Local Frequency Modulation Strategy Based on Controllable Load Characteristic Identification of Multi-Port Power Router
Abstract
1. Introduction
- Firstly, obtaining the real-time status of the load lays the foundation for fast frequency control. The mathematical sensitivity models of the two types of load characteristics are established, and the characteristic parameters of the multi-port load are calculated according to the identification results. This parameter can effectively evaluate the adjustment capability of the port load and serve as the basis for port power allocation. On this basis, the characteristics of multi-port load groups are divided into variable voltage and variable frequency, which can control their orderly participation in grid frequency modulation.
- Then, the frequency regulation characteristics of the controllable load that can respond to the frequency demand of the grid are established, and a fast frequency regulation control method for multi-port loads is proposed. By detecting the frequency feedback at the grid end, autonomous controllable load frequency modulation response can be achieved. This method can be flexibly applied to the AC and DC ports of power routers. The variable voltage and variable frequency control corresponding to load characteristics is implemented for different port load groups.
- A variable-parameter frequency regulation control strategy that can adapt to the load state is proposed. This strategy takes into account the uncertainty of load groups’ power between cycles, divides the load response frequency interval, and makes full use of the adjustable load allowance. Smooth frequency modulation is realized on an adjustable frequency segment. This strategy can realize rapid frequency modulation of the controllable load to the power grid at the initial disturbance stage, obtain the response time for other frequency modulation means such as new energy frequency modulation and primary frequency modulation, and improve the overall frequency modulation capability of the power grid. Finally, a controllable load frequency modulation control model based on the Simulink platform is built and used for verifying the effectiveness of the proposed method.
2. Basic Architecture and Scheme of Multi-Port Load Frequency Modulation
2.1. Load Control Topology of The Multi-Port Power Router
2.2. Frequency Control Scheme of the Controllable Load
3. Acquisition of the Controllable Load Characteristic Parameters
3.1. Load Sensitivity Identification Method
3.2. Calculation of Controllable Load Characteristic Parameters
4. Control Strategy of Frequency Modulation for Controllable Load
4.1. Frequency Modulation Characteristics of Controllable Load
4.2. Local Frequency Control Method for Multi-Port Controllable Load
4.3. Frequency Modulation Control Strategy of Multi-Port Controllable Load
5. Simulation Validation and Analysis
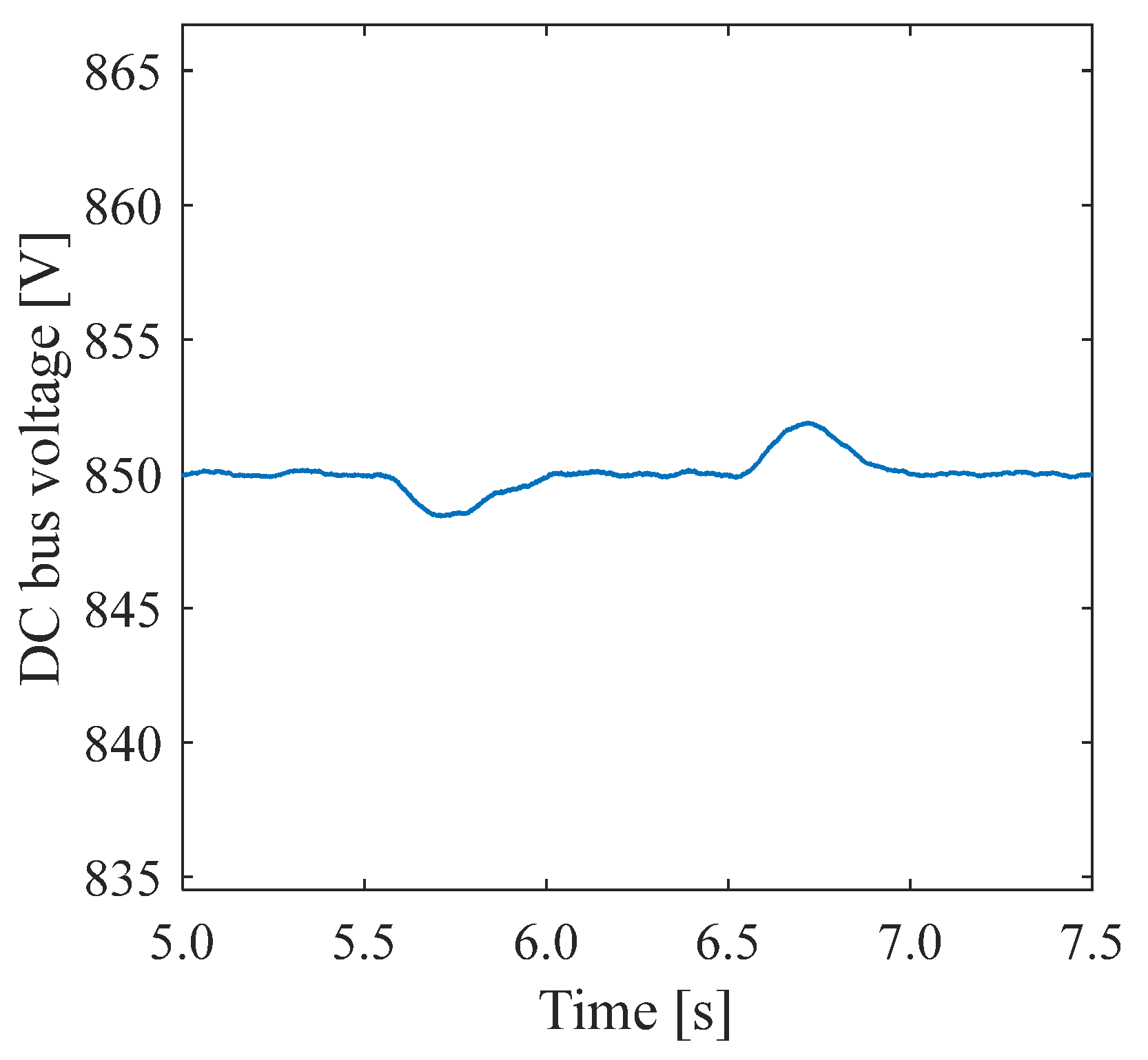
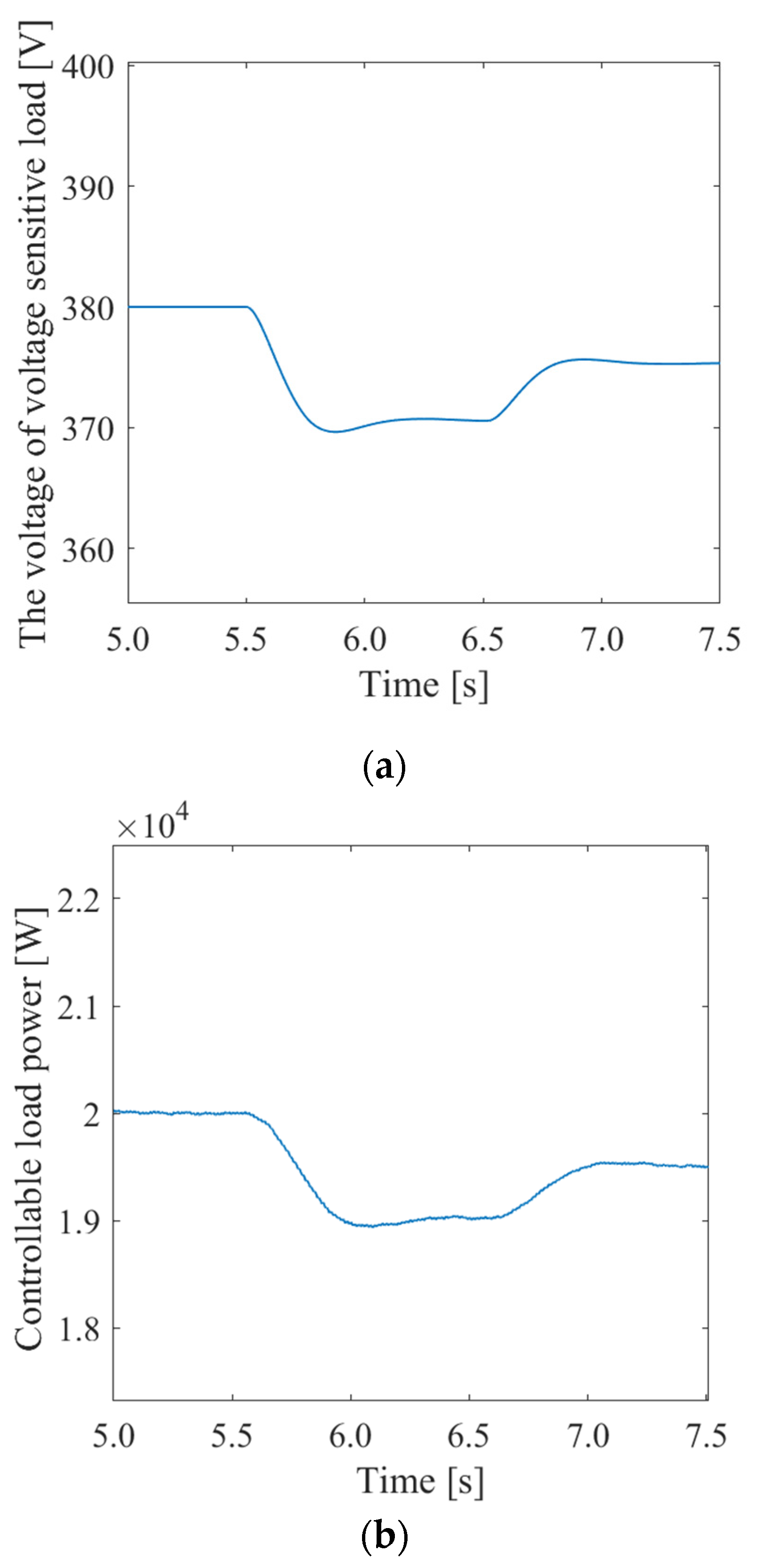
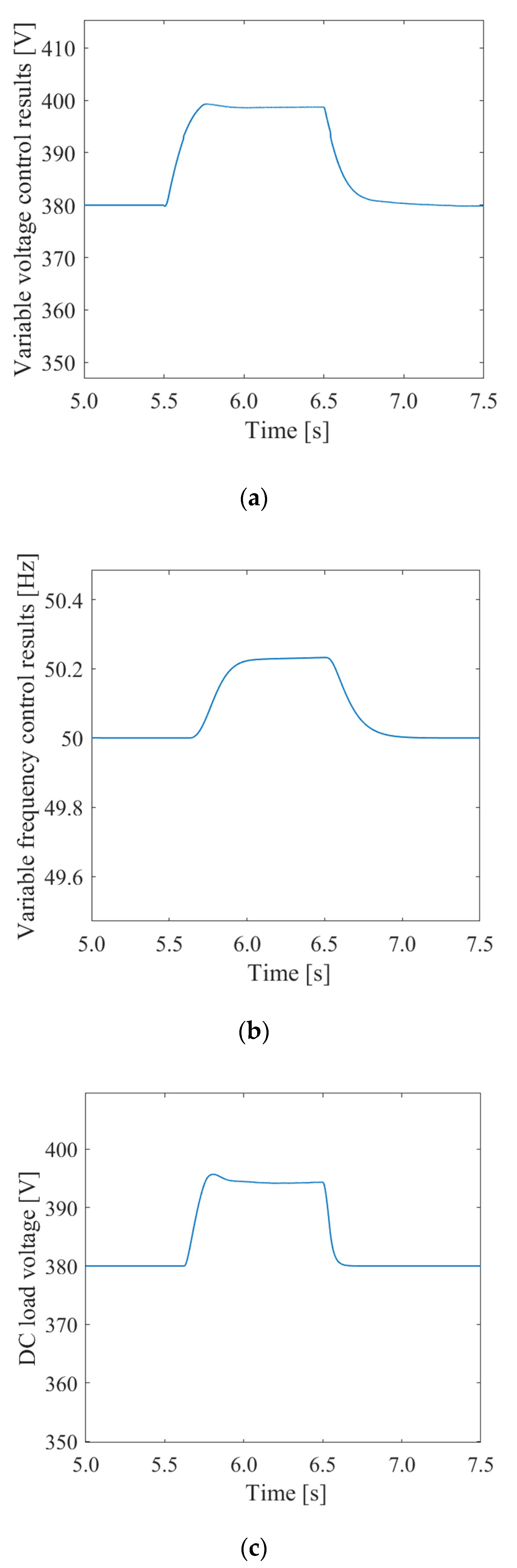
5.1. Validation of Variable Voltage Load Participating in Frequency Modulation Strategy
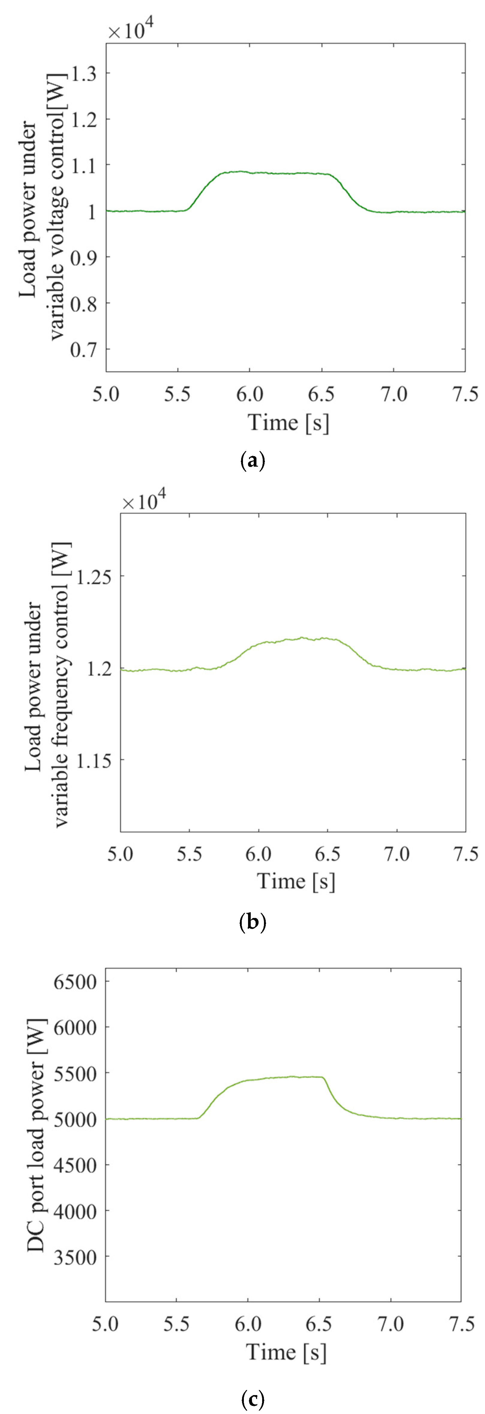
5.2. Validation of Multiport Load Participating in Frequency Modulation Strategy
6. Conclusions
- The static identification model of the controllable load is established and applied to the frequency modulation problem in a multi-port router. The load identification is carried out by applying small signals to different port loads. The identification method can effectively calculate the load sensitivity and load characteristic parameters of variable voltage and frequency. It lays the foundation for the load’s fast local frequency modulation control;
- A multi-port controllable load control method based on a power router is established in this paper. This method can be applied to both AC and DC ports of power routers, and the corresponding variable voltage and variable frequency control can be given for different port loads. This method can realize the purpose of fast local frequency modulation without communication. The topology structure adopted here can realize the transmission of load power through voltage control of the DC bus and maintain the stable work of the power router. The power frequency characteristics established for the model match the grid-side and load-side power demands. By controlling the voltage amplitude and frequency of a load port, the load can autonomously respond to power grid frequency;
- A multi-port, controlled-load frequency control strategy is proposed, and the frequency modulation coefficient which can adapt to the load state is designed. The adjustment margin of the load in the adjustable frequency segment is ensured. According to the characteristic parameters of varying load between periods, the frequency modulation capacity of different ports can be reasonably allocated. This strategy can enable the controllable load to participate in the frequency modulation response fully and smoothly in the adjustable frequency segment. At different stages, each load port can respond reasonably according to the frequency modulation coefficient. This strategy can make the load perform its frequency modulation response quickly in the early stage when the frequency of the grid is disturbed, fill the inertial vacant power of the grid, and provide support for the frequency of the grid. It can also buy time for other power grid frequency modulation methods, such as primary frequency modulation. Finally, the effectiveness of the frequency modulation strategy is verified by simulation.
Author Contributions
Funding
Data Availability Statement
Conflicts of Interest
Nomenclature
| ,,, | filter inductances of power router |
| DC bus capacitance of power router | |
| command value of the DC bus voltage | |
| ,, | filter inductances and capacitances |
| ,, | voltage- and frequency-sensitive load, DC load |
| power router control cycle | |
| ,, | load rated power, voltage, and frequency at period T |
| , | voltage and frequency sensitivity of AC load |
| ,, | power of variable voltage, variable frequency control load, and DC load |
| DC voltage sensitivity | |
| ,, | maximum adjustable range of voltage and frequency of AC controllable load, DC load maximum voltage adjustable range |
| , | total load power command value, total load rated power |
| total frequency modulation characteristic coefficient at j strategy | |
| , | grid steady-state and actual frequency |
| , | interval I and interval II boundary frequencies |
| frequency modulation dead zone | |
| maximum adjustable capacity of controllable load power | |
| , | generator rated power and active power |
| frequency modulation coefficient of the generator | |
| , | measurement values of voltage and frequency of AC ports |
| , | rated power of voltage- and frequency-sensitive load of AC port |
| ,, | voltage and frequency sensitivity of load of AC port |
| rated power of voltage-sensitive load of DC port | |
| rated voltage of DC port load | |
| maximum frequency modulation interval | |
| load power of i port, j strategy | |
| frequency-regulation capability coefficient at j strategy of i port | |
| adjustable depth for total frequency modulation load at j strategy |
References
- Qi, Y.; Deng, H.; Wang, J.; Tang, Y. Passivity-Based Synchronization Stability Analysis for Power-Electronic-Interfaced Distributed Generations. IEEE Trans. Sustain. Energy 2020, 12, 1141–1150. [Google Scholar] [CrossRef]
- Bulatov, Y.N.; Kryukov, A.V.; Arsentiev, G.O. Use of Power Routers and Renewable Energy Resources in Smart Power Supply Systems. In Proceedings of the 2018 International Ural Conference on Green Energy (UralCon), Chelyabinsk, Russia, 4–6 October 2018; pp. 143–148. [Google Scholar]
- Margaris, I.D.; Papathanassiou, S.A.; Hatziargyriou, N.D.; Hansen, A.D.; Sorensen, P. Frequency Control in Autonomous Power Systems with High Wind Power Penetration. IEEE Trans. Sustain. Energy 2012, 3, 189–199. [Google Scholar] [CrossRef]
- Hua, X.; Hong, Y.X.; Na, L. Control strategy of DFIG wind turbine in primary frequency regulation. In Proceedings of the 2018 13th IEEE Conference on Industrial Electronics and Applications (ICIEA), Wuhan, China, 31 May–2 June 2018; pp. 1751–1755. [Google Scholar]
- Sun, M.; Jia, Q.; Pei, Z.; Dong, C.; Wang, Z.H.; Jin, X. Advanced Frequency Support Strategy of Double-Stage Grid-Connected PV Generation. J. Electr. Eng. Technol. 2019, 14, 2239–2250. [Google Scholar] [CrossRef]
- Chen, W.; Sun, N.; Ma, Z.; Liu, W.; Dong, H.; Su, M.A. A Two-Layer Optimization Strategy for Battery Energy Storage Systems to Achieve Primary Frequency Regulation of Power Grid. Energies 2018, 16, 2811. [Google Scholar] [CrossRef]
- Wang, X.; Lin, C.; Shen, C.; Gan, W.; Wang, L. Control Strategy for Fast Frequency Modulation of Regional Power Grid with Energy Storage System. In Proceedings of the 2020 15th IEEE Conference on Industrial Electronics and Applications (ICIEA), Kristiansand, Norway, 9–13 November 2020; pp. 1226–1230. [Google Scholar]
- Gheisarnejad, M.; Mohammadi-Moghadam, M.H.; Boudjadar, J.; Khooban, M.H. Active Power Sharing and Frequency Recovery Control in an Islanded Microgrid with Nonlinear Load and Nondispatchable DG. IEEE Syst. J. 2019, 14, 1058–1068. [Google Scholar] [CrossRef]
- Yang, X.; Su, J.; Ding, M.; Du, Y. Research on Frequency Control for Micro-grid in Islanded Operation. Power Syst. Technol. 2012, 34, 164–168. [Google Scholar]
- Gulzar, M.M.; Iqbal, M.; Shahzad, S.; Muqeet, H.A.; Shahzad, M.; Hussain, M.M. Load Frequency Control (LFC) Strategies in Renewable Energy-Based Hybrid Power Systems: A Review. Energies 2022, 15, 3488. [Google Scholar] [CrossRef]
- Jia, Y.; Dong, Z.Y.; Sun, C.; Meng, K. Cooperation-Based Distributed Economic MPC for Economic Load Dispatch and Load Frequency Control of Interconnected Power Systems. IEEE Trans. Power Syst. 2019, 34, 3964–3966. [Google Scholar] [CrossRef]
- Ju, Y.; Du, Y.; Liu, H. Research Review of Flexible Load Aggregation Methods in Distribution Networks. In Proceedings of the 2020 IEEE 4th Conference on Energy Internet and Energy System Integration (EI2), Wuhan, China, 30 October–1 November 2020; pp. 3388–3393. [Google Scholar]
- Yang, W.; Lin, C.; Ning, Q.; Liu, Y.; Wang, X. Review on Distribution Network Planning Methods Considering Large-scale Access of Flexible Load. In Proceedings of the 2018 2nd IEEE Conference on Energy Internet and Energy System Integration (EI2), Beijing, China, 20–22 October 2018; pp. 1–6. [Google Scholar]
- Gholamrezaie, V.; Dozein, M.G.; Monsef, H.; Wu, B. An Optimal Frequency Control Method Through a Dynamic Load Frequency Control (LFC) Model Incorporating Wind Farm. IEEE Syst. J. 2018, 12, 392–401. [Google Scholar] [CrossRef]
- Sun, Y.; Mao, Y.; Li, Z.; Zhang, X.; Li, F. A Comprehensive Clustering Method of User Load Characteristics and Adjustable Potential based on Power Big Data. Proc. CSEE 2021, 41, 6259–6271. [Google Scholar]
- Carne, G.D.; Buticchi, G.; Liserre, M.; Vournas, C. Load Control Using Sensitivity Identification by Means of Smart Transformer. IEEE Trans. Smart Grid 2016, 9, 2606–2615. [Google Scholar] [CrossRef]
- Carne, G.D.; Liserre, M.; Vournas, C. On-Line Load Sensitivity Identification in LV Distribution Grids. IEEE Trans. Power Syst. 2017, 32, 1570–1571. [Google Scholar] [CrossRef]
- Reddy, C.P.; Chakrabarti, S.; Srivastava, S.C. A Sensitivity-Based Method for Under-Frequency Load-Shedding. IEEE Trans. Power Syst. 2015, 29, 984–985. [Google Scholar] [CrossRef]
- Li, C.; Wu, Y.; Sun, Y.; Zhang, H.; Terzija, V. Continuous Under-Frequency Load Shedding Scheme for Power System Adaptive Frequency Control. IEEE Trans. Power Syst. 2019, 35, 950–961. [Google Scholar] [CrossRef]
- Wu, X.; Xue, F.; Dai, J.; Tang, Y. Adaptive Under-Frequency Load Shedding Control Strategy of Power Systems with Wind Turbines and UHVDC Participating in Frequency Regulation. Front. Energy Res. 2022, 10, 541. [Google Scholar] [CrossRef]
- Gu, W.; Liu, W.; Zhu, J.; Zhao, B.; Wu, Z.; Luo, Z. Adaptive Decentralized Under-Frequency Load Shedding for Islanded Smart Distribution Networks. IEEE Trans. Sustain. Energy 2014, 5, 886–895. [Google Scholar] [CrossRef]
- Delavari, A.; Kamwa, I. Improved Optimal Decentralized Load Modulation for Power System Primary Frequency Regulation. IEEE Trans. Power Syst. 2017, 33, 1013–1025. [Google Scholar] [CrossRef]
- Shen, H.; Jiao, S.; Park, J.H.; Sreeram, V. An Improved Result on H∞ Load Frequency Control for Power Systems with Time Delays. IEEE Syst. J. 2021, 15, 3238–3248. [Google Scholar] [CrossRef]
- Carne, G.D.; Buticchi, G.; Liserre, M.; Vournas, C. Real-Time Primary Frequency Regulation Using Load Power Control by Smart Transformers. IEEE Trans. Smart Grid 2020, 10, 5630–5639. [Google Scholar] [CrossRef]
- Rezkalla, M.; Zecchino, A.; Pertl, M.; Marinelli, M. Grid Frequency Support by Single-phase Electric Vehicles Employing an Innovative Virtual Inertia Controller. In Proceedings of the 2016 51st International Universities Power Engineering Conference (UPEC), Coimbra, Portugal, 6–9 September 2016; pp. 1–6. [Google Scholar]
- Yao, Y.; Zhang, P.; Wang, Y. A two-layer control method for thermostatically controlled loads to provide fast frequency regulation. Proc. CSEE 2018, 38, 4987–4998. [Google Scholar]













| Sensitivity | Voltage-Sensitive Loads | ||
|---|---|---|---|
| Identification value | 1.52 | 2.41 | 1.97 |
| Theoretical value | 1.50 | 2.50 | 2.00 |
| Identification error | 1.3% | 3.6% | 1.5% |
Disclaimer/Publisher’s Note: The statements, opinions and data contained in all publications are solely those of the individual author(s) and contributor(s) and not of MDPI and/or the editor(s). MDPI and/or the editor(s) disclaim responsibility for any injury to people or property resulting from any ideas, methods, instructions or products referred to in the content. |
© 2023 by the authors. Licensee MDPI, Basel, Switzerland. This article is an open access article distributed under the terms and conditions of the Creative Commons Attribution (CC BY) license (https://creativecommons.org/licenses/by/4.0/).
Share and Cite
Lv, C.; Jia, Q.; Lin, L.; Cui, J. Local Frequency Modulation Strategy Based on Controllable Load Characteristic Identification of Multi-Port Power Router. Energies 2023, 16, 3651. https://doi.org/10.3390/en16093651
Lv C, Jia Q, Lin L, Cui J. Local Frequency Modulation Strategy Based on Controllable Load Characteristic Identification of Multi-Port Power Router. Energies. 2023; 16(9):3651. https://doi.org/10.3390/en16093651
Chicago/Turabian StyleLv, Changhao, Qingquan Jia, Lijuan Lin, and Jinwei Cui. 2023. "Local Frequency Modulation Strategy Based on Controllable Load Characteristic Identification of Multi-Port Power Router" Energies 16, no. 9: 3651. https://doi.org/10.3390/en16093651
APA StyleLv, C., Jia, Q., Lin, L., & Cui, J. (2023). Local Frequency Modulation Strategy Based on Controllable Load Characteristic Identification of Multi-Port Power Router. Energies, 16(9), 3651. https://doi.org/10.3390/en16093651

