Abstract
Renewable energy is considered to be sustainable solution to the energy crisis and climate change. The transition to renewable energy needs to be considered on a sectoral basis and one such sector that can potentially decarbonized with renewable energy is the telecommunication sector. Several base transceiver stations (BTS) in remote regions have unstable electric supply systems. Diesel generators (DG) are a common solution to energy problems on such telecommunication sites. However, they have high fuel costs on the global market and contribute to high carbon emissions. Hybrid renewable energy systems may provide a stable power output by integrating multiple energy sources, essential for supplying a dependable and uninterrupted power supply in the context of the telecom sector, notably base transceiver stations (BTS). Deploying such a system might also help BTS, which relies mainly on diesel generators with battery storage backup, reduce operational costs and environmental problems. This study presents the framework for large-scale photovoltaic system penetration based on techno-economic analysis (based on actual on ground data with least assumptions) in base transceiver stations (BTS) encapsulating telecom sector spread across various geographical regions. The proposed framework includes a mathematical model complemented with system design in HOMER software tool. The techno-economic aspects of the study were spread across 2, 12 and 263 sites, along with comparison analysis of photovoltaic system installation with and without energy storage devices, respectively. The sites included both on-grid and off-grid sites, which were exposed to high levels of power outages and subjected to reliance on costly and environmentally hazardous diesel generators. Optimization results showed that the photovoltaic system with a diesel generator and battery storage system provide a promising solution to the energy problem, with an average decrease in LCOE of 29%, DG hour’s reduction by 82% with 92% reduction in carbon emission and a reduction in NPC of 34% due to the high availability of solar. The techno-economic analysis indicated that optimized photovoltaic system and storage results in both on–off grid BTS sites with better options, amid low cost of energy and free accessibility of solar. Moreover, the results spread across geographical regions aiming at a reliable and environmentally friendly option that reduces load on utility grid across on-grid BTS sites and substantial overall reduction in diesel usage.
1. Introduction
Electricity became one of the fundamental needs to enable human development. However, growing concerns regarding greenhouse gas emission or carbon emissions raise grave concerns regarding the energy sources used to generate electricity [1]. In recent years, renewable energy, in particular solar photovoltaic (PV) technology, saw increased penetration in the energy system of developed countries. The growth in use of solar PV in the developing countries is not as rapid as the developed countries [2]. This is limited due to a number of factors ranging from financial issue to the technical capabilities to understand the impacts of standalone and integrated energy systems which come with intelligent interaction between various sources and the consuming bodies. Energy interactions boost stakeholder involvement for effective energy management, improved economic stability and the creation of a better power exchange market [3]. However, different sectors in developing countries are yet oblivious of the benefits of the integrated renewable energy systems. Without clean and sustainable energy sources, sustainable development is not possible. In addition, energy is the backbone to improve the income and quality of life and demand is increasing each day with a direct relationship with as a driving force for economic growth and industrial development of countries, thus enabling them to achieve their sustainable development goals. Renewable energy, solar photovoltaic (PV) in particular, plays a vital role for meeting the demand in the global industry and became dominant due to availability in excess amount [4].
Solar energy is dominant in most parts of the world and is successfully used for lightening homes, heating, generation electricity, cooking and for other appliances [5]. In addition, solar energy use is dominating in both commercial and industrial sectors. The PV system can be installed with utility grid (on-grid) or remain isolated (off-grid) and storage system to be used for storing excess of electricity during night or in emergency. The grid expansion to incorporate off-grid areas can be an expensive option, whereas isolated off-grid system with optimal sitting and sizing of PV and storage system can be an economically viable option [6,7].
A study in [8] illustrated the effects of techno-economic and LCE on the proposed system under the current conditions, and the present study’s analysis demonstrates the importance of standalone HES. In Bangladesh’s distant areas without access to the grid, the standalone application’s design and execution can be guided by the feasibility analysis presented in this study. Additional studies are necessary to investigate the effects of the load cycle, the cost related to battery deterioration and the effects of dirt or soiling on the performance of PV modules. Future work should include demand response programs employing intelligent approaches and day-ahead and intraday forecasting of connected load demand and meteorological resources. The study [9] investigated size PV/wind and wind-based hybrid systems with the MGT, DG and FC to simultaneously meet the electric and thermal demands. This research supplied the thermal loads using both EE and RWH choices. This analysis used HOMER software to examine six distinct hybrid scenarios across Australia’s five different climate zones.
This study [10] examined how micro and macro modeling techniques handled CO2 emissions under various transport circumstances. Several approaches were put out concerning traffic, fuel usage and CO2 modules. On the one hand, the macro-scale approach makes it possible to comprehend the choices that must be made to reduce CO2 emissions on a global level, but the precise contribution of each field is not adequately described. Micro-scale tools, on the other hand, simulate vehicle interactions. Since there is so much ambiguity around carbon decision-making in the transportation sector, the potential of CO2 emission planning needs to be clarified in this case. Finding practical and dependable RES is required to reduce GHG emissions [11]. Energy storage devices are needed to minimize power variability because, despite expanding trends toward deploying renewable energy sources, their intermittent nature creates uncertainty. As a result, hydrogen gained recognition as a flexible substitute for traditional ESS for the extensive decarbonization of several economic sectors. A significant source of CO2 emissions worldwide is the stationary sector, which includes power generation, industry, residential and commercial buildings and backup systems.
The crucial problem of establishing a unified price for greenhouse gas emissions in transportation policy was addressed in this paper [12]. Only political decisions based on solid economic principles may accurately assess their effects and consistency with the suggestion of specific measures. The values now offered by scientific literature, which might range up to six orders of magnitude, are not helpful. Researchers [13] should also revise their presumptions on system degradation, full-load hours, economic lives and expenses associated with operation and maintenance. The scenario community should also work to comprehend and focus more on the fast-falling cost of renewable energy technologies, as this factor significantly influences the outcomes of model-based energy scenarios. Some academics contend that modular renewable energy solutions exhibit cost declines that follow an exponential curve rather than a power-law-experience curve, resulting in a far less obvious “leveling-off” of cost decrease. These assertions demand more significant consideration, and frequent testing in “edge case” energy scenarios is necessary.
The electricity expansion cost estimation comprises four factors including installing cost of new transmission lines, cost of production in power plants, loss in both transmission and distribution lines and concerned load factor. In the remote areas of developing countries, the power failure and load shedding are very usual and directly influences various sectors. The telecom is one such sector, where mobile operators are unable to work properly across respective base transceiver stations (BTS) due to situations such as load shedding and the use of diesel generators to meet the demand and charging the storage system [14]. The comparatively less capital cost of the diesel generator is subjected to cumulative impact of various factors such as maintenance, operation, fuel price and emission of and greenhouse gas (CO2) emissions. However, renewable solar energy has comparatively high capital cost that can meet the demand efficiently subjected to optimal sizing of the components. Thus, substantial statistics are required to support the BTS system ensuring sustainability [15,16,17].
On the other hand, the load is an important factor that is not constant and varies with respect to time, and the load is not that smooth in remote on-grid and off-grid areas. It is well established that optimal utilization of renewable energy resources can efficiently serve grid connected and standalone systems. The prominent key components required are a PV system, power converters, charge controllers and a storage device [15,18]. The solar renewable energy has a vital impact on the power industry regarding cost, output power and dependency and percentage around the globe is much higher [19]. However, unlike the on-grid system, the electric load demand around 24 h cannot only be fulfilled by the standalone system (solar and/or wind) only. Therefore, there must be hybrid renewable energy resources (HRER) with the combination of DG and storage devices. Due to the intermittent nature of the solar radiations and speed of wind, there is a variation in renewable generation [20].
The critical analysis [21] offered future research directions. Future studies should examine how different RES evaluation methods differ from one another and how they can be combined with other ways to create performance indicators that are more dependable and efficient. Just roughly 23% of the evaluated studies appeared to reveal some connection between one another, ignoring the complementarities of these indicators. Although the use of TPEM with ROA, in particular, is well established, LCOE is still widely employed as a stand-alone method and could benefit from inclusion in more comprehensive studies, such as those that address the uncertainties of the energy markets and technological advancement.
The financial performance of the models [22], particularly the integrated reflective paint GIPV model, which is the most cost-effective implementation in the three different locations with an IRR of 26.45%, 21.6% and 16.85% and an ROI index of 18.32%, 15.68% and 13.23% for Aswan, Cairo and Alexandria, respectively, showed auspicious financial performance for each model. Researchers and practitioners in the energy sector can build on the findings of this study to implement practical energy-efficient solutions, particularly in hot climates, that would significantly reduce energy consumption, increase energy production, improve thermal comfort and offer a sustainable alternative to the solutions currently based on conventional fossil fuels.
The telecom sector required a lot of energy that purely obtained by the burning of fuel (diesel). Therefore, to achieve the sustainable development goals (SDG-7: ensure access to affordable, reliable, sustainable and modern energy for all), it is necessary to remove the diesel generator in the telecom sector and this paper aimed to address the same. Different BTS sites are taken for integration of solar energy with the help of battery storage system because with the environmental aspects (CO2 emission and greenhouse gas emission) and fuel of the diesel, DG is not economical. To meet the electrical needs of the telecom towers, this research evaluated the lowest feasible levelized cost of electricity, net present cost, operational cost, internal rate of return and return on investment. Finally, we compared and contrasted the financial viability of hybrid telecom tower systems powered by PV, diesel and a battery storage system to the currently available conventional options.
The new aspect of the proposed study is the simultaneous assessment of various decision factors to discover the optimal system. As a result, the LCOE, NPC, ROI, DG hours and carbon emission are used as decision-making factors. Another original aspect of this work is the utilization of real input datasets. The fiscal year 2021–2022, which reflects the country’s actual situation, was utilized to calculate the inflation and discount rates. The suggested study focused on areas with a range of topographical and climatic characteristics. In conclusion, the proposed research is novel because it considers all the fixed errors found in the literature.
Major Contributions
Major contribution of this work is as follows:
- (a)
- To comprehend the nature of power outage events at various outdoor telecom towers over a geographical region, examining the grid power accessibility at multiple locations;
- (b)
- To create hybrid systems with PV arrays sized to perfection to meet the electrical needs of telecom towers in various power-outage circumstances across the country;
- (c)
- To determine the levelized cost of electricity needed to power telecom towers using hybrid systems based on PV arrays;
- (d)
- Compared to the currently available conventional choices, compare and evaluate hybrid systems’ financial viability (LCOE and NPC) based on PV arrays for powering telecom towers.
This paper is organized in six sections; the introduction and major contributions are in Section 1, while Section 2 describes recent studies on techno-economic analysis, Section 3 presents the methodology, with case studies and results presented in Section 4, and in last, Section 5 presents discussion and conclusion with research methodology flowchart in Figure A1.
2. Recent Studies on Techno-Economic Analysis of Hybrid Energy System
A large number of research articles examined the techno-economic feasibility of HES as well as a standalone energy system. The on-grid BTS are usually situated in urban areas over some buildings and off-grid counterparts in the open areas. Both types can be situated across diverse geographical areas with varying amount of solar irradiation. The hybrid PV system can be installed with storage devices with the DG for the telecom sites, without any additional reinforcement to the available infrastructure [23]. In addition, carbon emission is a serious issue amid climate change that occurred due to the usage of DG; thus, a renewable energy system is suitable as a technic-economic alternative [24].
In this study [24], a grid-free HRES was created to meet an isolated community’s electrical needs in South India. The analysis was completed using the HOMER software tool and an affordable HRES setup was achieved. Simulations were performed based on the study site’s load profile characteristics and available RERs. The HRES system consisting of PV/DG/BESS was determined to be the most practical from the simulation assessments, which clearly showed that component sizes, cash flow summaries, electrical energy generation and greenhouse gas emissions were considered. Authors in [25] explained that based on the utilization of multiple DERs, the concept of the microgrid “FTN” was presented at the Faculty of Technical Sciences (FTN) in Novi Sad. An investigation of the techno-economic and ecological factors was conducted to obtain more detailed information and a more comprehensive picture of the suggested concept’s value. The techno-economic and ecological study determined that all types of RES have enormous potential and should be employed in a very contemporary and effective manner. The microgrid “FTN” has a payback period of around 12 years, which supports the investment’s validity and suggested design based on the techno-economic and environmental research results.
According to techno-economic study, a hybrid energy system including solar PV, small-scale wind, diesel and batteries is the best option for cities. Aside from that, it emits the least CO2 and is, therefore, pollution free. When solar and wind both are installed on the telecom site, the electrical energy that is generated from the PV-DG and wind system is directly fed to the base transceiver station load with the help of the battery storage system and charge controller. The main purpose of a battery is to store energy that can be used during low production of solar during the night, when only wind energy works. The value of standalone or grid-connected hybrid and PV-based solutions by listing the techno-economic and environmental implications of the suggested system under the current conditions is illustrated in this article [26,27].
In order to achieve a cost-effective solution with high reliability employing RE resources, such as solar and wind energy options, this work formulates and pinpoints the ideal HES configuration. The study also creates a model for how the proposed HES will be implemented, along with the associated opportunities and obstacles. The feasibility analysis provided in this study can be used as a guide for developing standalone applications in remote locations without access to grid utilities or hybrid grid-connected power stations in Bangladesh. Future studies must examine how battery charging and discharging cycles affect the battery’s lifetime and the associated energy costs.
For the configuration of multi-generational assets, a generalized model was created in this study [28]. A smoothening method based on BESS was developed to reduce the intermittent behavior of RE sources. In several types of microgrid configurations, the ideal sizes for BESS, solar PV, biomass and diesel generators were shown. The built-in feature that takes into account the variable nature of generating units and load, including seasonal variation in DER generators and microgrid demand, deterioration of DER and the efficiency of DERs while taking into account all limitations and constraints of all DERs, is the ultimate example of the developed model. This study [29] introduced a novel optimization technique based on the frog mutation algorithm. This study’s primary goal was to identify the best solution for microgrid energy management under diverse conditions. The ideal amount of dispersed generation resources can be determined by considering the objective function’s output, which considers pollution, losses and operating costs.
In this study [30], a multi-storage polygeneration solar microgrid for an isolated system was constructed, and the efficacy of a power management technique was assessed using the HOMER Energy software tool and evaluated in eight distinct climate zones across the US. Specifically, a techno-economic analysis of NPC and COE, as well as an environmental analysis of carbon dioxide generated and avoided, was conducted and reported.
This paper [31] addressed an improvement in the techno-economic optimal size of an off-grid MG system in the presence of autonomous days using solar radiation, temperature difference and wind speed as data. The DPSP is the foundation of this method for examining system reliability. The system cost was investigated using the EC as well as the TNPC. We analyzed two MG system configurations: PV, battery and PV, wind, battery to demonstrate the effect of autonomous days on the system performance and cost. A comparison study showed that an excessive battery capacity can enhance the initial investment of the MG system. This article [32] reviewed studies on distributed energy systems, mainly concerned with rural electrification. Recent research papers that appeared in reputable journals were examined. Table 1 compares the contributions and novelty of the suggested investigations to earlier studies in-depth. The selection of sites in past research was primarily based on a random examination, with the same energy sources used for inquiry at each location. This was similar to how most study chose common and standard components for each site or employed the hit-or-trial method to achieve results that were close to perfect but not yet commercially feasible. On the other hand, the use of storage technology differs depending on the climate zone of each understudied site. It is significant to highlight that earlier studies evaluate the suggested analysis under perfect conditions.
Table 1.
Techno-Economic (feasibility) studies on HES published during (2017–2022).
Existing and Proposed Base Transceiver Stations (BTS) Design Framework
In the existing base transceiver stations (BTS), there is only diesel generator that is used for source of electricity. The diesel generator is not environmentally friendly and fuel cost is not economical. Thus, the integration of renewable energy resources such as wind and solar is mandatory for these sites [56].
The research shows that many available renewable energy resources such as wind, tidal, ocean and solar energy can be used. Renewable energy resources replaced traditional resources (such as diesel, etc.) due to clean and green resources with environmentally friendly resources [57,58]. In the past few years, the integration of photovoltaic energy gradually increased, and due to this, the installation doubled. The new world technology is heading towards distributed energy generation. The photovoltaic PV module or PV cell should be studied to integrate the photovoltaic. PV cells combine to make an array. Thus, the combination of series and a parallel array is called a module [59,60]. Research proves that solar energy has high potential; that is why solar as a renewable energy resource was used for this research.
In the proposed BTS system, the solar panels are integrated as the primary input electricity source [20,61]. For storage, a lithium-ion battery bank was used. Therefore, excess solar energy was stored in their batteries that can be used during off-peak hours of solar energy [62]. The new BTS model framework is shown below in Figure 1.
Figure 1.
Integration of PV with Base Transceiver Stations (BTS).
3. Methodology
The approach for this study is presented in following sections.
3.1. Site Selection and Load Estimation
There are 263 BTS (base transceiver stations) sites distributed in the south, north and central regions of Pakistan. In this paper for analysis, a total of 14 sites out of 263 were taken, in which 2 sites were taken as reference, 3 sites were taken from north region (named as N1, N2 and N3), 4 sites are taken from the central (named as C1, C2, C3 and C4), 5 sites were taken from south (named as S1, S2, S3, S4 and S5). The average and maximum loads of all sites are shown in Figure 2, and Table 2.
Figure 2.
Site Description and load estimation.
Table 2.
Site Description and load estimation.
Important targets are achieved by the help of proposed BTS system.
- (1)
- Stations will become clean source of energy. Thus, there will be no CO2 emission and environmentally friendly systems;
- (2)
- The running hours of DG (diesel generator) is reduced. Thus, the net present cost (NPC) is reduced;
- (3)
- There is less dependency on DG, because the primary source is currently solar energy. Thus, power shortage issues are also resolved.
3.2. Mathematical Model Relationships
The mathematical model that was used for this system on Excel had formulas that are given below.
The mathematical relationship to calculate DG kWh is shown in Equation (1):
In order to find the battery kWh, the mathematical relationship used is shown in Equation (2):
To calculate DG number of hours and battery cycle rate, the mathematical relationship used is shown in Equations (3) and (4), respectively:
For DG fuel consumption and to find the cost of system the mathematical relationship used is shown in Equation (5):
The mathematical relationship used to find annual production kWh/kW is shown in Equation (6):
The mathematical relationship used to find cost of energy replaced (PKR) and loan amount is shown in Equation (7):
The mathematically expression used to calculate total payment for loan and equity and bank payment is shown in Equation (8):
The expression used to calculate bill amount is shown in Equation (9):
The mathematically expression used to find bill of genset fuel/year and unit of cost of energy is shown in Equation (10):
The mathematically expression used to for annual recurring costs is shown in Equation (11):
The mathematically expression used for O & M + insurance and yearly savings/year is shown in Equation (12):
The mathematical expression for cumulative savings/year and cost of fuel per month and O & M cost/month is shown in Equation (13):
The mathematically expression used for tax value and revenue after tax and profit after bank payment is shown in Equation (14):
The mathematical expression used to find auxiliary costs and initial CAPEX is shown in Equation (15):
The mathematically expression required for payback and ROI in years and energy savings in 10 years is shown in Equation (16):
3.3. Potential Cases for Implementation of Proposed BTS System
All cases that were used for implementation of proposed BTS system are as follows.
3.3.1. Solar PV Panels
To integrate solar on 263 sites with better technical and economic perspective, the two-reference base case were designed. On the basis of these two-reference case, the other cases were implemented. Two base cases with names were base north and base south sites having average load 2 kW and maximum load was 2.8467 kW, which are listed in Table 3. The cost and respective technical parameters of this selected PV segment and battery storage system are enlisted in Table 4 and Table 5.
Table 3.
Selected base BTS sites.
Table 4.
Technical and cost parameters of selected solar module.
Table 5.
Technical and cost parameters of selected battery storage system.
3.3.2. Case of 12 Selective Sites
A total of 12 sites were selected from 263 sites with diverse geographic regions including the north, south and central regions. Therefore, fixed price for one unit of energy was kept 128 PKR. The 12 sites that were selected are enlisted below in Table 6.
Table 6.
Relevant information of selected BTS sites with energy demands.
3.3.3. Case of 263 Selective Sites
The geographic diversity of the 263 sites is shown in Table 7.
Table 7.
Total 263 selected BTS sites.
4. Case Studies and Results
In this section, the techno-economic comparison of all 12 sites with the 263 selective sites that covered south, central and north regions were discussed by using HOMER simulation tool and mathematically model in Excel.
4.1. Case-A: Technical and Economic Comparison of 2 Base Sites
Two reference base sites named Base North and Base South were developed for the integration of solar having maximum loads of 2.8467 kW and average loads of 2 kW, respectively. However, these two reference instances were used as a guide for implementing the other scenarios. Given the understudied areas’ climatic (temperature) characteristics, this research utilized the generic lithium-ion (G-LI-ASM) advanced battery storage model to deliver optimum performance. The temperature effects were used in generic lithium-ion to model the degradation losses. The string size for batteries was fixed at 5 and 4 for Base North and Base South, respectively, because a PV module with a nominal rated voltage of 40 V was linked to a DC bus as an energy source to retain 40 V at the DC bus. As a result, Base North and Base South sites’ fixed prices for one unit of energy was 128 PKR and variable price for one unit of energy was 118 and 113, respectively, which are shown in Table 8.
Table 8.
Base/Reference Sites Data.
4.2. Selective Sites with Same and Different Tariff
It was observed from the results of the two base site cases that IRR and ROI was not in preferable limits in fix tariff; therefore, the tariff varied from site by site, so that ROI and IRR can be in desired limits. The selective sites with different tariff are shown in Table 9. The tariff varied from minimum 105 PKR (0.583USD) to maximum 147 PKR (0.817USD) and fixed tariff was 128 (0.711USD), because value of 1USD is equal to 180 PKR.
Table 9.
Selective 12 sites with fix and different tariff.
4.3. Case-B: Technical and Economic Comparison of All 12 Sites
Table 10.
Technical and Economic Comparison of all selective 12 sites.
Table 11.
Technical and Economic Comparison of all selective 12 sites.
Table 12.
Technical and Economic Comparison of all selective 12 sites.
The solar was integrated on 12 different sites in three regions. Therefore, it can be seen that the DG hours and DG fuel consumption reduced due to installing solar energy with the battery storage bank. The PV (kW) and number of batteries for each site is graphically shown in Figure 3. The number of batteries increased because solar energy has to be stored and can be used as power when there is no availability of solar. At all sites, a lithium-ion battery bank was used. The comparison was made on Homer with and without integration of solar and then, compared with mathematical modeling in Excel. Therefore, with the integration of solar, the DG hours and DG fuel consumption reduced because the load shifted on the solar. This helps to reduce the cost of fuel. The comparison of DG fuel consumption and DG hours are shown in Figure 4.
Figure 3.
PV (kW) and number of batteries on all 12 sites.

Figure 4.
(a) DG Hours and DG Fuel Consumption on selective 12 sites (b) Battery Autonomy on selective 12 sites.
The mathematically modeling carried out in Excel had some assumptions that all cost of the solar integration is adjusted by the bank share. The 70% bank share and 30% personal investment on the principle amount required for integration of solar on all BTS stations. However, the monthly installment being returned back to the bank was also included in the mathematical model. Hence, battery autonomy was higher when solar in integrated and it can be seen in Figure 4.
In addition, IRR (internal rate of return) and ROI (return on investment) can be compared for all sites. IRR will be in percentage that how much return profit from site can be obtained but ROI will be in years that after how much time the principle amount will be covered. Firstly, the cost of one unit of energy (kWh) was fixed, but the ROI and IRR was not in desired limits. Hence, to recover all principle amount in five years, the cost of one unit of all sites varied according to desired scenarios. The fixed and variable tariff of all 12 sites are shown in Figure 5.
Figure 5.
Fixed and Variable cost of one unit on 12 selective sites.
When price was fixed, ROI and IRR was not in desired limits, because IRR was between 36 and 64% and ROI was between 1 and 18 years. Changing the price of one unit of energy on each side caused ROI (return on investment) to be between 4 and 5 years and IRR (internal rate of return) was between 36 and 38%, and it is shown in Figure 6. The bank share is 70% in the principle amount; so, only 30% cost was considered. Therefore, the total cost with and without solar is shown in Figure 6. It can be observed that cost of sites without solar was greater than cost of sites with solar. The HOMER with solar and Excel mathematical model had almost the same cost after integration of solar. Thus, it can be concluded in this session that solar energy is more technically and economically beneficial than diesel generator or convention energy.
Figure 6.
(a) IRR and ROI on 12 selective sites (b) Total cost with and without solar on 12 selective sites.
4.4. Case-C: Region Wise (N, S and C) Technical and Economic Comparison
It was previously discussed that total 12 (N1, N2, N3, C1, C2, C3, C4, S1, S2, S3, S4, S5) sites of 263 sites are chosen. In addition, each region had a different number of sites, which are listed in Table 7.
4.4.1. North Region
In this section, the north region was studied with and without the integration of solar energy. Therefore, in the north region, there were 184 sites, of which 170 had solar availability. In the north, the N-1 region contains 24 sites with solar availability, N-2 contains 106 sites with solar availability and N-3 contains 40 sites with solar availability. The sum of regions N-1, N-2 and N-3 compile the results for the whole north region. The total cost set in dollars with the price of one dollar is equal to 180 PKR.
Hence, the north region (N-1, N-2 and N-3) is summarized in Table 13 and the complete north region is listed in Table 14. In the north region, the total load on BTS stations was 427 kW and the average load was 371 kW.
Table 13.
Technical and Economic comparison of N1, N2 and N3 region.
Table 14.
Technical and Economic comparison of complete North region.
It can be seen from Table 12 that the total number of batteries required with the solar was 720. By integrating solar, the DG hours reduce, which helps to reduce DG fuel consumption. Thus, results are the same after integrating solar in Homer software and the Excel mathematical model. The total cost, as listed in Table 14, was 30%. Hence, after adding monthly bank payback installments, the cost of BTS stations in the north region for five years showed that solar is better than diesel generators from both technical and economic perspectives. The overall PV, the number of batteries and battery autonomy (BA) of the north region are shown in Figure 7. After integration of solar in the overall north region, it can be seen from Figure 7 that DGH and DGFC was less. Thus, the load shifted on the solar from a diesel generator due to solar installation. The average load of all the sites in the north region with LCOE and 30% of the total cost is shown in Figure 7. However, after the installation of the solar, the cost for the sites and total north region reduced. This cost of five years shows that solar is better than diesel generators both technically and economically.
Figure 7.
(a) PV (kW), Batteries and Battery autonomy (b) DG hours and DG Fuel consumption (c) Avg. Load, Max. Load and LCOE (d) Total cost for North Region.
4.4.2. Central Region
In this section, the central region was studied with and without the integration of solar energy. Therefore, in the central region, there was a total of 32 sites, of which 31 sites had availability of solar. In the north, the C-1 region contains 5 sites with solar availability, C-2 contains 2 sites with solar availability, C-3 contains 5 sites with solar availability and C-4 contains 20 sites with solar availability. The sum of regions C-1, C-2, C-3 and C-4 compile the results for the whole central region. The total cost set in dollars with the price of the dollar is 180 PKR.
Central region (C-1, C-2, C-3 and C-4) is summarized in Table 15 and the complete central region in listed in Table 16. It can be seen that, economically and technically, solar is far better than a diesel generator because the cost of the region with solar is less than the cost of the site with a conventional diesel generator.
Table 15.
Technical and Economic comparison of C1, C2, C3 and C4 region.
Table 16.
Technical and Economic comparison of complete Central region.
In the central region, the total maximum load on BTS stations were 86 kW and average load was 60 kW. Therefore, solar was integrated; as seen in Table 16, the total number of batteries required with the solar was 135.
Integrating solar reduces the DG hours, which helps to reduce DG fuel consumption. The results of the integration were performed on both HOMER and mathematical model in Excel. Thus, results were the same after integrating solar in Homer software and by the Excel mathematical model. The total cost that is enlisted in Table 16 was 30% because there was a bank share of 70%. Therefore, after adding the monthly bank payback installment, the cost of BTS stations in the central region for five years showed that solar is better than diesel generator in both technically and economic perspective.
The overall PV, number of batteries and battery autonomy of the central region is shown in Figure 8. After integration of solar in the overall central region, it can be seen from Figure 8 that DGH and DGFC was less. Thus, due to the installation of solar, the load was shifted on the solar from a diesel generator. The average load of all the sites in the central region with LCOE and 30% of the total cost is shown in Figure 8. Hence, after the installation of the solar, the cost for the sites and total north region reduced. This cost relates to a period of five years, and it shows that solar is better than diesel generators both technically and economically.
Figure 8.
(a) PV (kW), Batteries and Battery autonomy (b) DG hours and DG Fuel consumption (c) Avg. Load, Max. Load and LCOE (d) Total cost for Central Region.
4.4.3. South Region
In this session, the south region was studied with and without the integration of solar energy. Therefore, in the south region, there were 47 sites, of which 43 sites have availability of solar. In the north, S-1 region contains 12 sites with solar availability, S-2 contains 8 sites with solar availability, S-3 contains 5 sites with solar availability, S-4 contains 13 sites with solar availability and S-5 contains 5 sites with solar availability. The sum of regions S-1, S-2, S-3, S-4 and S-5 compile the results for the whole central region. The total cost set in dollars with the dollar price is 180PKR. Hence, the south region (S-1, S-2, S-3, S-4 and S-5) is summarized in Table 17 and the complete south region is listed in Table 18. In the south region, the total maximum load on BTS stations was 124 kW and the average load was 87 kW.
Table 17.
Technical and Economic comparison of S1, S2, S3, S4 and S5 region.
Table 18.
Technical and Economic comparison of complete South region.
It can be seen from Table 16 that the total number of batteries required with the solar was 154 and the total cost was 30% because there was a bank share of 70%. After adding bank monthly payback installment, the cost of BTS stations in the south region for five years shows that solar is better than diesel generators from both technical and economic perspectives.
The overall PV, the number of batteries and battery autonomy of the south region are shown in Figure 9. After integration of solar in overall south region, it can be seen from Figure 9 that DGH and DGFC was less. Results are compared with integration of solar with both Homer simulation and mathematical Excel model. Thus, due to the installation of solar, the load was shifted on the solar from a diesel generator. The 30% of total cost and average load of all the sites in the south region with LCOE is shown in Figure 9. Hence, after the installation of the solar, the cost for the sites and total south region reduced.
Figure 9.
(a) PV (kW), Batteries and Battery autonomy (b) DG hours and DG Fuel consumption (c) Avg. Load, Max. Load and LCOE (d) Total cost for South Region.
4.5. Case-D: Technical and Economic Comparison of Entire Country (North, Central and South)
This section discusses all technical and economic comparisons of overall Pakistan with and without the integration of solar. This section analyzes the overall results, covering all areas, including the north, central and south regions. The technical and economic comparison is shown in Table 19.
Table 19.
Technical and Economic comparison.
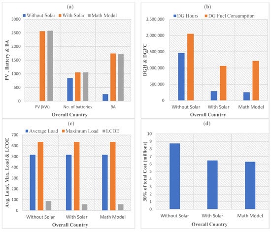
The average load on BTS stations was 518 kW and the highest observed load was 636 kW. There were a total of 1052 batteries needed with the photovoltaic. Solar integration decreased DG fuel consumption by reducing DG fuel hours. The integration results were computed using HOMER and an Excel mathematical model. The outcomes of integrating solar in the Homer program and using the Excel mathematical model were the same. Because there was a bank share of 70%, the total cost shown in Table 19 is 30%. The cost of BTS stations over five years after including bank monthly repayment installments demonstrates that solar power is more advantageous than diesel generators from both a technical and financial standpoint.
The overall PV, the number of batteries and battery autonomy of overall regions are shown in Figure 10. After the integration of solar, it can be seen from Figure 10 that DGH and DGFC were less. Hence, the results were compared with integration of solar with both Homer simulation and the mathematical Excel model; thus, the results were the same. Thus, the load was shifted on the solar from the diesel generator due to solar installation. The average load and 30% cost of all the sites in the overall region with LCOE are shown in Figure 10.
Figure 10.
(a) PV (kW), Batteries and Battery autonomy (b) DG hours and DG Fuel consumption (c) Avg. Load, Max. Load and LCOE (d) Total cost for Overall Region.
The cost for the sites and the entire country was reduced after the solar installation, showing that solar is technically and economically better than diesel generators. The overall PV, the number of batteries and battery autonomy of the south region are shown in Figure 9. After integration of solar in overall south region, it can be seen from Figure 9 that DGH and DGFC was less. Therefore, the results are compared with integration of solar with both Homer simulation and the mathematical Excel model. Thus, due to the installation of solar, the load was shifted on the solar from a diesel generator. The 30% of total cost and average load of all the sites in the south region with LCOE is shown in Figure 9. This cost relates to a period of five years, and it showed that solar is better than diesel generators both technically and economically. The limitations of this study include that it considered only BTS sites with key loads but not the secondary load attached to the MCs. However, total sectoral carbon neutrality cannot be achieved without considering secondary loads. However, the primary loads, as compared to the BTS load, were not significantly high as they were only a few in number.
This study took the carbon emission calculations site by site and sector-wise. Till now, no study was observed that concluded the carbon emission of sector wise. Hence, sector-wise (central, north and south region) decarbonization was observed by integrating the photovoltaic system into BTS sites in Pakistan. In addition, the data were purely based on real-time running loads on BTS sites in Pakistan.
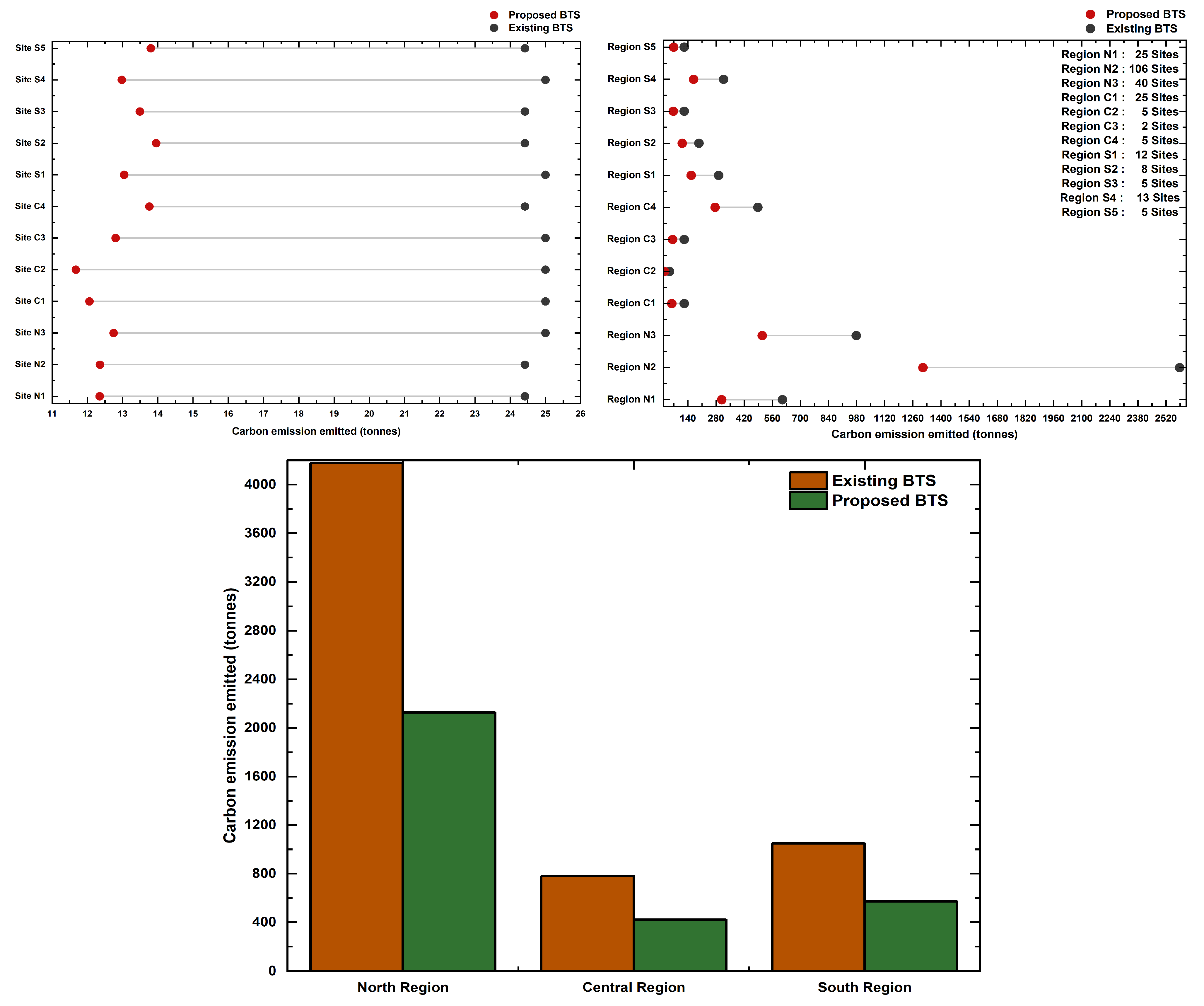
4.6. Environmental Analysis
Environmental, social and economic sustainability are the three essential pillars that comprise sustainability evaluations. This study conducted a life cycle (25-year) environmental analysis based on GHG emissions for each BTS site. In this analysis, only CO2 emissions were primarily considered because they make up the majority of the overall GHG emission factor. Carbon emissions were calculated using an emission factor based on system simulation and widespread fuel use.
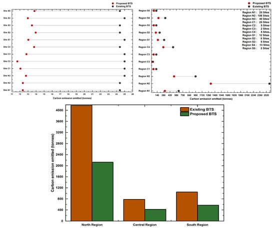
The carbon emission comparison of all existing and proposed BTS sites is shown in Figure 11. It can be clearly seen that the carbon emission reduced by integration of solar energy due to less combustion of diesel generator. These proposed BTS are both technically and economically more effective and environmentally benign.
Figure 11.
Carbon emission (tones) analysis for all existing and proposed BTS framework of Site by Site, Region by Region and Complete Region wise.
5. Discussion and Conclusions
Base transceiver stations (BTS) are powered solely by diesel generators or conventional grid power sources. Pakistan’s BTS of mobile networks, which depend on a steady supply of electricity, frequently endure power outages, load shedding, high energy expenses and high diesel prices due to the high fuel cost on the international market. Numerous energy production strategies are being studied as solutions to these problems. For freestanding BTS sites, this study provided a decision-making framework for the techno-economic viability and sustainability assessment of hybrid systems with a focus on renewable energy. The study in this research paper illustrated the techno-economic feasibility of off-grid sites (without solar) and on-grid sites (with solar) of the base transceiver stations (BTS) in a different region. There were 263 BTS sites, covering the country’s complete north, south and central areas. In the first case, the two reference sites were taken from the south and north regions named S0 (Karachi) and N0 (Rawalpindi). From the results of these two sites, it was observed that if the tariff was kept the same after the integration of solar energy, the IRR and ROI were not at the desired limit. Thus, the tariff varied according to the site scenario, and so, solar integration becomes techno-economic feasible. Based on these two reference sites, other sites were designed and simulated in the HOMER simulation tool with the mathematical model in Microsoft Excel.
In the case of 12 sites that were taken from 263 sites, it was observed that LCOE was reduced clearly after the integration of solar energy. LCOE of the sites taken from the north region (N1, N2 and N3) reduced to 0.234 USD/kWh from 0.356 USD/kWh. Therefore, LCOE of the sites taken from the central region (C1, C2, C3, and C4) reduced to 0.24–0.29 USD/kWh from 0.356 USD/kWh and the LCOE of the sites taken from the south region (S1, S2, S3, S4 and S5) reduced to 0.236–0.248 USD/kWh from 0.356 USD/kWh. In the comparison of DG fuel consumption, it is clear from the results that there was a significant reduction in DG fuel consumption after solar integration. The battery autonomy was higher with the decrease in cost, and the IRR and ROI were between 34–37 and 4.8–4.95 years, respectively.
In addition, overall, all 263 sites were covered and compared with and without solar, region-wise north, south and central. In the north region, there were 720 batteries required with solar and 583 batteries without solar. At the same time, the DG hours reduced due to less DG fuel consumption because the load was shifted on the solar energy. The maximum load of the north region was approximately 426 kW and DG hours were reduced to around 209,200 (h) from 1,044,644 (h) after solar integration. Thus, the total cost was reduced to USD 4,487,596 USD in the presence of solar, while without solar, the cost of sites in five years was USD 6,083,232. In the central region, the maximum load of sites was approximately 86 kW. Thus, the number of batteries required was 135 and 104 with and without solar, respectively. Due to the integration of solar, the DG hours were reduced from 176,805 to approximately 32,566 h. The DG hours were reduced. Thus, DG fuel consumption also reduced from 260,904 (L/h) to around 141,278 (L/h). Hence, overall, LCOE also decreased, and after the complete solar installation with the monthly payback amount to the bank, the total cost after five years reduced with the integration. Lastly, the south region had a maximum load on the sites of 123.5 kW; thus, the number of batteries required with solar was 197 and 154 without solar. Thus, the load was shifted on the primary source, that is solar, and the DG hours and DG fuel consumption reduced from 240,287 (h) to approximately 45,377 (h) and 359,858 (L/h) to about 191,459 (L/h), respectively. Thus, the LCOE and total cost after five years were also significantly reduced. In the last case, overall, it was discussed that the total maximum load on the sites was 636 kW. Thus, after solar integration on all sites, the number of batteries required was 1052 and 841 with and without solar. The results showed that DG fuel consumption with DG hours and cost was reduced. However, the variable tariff’s IRR and ROI were within the desired limit.
The HOMER simulation program and the Excel-based mathematical model collect the simulation and optimization findings. The findings in this research showed that on-grid sites with solar integration decrease DG hours and DG fuel consumption, which became a crucial component in lowering the system’s total cost and eradicating issues such as excessive energy production costs and load shedding. The net present cost, initial capital amount, extra capital amount, O & M cost, DG hours, DG fuel consumption and energy production cost are the technical and economic assessment standards employed in this study. The decreased LCOE of the proposed BTS sites compared to the existing BTS sites demonstrated the excellent performance of the proposed system. Environmentally harmful methods generate more carbon dioxide than those that rely on non-renewable resources. However, according to environmental studies, switching to PV provides a cleaner alternative with no emissions because fuel usage was reduced. In light of concerns about global warming and long-term system functionality without pollution, hybrid BTS sites are more affordable and environmentally friendly. In conclusion, the development of upgraded BTS sites benefits Pakistan’s telecom business regarding technical, environmental and financial factors.
Future studies must investigate the effects of wind energy, load cycle, the cost related to battery deterioration and the impact of dirt or soiling on the performance of PV modules. For future work, it is suggested to use demand response programs and day-ahead and intraday forecasts of load demand and meteorological resources. Additional study is required to determine how uncertainty or abrupt fluctuations in the power output of renewable-based systems affect the optimal sizing of HES components. Due to the erratic nature of RE sources, an operating reserve might be considered in this situation to protect against unexpected increases in the electric load or decreases in the output of RE (PV and wind) power.
Author Contributions
Conceptualization, S.A.A.K., A.A., M.B.A. and M.A.A.; methodology, M.B.A., Z.A.K., S.A.A.K. and M.A.A.; software, M.B.A. and Z.A.K.; formal analysis, M.B.A., S.A.A.K. and A.A.; investigation, M.B.A. and M.A.A.; resources, A.A. and M.A.A.; data curation, M.B.A.; writing—original draft preparation, M.B.A. and S.A.A.K.; writing—review and editing, Z.A.K., A.A. and M.A.A.; visualization, M.B.A. and Z.A.K.; supervision, S.A.A.K. and Z.A.K.; project administration, Z.A.K. and A.A.; funding acquisition, M.A.A. and A.A. All authors have read and agreed to the published version of the manuscript.
Funding
The author extends their appreciation to the deanship of scientific research at Shaqra University for funding this research work through the project number (SU-ANN-202231).
Institutional Review Board Statement
Not applicable.
Informed Consent Statement
Not applicable.
Data Availability Statement
Not applicable.
Acknowledgments
The author extends their appreciation to the deanship of scientific research at Shaqra University for funding this research.
Conflicts of Interest
The authors declare no conflict of interest.
Nomenclature
| List of Abbreviations | |||
| ARC | Annual Recurring Cost | HRER | Hybrid renewable energy resource |
| AP | Annual Production | HRES | Hybrid renewable energy system |
| AOB | Amount of Bill | HSC | Hybrid System Cost |
| AC | Auxiliary Cost | INF | Inflation |
| ATWC | Anti-theft wall Cost | IC | Insurance Cost |
| BA | Bill Amount | NPC | Net Present Cost ($) |
| BOMC | Battery O & M Cost | LCE | Life cycle emission |
| BSC | Battery Salvage Cost | LCOE | Levelized cost of electricity ($) |
| BP | Bank Payment | LA | Loan Amount |
| BTS | Base Transceiver Stations | LCC | Line conditioner Cost |
| BP | Bank Payment | LIC | Li-ion Battery Cost |
| BCR | Battery Cycle Rate | MBP | Monthly Bank Payment |
| BESS | Battery energy storage system | MG | Micro-grid |
| BA | Bill Amount | MGS | Multi-generation system |
| BOGF | Bill of Generator Fuel | MGT | Micro gas turbine |
| BOMC | Battery O & M Cost | NPC | Net Present Cost |
| BSC | Battery Salvage Cost | OMC | O & M Cost |
| COS | Cost of System | OMIC | (O & M + Insurance) Cost |
| COE | Cost of energy ($) | PPI | Previous Paid Installment |
| COER | Cost of Energy Replaced | PV | Photovoltaic |
| COUS | Cost of Unit saved | PABP | Profit after Bank Payment |
| CI | Cash Investment | PBM | Month required for payback |
| CPC | CP Bill Cost | RWH | Recovering waste heat |
| DGH | DG hours | RE | Renewable Energy |
| DGFC | DG Fuel Consumption | RPC | DG & rectifier Pads Cost |
| DG | Diesel Generator | RC | Refueling Cost |
| DER | Distributed energy resources | RMSC | RMS Cost |
| DPSP | Deficiency of power supply probability | RCC | Rectifier Cabinet Cost |
| DGC7 | 07 kVA DG Cost | ROI | Return on Investment |
| DGC13 | 13 kVA DG Cost | RMC | Rectifier Module 3000 W Cost |
| DGC27 | 27 kVA DG Cost | RAT | Revenue after Tax |
| DGCC | DG Consumable Cost | SCWC | Solar civil work Cost |
| DGMC | DG material Cost | STIC | Solar transportation & installation Cost |
| DGOHC | DG Overhauling Cost | STC | System transportation Cost |
| DTC | Design & test Cost | SMC | Solar Modules 3000 W Cost |
| EP | Equity Payment | SMC | Smart Meter Cost |
| EE | Excess Energy (kWh) | SC | Security Cost |
| EPC | Electrical Part Cost | SMTC | RMS/S.M maintenance Cost |
| EFC | Extra Fuel till Energization Cost | SSC | Site Survey Cost |
| EC | Energization Cost | SHC | Site HOTO Cost |
| ES | Energy saving | SMRC | Solar Module Replacement Cost |
| FCs | Fuel Cell | SPMC | Solar PV modules per watt Cost |
| FCP | Fuel Consumption | SoC | State of charge |
| FC | Fuel Cost | TIS | Total Installed Solar |
| FR | Fuel Rate | TI (%) | Total Investment Portion |
| GF | Generator Fuel | TLP | Total Loan Payment |
| GC | Grounding Cost | TLC | Thermal load controller |
| HES | Hybrid energy system | TV | Tax Value/Cost of Tax |
| HOMER | Hybrid optimization model for electric renewable | TNPC | Total net present cost |
| ARC | Annual Recurring Cost | TC | Team Cost |
| AP | Annual Production | WT | Wind turbine |
| AOB | Amount of Bill | ||
Appendix A
Figure A1.
Research methodology flowchart.
Figure A1.
Research methodology flowchart.

References
- Al Garni, H.; Awasthi, A. Techno-Economic Feasibility Analysis of a Solar PV Grid-Connected System with Different Tracking Using HOMER Software. In Proceedings of the 2017 IEEE International Conference on Smart Energy Grid Engineering (SEGE), Oshawa, ON, Canada, 14–17 August 2017. [Google Scholar]
- Ali, M.; Wazir, R.; Imran, K.; Ullah, K.; Janjua, A.K.; Ulasyar, A.; Khattak, A.; Guerrero, J.M. Techno-economic assessment and sustainability impact of hybrid energy systems in Gilgit-Baltistan, Pakistan. Energy Rep. 2021, 7, 2546–2562. [Google Scholar] [CrossRef]
- Khan, F.A.; Pal, N.; Saeed, S.H. Optimization and sizing of SPV/Wind hybrid renewable energy system: A techno-economic and social perspective. Energy 2021, 233, 121114. [Google Scholar] [CrossRef]
- Elbar, A.R.A.; Yousef, M.S.; Hassan, H. Energy, exergy, exergoeconomic and enviroeconomic (4E) evaluation of a new integration of solar still with photovoltaic panel. J. Clean. Prod. 2019, 233, 665–680. [Google Scholar] [CrossRef]
- Al Garni, H.Z.; Awasthi, A.; Ramli, M.A. Optimal design and analysis of grid-connected photovoltaic under different tracking systems using HOMER. Energy Convers. Manag. 2017, 155, 42–57. [Google Scholar] [CrossRef]
- Alsharif, M.H. Optimization design and economic analysis of energy management strategy based on photovoltaic/energy storage for heterogeneous cellular networks using the HOMER model. Sol. Energy 2017, 147, 133–150. [Google Scholar] [CrossRef]
- Odoi-Yorke, F.; Woenagnon, A. Techno-economic assessment of solar PV/fuel cell hybrid power system for telecom base stations in Ghana. Cogent Eng. 2021, 8, 1911285. [Google Scholar] [CrossRef]
- Das, B.K.; Hassan, R.; Tushar, M.S.H.; Zaman, F.; Hasan, M.; Das, P. Techno-economic and environmental assessment of a hybrid renewable energy system using multi-objective genetic algorithm: A case study for remote Island in Bangladesh. Energy Convers. Manag. 2021, 230, 113823. [Google Scholar] [CrossRef]
- Das, B.K.; Tushar, M.S.H.; Zaman, F. Techno-economic feasibility and size optimisation of an off-grid hybrid system for supplying electricity and thermal loads. Energy 2020, 215, 119141. [Google Scholar] [CrossRef]
- Nocera, S.; Basso, M.; Cavallaro, F. Micro and Macro modelling approaches for the evaluation of the carbon impacts of transportation. Transp. Res. Procedia 2017, 24, 146–154. [Google Scholar] [CrossRef]
- Maestre, V.; Ortiz, A.; Ortiz, I. Challenges and prospects of renewable hydrogen-based strategies for full decarbonization of stationary power applications. Renew. Sustain. Energy Rev. 2021, 152, 111628. [Google Scholar] [CrossRef]
- Nocera, S.; Tonin, S.; Cavallaro, F. The economic impact of greenhouse gas abatement through a meta-analysis: Valuation, consequences and implications in terms of transport policy. Transp. Policy 2015, 37, 31–43. [Google Scholar] [CrossRef]
- Xiao, M.; Junne, T.; Haas, J.; Klein, M. Plummeting costs of renewables-are energy scenarios lagging? Energy Strategy Rev. 2021, 35, 100636. [Google Scholar] [CrossRef]
- Amutha, W.M.; Rajini, V. Cost benefit and technical analysis of rural electrification alternatives in southern India using HOMER. Renew. Sustain. Energy Rev. 2016, 62, 236–246. [Google Scholar] [CrossRef]
- Ani, V.A.; Ani, E.O. Simulation of Solar-Photovoltaic Hybrid Power Generation System with Energy Storage and Supervisory Control for Base Transceiver Station (BTS) Site Located in Rural Nigeria. Int. J. Renew. Energy Res. 2014, 4, 23–30. [Google Scholar]
- Siyoucef, H.; Afif, B.; Kobibi, Y.I.D.; Ghouali, S.; Merabet, B.; Motahhir, S. Performance Analysis and Techno-Economic Optimization of Green Energy Systems for Remote Areas in the Maghreb. Technol. Econ. Smart Grids Sustain. Energy 2021, 6, 1–12. [Google Scholar] [CrossRef]
- Stevovic, I.; Mirjanic, D.; Petrovic, N. Integration of solar energy by nature-inspired optimization in the context of circular economy. Energy 2021, 235, 121297. [Google Scholar] [CrossRef]
- Swarnkar, N.M.; Gidwani, L. Economic and financial assessment of integrated solar and wind energy system in Rajasthan, India. In Proceedings of the 2017 International Conference on Computation of Power, Energy Information and Commuincation (ICCPEIC), Melmaruvathur, India, 22–23 March 2017. [Google Scholar]
- Spyrou, C.; Papageorgas, P.; Vokas, G.; Moronis, A. Techno-economic analysis of a hybrid power supply system on a telecom site. In AIP Conference Proceedings; AIP Publishing LLC: Melville, NY, USA, 2020. [Google Scholar]
- Usman, M.; Malik, A.M.; Mahmood, A.; Kousar, A.; Sabeel, K. HOMER analysis for integrating solar energy in off-grid and on-grid SCO telecommunication sites. In Proceedings of the 2019 1st Global Power, Energy and Communication Conference (GPECOM), Nevsehir, Turkey, 12–15 June 2019. [Google Scholar]
- Delapedra-Silva, V.; Ferreira, P.; Cunha, J.; Kimura, H. Methods for Financial Assessment of Renewable Energy Projects: A Review. Processes 2022, 10, 184. [Google Scholar] [CrossRef]
- William, M.A.; Suárez-López, M.J.; Soutullo, S.; Fouad, M.; Hanafy, A.A. Enviro-economic assessment of buildings decarbonization scenarios in hot climates: Mindset toward energy-efficiency. Energy Rep. 2022, 8, 172–181. [Google Scholar] [CrossRef]
- Basit, A.; Sudiarto, B.; Setiabudy, R. Hybrid energy of Photovoltaic and Palm Oil Diesel for alternative electricity supply of Base Transceiver Station (BTS) on rural Area-South Sumatera. In IOP Conference Series: Materials Science and Engineering; IOP Publishing: Bristol, UK, 2021. [Google Scholar]
- Chowdhury, S.A.; Aziz, S. Solar-diesel hybrid energy model for Base Transceiver Station (BTS) of mobile phone operators. In Proceedings of the 2nd International Conference on the Developments in Renewable Energy Technology (ICDRET 2012), Dhaka, Bangladesh, 5–7 January 2012. [Google Scholar]
- Kuetche, C.F.M.; Tsuanyo, D.; Fopah-Lele, A. Analysis of Hybrid Energy Systems for Telecommunications Equipment: A Case Study in Buea Cameroon. E3S Web Conf. 2022, 354, 02007. [Google Scholar] [CrossRef]
- Kushwaha, P.K.; Bhattacharjee, C. Integrated techno-economic-enviro-socio design of the hybrid renewable energy system with suitable dispatch strategy for domestic and telecommunication load across India. J. Energy Storage 2022, 55, 105340. [Google Scholar] [CrossRef]
- Okundamiya, M.S.; Wara, S.T.; Obakhena, H.I. Optimization and techno-economic analysis of a mixed power system for sustainable operation of cellular sites in 5G era. Int. J. Hydrog. Energy 2022, 47, 17351–17366. [Google Scholar] [CrossRef]
- Das, B.K.; Alotaibi, M.A.; Das, P.; Islam, M.; Das, S.K.; Hossain, A. Feasibility and techno-economic analysis of stand-alone and grid-connected PV/Wind/Diesel/Batt hybrid energy system: A case study. Energy Strat. Rev. 2021, 37, 100673. [Google Scholar] [CrossRef]
- Kumar, A.; Verma, A. Optimal techno-economic sizing of a solar-biomass-battery hybrid system for off-setting dependency on diesel generators for microgrid facilities. J. Energy Storage 2021, 36, 102251. [Google Scholar]
- Amara, S.; Toumi, S.; Ben Salah, C.; Saidi, A.S. Improvement of techno-economic optimal sizing of a hybrid off-grid micro-grid system. Energy 2021, 233, 121166. [Google Scholar] [CrossRef]
- Li, C.; Zhou, D.; Wang, H.; Lu, Y.; Li, D. Techno-economic performance study of stand-alone wind/diesel/battery hybrid system with different battery technologies in the cold region of China. Energy 2019, 192, 116702. [Google Scholar] [CrossRef]
- Veilleux, G.; Potisat, T.; Pezim, D.; Ribback, C.; Ling, J.; Krysztofiński, A.; Ahmed, A.; Papenheim, J.; Pineda, A.M.; Sembian, S.; et al. Techno-economic analysis of microgrid projects for rural electrification: A systematic approach to the redesign of Koh Jik off-grid case study. Energy Sustain. Dev. 2019, 54, 1–13. [Google Scholar] [CrossRef]
- Aziz, A.S.; Tajuddin, M.F.N.; Adzman, M.R.; Mohammed, M.F.; Ramli, M.A. Feasibility analysis of grid-connected and islanded operation of a solar PV microgrid system: A case study of Iraq. Energy 2019, 191, 116591. [Google Scholar] [CrossRef]
- Odou, O.D.T.; Bhandari, R.; Adamou, R. Hybrid off-grid renewable power system for sustainable rural electrification in Benin. Renew. Energy 2019, 145, 1266–1279. [Google Scholar] [CrossRef]
- Kumar, J.; Suryakiran, B.; Verma, A.; Bhatti, T. Analysis of techno-economic viability with demand response strategy of a grid-connected microgrid model for enhanced rural electrification in Uttar Pradesh state, India. Energy 2019, 178, 176–185. [Google Scholar] [CrossRef]
- Kim, M.-H.; Kim, D.; Heo, J.; Lee, D.-W. Techno-economic analysis of hybrid renewable energy system with solar district heating for net zero energy community. Energy 2019, 187, 115916. [Google Scholar] [CrossRef]
- Baseer, M.; Alqahtani, A.; Rehman, S. Techno-economic design and evaluation of hybrid energy systems for residential communities: Case study of Jubail industrial city. J. Clean. Prod. 2019, 237, 117806. [Google Scholar] [CrossRef]
- Javed, M.S.; Song, A.; Ma, T. Techno-economic assessment of a stand-alone hybrid solar-wind-battery system for a remote island using genetic algorithm. Energy 2019, 176, 704–717. [Google Scholar] [CrossRef]
- Ahmad, J.; Imran, M.; Khalid, A.; Iqbal, W.; Ashraf, S.R.; Adnan, M.; Ali, S.F.; Khokhar, K.S. Techno economic analysis of a wind-photovoltaic-biomass hybrid renewable energy system for rural electrification: A case study of Kallar Kahar. Energy 2018, 148, 208–234. [Google Scholar] [CrossRef]
- Duman, A.C.; Güler, Ö. Techno-economic analysis of off-grid PV/wind/fuel cell hybrid system combinations with a comparison of regularly and seasonally occupied households. Sustain. Cities Soc. 2018, 42, 107–126. [Google Scholar] [CrossRef]
- Alharthi, Y.Z.; Siddiki, M.K.; Chaudhry, G.M. Resource Assessment and Techno-Economic Analysis of a Grid-Connected Solar PV-Wind Hybrid System for Different Locations in Saudi Arabia. Sustainability 2018, 10, 3690. [Google Scholar] [CrossRef]
- Das, B.K.; Zaman, F. Performance analysis of a PV/Diesel hybrid system for a remote area in Bangladesh: Effects of dispatch strategies, batteries, and generator selection. Energy 2018, 169, 263–276. [Google Scholar] [CrossRef]
- Kumar, A.; Singh, A.R.; Deng, Y.; He, X.; Kumar, P.; Bansal, R.C. A Novel Methodological Framework for the Design of Sustainable Rural Microgrid for Developing Nations. IEEE Access 2018, 6, 24925–24951. [Google Scholar] [CrossRef]
- Park, E. Potentiality of renewable resources: Economic feasibility perspectives in South Korea. Renew. Sustain. Energy Rev. 2017, 79, 61–70. [Google Scholar] [CrossRef]
- Yilmaz, S.; Dincer, F. Optimal design of hybrid PV-Diesel-Battery systems for isolated lands: A case study for Kilis, Turkey. Renew. Sustain. Energy Rev. 2017, 77, 344–352. [Google Scholar] [CrossRef]
- Al-Sharafi, A.; Sahin, A.Z.; Ayar, T.; Yilbas, B.S. Techno-economic analysis and optimization of solar and wind energy systems for power generation and hydrogen production in Saudi Arabia. Renew. Sustain. Energy Rev. 2016, 69, 33–49. [Google Scholar] [CrossRef]
- Shahzad, M.K.; Zahid, A.; Rashid, T.U.; Rehan, M.A.; Ali, M.; Ahmad, M. Techno-economic feasibility analysis of a solar-biomass off grid system for the electrification of remote rural areas in Pakistan using HOMER software. Renew. Energy 2017, 106, 264–273. [Google Scholar] [CrossRef]
- Jaiswal, A. Lithium-ion battery based renewable energy solution for off-grid electricity: A techno-economic analysis. Renew. Sustain. Energy Rev. 2017, 72, 922–934. [Google Scholar] [CrossRef]
- Azimoh, C.L.; Klintenberg, P.; Mbohwa, C.; Wallin, F. Replicability and scalability of mini-grid solution to rural electrification programs in sub-Saharan Africa. Renew. Energy 2017, 106, 222–231. [Google Scholar] [CrossRef]
- Das, H.S.; Tan, C.W.; Yatim, A.; Lau, K.Y. Feasibility analysis of hybrid photovoltaic/battery/fuel cell energy system for an indigenous residence in East Malaysia. Renew. Sustain. Energy Rev. 2017, 76, 1332–1347. [Google Scholar] [CrossRef]
- Vides-Prado, A.; Camargo, E.O.; Vides-Prado, C.; Orozco, I.H.; Chenlo, F.; Candelo, J.E.; Sarmiento, A.B. Techno-economic feasibility analysis of photovoltaic systems in remote areas for indigenous communities in the Colombian Guajira. Renew. Sustain. Energy Rev. 2018, 82, 4245–4255. [Google Scholar] [CrossRef]
- Ajlan, A.; Tan, C.W.; Abdilahi, A.M. Assessment of environmental and economic perspectives for renewable-based hybrid power system in Yemen. Renew. Sustain. Energy Rev. 2017, 75, 559–570. [Google Scholar] [CrossRef]
- Halabi, L.M.; Mekhilef, S.; Olatomiwa, L.; Hazelton, J. Performance analysis of hybrid PV/diesel/battery system using HOMER: A case study Sabah, Malaysia. Energy Convers. Manag. 2017, 144, 322–339. [Google Scholar] [CrossRef]
- Qolipour, M.; Mostafaeipour, A.; Tousi, O.M. Techno-economic feasibility of a photovoltaic-wind power plant construction for electric and hydrogen production: A case study. Renew. Sustain. Energy Rev. 2017, 78, 113–123. [Google Scholar] [CrossRef]
- Becerra, M.; Morán, J.; Jerez, A.; Cepeda, F.; Valenzuela, M. Wind energy potential in Chile: Assessment of a small scale wind farm for residential clients. Energy Convers. Manag. 2017, 140, 71–90. [Google Scholar] [CrossRef]
- Babatunde, O.M.; Denwigwe, I.H.; Babatunde, D.E.; Ayeni, A.O.; Adedoja, T.B.; Adedoja, O.S. Techno-economic assessment of photovoltaic-diesel generator-battery energy system for base transceiver stations loads in Nigeria. Cogent Eng. 2019, 6, 1684805. [Google Scholar] [CrossRef]
- Manmadharao, S.; Chaitanya, S.; Srinivasarao, G. Design and Optimization of Grid Integrated Solar Energy System Using HOMER GRID software. In Proceedings of the 2019 Innovations in Power and Advanced Computing Technologies (i-PACT), Vellore, India, 22–23 March 2019. [Google Scholar]
- Mohammed, N.Q.; Ahmed, M.S.; Mohammed, M.A.; Hammood, O.A.; Alshara, H.A.N.; Kamil, A.A. Comparative Analysis between Solar and Wind Turbine Energy Sources in IoT Based on Economical and Efficiency Considerations. In Proceedings of the 2019 22nd International Conference on Control Systems and Computer Science (CSCS), Bucharest, Romania, 28–30 May 2019. [Google Scholar]
- Mostafaeipour, A.; Qolipour, M.; Rezaei, M.; Jahangiri, M.; Goli, A.; Sedaghat, A. A novel integrated approach for ranking solar energy location planning: A case study. J. Eng. Des. Technol. 2020, 19, 698–720. [Google Scholar] [CrossRef]
- Muh, E.; Tabet, F. Comparative analysis of hybrid renewable energy systems for off-grid applications in Southern Cameroons. Renew. Energy 2018, 135, 41–54. [Google Scholar] [CrossRef]
- Tahir, M.U.R.; Amin, A.; Baig, A.A.; Manzoor, S.; Haq, A.U.; Asgha, M.A.; Khawaja, W.A.G. Design and optimization of grid Integrated hybrid on-site energy generation system for rural area in AJK-Pakistan using HOMER software. AIMS Energy 2021, 9, 1113–1135. [Google Scholar] [CrossRef]
- Nsengimana, C.; Han, X.T.; Li, L.-L. Comparative Analysis of Reliable, Feasible, and Low-Cost Photovoltaic Microgrid for a Residential Load in Rwanda. Int. J. Photoenergy 2020, 2020, 8855477. [Google Scholar] [CrossRef]
Disclaimer/Publisher’s Note: The statements, opinions and data contained in all publications are solely those of the individual author(s) and contributor(s) and not of MDPI and/or the editor(s). MDPI and/or the editor(s) disclaim responsibility for any injury to people or property resulting from any ideas, methods, instructions or products referred to in the content. |
© 2023 by the authors. Licensee MDPI, Basel, Switzerland. This article is an open access article distributed under the terms and conditions of the Creative Commons Attribution (CC BY) license (https://creativecommons.org/licenses/by/4.0/).











