Next Article in Journal
Thermal Management Techniques in Metal Hydrides for Hydrogen Storage Applications: A Review
Previous Article in Journal
Artificial Intelligence for Energy Processes and Systems: Applications and Perspectives
 
 
Font Type:
Arial Georgia Verdana
Font Size:
Aa Aa Aa
Line Spacing:
Column Width:
Background:
Article

Fault-Tolerant Control of Induction Motor with Current Sensors Based on Dual-Torque Model

School of Electrical Engineering, Guangxi University, Nanning 530004, China
*
Author to whom correspondence should be addressed.
Energies 2023, 16(8), 3442; https://doi.org/10.3390/en16083442
Submission received: 16 March 2023 / Revised: 11 April 2023 / Accepted: 12 April 2023 / Published: 14 April 2023
(This article belongs to the Topic Advanced Electrical Machines and Drives Technologies)

Abstract

The safety of direct torque control (DTC) is strongly reliant on the accuracy and consistency of sensor measurement data. A fault-tolerant control paradigm based on a dual-torque model is proposed in this study. By introducing the vector product and scalar product of the stator flux and stator current vector, a new state variable is selected to derive a new dual-torque model of induction motor; it is combined with a current observer to propose a dual-torque model fault-tolerant control method. This technology calculates torque and reactive torque directly, reducing the system’s reliance on sensors, avoiding sensor-noise interference, and improving torque response speed while suppressing torque ripple. In addition, to improve system dependability and safety, a fault-tolerant control method is devised by combining the model with an adaptive virtual current observer. Ultimately, experiments validate the suggested method’s effectiveness and feasibility.

1. Introduction

Induction motors are commonly used in industries such as electric vehicles and hybrid electric vehicles, and reliability and efficiency are hard indicators for motor drive system control in electrified transportation [1,2]. Secondly, in order to improve the energy efficiency of the vehicle, the design of the motor drive system should take into account the reduction in the harmonic content of the motor feed current; to avoid the risk of mechanical resonance of the drive shaft system and to improve the reliability of the vehicle, the electromagnetic torque ripple must be minimized [3,4]. Compared to fieldoriented control (FOC), direct torque control (DTC) offers faster response times, higher accuracy, and better dynamic characteristics. However, DTC is noisy and insensitive to changes in motor parameters, and its main problems are that the switching frequency is high and not fixed and the torque fluctuation is large [5]. In the literature [6], the dot and fork products of the stator and rotor magnetic chain vectors and the squared signal of the magnetic chain amplitude are selected as the state variables of the motor system, the linearized mathematical model of the motor is reconstructed, and the feedback linearization-based direct torque control strategy of the induction motor is proposed to improve the robustness and steady-state control accuracy of the system; in the literature [7], the dot and fork products of the stator magnetic chain vector and the stator current vector are selected as the system state variables to define the state–space transformation equations that are not affected by any motor parameters, giving a formal derivation of the induction motor DTC method to improve the control accuracy. From the perspective of instantaneous power control at the machine end, an indirect active/reactive power control method was explored in the literature [8]. The induction motor drive system designed based on this control algorithm outperforms FOC and DTC for some specific tasks in terms of torque, speed, current response, and the speed regulation range.
In addition, the reliability of electric and hybrid electric vehicles is heavily dependent on the reliability of electronic equipment [9,10]. In the case of electric vehicles, vehicle stability depends on the accuracy and reliability of sensor measurement data. These sensors include current sensors, voltage sensors, and speed sensors. Current sensors are particularly prone to failure, and causes of failure include noise, gain drift, saturation, and connection problems [11]. Consequently, researchers have focused strongly on sensorless technology and on fault-tolerant control in the event of sensor failure, with the aim of reducing the number of current sensors used [12,13]. In this research, we offer a fault-tolerant control model based on a dual-torque model, as well as fault diagnosis and fault-tolerant control techniques for the model. This concept attempts to increase the dependability and stability of electric and hybrid electric cars by reducing the dependency on current sensors.
Rapid diagnosis and localization of current sensor faults are crucial for implementing fault-tolerant control in induction motors [14]. Existing diagnostic methods include observer-based, data-driven, and coordinate transformation methods. For example, a simple and effective current sensor fault diagnosis method is proposed in [15]. The fault diagnosis is carried out according to the change of the corresponding characteristic quantity before and after the current sensor fault. Only the phase current information that can be directly collected is needed. This method also has a relatively simple calculation process, so it is very suitable for real-time fault diagnosis. The authors of [16] used a Luenberger observer and the state equation of a permanent magnet synchronous motor to diagnose current sensor faults. A full-order adaptive state observer is proposed in [17], which can identify the rotor resistance online and greatly improve the AC accuracy of the observer. This method also uses the residual between the measured value and the estimated value as the basis for fault diagnosis. The authors in [18] design an observer that does not need to measure the load, so the fault diagnosis method is no longer affected by load mutation and load increase and decrease, thus improving the reliability of the method.
After fault diagnosis of a current sensor, if a fault is found to exist, a fault-tolerant control is required to maintain the normal operation of the system. Two categories of fault-tolerant control of current sensors are currently available: switching the control system from high-performance dual-loop control to single or open-loop control [19]; and estimating the current by building an observer, replacing the faulty phase current with the estimated current, and achieving closed-loop control after detecting the fault [20,21,22]. For example, the author of article [23] switches the whole vector control to the variable voltage and variable frequency (VVVF) system when the current sensor fails, realizing the open-loop control without current information. Therefore, the motor can still run until it stops, avoiding the loss caused by sudden shutdown. However, this open-loop control sacrifices the control performance of the induction motor. The second method can guarantee control performance and is more widely applied. For example, the authors in [20] estimate currents using a flux observer and replace a faulty phase current to achieve closed-loop control, thus achieving fault-tolerant control of an induction motor drive system. Article [21] proposes a method for sensor fault diagnosis, isolation, and fault tolerance of an induction motor based on the extended Kalman filter. This method has good robustness, but needs to build two additional current observers for fault-tolerant control, resulting in heavy computational burden. Article [22] has constructed three parallel full-order adaptive current observers with three-phase current to realize fault diagnosis and fault-tolerant control of one or any two induction motor current sensors; however, this scheme requires a high-performance computing unit to meet its high computational burden need. The authors of [24] introduce a dual-torque model of an induction motor based on rotor magnetic flux and stator currents, combining a nonlinear control method. The electromagnetic torque depends not on the absolute positions of the rotor magnetic flux and stator current vector in stationary and rotating coordinate systems but on their relative positions. The authors of [25,26] have applied the definition and model of the dual-torque induction motor, which is described in [24] to estimate the motor speed while improving the stability of motor operation and reducing torque ripples. Most of the research in fault-tolerant control focuses on the speed-sensorless control methods; the current sensor fault diagnosis and fault-tolerant control algorithms mostly use the current observer to replace the current sensor. Although sensorless control can avoid the system fault to a certain extent, it will cause complexity and slow response speed in the system.
In order to enhance the reliability of induction motor drive systems, we present an approach that combines a current sensor fault-tolerant control strategy with the dual-torque model. By utilizing the dual-torque control model introduced in [24], we select state variables with the vector product (torque) and scalar product (reactive torque) of the stator magnetic flux and stator current vectors, and, consequently, derive a dual-torque induction motor model. Based on this model, we design a fault diagnosis and fault-tolerant control scheme for induction motors. The proposed method is designed to enable the motor to maintain its rotation, in response to a command, in the event of a current sensor failure. Moreover, it reduces the complexity of the algorithm effectively. To validate the proposed approach, experiments are conducted on an induction motor driven by a dual-level inverter, which is controlled by dSPACE (DS1104). Overall, this study offers a valuable contribution to the field of fault-tolerant control of induction motor drive systems. The proposed method provides a practical and reliable solution for diagnosing and controlling current sensor faults, thereby ensuring stable system operation.

Traditional Direct Torque Control

For traditional DTC, the αβ component of the stator voltage in the two-phase stationary coordinate system can be obtained using the Clarke transformation as [27]:
u α u β = 2 3 1 1 2 1 2 0 3 2 3 2 u a u b u c
The stator flux and stator currents are used as state variables to create a mathematical model of an induction motor in a stationary coordinate system. Such a model can result in stator flux and current, and so:
d ψ s d t = R s i s + u s
d i s d t = 1 σ L s R r L r j ω ψ s R r σ L s j ω i s + 1 σ L s u s
In the stationary coordinate system, based on the induction motor and flux equations, the model for the rotor flux current can be derived as follows:
d ψ r α d t = 1 T r ψ r α ω ψ r β + L m T r i s α d ψ r β d t = 1 T r ψ r β + ω ψ r α + L m T r i s β
In the above equations, the equivalent resistance is R γ = ( R r L s ) / L r + R s ; the leakage coefficient is σ = 1 L m 2 / ( L s L r ) ; u s is the stator voltage vector; i s and i r are the stator and rotor current vectors, respectively; ψ s and ψ r are the stator and rotor flux vectors, respectively; R s and R r are the stator and rotor resistances, respectively; L s and L r are the stator and rotor inductances, respectively; L m is the mutual inductance; ω is the rotor electrical angular velocity; and the rotor time constant is T r = L r / R r [28]. A traditional DTC structure block diagram is shown in Figure 1.

2. Dual-Torque Model for an Induction Motor

According to the mirror power theory proposed in [29], the reactive power of the original system is physically interpreted as the active power of its mirror system, which proves that the original system is the same as the mirror system in terms of its passive nature and explains the physical meaning of reactive power, giving a theoretical pavement for further research on the physical abstraction of reactive power-based motor control methods. The radial motion is slower compared to the tangential motion; that is, the change in amplitude is slower compared to the change in phase, which is a slow time scale variable. To fill the absence of this key variable, a variable, reactive torque T R , is introduced in this paper, and since the phase change is faster compared to the amplitude change, the two variables are of different time scales; their separation is designed to be more conducive to improving the control performance of the system.
An independent flux closed-loop negative-feedback-control outer loop is added to improve the robustness and control accuracy against parameter variations. Figure 2 presents a structural diagram of the dual-torque DTC method, which mainly consists of a speed and flux outer loop PI controller, stator flux estimation, and calculations of torque T e and reactive torque T R . The reference values of T e and T R are obtained from the speed outer loop PI controller and the flux outer loop PI controller, respectively.

2.1. Dual-Torque Model for an Induction Motor

Building on the approach for obtaining a model of an induction motor through rotor flux linkage and stator current described in [24], this study introduces three state variables based on stator flux linkage and stator current, as described by Equations (5)–(7). Consequently, the dual-torque model of the induction motor is derived using stator flux linkage.
ψ s 2 = ψ s α 2 + ψ s β 2
τ s = ψ s α i s β ψ s β i s α
η s = ψ s α i s α + ψ s β i s β
In the above, τ s is the cross product of the stator flux and stator current vectors, known as the normalized torque; and η s is the dot product of the stator flux and stator current vectors, representing the normalized reactive torque.
Typically, a 5th-order model is needed to fully characterize the dynamic and static behaviors of an induction motor. Because the flux linkage angle is only used for observer design, the method proposed in this paper requires only a 4th-order model, which can fully capture the dynamic and static characteristics of the induction motor by utilizing the state variables defined in Equations (5)–(7). By taking the derivatives of the variables defined in Equations (5)–(7), we obtain:
d ω d t = n p J ( 3 2 n p τ s T L )
d ψ s 2 d t = 2 R s η s + 2 u η s
d τ s d t = R s L r + R r L s σ L s L r τ s 1 σ L s ω ψ s 2 + 1 σ L s u τ s + ( ω η s η s ψ s 2 u τ s + τ s ψ s 2 u η s )
d η s d t = R s L r + R r L s σ L s L r η s + R r σ L s L r ψ s 2 + 1 σ L s u η s + ( ω τ s + τ s ψ s 2 u τ s + η s ψ s 2 u η s R s τ s 2 + η s 2 ψ s 2 )
σ d η s d t = R s L r + R r L s L s L r η s + R r L s L r ψ s 2 + 1 L s u η s + σ ( ω τ s + τ s ψ s 2 u τ s + η s ψ s 2 u η s R s τ s 2 + η s 2 ψ s 2 )
In the above:
u τ s = ψ s α u s β ψ s β u s α u η s = ψ s α u s α + ψ s β u s β
In Equation (12), the leakage coefficient σ is much lower than 1. Therefore, when considering the dynamic characteristics of the slow-timescale variation of the stator flux, the derivative term of the fast variable η s related to the leakage coefficient σ and several terms inside the parentheses in Equations (3)–(15) can be ignored, so that:
0 = R s L r + R r L s L s L r η s + R r L s L r ψ s 2 + 1 L s u η s , slow
u η s , slow = R r L r ψ s 2 + R s + L s L r R r η s
Substituting Equation (15) into Equation (9), we get:
d ψ s 2 d t = 2 R r L r ψ s 2 + 2 L s R r L r η s
According to Equation (16), we calculate:
T R = 3 2 n p η s = 3 n p 2 L s ψ s 2 + 3 n p L r 4 L s R r p ψ s 2
The equation indicates that p is a differential operator. According to Equation (17), there is a linear dynamic relationship between the reactive torque T R and the square of the stator flux, and T R can be used to adjust the stator flux, which is the dynamic control variable of the stator flux.

2.2. Fault Diagnosis of Dual-Torque Vector Control of Induction Motors

To improve traditional model-based diagnosis methods, most researchers have replaced the observer to adjust the control performance of fault-tolerant control after a fault occurs. Diagnosis results are mostly based on a determination of α phase or β phase current error, based on the principle of coordinate transformation. However, the phase current error cannot directly determine which phase of a three-phase current sensor has failed; so, an additional judgment module needs to be added.
Traditional fault-tolerant control of current sensors uses the fault detection method expressed in Equation (18), in which the estimated value of the current components on the αβ axis is used to replace the measured value after a fault occurs [30].
i s α i ^ s α > ε 1 i s β i ^ s β > ε 1
where i s α is the stator current component on axis α ; i ^ s α is the estimated stator current component on axis α , and i s β are the stator current component on axis β and the estimated stator current component on axis β , respectively. The threshold value ε 1 is determined manually.
i A i ^ A > ε 2 i B i ^ B > ε 2 i C i ^ C > ε 2
Three current sensors are utilized to capture the currents of phases A, B, and C, respectively. The sum of the three phase currents is employed to detect potential faults in the current sensors. i A and i ^ A denote the measured and estimated stator current components on axis A; i B and i ^ B represent the measured and estimated stator current components on axis B; i C and i ^ C indicate the measured and estimated stator current components on axis C; and ε 2 is the threshold value. At present, there is no uniform standard for selecting the threshold value. Most of them are based on experience. In this study, after many simulations and experiments, we finally selected i sq with a threshold value of 11%.
We then design a current observer to obtain estimated values of the currents in phases A, B, and C. These values can be compared with the measured values to determine whether there is a fault in any of the current sensors. If a fault is detected, the estimated value of the current in the corresponding phase can be used to replace the measured value from the faulty sensor. It is possible to diagnose the faulty phase currents of phase A and phase B and, for the diagnosed phase current with a faulty sensor, replace the sensor measurement value with the observer’s estimated value. Finally, calculate the phase C current using the diagnosed and corrected phase A and phase B currents. The fault diagnosis flowchart is shown in Figure 3.
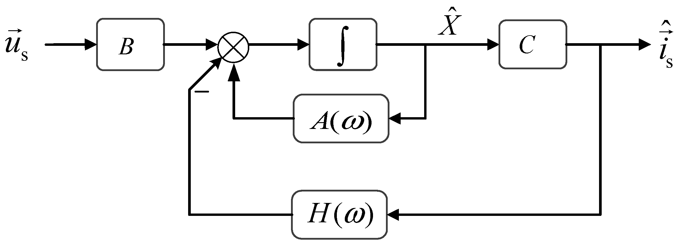
An adaptive virtual current observer is meant to recreate the stator current using the observer principle. This method replaces the measured current with an estimated current, allowing operation without current sensors, making it a fault-tolerant control scheme in the event of current sensor failure. Operating without current sensors can eliminate the effects of sensor measurement noise and reduce current and torque ripples. The flow chart of current estimation is shown in Figure 4.
The Equations (1) and (2) can now be expressed, beginning thus:
X ˙ = A X + B U Y = C X
In the above formula: X = i s ψ s T , A = j ω R γ σ L s 1 σ L s 1 T r j ω R s 0 , B = 1 σ L s 1 T , and U = u s , Y = i s , C = 1 0 .
The virtual current observer may be expressed using the Luenberger observer theory as follows:
X ^ ˙ = A X ^ + B U + H Y H Y ^ Y ^ = C X ^
In the above formula:
X = i ^ s ψ ^ s T ,   Y ^ = i ^ s ,   H = H 1 + j H 2 H 3 + j H 4 T
Modify Equation (21) because there is no input for the current sensor measurement signal, as follows:
X ^ ˙ = A X ^ + B U H Y ^ Y ^ = C X ^
The error system can be calculated by subtracting system (22) from system (20):
Δ X ˙ = A H C Δ X + H Y
In the above formula:
Δ X = X X ^
Under the stable pole position of the observation system matrix A H C , the estimated value can converge to the real stator current and flux, according to Lyapunov stability theory. As a result, the observer’s characteristic equation is as follows [31]:
det s A H C = s 2 + R γ σ L s + H 1 + j H 2 j ω s + 1 T r j ω R s + H 3 + j H 4 σ L s
The dynamic equation of the observer is defined as follows:
Δ s = s 2 + R γ σ L s j ω h s + 1 T r j ω R s h 2 σ L s
In the above, h is a proportional constant. The following equation can be used to compute the gain matrix H . By comparing the identical s-order terms in Equations (24) and (25), we obtain:
H 1 = h R γ σ L s R γ σ L s H 2 = ω h ω H 3 = h 2 R s R s H 4 = 0

3. Dynamic Response Performance Test

An experimental platform for an induction motor fed by a dual-level inverter based on the dSPACE controller DS1104 is introduced here. When building the experimental platform for traditional induction motor control systems, most of them use a microcontroller or DSP as the main controller, which requires a lot of time and effort to convert the model originally built in MATLAB/Simulink simulation software to computer language programming. However, manual programming is not always reliable and relatively easy to implement for complex algorithms that are more difficult. dSPACE controllers are the perfect solution to this problem. The semiphysical experimental platform built on the dSPACE DS1104 controller can be seamlessly linked to MATLAB/Simulink simulation software. Through the real-time interface (RTI) module and real-time code generation (RTW) module, the system simulation model built in Simulink can be quickly converted into executable C code, compiled and linked, and then the executable file is downloaded to the internal supporting system. After compiling and linking, the executable file is downloaded to the internal DSP controller, and then the program is executed to achieve real-time verification of the control algorithm. The dSPACE DS1104 is the core single-board hardware used to build the dSPACE semiphysical real-time simulation test platform, with which a common PC can be used to build a powerful development system. Batteries are used to power the converter, both to obtain a stable and high-quality DC voltage and to protect the motor.
The experimental platform is shown in Figure 5, and the motor parameters are set out in Table 1.

3.1. Positive and Reverse Dynamic Response Performance Test

Firstly, under the rated excitation and load conditions, forward and reverse experiments are conducted, and the motor is started at a speed of 200 r/min. When it is in normal operation, a command is given to change the speed from 200 r/min to −200 r/min. The experimental results are shown in Figure 6. The dynamic operating characteristics of the dual-torque DTC are observed and compared with DTC. The experimental results showed that, compared with the DTC, the dual-torque DTC could track the set value quickly and accurately under rated load conditions. Nevertheless, when the speed is changed, the magnetic flux of DTC is influenced and displays visible variations, with the highest ripple of stator flux amplitude reaching 0.2 Wb, indicating that the torque of dual-torque DTC in magnetic flux decoupling control performance is better than DTC.

3.2. Transient Torque Step Response Characteristics

Quantitative analysis and comparison of the steady-state performance of the system are conducted using the root–mean–square error calculation formula. The calculation formula for torque ripple can be expressed as follows:
T e _ ripple = 1 N n = 1 N T e ( n ) T ¯ e 2
where T e _ ripple represents the torque ripple; T e ( n ) represents the torque value of the nth sampling point; T ¯ e represents the average value of torque during the set time period; and N is the number of samples in the specified time.
The transient torque step response characteristics of the two methods are compared and tested, as shown in Figure 7. The torque step reference value is 30 N·m. The time taken for the torque to increase from a 0% to 100% steady-state value is used as the response time of the torque. As shown in Figure 7, the torque increase rate of DTC is 1.87 (N·m)/100 μs, and the torque increase rate of the dual-torque DTC is 2.08 (N·m)/100 μs, indicating that the torque response speed of the dual-torque DTC method is higher. In addition, by using Equation (27) to calculate the transient torque ripple during speed changes, it is found that the ripple of the dual-torque DTC is slightly smaller. This is because the dual-torque DTC directly calculates torque and reactive torque, avoiding noise interference from current sensors and improving the torque response speed.

3.3. Operating Capacity at Low Speed with Load

In the preceding studies, the dynamic performance of the standard DTC technique and the dual-torque DTC method for induction motors are compared. In the following experiment, we sought to compare the steady-state performance of these two methods when the motor is operated at low speed with a load. The induction motor is operated at a stable speed of 150 r/min with a load of 15 N·m. The waveforms of the stator current and torque for both methods are observed and compared.
Figure 8 shows the experimental torque waveforms of the two methods under low-speed conditions with a load. It can be seen from the figure that the torque ripple of the conventional DTC is slightly higher than that of the dual-torque DTC. A quantitative examination indicates that the torque ripple of the traditional DTC technique is 3.029 Nm, whereas the torque ripple of the dual-torque DTC approach is 2.748 Nm, representing a 9.3% decrease over the conventional DTC method. As a result, the dual-torque DTC efficiently suppresses torque ripples.
Figure 9 shows the stator current waveforms at a speed of 150 r/min with a load of 15 N·m. The fast Fourier transform algorithm is used to analyze the harmonic content of the current waveform. The total harmonic distortion (THD) of the stator current for the conventional DTC method is 24.52%; for the dual-torque DTC method it is 20.31%. Compared with the conventional DTC method, the THD of the stator current is reduced by 17.2% using the dual-torque DTC method.
In order to improve the persuasiveness of the experimental results, the torque ripple of the motor under no-load stable operation at different speeds is calculated using both methods, and the respective results are compared, as shown in Figure 10. From the torque ripple calculation results in the figure, it can be seen that the torque ripple of the dual-torque DTC method is lower than that of the conventional DTC method at different speeds. The results of the above series of steady-state experiments indicate that, compared with the conventional DTC method, the steady-state performance of the induction motor control system using the dual-torque DTC method is improved to a certain extent, and that the proposed method is feasible.

3.4. Parameter Adaptation Experiment

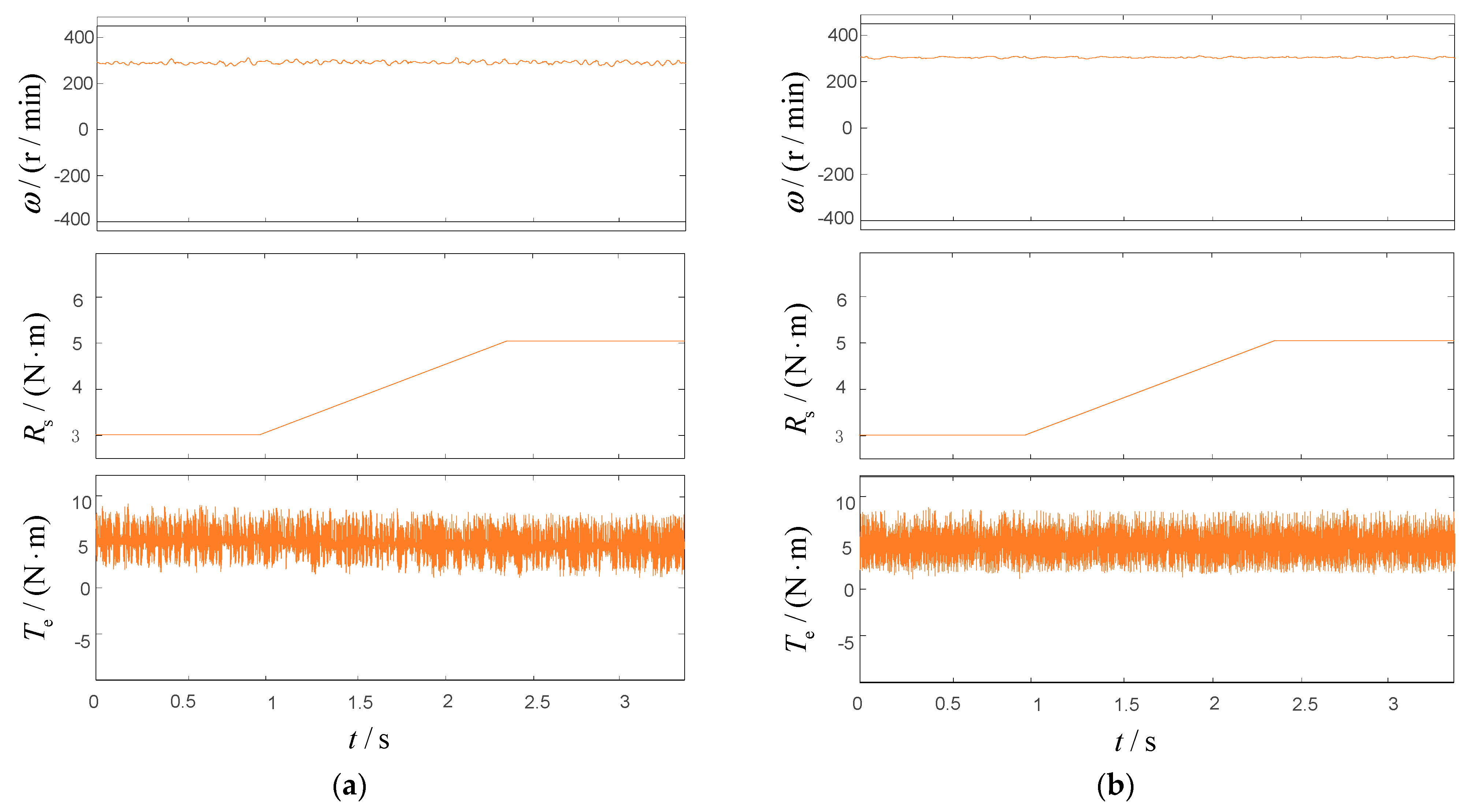
Variation in motor parameters can affect the control performance of the system, and severe parameter mismatch may even cause the motor system to fail to operate properly. To test the robustness of the dual-torque DTC method, the rotor resistance is increased by 50% in rated excitation and no-load conditions, and the motor speed is varied from −300 r/min to 300 r/min. The experimental results are shown in Figure 11. It can be seen that the waveforms of speed, current, flux, and torque are all normal, without any obvious distortion. The experimental results show that the dual-torque DTC can still maintain normal and stable operation of the motor system when the rotor resistance of the motor changes; its dynamic response speed and steady-state control performance are comparable to those of the conventional DTC. That is, within a certain range of parameter errors, both methods can maintain the normal and stable operation of the motor system, and the robustness of the dual-torque DTC system is good.
Figure 12 shows the experimental results of stator resistance mismatch; it can be seen that the dual torque model has better torque stability than DTC after the stator resistance change, and that the proposed method is more robust.

3.5. Fault-Tolerant Control Experiment

The induction motor is operated at a stable speed of 200 r/min with a load of 20 N·m. To validate the effectiveness of the proposed current sensor fault-tolerant control for the dual-torque DTC model, the dSPACE system is utilized to simulate sensor faults by manipulating the output values of the sensors. In order to simulate faults, the measurement value of phase A current sensor input to the control system is changed to 0 at 0.7 s; the system is able to use the estimated value of the current observer to replace the measured value of the current sensor, ensuring the safe operation of the motor and maintaining the given speed. After that, the current measurement values of both the A-phase and B-phase current sensors are changed to 0 at 0.6 s, and the system still operates safely. The dynamic characteristics of the induction motor under fault are then observed, and the results are presented in Figure 13. As can be seen from the figure, the system could accurately detect the sensor fault and utilize the estimated value of the observer to replace the sensor measurement value, ensuring the smooth operation of the induction motor after the sensor fault. Hence, the proposed method is practical and effective.

4. Conclusions

In this paper, a dual-torque DTC method is proposed to address the issues of fault tolerant control of current sensors. This method introduces torque and reactive torque as state variables and derives a dual-torque model of the induction motor using stator flux and stator current. The proposed method offers the following advantages:
The dual-torque signal is directly calculated through current and direct current voltage feedback signals, enabling direct dual-torque control of the induction motor and improving speed stability, thereby reducing current and torque ripples. Moreover, the proposed method combines the model with an adaptive virtual current observer to design a fault-tolerant control scheme that decreases measurement noise of current sensors and ensures safe rotation of the motor, thus enhancing system safety and reducing the torque ripple.
In conclusion, our experimental results demonstrate that the dual-torque DTC method achieves levels of dynamic and steady-state control performance similar to the conventional DTC method. The dual-torque DTC method achieves superior response speed, lower torque ripples, and total harmonic distortion of the stator current. The proposed method shows great potential for improving the control performance and reliability of induction motor drive systems.

Author Contributions

Conceptualization, Y.L.; methodology, Y.L.; software, Y.L.; validation, Y.L.; writing—original draft, Y.L.; writing—review and editing, P.G. All authors have read and agreed to the published version of the manuscript.

Funding

This research received no external funding.

Data Availability Statement

Data is unavailable due to privacy or ethical restrictions.

Conflicts of Interest

The authors declare no conflict of interest.

References

  1. Ronanki, D.; Singh, S.A.; Williamson, S.S. Comprehensive Topological Overview of Rolling Stock Architectures and Recent Trends in Electric Railway Traction Systems. IEEE Trans. Transp. Electrif. 2017, 3, 724–738. [Google Scholar] [CrossRef]
  2. Un-Noor, F.; Padmanaban, S.; Mihet-Popa, L.; Mollah, M.; Hossain, E. A Comprehensive Study of Key Electric Vehicle (EV) Components, Technologies, Challenges, Impacts, and Future Direction of Development. Energies 2017, 10, 1217. [Google Scholar] [CrossRef]
  3. Wu, C.; Sehab, R.; Akrad, A.; Morel, C. Fault Diagnosis Methods and Fault Tolerant Control Strategies for the Electric Vehicle Powertrains. Energies 2022, 15, 4840. [Google Scholar] [CrossRef]
  4. Gao, H.; Zhang, W.; Wang, Y.; Chen, Z. Fault-Tolerant Control Strategy for 12-Phase Permanent Magnet Synchronous Motor. Energies 2019, 12, 3462. [Google Scholar] [CrossRef]
  5. Liu, C. Emerging Electric Machines and Drives—An Overview. IEEE Trans. Energy Convers. 2018, 33, 2270–2280. [Google Scholar] [CrossRef]
  6. Lascu, C.; Jafarzadeh, S.; Fadali, M.S.; Blaabjerg, F. Direct Torque Control with Feedback Linearization for Induction Motor Drives. IEEE Trans. Power Electron. 2017, 32, 2072–2080. [Google Scholar] [CrossRef]
  7. Sorchini, Z.; Krein, P.T. Formal Derivation of Direct Torque Control for Induction Machines. IEEE Trans. Power Electron. 2006, 21, 1428–1436. [Google Scholar] [CrossRef]
  8. Forestieri, J.N.; Farasat, M.; Trzynadlowski, A.M. Indirect Real- and Reactive-Power Control of Induction Motor Drives. IEEE J. Emerg. Sel. Top. Power Electron. 2018, 6, 2109–2125. [Google Scholar] [CrossRef]
  9. Burriel-Valencia, J.; Puche-Panadero, R.; Martinez-Roman, J.; Sapena-Bano, A.; Pineda-Sanchez, M.; Perez-Cruz, J.; Riera-Guasp, M. Automatic Fault Diagnostic System for Induction Motors under Transient Regime Optimized with Expert Systems. Electronics 2018, 8, 6. [Google Scholar] [CrossRef]
  10. Gonzalez-Prieto, A.; Aciego, J.J.; Gonzalez-Prieto, I.; Duran, M.J. Automatic Fault-Tolerant Control of Multiphase Induction Machines: A Game Changer. Electronics 2020, 9, 938. [Google Scholar] [CrossRef]
  11. Xiaodong, S.; Krishnamurthy, M. Survivable Operation of Induction Machine Drives with Smooth Transition Strategy for EV Applications. IEEE J. Emerg. Sel. Top. Power Electron. 2014, 2, 609–617. [Google Scholar] [CrossRef]
  12. Adamczyk, M.; Orlowska-Kowalska, T. Postfault Direct Field-Oriented Control of Induction Motor Drive Using Adaptive Virtual Current Sensor. IEEE Trans. Ind. Electron. 2022, 69, 3418–3427. [Google Scholar] [CrossRef]
  13. Azzoug, Y.; Sahraoui, M.; Pusca, R.; Ameid, T.; Romary, R.; Cardoso, A.J.M. High-performance vector control without AC phase current sensors for induction motor drives: Simulation and real-time implementation. ISA Trans. 2021, 109, 295–306. [Google Scholar] [CrossRef]
  14. Rangari, S.C.; Suryawanshi, H.M.; Renge, M. New Fault-Tolerant Control Strategy of Five-Phase Induction Motor with Four-Phase and Three-Phase Modes of Operation. Electronics 2018, 7, 159. [Google Scholar] [CrossRef]
  15. Chakraborty, C.; Verma, V. Speed and Current Sensor Fault Detection and Isolation Technique for Induction Motor Drive Using Axes Transformation. IEEE Trans. Ind. Electron. 2015, 62, 1943–1954. [Google Scholar] [CrossRef]
  16. Kommuri, S.K.; Lee, S.B.; Veluvolu, K.C. Robust Sensors-Fault-Tolerance with Sliding Mode Estimation and Control for PMSM Drives. IEEE/ASME Trans. Mechatron. 2018, 23, 17–28. [Google Scholar] [CrossRef]
  17. Freire, N.M.A.; Estima, J.O.; Cardoso, A.J.M. A New Approach for Current Sensor Fault Diagnosis in PMSG Drives for Wind Energy Conversion Systems. IEEE Trans. Ind. Appl. 2014, 50, 1206–1214. [Google Scholar] [CrossRef]
  18. Verma, V.; Chakraborty, C.; Maiti, S.; Hori, Y. Speed Sensorless Vector Controlled Induction Motor Drive Using Single Current Sensor. IEEE Trans. Energy Convers. 2013, 28, 938–950. [Google Scholar] [CrossRef]
  19. Liu, Y.; Stettenbenz, M.; Bazzi, A.M. Smooth Fault-Tolerant Control of Induction Motor Drives with Sensor Failures. IEEE Trans. Power Electron. 2019, 34, 3544–3552. [Google Scholar] [CrossRef]
  20. Manohar, M.; Das, S. Current Sensor Fault-Tolerant Control for Direct Torque Control of Induction Motor Drive Using Flux-Linkage Observer. IEEE Trans. Ind. Inform. 2017, 13, 2824–2833. [Google Scholar] [CrossRef]
  21. Zhang, X.; Foo, G.; Don Vilathgamuwa, M.; Tseng, K.J.; Bhangu, B.S.; Gajanayake, C. Sensor fault detection, isolation and system reconfiguration based on extended Kalman filter for induction motor drives. IET Electr. Power Appl. 2013, 7, 607–617. [Google Scholar] [CrossRef]
  22. Yu, Y.; Zhao, Y.; Wang, B.; Huang, X.; Xu, D. Current Sensor Fault Diagnosis and Tolerant Control for VSI-Based Induction Motor Drives. IEEE Trans. Power Electron. 2018, 33, 4238–4248. [Google Scholar] [CrossRef]
  23. Yu, Y.; Wang, Z.; Xu, D.; Zhou, T.; Xu, R. Speed and Current Sensor Fault Detection and Isolation Based on Adaptive Observers for IM Drives. J. Power Electron. 2014, 14, 967–979. [Google Scholar] [CrossRef]
  24. Zhang, X.; Yan, K.; Cheng, M. Two-Stage Series Model Predictive Torque Control for PMSM Drives. IEEE Trans. Power Electron. 2021, 36, 12910–12918. [Google Scholar] [CrossRef]
  25. Ravi Teja, A.V.; Verma, V.; Chakraborty, C. A New Formulation of Reactive-Power-Based Model Reference Adaptive System for Sensorless Induction Motor Drive. IEEE Trans. Ind. Electron. 2015, 62, 6797–6808. [Google Scholar] [CrossRef]
  26. Sun, W.; Yu, Y.; Wang, G.; Li, B.; Xu, D. Design Method of Adaptive Full Order Observer with or Without Estimated Flux Error in Speed Estimation Algorithm. IEEE Trans. Power Electron. 2016, 31, 2609–2626. [Google Scholar] [CrossRef]
  27. Cho, Y.; Bak, Y.; Lee, K.-B. Torque-Ripple Reduction and Fast Torque Response Strategy for Predictive Torque Control of Induction Motors. IEEE Trans. Power Electron. 2018, 33, 2458–2470. [Google Scholar] [CrossRef]
  28. Krzemiński, Z. Nonlinear Control of Induction Motor. IFAC Proc. Vol. 1987, 20, 357–362. [Google Scholar] [CrossRef]
  29. Zhong, Q.-C. The Ghost Operator and Its Applications to Reveal the Physical Meaning of Reactive Power for Electrical and Mechanical Systems and Others. IEEE Access 2017, 5, 13038–13045. [Google Scholar] [CrossRef]
  30. Foo, G.H.B.; Zhang, X.; Vilathgamuwa, D.M. A Sensor Fault Detection and Isolation Method in Interior Permanent-Magnet Synchronous Motor Drives Based on an Extended Kalman Filter. IEEE Trans. Ind. Electron. 2013, 60, 3485–3495. [Google Scholar] [CrossRef]
  31. Li, H.; Lu, Z.; Li, Z. Transient analysis of load switches of self-excited induction generators based on Lyapunov stability theory. IEEJ Trans. Electr. Electron. Eng. 2017, 12, 337–346. [Google Scholar] [CrossRef]
Figure 1. Traditional direct torque control (DTC) structure block diagram.
Figure 1. Traditional direct torque control (DTC) structure block diagram.
Energies 16 03442 g001
Figure 2. Structure block diagram of DTC dual-torque model current sensorless.
Figure 2. Structure block diagram of DTC dual-torque model current sensorless.
Energies 16 03442 g002
Figure 3. Flow chart of fault diagnosis.
Figure 3. Flow chart of fault diagnosis.
Energies 16 03442 g003
Figure 4. Current estimation structure diagram.
Figure 4. Current estimation structure diagram.
Energies 16 03442 g004
Figure 5. Experimental Platform.
Figure 5. Experimental Platform.
Energies 16 03442 g005
Figure 6. Speed acceleration from −200 r/min to 200 r/min under no-load state: (a) DTC; (b) The proposed method.
Figure 6. Speed acceleration from −200 r/min to 200 r/min under no-load state: (a) DTC; (b) The proposed method.
Energies 16 03442 g006
Figure 7. Torque acceleration from 0% to 100% steady-state value: (a) DTC; (b) The proposed method.
Figure 7. Torque acceleration from 0% to 100% steady-state value: (a) DTC; (b) The proposed method.
Energies 16 03442 g007
Figure 8. Steady state torque waveform: (a) DTC; (b) The proposed method.
Figure 8. Steady state torque waveform: (a) DTC; (b) The proposed method.
Energies 16 03442 g008
Figure 9. Harmonic analysis of stator current: (a) DTC; (b) The proposed method.
Figure 9. Harmonic analysis of stator current: (a) DTC; (b) The proposed method.
Energies 16 03442 g009
Figure 10. Torque ripple at different speeds.
Figure 10. Torque ripple at different speeds.
Energies 16 03442 g010
Figure 11. Rotor resistance increases by 50%: (a) DTC; (b) The proposed method.
Figure 11. Rotor resistance increases by 50%: (a) DTC; (b) The proposed method.
Energies 16 03442 g011
Figure 12. Experimental results of stator resistance mismatch: (a) DTC; (b) The proposed method.
Figure 12. Experimental results of stator resistance mismatch: (a) DTC; (b) The proposed method.
Energies 16 03442 g012
Figure 13. Fault-tolerant control experiment: (a) Phase A fault; (b) Phase A and B fault.
Figure 13. Fault-tolerant control experiment: (a) Phase A fault; (b) Phase A and B fault.
Energies 16 03442 g013
Table 1. Induction Motor Ratings and Parameters.
Table 1. Induction Motor Ratings and Parameters.
SymbolQuantityValue
PNRated shaft power2.2 kW
URated voltage380 V
fRated frequency50 Hz
ωRated speed1422 r/min
npPole pairs2
RsStator resistance3.4 W
RrRotor resistance2.444 W
LsStator inductance0.2724 H
LrRotor inductance0.2715 H
LmMutual inductance0.2631 H
JMachine inertia0.005 kg m2
Disclaimer/Publisher’s Note: The statements, opinions and data contained in all publications are solely those of the individual author(s) and contributor(s) and not of MDPI and/or the editor(s). MDPI and/or the editor(s) disclaim responsibility for any injury to people or property resulting from any ideas, methods, instructions or products referred to in the content.

Share and Cite

MDPI and ACS Style

Li, Y.; Gong, P. Fault-Tolerant Control of Induction Motor with Current Sensors Based on Dual-Torque Model. Energies 2023, 16, 3442. https://doi.org/10.3390/en16083442

AMA Style

Li Y, Gong P. Fault-Tolerant Control of Induction Motor with Current Sensors Based on Dual-Torque Model. Energies. 2023; 16(8):3442. https://doi.org/10.3390/en16083442

Chicago/Turabian Style

Li, Yongda, and Pingping Gong. 2023. "Fault-Tolerant Control of Induction Motor with Current Sensors Based on Dual-Torque Model" Energies 16, no. 8: 3442. https://doi.org/10.3390/en16083442

APA Style

Li, Y., & Gong, P. (2023). Fault-Tolerant Control of Induction Motor with Current Sensors Based on Dual-Torque Model. Energies, 16(8), 3442. https://doi.org/10.3390/en16083442

Note that from the first issue of 2016, this journal uses article numbers instead of page numbers. See further details here.

Article Metrics

Back to TopTop