CFD Investigation of a Hybrid Wells Turbine with Passive Flow Control
Abstract
1. Introduction



2. Materials and Methods
2.1. Geometry and Computational Modeling
2.2. Mesh Generation
2.3. Grid Independence Study
2.4. Validation of Numerical Modeling
3. Results
3.1. Quantitative Analysis
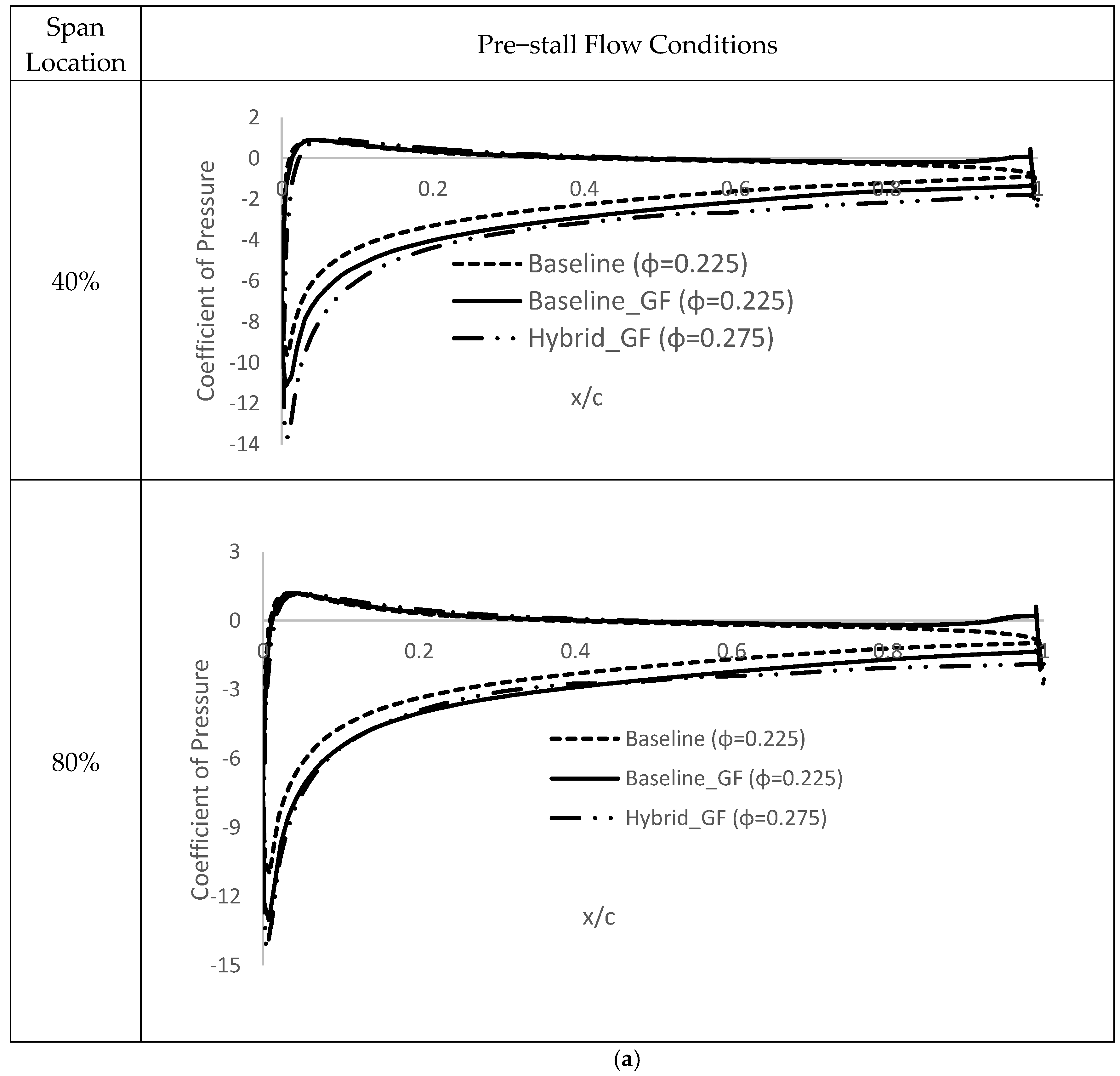
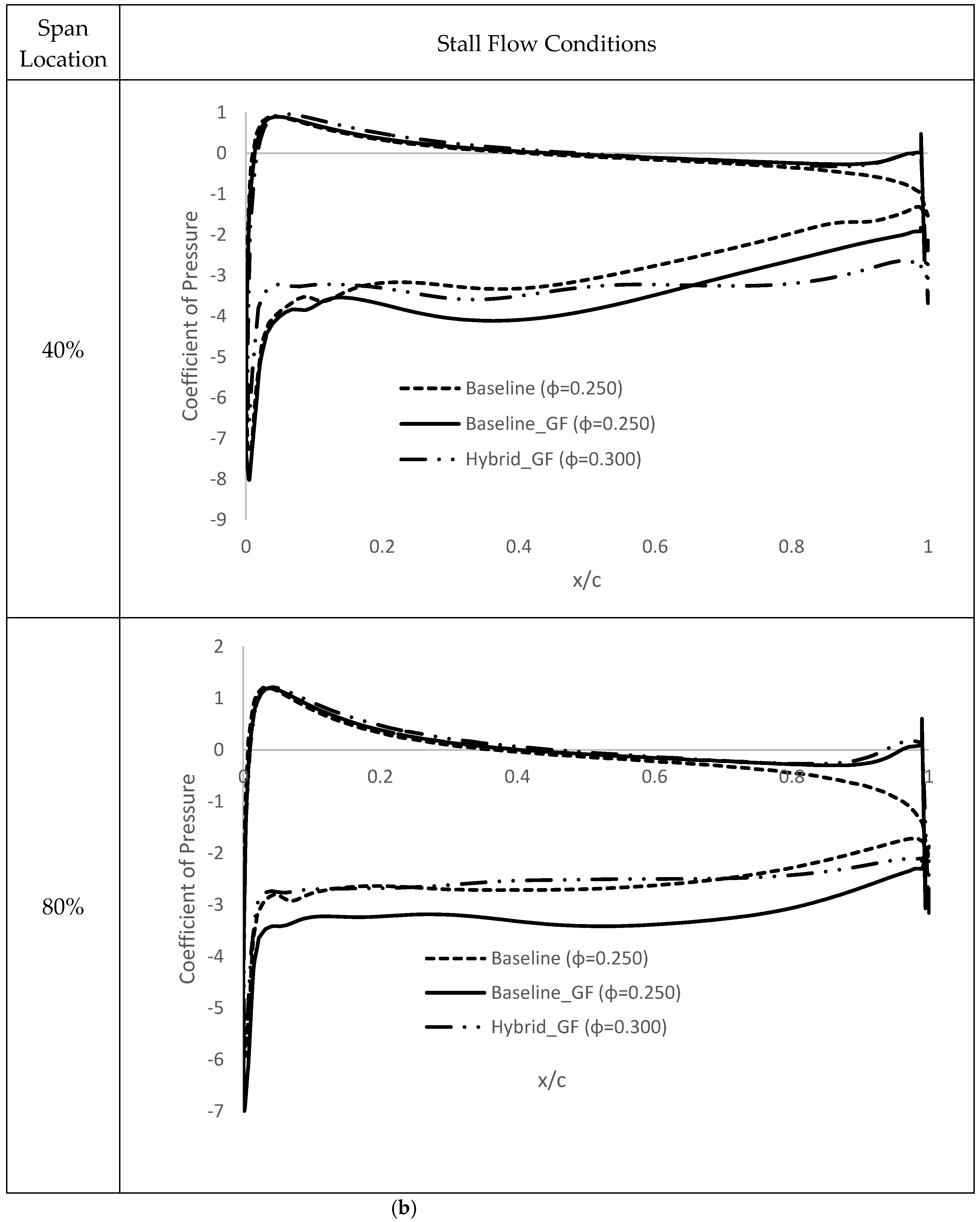
3.2. Flowfield Analysis
4. Discussion
5. Conclusions and Future Works
Author Contributions
Funding
Data Availability Statement
Conflicts of Interest
Nomenclature
| c | chord length (m) |
| CT | torque coefficient |
| D | drag force (N) |
| Fx | axial force (N) |
| Fu | tangential force (N) |
| g | gravitational acceleration (m/s2) |
| I | turbulence intensity |
| k | turbulence kinetic energy (m2/s2) |
| l | turbulent length scale (m) |
| L | lift force (N) |
| ΔP0 | static pressure drop (Pa) |
| pressure drop coefficient | |
| free-stream static pressure (Pa) | |
| Q | volumetric flow rate (m3/s) |
| R | rotor radius (m) |
| Re | Reynolds number |
| T | blade torque (Nm) |
| U | mean flow velocity (m/s) |
| friction velocity (m/s) | |
| Utip | circumferential velocity at the blade tip (m/s) |
| v | axial velocity (m/s) |
| free-stream axial velocity (m/s) | |
| y | first layer distance from the wall (m) |
| dimensionless wall distance | |
| turbulent viscosity (kg/m−s) | |
| ϕ | flow coefficient |
| η | efficiency |
| μ | dynamic viscosity (Ns/m2) |
| air density (kg/m3) | |
| free-stream air density (kg/m3) | |
| blade solidity | |
| ω | angular velocity (rad/s) |
| kinematic viscosity (m2/s) |
References
- Marco, T.; Pranzo, D.; Camporeale, S.; Pascazio, G. Improved Design of High Solidity Wells Turbine. In Proceedings of the Ninth European Wave and Tidal Energy Conference (EWTEC2011), Southampton, UK, 5–9 September 2011. [Google Scholar]
- Uddin, M.N.; Atkinson, M.; Opoku, F. A Computational Fluid Dynamics Investigation of a Numerically Simulated Wave Tank. Am. J. Mech. Eng. 2020, 8, 40–49. [Google Scholar]
- Opoku, F.; Uddin, M.N.; Atkinson, M. A Review of Computational Methods for Studying Oscillating Water Columns—The Navier-Stokes Based Equation Approach. Renew. Sustain. Energy Rev. 2023, 174, 113124. [Google Scholar] [CrossRef]
- Starzmann, R.; Carolus, T.h. Effect of Blade Skew Strategies on the Operating Range and Aeroacoustic Performance of the Wells Turbine. J. Turbomach. 2013, 136, 11003. [Google Scholar] [CrossRef]
- Curran, R.; Gato, L.M.C. The Energy Conversion Performance of Several Types of Wells Turbine Designs. Proc. Inst. Mech. Eng. Part A J. Power Energy 1997, 211, 133–145. [Google Scholar] [CrossRef]
- Gato, L.M.C.; Warfield, V.; Thakker, A. Performance of a High-Solidity Wells Turbine for an OWC Wave Power Plant. J. Energy Resour. Technol. 1996, 118, 263–268. [Google Scholar] [CrossRef]
- Thakker, A.; Dhanasekaran, T.S.; Ryan, J. Experimental Studies on Effect of Guide Vane Shape on Performance of Impulse Turbine for Wave Energy Conversion. Renew. Energy 2005, 30, 2203–2219. [Google Scholar] [CrossRef]
- Thakker, A.; Dhanasekaran, T.S. Experimental and Computational Analysis on Guide Vane Losses of Impulse Turbine for Wave Energy Conversion. Renew. Energy 2005, 30, 1359–1372. [Google Scholar] [CrossRef]
- Watterson, J.K.; Gillan, M.A.; Raghunathan, S.; Mitchell, R.D. Applications of Computational Fluid Dynamics to a Wave Energy Conversion Device. In Proceedings of the Thirty-Second Intersociety Energy Conversion Engineering Conference (Cat. No.97CH6203), Honolulu, HI, USA, 27 July–1 August 1997; Volume 3, pp. 1976–1981. [Google Scholar]
- Taha, Z.; Sugiyono Sawada, T. A Comparison of Computational and Experimental Results of Wells Turbine Performance for Wave Energy Conversion. Appl. Ocean. Res. 2010, 32, 83–90. [Google Scholar] [CrossRef]
- Takao, M.; Setoguchi, T.; Kinoue, Y.; Kaneko, K. Wells Turbine with End Plates for Wave Energy Conversion. Ocean. Eng. 2007, 34, 1790–1795. [Google Scholar] [CrossRef]
- Soo, H.B.; Seung, M.J.; Won, H.S.; Sup, K.K. Aerodynamic Characteristics of Impulse Turbine with an End Plate for Wave Energy Conversion. J. Ocean. Eng. Technol. 2005, 19, 1–7. [Google Scholar]
- M’zoughi, F.; Garrido, I.; Garrido, A.J.; De La Sen, M. Self-Adaptive Global-Best Harmony Search Algorithm-Based Airflow Control of a Wells-Turbine-Based Oscillating-Water Column. Appl. Sci. 2020, 10, 4628. [Google Scholar] [CrossRef]
- Ormaza, M.A.; Goitia, M.A.; Hernández, A.J.G.; Hernández, I.G. Neural Control of the Wells Turbine-Generator Module. In Proceedings of the 48h IEEE Conference on Decision and Control (CDC) Held Jointly with 2009 28th Chinese Control Conference, Shanghai, China, 15–18 December 2009; pp. 7315–7320. [Google Scholar]
- Muktadir, M.; Yi, S. Machine Vision-Based Detection of Surface Defects of 3D-Printed Objects. In Proceedings of the 2021 ASEE Virtual Annual Conference Content Access, Virtual, 19–26 July 2021. [Google Scholar]
- Garfo, S.; Muktadir, M.; Yi, S. Defect Detection on 3D Print Products and in Concrete Structures Using Image Processing and Convolution Neural Network. J. Mechatron. Robot. 2020, 4, 74–84. [Google Scholar] [CrossRef]
- Kumar, A.; Das, T.K.; Samad, A. Effect of Blade Skew, Endplate and Casing Groove on the Aerodynamic Performance of Wells Turbine for OWC: A Review. J. Phys. Conf. Ser. 2022, 2217, 012070. [Google Scholar] [CrossRef]
- Gato, L.M.C.; Webster, M. An Experimental Investigation into the Effect of Rotor Blade Sweep on the Performance of the Variable-Pitch Wells Turbine. Proc. Inst. Mech. Eng. Part A J. Power Energy 2001, 215, 611–622. [Google Scholar] [CrossRef]
- Graham, M.; Muradian, A.; Traub, L.W. Experimental Study on the Effect of Gurney Flap Thickness on Airfoil Performance. J. Aircr. 2018, 55, 897–904. [Google Scholar] [CrossRef]
- Kotb, A.T.; Nawar, M.A.; Maksoud, R.M.A.E. The Effect of Rectangulargurney Flap on Wells Turbine Performance. IOP Conf. Ser. Mater. Sci. Eng. 2020, 973, 012006. [Google Scholar] [CrossRef]
- Kotb, A.T.M.; Nawar, M.A.A.; Abd El Maksoud, R.M.; Mohamed, M.H. Comprehensive and Synergistic Analysis of Geometry Effect on an Axial Turbine Performance for Wave Energy Conversion. Ocean. Eng. 2021, 233, 109212. [Google Scholar] [CrossRef]
- Kumar, P.M.; Samad, A. Introducing Gurney Flap to Wells Turbine Blade and Performance Analysis with OpenFOAM. Ocean. Eng. 2019, 187, 106212. [Google Scholar] [CrossRef]
- Kotb, A.T.M.; Nawar, M.A.A.; El Maksoud, R.A.; Attai, Y.A.; Mohamed, M.H. Potential of Performance Improvement of a Modified Wells Turbine Using Passive Control for Wave Energy Conversion. Ocean. Eng. 2021, 242, 110178. [Google Scholar] [CrossRef]
- Raghunathan, S.; Tan, C.P. Effect of Blade Profile on the Performance of the Wells Self-Rectifying Air Turbine. Int. J. Heat Fluid Flow 1985, 6, 17–22. [Google Scholar] [CrossRef]
- Webster, M.; Gat, L.M.C. The Effect of Rotor Blade Shape On the Performance of the Wells Turbine. Int. J. Offshore Polar Eng. 2001, 11. [Google Scholar]
- Shehata, A.S.; Xiao, Q.; Saqr, K.M.; Alexander, D. Wells Turbine for Wave Energy Conversion: A Review. Int. J. Energy Res. 2017, 41, 6–38. [Google Scholar] [CrossRef]
- Shehata, A.S.; Saqr, K.M.; Shehadeh, M.; Xiao, Q.; Day, A.H. Entropy Generation Due to Viscous Dissipation around a Wells Turbine Blade: A Preliminary Numerical Study. Energy Procedia 2014, 50, 808–816. [Google Scholar] [CrossRef]
- Shehata, A.S.; Saqr, K.M.; Xiao, Q.; Shehadeh, M.F.; Day, A. Performance Analysis of Wells Turbine Blades Using the Entropy Generation Minimization Method. Renew. Energy 2016, 86, 1123–1133. [Google Scholar] [CrossRef]
- Soltanmohamadi, R.; Lakzian, E. Improved Design of Wells Turbine for Wave Energy Conversion Using Entropy Generation. Meccanica 2016, 51, 1713–1722. [Google Scholar] [CrossRef]
- Suzuki, M.; Arakawa, C. Influence of Blade Profiles on Flow around Wells Turbine. Int. J. Fluid Mach. Syst. 2008, 1, 148–154. [Google Scholar] [CrossRef]
- Takao, M.; Thakker, A.; Abdulhadi, R.; Setoguchi, T. Effect of Blade Profile on the Performance of a Large-Scale Wells Turbine for Wave-Energy Conversion. Int. J. Sustain. Energy 2006, 25, 53–61. [Google Scholar] [CrossRef]
- Takao, M.; Takasaki, K.; Okuhara, S.; Setoguchi, T. Wells Turbine for Wave Energy Conversion—Improvement of Stall Characteristics by the Use of 3-Dimensional Blades. J. Fluid Sci. Technol. 2014, 9, JFST0052. [Google Scholar] [CrossRef]
- Uddin, M.N.; Atkinson, M.; Das, T.K.; Esau, S. Computational Fluid Dynamics Investigation of a Novel Bi-Directional Axial Flow Turbine for Wave Energy Conversion. In American Society of Mechanical Engineers Digital Collection; American Society of Mechanical Engineering (ASME): New York, NY, USA, 2022. [Google Scholar]
- Uddin, M.N.; Atkinson, M.D.; Opoku, F. Numerical Investigation of a Modified Denniss-Auld Turbine. In AIAA AVIATION 2022 Forum; American Institute of Aeronautics and Astronautics: Reston, VA, USA, 2022. [Google Scholar]
- Opoku, F.; Atkinson, M.D.; Uddin, M.N. Computational Fluid Dynamics Investigation of a Novel Oscillating Water Column. In AIAA SCITECH 2022 Forum; American Institute of Aeronautics and Astronautics: Reston, VA, USA, 2022. [Google Scholar]
- Opoku, F.; Atkinson, M.; Uddin, M.N. Numerical Investigation of an Offshore Oscillating Water Column. Am. J. Mech. Eng. 2020, 8, 88–105. [Google Scholar]
- Karim, S.M.S.; Lin, Y.-L.; Kaplan, M.L. Formation Mechanisms of the Mesoscale Environment Conducive to a Downslope Windstorm over the Cuyamaca Mountains Associated with Santa Ana Wind during the Cedar Fire (2003). J. Appl. Meteorol. Climatol. 2022, 61, 1797–1818. [Google Scholar] [CrossRef]
- Ferguson, F.; Feng, D.; Gao, Y. Investigating the Flowfield Physics Within Compressible Turbulent Boundary Layers. In American Society of Mechanical Engineers Digital Collection; American Society of Mechanical Engineering (ASME): New York, NY, USA, 2020. [Google Scholar]
- Das, T.K.; Samad, A. Influence of Stall Fences on the Performance of Wells Turbine. Energy 2020, 194, 116864. [Google Scholar] [CrossRef]
- Shaaban, S. Aero-Economical Optimization of Wells Turbine Rotor Geometry. Energy Convers. Manag. 2016, 126, 20–31. [Google Scholar] [CrossRef]
- Alkhalifa, A.S.; Uddin, M.N.; Atkinson, M. Aerodynamic Performance Analysis of Trailing Edge Serrations on a Wells Turbine. Energies 2022, 15, 9075. [Google Scholar] [CrossRef]
- Roache, P.J. Verification of Codes and Calculations. AIAA J. 1998, 36, 696–702. [Google Scholar] [CrossRef]
- Samad, A.; Samad, A. Nature-Inspired Design of a Turbine Blade Harnessing Wave Energy. Proc. Inst. Mech. Eng. Part A J. Power Energy 2018, 234, 670–689. [Google Scholar]
- Manna, P.; Dharavath, M.; Sinha, P.K.; Chakraborty, D. Optimization of a Flight-Worthy Scramjet Combustor through CFD. Aerosp. Sci. Technol. 2013, 27, 138–146. [Google Scholar] [CrossRef]
- Sheldahl, R.E.; Klimas, P.C. Aerodynamic Characteristics of Seven Symmetrical Airfoil Sections through 180-Degree Angle of Attack for Use in Aerodynamic Analysis of Vertical Axis Wind Turbines; SAND-80-2114; Sandia National Labs.: Albuquerque, NM, USA, 1981; p. 6548367. [Google Scholar]
- Schobeiri, M.T.; Abdelfattah, S. On the Reliability of RANS and URANS Numerical Results for High-Pressure Turbine Simulations: A Benchmark Experimental and Numerical Study on Performance and Interstage Flow Behavior of High-Pressure Turbines at Design and Off-Design Conditions Using Two Different Turbine Designs. J. Turbomach. 2013, 135, 61012. [Google Scholar]


















| Parameters | Baseline | Baseline with GF | Hybrid with GF |
|---|---|---|---|
![]() | ![]() | ![]() | |
| no. of planes | 1 | 1 | 1 |
| no. of blades | 8 | 8 | 8 |
| chord length from hub to tip | 125 mm | 125 mm | 79–125 mm |
| solidity at mean radius | 0.67 | 0.67 | 0.67 |
| Tip radius | 300 mm | 300 mm | 300 mm |
| hub-to-tip ratio | 0.67 | 0.67 | 0.67 |
| tip clearance | 1.25 mm | 1.25 mm | 1.25 mm |
| blade profiles from hub to tip | NACA 0015 | NACA 0015 | NACA 0025 to NACA 0015 |
| parameters | single turbine |
| grid | unstructured |
| prism layers | 20 |
| y+ | <1 |
| inlet | uniform velocity |
| outlet | static pressure |
| hub, tip, and blade | no-slip wall |
| convergence criterion | 1 × 10−5 |
| Grid size (mm) | Extra fine, Fine, Medium, and Coarse | 1.25, 2.5, 5.0, 10.0 |
| Average cell size (h) | 8 × 10−4 m, 0.0017 m, 0.0033 m, 0.0057 m | |
| Grid refinement factor (r) | 2.07, 1.9681, 1.7318 | |
| Performance parameter () | 0.1273, 0.1267, 0.1216, 0.0925 | |
| Apparent order | p | 2.83 |
| Approximate relative error | 0.0050, 0.0403, 0.2393 | |
| Extrapolated values | 0.1279, 0.1319, 0.1613 | |
| Extrapolated relative error | 0.0096, 0.0787, 0.4268 | |
| GCI | 0.0058, 0.0520, 0.4088 |
Disclaimer/Publisher’s Note: The statements, opinions and data contained in all publications are solely those of the individual author(s) and contributor(s) and not of MDPI and/or the editor(s). MDPI and/or the editor(s) disclaim responsibility for any injury to people or property resulting from any ideas, methods, instructions or products referred to in the content. |
© 2023 by the authors. Licensee MDPI, Basel, Switzerland. This article is an open access article distributed under the terms and conditions of the Creative Commons Attribution (CC BY) license (https://creativecommons.org/licenses/by/4.0/).
Share and Cite
Uddin, M.N.; Atkinson, M.; Opoku, F. CFD Investigation of a Hybrid Wells Turbine with Passive Flow Control. Energies 2023, 16, 3851. https://doi.org/10.3390/en16093851
Uddin MN, Atkinson M, Opoku F. CFD Investigation of a Hybrid Wells Turbine with Passive Flow Control. Energies. 2023; 16(9):3851. https://doi.org/10.3390/en16093851
Chicago/Turabian StyleUddin, Mohammad Nasim, Michael Atkinson, and Frimpong Opoku. 2023. "CFD Investigation of a Hybrid Wells Turbine with Passive Flow Control" Energies 16, no. 9: 3851. https://doi.org/10.3390/en16093851
APA StyleUddin, M. N., Atkinson, M., & Opoku, F. (2023). CFD Investigation of a Hybrid Wells Turbine with Passive Flow Control. Energies, 16(9), 3851. https://doi.org/10.3390/en16093851




