Experimental and Numerical Analysis of the Effect of Rheological Models on Measurements of Shear-Thinning Fluid Flow in Smooth Pipes
Abstract
1. Introduction
2. Background and Theory
2.1. Rheological Models
2.2. The Power-Law Model
2.3. Herschel–Bulkley Model
2.4. Laminar and Transitional Flow Models
2.5. Current Study Test Model
2.6. Turbulent Flow Models
3. Computational Fluid Dynamics (CFD) and Shear-Thinning Fluids
4. Experimental Work
4.1. Characterization of Test Fluids
4.2. Numerical Procedure
4.3. Turbulence Modelling
4.4. Modified Herschel–Bulkley–Papanastasiou Viscosity Model
4.5. Solver and Numerics
4.6. Mesh Size and Grid Study
4.7. Error Calculation
4.8. Results and Discussion
4.9. Laminar Flow
4.10. Transitional Velocity Predictions
4.11. Turbulent Flow Predictions
4.12. Investigation of ANSYS Fluent Turbulence Models
4.13. Validation of Simulation Model
4.14. Evaluation of Turbulence Models for Shear-Thinning Fluids
4.15. Modified Viscosity Model
5. Conclusions
- ❑
- The characteristics of the shear-thinning fluid flow including translational velocity and friction pressure gradient loss were measured using twelve explicit equations;
- ❑
- All models were statistically compared with the experimental results;
- ❑
- In power-law rheology models, Wilson and Thomas [26] and Dodge and Matzner [27] models were discovered to be the best-fit models to the experimental results up to 45,000 RMR. However, beyond this limit, the Wilson–Thomas model results were significantly different from that of the Dodge and Metzner [27] model;
- ❑
- For Herschel–Bulkley fluids, the modified Reynolds number Slatter model [21] was found to be the most accurate in predicting the critical velocity compared to the experimental results of this research and the modified model;
- ❑
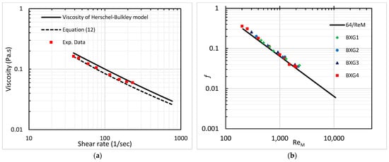
- For laminar and transitional regions, Equation (12), which considered the effect of the plug region, provided a good agreement with the viscosity of the Herschel–Bulkley fluid;
- ❑
- The Herschel–Bulkley rheological model occasionally described the drilling fluid viscosity for low values of the shear rate;
- ❑
- The Slatter [21] model was found to be most accurate in predicting the critical velocity and pressure losses through all pipe sizes and across all flow regimes;
- ❑
- Predictions in turbulent pipe flow of Herschel–Bulkley fluid are superior with a specific rheological model. Using a different model could have a significant impact on predictions, particularly when the yield stress is high;
- ❑
- Most turbulent models in CFD, which were associated with wall functions, were successfully validated for Newtonian fluid turbulent flows;
- ❑
- When comparing numerical (ANSYS Fluent) k-ω models to the power-law fluid, more accurate results were observed with fluids that have a higher behaviour index. On the other hand, k-ε was observed to work better with fluids that have a value of behaviour index greater than 0.54;
- ❑
- When comparing numerical results of the Herschel–Bulkley fluid against the experimental results of this study, the percentile error was observed to increase with an increase in the yield stress (τy);
- ❑
- User-defined functions were implemented in the current ANSYS Fluent 19, where the modified viscosity function resulted in the best fit at the low shear rates experimentally and produced more stable and discontinuity-free results at vanishing shear rates numerically.
Author Contributions
Funding
Data Availability Statement
Acknowledgments
Conflicts of Interest
Nomenclature
| A = area (m2); |
| D = pipe diameter (m); |
| Deff = effect pipe diameter (m); |
| f = friction factor (- ); |
| k = fluid consistency coefficient (Pa ·sn); |
| n = flow behaviour index (-); |
| Q = volumetric flow rate (m3/s); |
| R = Dp/2 is the radius of the plug region (m); |
| ReST = Slatter Reynolds number (-); |
| RMR = Metzner and Reed Reynolds number (-); |
| U* = shear velocity (m/s); |
| u = localized linear velocity at (r) value (m/s); |
| V = mean velocity (m/s); |
| VN = Newtonian mean velocity (m/s); |
| α* = area ratio (-); |
| γ = shear rate (s–1); |
| μ0 = apparent viscosity (Pa · s); |
| μ = Newtonian viscosity (Pa · s); |
| μeff = effect apparent viscosity (Pa · s); |
| = density of fluid (kg/m3); |
| τ = shear stress (Pa); |
| τw = wall shear stress (Pa); |
| τy = yield stress (Pa); |
| = Controls the exponential growth of stress, (-) |
| Ω = velocity profile blunting factor |
References
- El-Nahhas, K.; Mostafa, N.H. Prediction of non-Newtonian turbulent flow behaviour by a Newtonian approach. In Proceedings of the 10th International Water Technology Conference, IWTC10, Alexandria, Egypt, 23–25 March 2006; pp. 479–490. [Google Scholar]
- Chhabra, R.P.; Richardson, J.F.; Flow, N.N. Applied Rheology: Engineering Applications; Butterworth-Heinemann: Oxford, UK, 2008. [Google Scholar]
- Rahman, K.M. Analysis of Drilling Fluid Rheology & Pressure Drop Modelling to Improve Drilling Efficiency. Master’s Thesis, Schulich School of Engineering, University of Calgary, Calgary, AB, Canada, 2018. [Google Scholar]
- Demirdal, B.; Cunha, J.C. Olefin-based synthetic-drilling-fluids volumetric behaviour under downhole conditions. SPE Drill. Complet. 2009, 24, 239–248. [Google Scholar] [CrossRef]
- Garvin, T.R.; Moore, P.L. A Rheometer for Evaluating Drilling Fluids at Elevated Temperatures. In Proceedings of the SPE 3062 Presented at the Fall Meeting of the Society of Petroleum Engineers of AIME, Houston, TX, USA, 4–7 October 1970. [Google Scholar]
- Minton, R.C.; Bern, P.A. Field Measurement and Analysis of Circulating System Pressure Drops with Low-Toxicity Oil-Based Drilling Fluids. In Proceedings of the SPE 17242 Presented at the SPE/IADC Drilling Conference, Dallas, TX, USA, 28 February–2 March 1988. [Google Scholar]
- De Wolfe, R.C.; Coffin, G.B.; Byrd, R.V. Effects of Temperature and Pressure on Rheology of Less Toxic Oil Muds. In Proceedings of the SPE 11892 Presented at Offshore Europe, Aberdeen, UK, 6–9 September 1983. [Google Scholar]
- American Petroleum Institute. Recommended Practice on the Rheology and Hydraulics of Oil Well Drilling Fluids. API RP 13D, 3rd ed.; American Petroleum Institute: Washington, DC, USA, 1995. [Google Scholar]
- Jim, F.; Young, S.; De Stefano, G.; Lee, J.; Guo, Q. Nanotechnology for oilfield applications-hype or reality. In SPE International Oilfield Nanotechnology Conference and Exhibition; One Petro: Richardson, TX, USA, 2012. [Google Scholar]
- Pinho, F.T.; Oliveira, P.J.; Miranda, J.P. Pressure losses in the laminar flow of shear-thinning power-law fluids across a sudden axisymmetric expansion. Int. J. Heat Fluid Flow 2003, 24, 747–761. [Google Scholar] [CrossRef]
- Anand, V.; David Jr, J.; Christov, I.C. Non-Newtonian fluid–structure interactions: Static response of a microchannel due to internal flow of a power-law fluid. J. Non-Newton. Fluid Mech. 2019, 264, 62–72. [Google Scholar] [CrossRef]
- Moukhtari, F.E.; Lecampion, B. A semi-infinite hydraulic fracture driven by a shear-thinning fluid. J. Fluid Mech. 2018, 838, 573–605. [Google Scholar] [CrossRef]
- Picchi, D.; Ullmann, A.; Brauner, N.; Poesio, P. Motion of a confined bubble in a shear-thinning liquid. J. Fluid Mech. 2021, 918, A7. [Google Scholar] [CrossRef]
- Klotz, J.A.; Brigham, W.E. To determine Herschel-Bulkley coefficients. J. Pet. Technol. 1998, 50, 80–81. [Google Scholar] [CrossRef]
- Kelessidis, V.C.; Maglione, R. Modelling rheological behaviour of bentonite suspensions as Casson and Robertson-Stiff fluids using Newtonian and true shear rates in Couette viscometry. Powder Technol. 2006, 168, 134–147. [Google Scholar] [CrossRef]
- Whorlow, R.W. Rheological Techniques; E. Horwood: Bristol, UK, 1980; ISBN 0470267364/9780470267363. [Google Scholar]
- Herschel, W.H.; Bulkley, R. Measurement of consistency as applied to rubber-benzene solutions. Proc. ASTM Part II 1926, 26, 621–629. [Google Scholar]
- Saramito, P. A new elastoviscoplastic model based on the Herschel–Bulkley viscoplastic model. J. Non-Newton. Fluid Mech. 2009, 158, 154–161. [Google Scholar] [CrossRef]
- Amoo, L.M.; Layi Fagbenle, R. Overview of non-Newtonian boundary layer flows and heat transfer. In Applications of Heat, Mass and Fluid Boundary Layers; Woodland Publishing: Salt Lake City, UT, USA, 2020; ISBN 9780128179499. [Google Scholar]
- Metzner, A.B.; Reed, J.C. Flow of non-Newtonian fluids—Correlation of the laminar, transition, and turbulent-flow regions. AIChE J. 1955, 1, 434–440. [Google Scholar] [CrossRef]
- Slatter, P.T. Transitional and Turbulent Flow of Non-Newtonian Slurries. Unpublished Ph.D. Thesis, University of Cape Town, Cape Town, South Africa, 1994. [Google Scholar]
- Kaczmarczyk, K.; Kruk, J.; Ptaszek, P.; Ptaszek, A. Pressure Drop Method as a Useful Tool for Detecting Rheological Properties of Non-Newtonian Fluids during Flow. Appl. Sci. 2021, 11, 6583. [Google Scholar] [CrossRef]
- Slatter, P.T. The role of the yield stress on the laminar/turbulent transition. In Proceedings of the 9th International Conference on Transport and Sedimentation of Solid Particles, Cracow, Poland, 2–5 September 1997; pp. 2–5. [Google Scholar]
- Hedström, B.O.A. Flow of plastic materials in pipes. Ind. Eng. Chem. 1952, 44, 652–656. [Google Scholar] [CrossRef]
- Vlasak, P.; Chara, Z. Laminar and turbulent flow experiments with yield-power-law slurries. Powder Technol. 1999, 104, 200–206. [Google Scholar] [CrossRef]
- Wilson, K.C.; Thomas, A.D. A new analysis of the turbulent flow of non-Newtonian fluids. Can. J. Chem. Eng. 1985, 63, 539–546. [Google Scholar] [CrossRef]
- Dodge, D.W.; Metzner, A.B. Turbulent flow of non-Newtonian systems. AIChE J. 1959, 5, 189–204. [Google Scholar] [CrossRef]
- Torrance, B. Friction factors for turbulent non-Newtonian fluid flow in circular pipes. S. Afr. Mech. Eng. 1963, 13, 89–91. [Google Scholar]
- Yoo, S.S. Heat Transfer and Friction Factors for Non-Newtonian Fluids in Turbulent Pipe Flow; University of Illinois at Chicago: Chicago, IL, USA, 1974. [Google Scholar]
- Brown, N.P.; Heywood, N.I. Slurry Handling: Design of Solid-Liquid Systems; Elsevier Science: London, UK, 1991. [Google Scholar]
- Clapp, R.M. Turbulent heat transfer in pseudoplastic non-Newtonian fluids. In International Developments of Heat Transfer Part III; The American Society of Mechanical Engineers: New York, NY, USA, 1961; pp. 652–661. [Google Scholar]
- Thomas, A.D.; Wilson, K.C. New analysis of non-newtonian turbulent flowndashyield-power-law fluids. Can. J. Chem. Eng. 1987, 65, 335–338. [Google Scholar] [CrossRef]
- Slatter, P.T.; Petersen, F.W.; Moodie, L. Rheological characterisation of mineral slurries using balanced beam tube viscometry. J. South. Afr. Inst. Min. Metall. 1998, 98, 165–170. [Google Scholar]
- Skelland, A.H.P. Non-Newtonian Flow and Heat Transfer (Book on Quantitative Relationships for Non-Newtonian Systems, Considering Classification and Fluid Behaviour of Materials with Anomalous Flow Properties); John Wiley and Sons, Inc.: New York, NY, USA, 1967; 469p. [Google Scholar]
- Steffe, J.F. Rheological Methods in Food Process Engineering; Freeman Press: Dallas, TX, USA, 1996. [Google Scholar]
- Van den Heever, E. Rheological Model Influence on Pipe Flow Predictions for Homogeneous Non-Newtonian Fluids. Master’s Thesis, Cape Peninsula University of Technology, Cape Town, South Africa, 2013. [Google Scholar]
- Lovato, S.; Keetels, G.H.; Toxopeus, S.L.; Settels, J.W. An eddy-viscosity model for turbulent flows of Herschel–Bulkley fluids. J. Non-Newton. Fluid Mech. 2022, 301, 104729. [Google Scholar] [CrossRef]
- Gavrilov, A.A.; Rudyak, V.Y. Reynolds-averaged modeling of turbulent flows of power-law fluids. J. Non-Newton. Fluid Mech. 2016, 227, 45–55. [Google Scholar] [CrossRef]
- Gavrilov, A.A.; Rudyak, V.Y. Direct numerical simulation of the turbulent flows of power-law fluids in a circular pipe. Thermophys. Aeromechanics 2016, 23, 473–486. [Google Scholar] [CrossRef]
- Stainsby, R.; Chilton, R.A. Prediction of pressure losses in turbulent non-Newtonian flows: Development and application of a hybrid theological model. In Bhr Group Conference Series Publication; Mechanical Engineering Publications Limited, 1996; Volume 20, pp. 21–40. [Google Scholar]
- Singh, R.; Ahmed, R.; Karami, H.; Nasser, M.; Hussein, I. CFD analysis of turbulent flow of power-law fluid in a partially blocked eccentric annulus. Energies 2021, 14, 731. [Google Scholar] [CrossRef]
- Ihmoudah, A.; Rahman, M.A.; Butt, S.D. CFD and experimental studies of yield power-law fluids in turbulent pipe flow. In International Conference on Offshore Mechanics and Arctic Engineering. Am. Soc. Mech. Eng. 2018, 51296, V008T11A012. [Google Scholar]
- Bartosik, A. Modification of k-ε model for slurry flow with the yield stress. In Proceedings of the 10th International Conference Numerical Methods in Laminar and Turbulent Flow, Swansea, UK, 28 July–1 August 1997; pp. 265–274. [Google Scholar]
- Bartosik, A.S.; Hill, K.B.; Shook, C.A. Numerical Modelling of Turbulent Bingham Flow. In Proceedings of the 9th International Conference Transport and Sedimentation of Solid Particles, Cracow, Poland, 2–5 September 1997; Agricultural University of Wroclaw: Wroclaw, Poland, 2002. Part 1. pp. 69–81. [Google Scholar]
- Launder, B.E.; Sharma, B.I. Application of the energy-dissipation model of turbulence to the calculation of flow near a spinning disc. Lett. Heat Mass Transf. 1974, 1, 131–137. [Google Scholar] [CrossRef]
- Bartosik, A.S. Influence of Rheological Parameters on Predictions of Bingham Slurry Flow. In Proceedings of the 11th International Conference Transport and Sedimentation of Solid Particles, Ghent, Belgium, 9–12 September 2002; Agricultural Academy of Wrocław: Wrocław, Poland, 2002; Volume 438, pp. 143–150. [Google Scholar]
- Cayeux, E.; Leulseged, A. The effect of thixotropy on pressure losses in a pipe. Energies 2020, 13, 6165. [Google Scholar] [CrossRef]
- Magnon, E.; Cayeux, E. Precise method to estimate the herschel-bulkley parameters from pipe rheometer measurements. Fluids 2021, 6, 157. [Google Scholar] [CrossRef]
- Saasen, A.; Ytrehus, J.D. Viscosity models for drilling fluids—Herschel-bulkley parameters and their use. Energies 2020, 13, 5271. [Google Scholar] [CrossRef]
- ANSYS FLUENT Theory Guide 15.0; ANSYS, Inc.: Canonsburg, PA, USA, 2013; Available online: http://www.ansys.com (accessed on 5 March 2023).
- Papanastasiou, T.C. Flows of materials with yield. J. Rheol. 1987, 31, 385–404. [Google Scholar] [CrossRef]
- Genić, S.; Arandjelović, I.; Kolendić, P.; Jarić, M.; Budimir, N.; Genić, V. A review of explicit approximations of Colebrook’s equation. FME Trans. 2011, 39, 67–71. [Google Scholar]
- García, F.; García, J.M.; García, R.; Joseph, D. Friction factor improved correlations for laminar and turbulent gas–liquid flow in horizontal pipelines. Int. J. Multiph. Flow 2007, 33, 1320–1336. [Google Scholar] [CrossRef]
- García, F.; García, R.; Padrino, J.C.; Mata, C.; Trallero, J.; Joseph, D. Power-law and composite power-law friction factor correlations for laminar and turbulent gas– liquid flow in horizontal pipelines. Int. J. Multiph. Flow 2003, 29, 1605–1624. [Google Scholar] [CrossRef]
- Ouyang, L. Single Phase and Multiphase Fluid Flow in Horizontal Wells. Ph.D. Thesis, Department of Petroleum Engineering, School of Earth Sciences, Stanford University, Stanford, CA, USA, 1998; 248p. [Google Scholar]
- Xiao, J.J.; Shonham, O.; Brill, J.P. A comprehensive mechanistic model for two-phase flow in pipelines. In Proceedings of the 65th SPE Annual Technical Conference and Exhibition, Paper SPE 20631, New Orleans, LA, USA, 23–26 September 1990; pp. 167–180. [Google Scholar]
- Wu, B. Computational fluid dynamics investigation of turbulence models for non-Newtonian fluid flow in anaerobic digesters. Environ. Sci. Technol. 2010, 44, 8989–8995. [Google Scholar] [CrossRef]
- Mathur, A.; He, S. Performance and implementation of the Launder–Sharma low-Reynolds number turbulence model. Comput. Fluids 2013, 79, 134–139. [Google Scholar] [CrossRef]
- Versteeg, H.K.; Malalasekera, W. An Introduction to Computational Fluid Dynamics: The Finite Volume Method; Pearson Education: London, UK, 2007. [Google Scholar]
















| Statistics | Newtonian System | Newtonian System | |||
|---|---|---|---|---|---|
| Pipe | k-ε | k-ω | k-ε | k-ω | |
| Diameter | Models | Models | Models | Models | |
| Number of | 76.2 mm | 2,680,564 | 3,206,386 | 3,826,891 | 4,874,284 |
| elements | 19.1 mm | 1,763,592 | 2,153,491 | 2,617,330 | 2,771,148 |
| Average | 76.2 mm | 0.9912 | 0.9953 | 0.9959 | 0.9975 |
| orthogonality | 19.1 mm | 0.9923 | 0.9966 | 0.9971 | 0.9985 |
| Average | 76.2 mm | 0.0806 | 0.0585 | 0.0261 | 0.0154 |
| skewness | 19.1 mm | 0.0641 | 0.0511 | 0.0193 | 0.0106 |
| Compositions (gr/350 mL) | Rheological Parameters | ||||||||
|---|---|---|---|---|---|---|---|---|---|
| Symbol | Bentonite | Xanthan Gum | CMC | (kg/m3) | n | K (Pa.sn) | τy (Pa) | R2 (YPL Model) | R2 (PL Model) |
| BXG1 | 5.5 | 2 | 0 | 1010 | 0.74 | 0.0512 | 0.76 | 0.991 | - |
| BXG2 | 5.5 | 3 | 0 | 1015 | 0.61 | 0.241 | 1.92 | 0.992 | - |
| BXG4 | 5.5 | 4 | 0 | 1025 | 0.56 | 0.415 | 3.06 | 0.999 | - |
| CMC1 | - | - | 2 | 1000 | 0.72 | 0.0601 | 0 | - | 0.992 |
| CMC2 | - | - | 3 | 1002 | 0.60 | 0.233 | 0 | - | 0.994 |
| CMC4 | - | - | 4 | 1005 | 0.57 | 0.405 | 0 | - | 0.999 |
| FBXG1 | 5.5 | 2 | 0 | 1010 | 0.53 | 0.221 | 0 | - | 0.985 |
| KERS09 | Kaolin | 1131 | 0.838 | 0.0162 | 10.7 | Slatter [21] | |||
| Diameter (mm) | Power-Law Fluids—Metzner and Reed | Herschel–Bulkley Fluids—Slatter | ||||||||
|---|---|---|---|---|---|---|---|---|---|---|
| Exp. Critical Velocity (m/s) | CMC1 | Exp. Critical Velocity (m/s) | CMC4 | Exp. Critical Velocity (m/s) | BXG1 | Exp. Critical Velocity (m/s) | BXG2 | Exp. Critical Velocity (m/s) | BXG4 | |
| 19.1 mm | 1.19 | 1.21 | 2.15 | 2.28 | 1.04 | 0.96 | 1.65 | 1.55 | 2.22 | 2.03 |
| 7.5% | 6.1% | −5.7% | −7.8% | −8.5% | ||||||
| 76.2 mm | 0.56 | 0.59 | 1.24 | 1.28 | 0.7 | 0.67 | 1.01 | 0.96 | 1.63 | 1.52 |
| 5.3% | 3.2% | −4.2% | −5.2% | −6.7% | ||||||
| Average | 6.4% | 4.6% | −5.1% | −6.5% | −7.6% | |||||
| Developed model results | ||||||||||
| 19.1 mm | 1.04 | 1.11 | 1.65 | 1.74 | 2.22 | 2.42 | ||||
| 6.7% | 5.4% | 7.2% | ||||||||
| 76.2 mm | 0.7 | 0.73 | 1.01 | 1.04 | 1.63 | 1.71 | ||||
| 4.2% | 2.4% | 4.9% | ||||||||
| Average | 5.5% | 4.2% | 6.1% | |||||||
| Large-Diameter Pipe | Small-Diameter Pipe | ||||||||
|---|---|---|---|---|---|---|---|---|---|
| Q = 100 L/min | Q = 1000 L/min | Q = 15 L/min | Q = 60 L/min | ||||||
| ∆PCFD (Pa/m) | δ (%) | ∆PCFD (Pa/m) | δ (%) | ∆PCFD (Pa/m) | δ (%) | ∆PCFD (Pa/m) | δ (%) | ||
| k–ε | Standard | 21.7 | 3.1 | 1349.2 | 3.7 | 520.4 | −5.2 | 6152.9 | −3.1 |
| RNG | 21.8 | 3.3 | 1381.0 | 6.1 | 519.1 | −5.4 | 6151.5 | −3.2 | |
| Realizable | 20.6 | -2.6 | 1384.0 | 6.4 | 497.5 | −9.4 | 5936.6 | −6.5 | |
| k–ω | Standard | 22.1 | 4.8 | 1369.0 | 5.2 | 591.7 | 7.7 | 6752.2 | 6.3 |
| BSL | 22.3 | 5.5 | 1396.0 | 7.3 | 600.2 | 9.3 | 6763.6 | 6.5 | |
| SST | 21.6 | 2.2 | 1335.0 | 2.6 | 570.4 | 3.9 | 6498.5 | 2.3 | |
Disclaimer/Publisher’s Note: The statements, opinions and data contained in all publications are solely those of the individual author(s) and contributor(s) and not of MDPI and/or the editor(s). MDPI and/or the editor(s) disclaim responsibility for any injury to people or property resulting from any ideas, methods, instructions or products referred to in the content. |
© 2023 by the authors. Licensee MDPI, Basel, Switzerland. This article is an open access article distributed under the terms and conditions of the Creative Commons Attribution (CC BY) license (https://creativecommons.org/licenses/by/4.0/).
Share and Cite
Ihmoudah, A.; Abugharara, A.; Rahman, M.A.; Butt, S. Experimental and Numerical Analysis of the Effect of Rheological Models on Measurements of Shear-Thinning Fluid Flow in Smooth Pipes. Energies 2023, 16, 3478. https://doi.org/10.3390/en16083478
Ihmoudah A, Abugharara A, Rahman MA, Butt S. Experimental and Numerical Analysis of the Effect of Rheological Models on Measurements of Shear-Thinning Fluid Flow in Smooth Pipes. Energies. 2023; 16(8):3478. https://doi.org/10.3390/en16083478
Chicago/Turabian StyleIhmoudah, Abdalsalam, Abdelsalam Abugharara, Mohammad Azizur Rahman, and Stephen Butt. 2023. "Experimental and Numerical Analysis of the Effect of Rheological Models on Measurements of Shear-Thinning Fluid Flow in Smooth Pipes" Energies 16, no. 8: 3478. https://doi.org/10.3390/en16083478
APA StyleIhmoudah, A., Abugharara, A., Rahman, M. A., & Butt, S. (2023). Experimental and Numerical Analysis of the Effect of Rheological Models on Measurements of Shear-Thinning Fluid Flow in Smooth Pipes. Energies, 16(8), 3478. https://doi.org/10.3390/en16083478

