F.; Li, X. Analytical algorithm to estimate tensile modulus in Brazilian disk splitting tests. Chin. J. Rock Mech. Eng. 2010, 29, 881–891. [Google Scholar]
- Carl, E.R.; Erland, M.S.; Daniel, I.; Andrii, M. Increased fractured rock permeability after percolation despite limited crack growth. J. Geophys. Res. Solid Earth 2020, 125, e2019JB019240. [Google Scholar]
- Carl, E.R.; Andrii, M.; Erland, M.S. Experimental verification of the isotropic onset of percolation in 3d crack networks in polycrystalline materials with implications for the applicability of percolation theory to crustal rocks. J. Geophys. Res. Solid Earth 2021, 126, e2021JB023092. [Google Scholar]
- Yang, T.; Wang, B.; Sun, L.; Gao, Q. Effects of various spacer methods for rock split tests. Site Investig. Sci. Technol. 2002, 01, 3–7. [Google Scholar]
- GB/T 50266-2013. Standard for Tests Method of Engineering Rock Mass. General Administration of Quality Supervision. Inspection and Quarantine of the People’s Republic of China: Beijing, China, 2013.
- Huang, D.; Gu, D.; Yang, C.; Huang, R.; Fu, Y. Investigation on mechanical behaviors of sandstone with two preexisting flaws under triaxial compression. Rock Mech. Rock Eng. 2016, 49, 375–399. [Google Scholar] [CrossRef]
- Xiao, T.; Li, X.; Jia, S. Failure characteristics of rock with two pre-existing transfixion cracks under triaxial compression. Chin. J. Rock Mech. Eng. 2015, 34, 2455–2462. [Google Scholar]
- Huang, Y.; Yang, S.; Ju, Y.; Zhou, X.; Gao, F. Experimental study on mechanical behavior of rock-like materials containing pre-existing intermittent fissures under triaxial compression. Chin. J. Geotech. Eng. 2016, 38, 1212–1220. [Google Scholar]
- Liu, Y.; Fu, H.; Rao, J.; Dong, H.; Cao, Q. Research on Brazilian disc splitting tests for anisotropy of slate under influence of different bedding orientations. Chin. J. Rock Mech. Eng. 2012, 31, 785–791. [Google Scholar]
- Liu, T.; Wan, W.; Wang, Y.; Luo, S.; Tang, J. Experimental study on the influence of rock tensile strength based on Brazilian test. Miner. Eng. Res. 2016, 31, 1–7. [Google Scholar]











| Specimen Number | Length L (mm) | (mm) | (N) | (g/cm3) | Deformation (mm) | (MPa) | (GPa) | |
|---|---|---|---|---|---|---|---|---|
| H-1 | 50.23 | 25.26 | 0.65 | 2.62 | 0.30 | 167.39 | 32.955 | 0.301 |
| H-2 | 50.24 | 25.31 | 0.65 | 2.64 | 0.25 | 174.94 | 45.760 | 0.186 |
| H-3 | 50.23 | 25.26 | 0.65 | 2.62 | 0.29 | 147.8 | 29.688 | 0.386 |
| Mean value | 50.23 | 25.28 | 0.65 | 2.63 | 0.28 | 163.38 | 36.134 | 0.291 |
| Specimen Number | Length L (mm) | Diameter D (mm) | Weight W (N) | (g/cm3) | Deformation (mm) | (MPa) | (GPa) | |
|---|---|---|---|---|---|---|---|---|
| V-1 | 49.92 | 25.26 | 0.64 | 2.63 | 0.27 | 142.11 | 30.170 | 0.456 |
| V-2 | 49.93 | 25.19 | 0.64 | 2.63 | 0.30 | 169.37 | 32.602 | 0.429 |
| V-3 | 49.94 | 25.27 | 0.64 | 2.61 | 0.29 | 134.46 | 26.541 | 0.476 |
| Mean value | 49.93 | 25.24 | 0.64 | 2.62 | 0.29 | 148.65 | 29.771 | 0.454 |
| Specimen Number | Diameter D (mm) | Thickness H (mm) | Weight W (N) | |
|---|---|---|---|---|
| 1-1 | 25.29 | 15.06 | 0.38 | 10.49 |
| 1-2 | 25.26 | 15.24 | 0.39 | 9.44 |
| 1-3 | 25.29 | 15.07 | 0.38 | 9.85 |
| 1-4 | - | - | - | - |
| 1-5 | 25.29 | 15.13 | 0.39 | 8.61 |
| 1-6 | 25.27 | 15.06 | 0.38 | 8.76 |
| Mean value | 25.28 | 15.11 | 0.38 | 9.43 |
| Specimen Number | Diameter D (mm) | Thickness H (mm) | Weight W (N) | |
|---|---|---|---|---|
| 2-1 | 25.20 | 15.26 | 0.39 | 4.65 |
| 2-2 | 25.21 | 15.48 | 0.39 | 4.63 |
| 2-3 | 25.20 | 15.21 | 0.39 | 4.25 |
| 2-4 | 25.19 | 15.14 | 0.39 | 4.62 |
| 2-5 | 25.21 | 15.05 | 0.38 | 3.65 |
| 2-6 | 25.21 | 15.28 | 0.39 | 5.84 |
| Mean value | 25.20 | 15.24 | 0.39 | 4.61 |
| Specimen Number | 1-1 | 1-2 | 1-3 | 1-4 | 1-5 | 1-6 | Mean Value | Variance |
|---|---|---|---|---|---|---|---|---|
| Tensile strength (MPa) | 17.55 | 15.61 | 16.45 | - | 14.33 | 14.65 | 15.72 | 1.40 |
| Specimen Number | 2-1 | 2-2 | 2-3 | 2-4 | 2-5 | 2-6 | Mean Value | Variance |
| Tensile strength (MPa) | 7.70 | 7.57 | 7.06 | 7.72 | 6.12 | 9.65 | 7.64 | 1.11 |
| Specimen Number | 1-1 | 1-2 | 1-3 | 1-4 | 1-5 | 1-6 | Mean Value | Variance |
|---|---|---|---|---|---|---|---|---|
| Tensile Modulus (GPa) | 5.27 | 5.98 | 5.64 | - | 5.68 | 4.93 | 5.50 | 0.13 |
| Specimen Number | 2-1 | 2-2 | 2-3 | 2-4 | 2-5 | 2-6 | Mean Value | Variance |
|---|---|---|---|---|---|---|---|---|
| Tensile Modulus (GPa) | 0.96 | 1.22 | 1.01 | 1.06 | 1.33 | 2.11 | 1.28 | 0.15 |
| Specimen Number | 1-1 | 1-2 | 1-3 | 1-4 | 1-5 | 1-6 | Mean Value | Variance |
|---|---|---|---|---|---|---|---|---|
| Peak energy rate (kJ/m2) | 4.05 | 2.84 | 3.20 | - | 2.60 | 2.99 | 3.14 | 0.25 |
| Specimen Number | 2-1 | 2-2 | 2-3 | 2-4 | 2-5 | 2-6 | Mean Value | Variance |
| Peak energy rate (kJ/m2) | 1.28 | 1.13 | 1.05 | 1.24 | 0.72 | 1.52 | 1.15 | 0.06 |
Disclaimer/Publisher’s Note: The statements, opinions and data contained in all publications are solely those of the individual author(s) and contributor(s) and not of MDPI and/or the editor(s). MDPI and/or the editor(s) disclaim responsibility for any injury to people or property resulting from any ideas, methods, instructions or products referred to in the content. |
© 2023 by the authors. Licensee MDPI, Basel, Switzerland. This article is an open access article distributed under the terms and conditions of the Creative Commons Attribution (CC BY) license (https://creativecommons.org/licenses/by/4.0/).
Share and Cite
Yang, L.; Niu, T.; He, F.; Song, Z. Study on the Compressive and Tensile Properties of Gneiss Outcrop of Bozhong 196 Gas Field in China. Energies 2023, 16, 3919. https://doi.org/10.3390/en16093919
Yang L, Niu T, He F, Song Z. Study on the Compressive and Tensile Properties of Gneiss Outcrop of Bozhong 196 Gas Field in China. Energies. 2023; 16(9):3919. https://doi.org/10.3390/en16093919
Chicago/Turabian StyleYang, Lianzhi, Tong Niu, Fanmin He, and Zhiyong Song. 2023. "Study on the Compressive and Tensile Properties of Gneiss Outcrop of Bozhong 196 Gas Field in China" Energies 16, no. 9: 3919. https://doi.org/10.3390/en16093919
APA StyleYang, L., Niu, T., He, F., & Song, Z. (2023). Study on the Compressive and Tensile Properties of Gneiss Outcrop of Bozhong 196 Gas Field in China. Energies, 16(9), 3919. https://doi.org/10.3390/en16093919

