A Novel Analysis of Energy Density Considerations and Its Impacts on the Cost of Electrical Energy Storage (EES) Plants
Abstract
1. Introduction
2. Contribution of the Work
3. Problem Definition
4. Low-Pressure Liquid Air Storage
5. Materials and Methodology
- The air is real and dry;
- The efficiency of turbomachinery is constant in off-design and design conditions [39];
- The ambient and source pressure and temperature are 101 kPa and 20 °C, respectively;
- The pressure loss of piping is negligible;
- The air leakage from the UG storage is negligible [40];
- The heat losses and air leakage from the AG storage are considered in the LAS capacity calculation;
- The isentropic efficiency of rotary equipment is considered fixed in the current evaluation’s thermodynamic range;
- The time of charging and discharging is 8 and 2 h, respectively;
6. Validation
7. Techno-Economic Calculations
7.1. Tank Working Capacity
7.2. Extra Volume Due to Dead Zone
7.2.1. Highest Liquid Level
7.2.2. Lowest Liquid Level
Submergence Length
NPSH
7.3. Extra Volume Due to Heat Leakage
7.3.1. Passive Refrigerated System
7.3.2. Active Refrigeration
7.4. Total Capacity
7.5. Plant Energy Density
7.6. Cryogenic Tank Cost
8. Result and Discussion
8.1. LAS Capacity
8.2. Energy Density
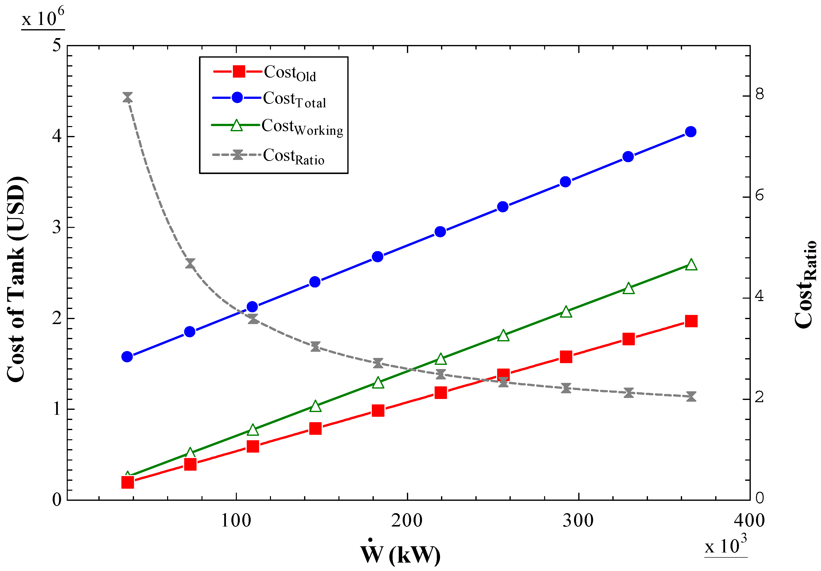
8.3. Cost of LAS
9. Conclusions
- Based on the Huntorf plant properties, an LAES plant integrated with combustion was simulated and investigated from the discharging viewpoint. Calculations revealed that the volume of LAS required when substituting with CAS was 5482 cubic meters. Accordingly, when purchasing the appropriate storage capacity, based on the market availability and recommended dimensions, a 6000 m3 tank is selectable. Moreover, comparative assessments indicated that the space required to store energy carriers and cold TES substances is reduced by about 35 times to that of CAES.
- The comparison of the current approach with an adiabatic LAES plant was implemented to discover the misconceptions in the employment of equations that only contain purchasing terms. Results displayed that the share of LAS cost in the total economic study became more than six times larger than what was obtained in the forenamed work. The significant error was mainly due to the single-aspect cost equation and failure to assume the required capacity for heat leakage and dead zones.
Author Contributions
Funding
Data Availability Statement
Conflicts of Interest
Nomenclature
| Acronyms | Symbols | Subscript | |||
| API | American Petroleum Institute | A | Area, m2 | 0 | Zero Seconds |
| ASME | American Society of Mechanical Engineers | D | Diameter, m | A | Acceleration |
| CAES | Compressed Air Energy Storage | F | Installation Condition Factor | C | Compressor |
| CAS | Compressed Air Storage | H | Head, m | C | Sloshing Mode Due to Natural Period |
| CC | Combustion Chamber | I | Irreversibility, kJ/kg | D | Diameter |
| CT | Cryogenic Tank | L | Length, m | El | Electricity |
| EES | Electrical Energy Storage | Mass Flow Rate, kg/s | I | Inlet | |
| HLL | Highest Liquid Level | N | Number | L | Long Period |
| HP | High Pressure | P | Pressure, kPa | L | Long Period Earth Movement |
| LAES | Liquid Air Energy Storage | R | Radius, m | Max | Maximum |
| LAS | Liquid Air Storage | S | Spectral Response, m/s2 | Min | Minimum |
| LLL | Lowest Liquid Level | T | Temperature | O | Outlet |
| LP | Low Pressure | V | Volume, m3 | P | Pump |
| NPSH | Net Positive Suction Head | W | Work, kJ | S | Isentropic |
| PE | Purchased Equipment | Work Input Rate, kW | S | Short Period | |
| PHES | Pumped Hydro Energy Storage | Z | Compressibility Factor | T | Turbine |
| PTES | Pumped Thermal Energy Storage | Ρ | Density, kg/m3 | Th | Thermal |
| Pur | Purchased | v | Velocity | ||
| RTE | Round Trip Efficiency | Greek Letters | V | Volume | |
| TES | Thermal Energy Storage | η | Isentropic Efficiency | ||
| TRL | Technology Readiness Level | δ | Height of the Sloshing Wave | ||
| USGS | United States Geological Survey | ||||
References
- Mas, J.; Rezola, J.M. Tubular design for underwater compressed air energy storage. J. Energy Storage 2016, 8, 27–34. [Google Scholar] [CrossRef]
- Das, C.K.; Bass, O.; Kothapalli, G.; Mahmoud, T.S.; Habibi, D. Overview of energy storage systems in distribution networks: Placement, sizing, operation, and power quality. Renew. Sustain. Energy Rev. 2018, 91, 1205–1230. [Google Scholar] [CrossRef]
- Luo, X.; Wang, J.; Dooner, M.; Clarke, J. Overview of current development in electrical energy storage technologies and the application potential in power system operation. Appl. Energy 2015, 137, 511–536. [Google Scholar] [CrossRef]
- Argyrou, M.C.; Christodoulides, P.; Kalogirou, S.A. Energy storage for electricity generation and related processes: Technologies appraisal and grid scale applications. Renew. Sustain. Energy Rev. 2018, 94, 804–821. [Google Scholar] [CrossRef]
- Mazloum, Y.; Sayah, H.; Nemer, M. Exergy analysis and exergoeconomic optimization of a constant-pressure adiabatic compressed air energy storage system. J. Energy Storage 2017, 14, 192–202. [Google Scholar] [CrossRef]
- Matos, C.R.; Carneiro, J.F.; Silva, P.P. Overview of Large-Scale Underground Energy Storage Technologies for Integration of Renewable Energies and Criteria for Reservoir Identification. J. Energy Storage 2019, 21, 241–258. [Google Scholar] [CrossRef]
- Chen, L.; Wang, Y.; Xie, M.; Ye, K.; Mohtaram, S. Energy and exergy analysis of two modified adiabatic compressed air energy storage (A-CAES) system for cogeneration of power and cooling on the base of volatile fluid. J. Energy Storage 2021, 42, 103009. [Google Scholar] [CrossRef]
- Aneke, M.; Wang, M. Energy storage technologies and real life applications—A state of the art review. Appl. Energy 2016, 179, 350–377. [Google Scholar] [CrossRef]
- Stenzel, P.; Linssen, J. Concept and potential of pumped hydro storage in federal waterways. Appl. Energy 2016, 162, 486–493. [Google Scholar] [CrossRef]
- Yang, C.; Wang, T.; Li, Y.; Yang, H.; Li, J.; Qu, D.; Xu, B.; Yang, Y.; Daemen, J.J.K. Feasibility analysis of using abandoned salt caverns for large-scale underground energy storage in China. Appl. Energy 2015, 137, 467–481. [Google Scholar] [CrossRef]
- Farres-Antunez, P.; Xue, H.; White, A.J. Thermodynamic analysis and optimisation of a combined liquid air and pumped thermal energy storage cycle. J. Energy Storage 2018, 18, 90–102. [Google Scholar] [CrossRef]
- Alami, A.H. Mechanical Energy Storage for Renewable and Sustainable Energy Resources; Springer International Publishing: Cham, Switzerland, 2020. [Google Scholar] [CrossRef]
- Yu, Q.; Wang, Q.; Tan, X.; Fang, G.; Meng, J. A review of compressed-air energy storage. J. Renew. Sustain. Energy 2019, 11, 042702. [Google Scholar] [CrossRef]
- Huang, B.; Qiu, X.; Wang, W.; Li, H.; Zhou, W. Overview of research situation and progress on compressed air energy storage technology. In IOP Conference Series: Earth and Environmental Science; IOP Publishing: Bristol, UK, 2019; Volume 295. [Google Scholar] [CrossRef]
- Kantharaj, B.; Garvey, S.; Pimm, A. Compressed air energy storage with liquid air capacity extension. Appl. Energy 2015, 157, 152–164. [Google Scholar] [CrossRef]
- Al-Ibrahim, A.M.; Varnham, A. A review of inlet air-cooling technologies for enhancing the performance of combustion turbines in Saudi Arabia. Appl. Therm. Eng. 2010, 30, 1879–1888. [Google Scholar] [CrossRef]
- Zohuri, B. Cryogenics and Liquid Hydrogen Storage. In Hydrogen Energy; Springer: Berlin/Heidelberg, Germany, 2019; pp. 121–139. [Google Scholar] [CrossRef]
- Damak, C.; Leducq, D.; Hoang, H.M.; Negro, D.; Delahaye, A. Liquid Air Energy Storage(LAES) as a large-scale storage technology for renewable energy integration—A review of investigation studies and near perspectives of LAES. Int. J. Refrig. 2019, 110, 208–218. [Google Scholar] [CrossRef]
- Huang, Z.; Zhang, S.; Yang, R.; Wu, X.; Li, R.; Zhang, H.; Hung, P. A review of liquid nitrogen fracturing technology. Fuel 2020, 266, 117040. [Google Scholar] [CrossRef]
- Adams, C.; Alrashed, M.; An, R.; Anthony, J.; Asaadi, J.; Ashkenazi, A.; Balasubramanian, S.; Baller, B.; Barnes, C.; Barr, G.; et al. A method to determine the electric field of liquid argon time projection chambers using a UV laser system and its application in MicroBooNE. J. Instrum. 2020, 15, P07010. [Google Scholar] [CrossRef]
- Lin, Y.; Mauro, J.C.; Kaur, G. Bioactive Glasses for Cancer Therapy. In Biomedical, Therapeutic and Clinical Applications of Bioactive Glasses; Woodhead Publishing: Sawston, UK, 2019; pp. 273–312. [Google Scholar] [CrossRef]
- Song, C.; Liu, Q.; Deng, S.; Li, H.; Kitamura, Y. Cryogenic-based CO2 capture technologies: State-of-the-art developments and current challenges. Renew. Sustain. Energy Rev. 2019, 101, 265–278. [Google Scholar] [CrossRef]
- Aziz, M. Liquid Hydrogen: A Review on Liquefaction, Storage, Transportation, and Safety. Energies 2021, 14, 5917. [Google Scholar] [CrossRef]
- Karabeyoglu, A. Mixtures of nitrous oxide and oxygen (Nytrox) as oxidizers for rocket propulsion applications. In Proceedings of the 45th AIAA/ASME/SAE/ASEE Joint Propulsion Conference & Exhibit, Denver, CO, USA, 2–5 August 2009. [Google Scholar] [CrossRef]
- Brown, S.M.; Sneyd, J.R. Nitrous oxide in modern anaesthetic practice. BJA Educ. 2016, 16, 87–91. [Google Scholar] [CrossRef]
- Pauletto, G.; Galli, F.; Gaillardet, A.; Mocellin, P.; Patience, G.S. Techno economic analysis of a micro Gas-to-Liquid unit for associated natural gas conversion. Renew. Sustain. Energy Rev. 2021, 150, 111457. [Google Scholar] [CrossRef]
- Zohuri, B. Cryogenic Equipment, Systems, and Applications. In Physics of Cryogenics; Elsevier: Amsterdam, The Netherlands, 2018; pp. 529–564. [Google Scholar]
- Wan, C.; Zhu, S.; Shi, C.; Bao, S.; Zhi, X.; Qiu, L.; Wang, K. Numerical Simulation on Pressure Evolution Process of Liquid Hydrogen Storage Tank with Active Cryogenic Cooling: Simulation numérique du processus d’évolution de pression du réservoir de stockage d’hydrogène liquide avec refroidissement cryogénique actif. Int. J. Refrig. 2023, in press. [CrossRef]
- Bijeta Nayak, B.; Jena, H.; Dey, D.; Kassaye Oda, B.; Chetia, A.; Kumar Brahma, S.; Bordoloi, T.; Chakraborty, D. Materials selection and design analysis of cryogenic pressure vessel: A review. Mater. Today Proc. 2021, 47, 6605–6608. [Google Scholar] [CrossRef]
- Aceves, S.M.; Petitpas, G.; Espinosa-Loza, F.; Matthews, M.J.; Ledesma-Orozco, E. Safe, long range, inexpensive and rapidly refuelable hydrogen vehicles with cryogenic pressure vessels. Int. J. Hydrogen Energy 2013, 38, 2480–2489. [Google Scholar] [CrossRef]
- Qiu, Y.; Yang, H.; Tong, L.; Wang, L.; Arrigoni, M.; Amirkhiz, S.; Czujko, T. Research Progress of Cryogenic Materials for Storage and Transportation of Liquid Hydrogen. Metals 2021, 11, 1101. [Google Scholar] [CrossRef]
- Fesmire’, J.E.; Sass’, J.P.; Nag, Z.; Sojourner, S.J.; Morris’, D.L.; Augustynowicz, S.D. Cost-Efficient Storage of Cryogens; American Institute of Physics: College Park, MD, USA, 2008. [Google Scholar]
- Hu, Y.-H.; Fueglistaller, R.; Myronakis, M.; Singh, D.; Pandey, A.; Singh, M.; Johnson, W.L.; Fesmire, J.E.; Heckle, K.W. Thermal performance of multilayer insulation: A review. IOP Conf. Ser. Mater. Sci. Eng. 2018, 396, 012061. [Google Scholar] [CrossRef]
- Asia Industrial Gases Association. Storage of Cryogenic Air Gases at Users’ Premises Storage of Cryogenic Air Gases at Users’ Premises Disclaimer; AIGA Guideline 030/13; Asia Industrial Gases Association: Singapore, 2013. [Google Scholar]
- Toray Advanced Composites, Consortium to Develop LH2 Tanks—Aerospace Manufacturing and Design. Available online: https://www.aerospacemanufacturinganddesign.com/article/toray-advanced-composites-consortium-develop-lh2-tanks/ (accessed on 8 November 2022).
- API Standard 650; Welded Tanks for Oil Storage. American Petroleum Institute: Washington, DC, USA, 2013.
- API Standard 620; Design and Construction of Large, Welded, Low-Pressure Storage Tanks. American Petroleum Institute: Washington, DC, USA, 2013.
- API Standard 625; Tank Systems for Refrigerated Liquefied Gas Storage from HIS. American Petroleum Institute: Washington, DC, USA, 2010.
- Nabat, M.H.; Soltani, M.; Razmi, A.R.; Nathwani, J.; Dusseault, M.B. Investigation of a green energy storage system based on liquid air energy storage (LAES) and high-temperature concentrated solar power (CSP): Energy, exergy, economic, and environmental (4E) assessments, along with a case study for San Diego, US. Sustain. Cities Soc. 2021, 75, 103305. [Google Scholar] [CrossRef]
- Jafarizadeh, H.; Soltani, M.; Nathwani, J. Assessment of the Huntorf compressed air energy storage plant performance under enhanced modifications. Energy Convers. Manag. 2020, 209, 112662. [Google Scholar] [CrossRef]
- Guo, C.; Pan, L.; Zhang, K.; Oldenburg, C.M.; Li, C.; Li, Y. Comparison of compressed air energy storage process in aquifers and caverns based on the Huntorf CAES plant. Appl. Energy 2016, 181, 342–356. [Google Scholar] [CrossRef]
- Swanger, A. Large Scale Cryogenic Storage With Active Refrigeration. Master’s Thesis, University of Central Florida, Orlando, FL, USA, 2018. Available online: https://stars.library.ucf.edu/etd/6379/ (accessed on 21 August 2022).
- Majumdar’, A.K.; Steadman, T.E.; Marone, J.L.; Sass, J.P.; Fesmire, J.E. Numerical Modeling of Propellant Boil-Off in a Cryogenic Storage Tank; American Institute of Physics: College Park, MD, USA, 2008. [Google Scholar]
- Khalil, K.M.; Ahmad, A.; Mahmoud, S.; Al-Dadah, R.K. Liquid air/nitrogen energy storage and power generation system for micro-grid applications. J. Clean. Prod. 2017, 164, 606–617. [Google Scholar] [CrossRef]
- 10m3 16bar Stationary Cryogenic Liquid Storage Tank Price For Hospital Center Oxygen Supply System—Buy Stationary Liquid Storage Tank, Stationary Cryogenic Liquid Storage Tank, 10m3 Cryogenic Liquid Storage Tank Price Product on Alibaba.com. Available online: https://www.alibaba.com/product-detail/10m3-16bar-Stationary-Cryogenic-Liquid-Storage_1600477846986.html (accessed on 23 September 2022).
- 2018 United States (Lower 48) Seismic Hazard Long-Term Model|U.S. Geological Survey. Available online: https://www.usgs.gov/programs/earthquake-hazards/science/2018-united-states-lower-48-seismic-hazard-long-term-model#data (accessed on 28 October 2022).
- Jones, G.M.; Sanks, R.L.; Tchobanoglous, G.; Bosserman, B.E. Pumping Station Design; Gulf Professional Publishing: Houston, TX, USA, 2008. [Google Scholar] [CrossRef]
- Yedidiah, S. Centrifugal Pump User’s Guidebook; Springer: New York, NY, USA, 1996; ISBN 9781461312178. [Google Scholar]
- Tsohas, J. Hydrodynamics of Shear Coaxial Liquid Rocket Injectors. 2009. Available online: https://search.proquest.com/openview/f34a05605e44694daf67aaada2e8c97b/1?pq-origsite=gscholar&cbl=18750 (accessed on 14 October 2022).
- Karassik, I.J.; Messina, J.P.; Cooper, P.; Heald, C.C.; Krutzsch, W.C.; Hosangadi, A.; Kittredge, C.P.; Fraser, W.H.; Marscher, W.D.; Boyadjis, P.A.; et al. Pump Handbook. 2008. Available online: https://books.google.com/books/about/Pump_Handbook.html?id=_HHYtQEACAAJ (accessed on 14 October 2022).
- Centrifugal Pumps—Nikkiso. Available online: https://www.nikkisoceig.com/product-categories/centrifugal-pumps/ (accessed on 14 October 2022).
- Plachta, D.W.; Johnson, W.L.; Feller, J.R. Zero boil-off system testing. Cryogenics 2016, 74, 88–94. [Google Scholar] [CrossRef]
- Partridge, J.K.; Partridge, J.K. Fractional consumption of liquid hydrogen and liquid oxygen during the space shuttle program. AIP Conf. Proc. 2012, 1434, 1765. [Google Scholar] [CrossRef]
- Plachta, D. Results of an Advanced Development Zero Boil-Off Cryogenic Propellant Storage Test; American Institute of Aeronautics and Astronautics (AIAA): Reston, VA, USA, 2004. [Google Scholar]
- Harnby, N.; Edwards, M.; Nienow, A. Mody and Marchildon: Chemical Engineering Process Design. Available online: https://chemeng.queensu.ca/courses/integratedDesign/Resources/documents/CEPDtxtCh16.doc (accessed on 2 October 2022).
- Agboola, O.O.; Akinnuli, B.O.; Kareem, B.; Akintunde, M.A. Optimum detailed design of 13,000 m3 oil storage tanks using 0.8 height-diameter ratio. In Materials Today: Proceedings; Elsevier: Amsterdam, The Netherlands, 2021; Volume 44, pp. 2837–2842. [Google Scholar]
- Hüttermann, L.; Span, R. Investigation of storage materials for packed bed cold storages in liquid air energy storage (LAES) systems. Energy Procedia 2017, 143, 693–698. [Google Scholar] [CrossRef]
- Hamdy, S.; Moser, F.; Morosuk, T.; Tsatsaronis, G. Exergy-based and economic evaluation of liquefaction processes for cryogenics energy storage. Energies 2019, 12, 493. [Google Scholar] [CrossRef]
- Geyer, W.B.; Wisuri, J. Handbook of Storage Tank Systems: Codes, Regulations, and Designs; CRC Press: Boca Raton, FL, USA, 2000; p. 347. [Google Scholar]
- Hu, Y.; Li, X.; Li, H.; Yan, J. Peak and off-peak operations of the air separation unit in oxy-coal combustion power generation systems. Appl. Energy 2013, 112, 747–754. [Google Scholar] [CrossRef]
- Loh, H.P.; Lyons, J.; White, C.W., III. Process Equipment Cost Estimation, Final Report. 2002. Available online: http://www.osti.gov/scitech//servlets/purl/797810-Hmz80B/native/ (accessed on 16 August 2022).











| Main Applications | Examples | Power (MW) | Response Time | Discharging Time Scale |
|---|---|---|---|---|
| Power Quality & Regulation | Smoothing, Voltage Control, Dynamic Responses, Oscillation Damping | <1 MW | Milliseconds | Milliseconds to a few Seconds |
| Bridging Power | Spinning Reserve, Ramping, Emergency backup, Medium Scale Smoothing | <100 kW <100 MW | Few seconds to Few Minutes | Up to 12 h |
| Energy Management | Peak Shaving, Time shifting, Energy Arbitrage, Line Repair, Large Scale Smoothing | <30 MW <1 GW | Minutes to a Few Hours | Up to Several Weeks |
| EES Scale | Power Magnitude | Storage Duration | Application |
|---|---|---|---|
| Large-scale | >100 MW | Hours to days | Energy Management, Seasonal energy management, Unit commitment |
| Medium-scale | <100 MW >10 MW | Minutes to a day | Bridging power, Unit commitment, Load following, Peak shaving |
| Small-scale | <10 MW | Seconds to minutes | Load following, Uninterrupted power supply integration, Power backup, Power quality and regulation |
| Parameters | Current Simulation | Ref. Value | Error | References |
|---|---|---|---|---|
| Discharging power (kW) | 315 | 315.28 | 0.08% | Jafarizadeh et al. [41] |
| CAS Volume (m3) | 304,894 | 310,000 | 2% | Jafarizadeh et al. [41] |
| LAS Volume (m3) | 681 | 667.1 | 2% | Nabat et al. [39] |
| 50 | 36.57 | 1113 | 459.3 | 91.95 | 419.6 | 2084 | 1.87 | 4.54 | 22.66 | 4.97 |
| 100 | 73.141 | 1113 | 459.3 | 117.1 | 839.2 | 2529 | 2.27 | 5.51 | 21.60 | 3.01 |
| 150 | 109.711 | 1113 | 459.3 | 142.3 | 1259 | 2973 | 2.67 | 6.47 | 20.89 | 2.36 |
| 200 | 146.282 | 1113 | 459.3 | 167.5 | 1678 | 3418 | 3.07 | 7.44 | 20.41 | 2.04 |
| 250 | 182.852 | 1113 | 459.3 | 192.7 | 2098 | 3863 | 3.47 | 8.41 | 20.05 | 1.84 |
| 300 | 219.423 | 1113 | 459.3 | 217.8 | 2518 | 4308 | 3.87 | 9.38 | 19.78 | 1.71 |
| 350 | 255.993 | 1113 | 459.3 | 243 | 2937 | 4753 | 4.27 | 10.35 | 19.56 | 1.62 |
| 400 | 292.563 | 1113 | 459.3 | 268.2 | 3357 | 5197 | 4.67 | 11.32 | 19.38 | 1.55 |
| 432 a | 315.969 | 1113 | 459.3 | 284.3 | 3625 | 5482 | 4.93 | 11.94 | 19.28 | 1.51 |
| 500 | 365.704 | 1113 | 459.3 | 318.5 | 4196 | 6087 | 5.47 | 13.25 | 19.11 | 1.45 |
Disclaimer/Publisher’s Note: The statements, opinions and data contained in all publications are solely those of the individual author(s) and contributor(s) and not of MDPI and/or the editor(s). MDPI and/or the editor(s) disclaim responsibility for any injury to people or property resulting from any ideas, methods, instructions or products referred to in the content. |
© 2023 by the authors. Licensee MDPI, Basel, Switzerland. This article is an open access article distributed under the terms and conditions of the Creative Commons Attribution (CC BY) license (https://creativecommons.org/licenses/by/4.0/).
Share and Cite
Jafarizadeh, H.; Soltani, M.; Nathwani, J. A Novel Analysis of Energy Density Considerations and Its Impacts on the Cost of Electrical Energy Storage (EES) Plants. Energies 2023, 16, 3330. https://doi.org/10.3390/en16083330
Jafarizadeh H, Soltani M, Nathwani J. A Novel Analysis of Energy Density Considerations and Its Impacts on the Cost of Electrical Energy Storage (EES) Plants. Energies. 2023; 16(8):3330. https://doi.org/10.3390/en16083330
Chicago/Turabian StyleJafarizadeh, Heidar, Madjid Soltani, and Jatin Nathwani. 2023. "A Novel Analysis of Energy Density Considerations and Its Impacts on the Cost of Electrical Energy Storage (EES) Plants" Energies 16, no. 8: 3330. https://doi.org/10.3390/en16083330
APA StyleJafarizadeh, H., Soltani, M., & Nathwani, J. (2023). A Novel Analysis of Energy Density Considerations and Its Impacts on the Cost of Electrical Energy Storage (EES) Plants. Energies, 16(8), 3330. https://doi.org/10.3390/en16083330

