Dynamic Simulations on Enhanced Heat Recovery Using Heat Exchange PCM Fluid for Solar Collector
Abstract
1. Introduction
2. Methodology
2.1. Descriptions of SCHP Unit
2.2. Mathematical Model for Circulation Loop of HTF in the SCHP Unit
2.2.1. Assumptions
- The preparation processes of the PCM fluid are not considered in the simulation.
- The solid erythritol at ambient temperature is distributed uniformly in silicone oil.
- The received solar heat flux at different positions of the SC is uniform.
- The solar irradiation absorbed by the outer glass tube is neglected.
- The heat loss caused by the evacuated glass tube is neglected.
- The thermal resistance caused by the thickness of the glass tube in SC is neglected.
- The continuum surface force model [42] in ANSYS Fluent is used to represent that the surface tension at the PCM–silicone oil interface decreases when the surfactant is adsorbed on the PCM surface.
2.2.2. Initial and Boundary Conditions
2.2.3. Governing Equations
2.2.4. Net Transportable Energy
3. Results and Discussions
3.1. Grid and Time-Step Independence
3.2. Verification of Simulation and Experimental Data
3.3. Specific Viscosities of PCM Fluid
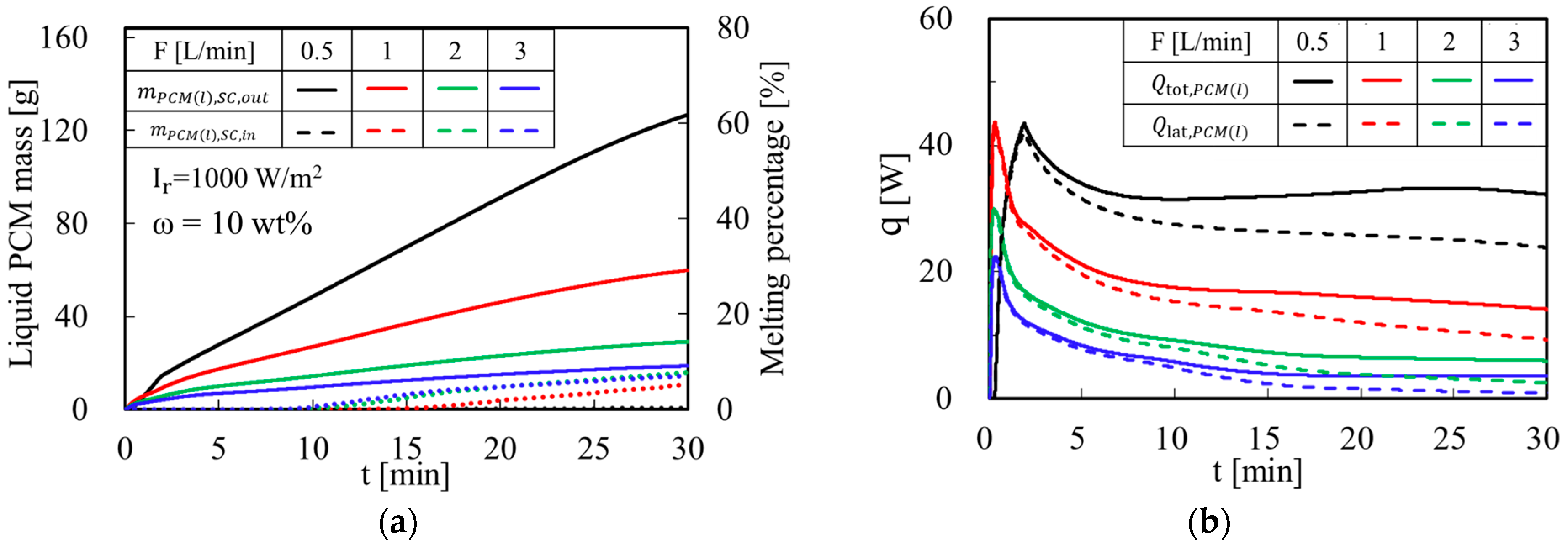
3.4. Effects of Flow Rates on Recovered Heat
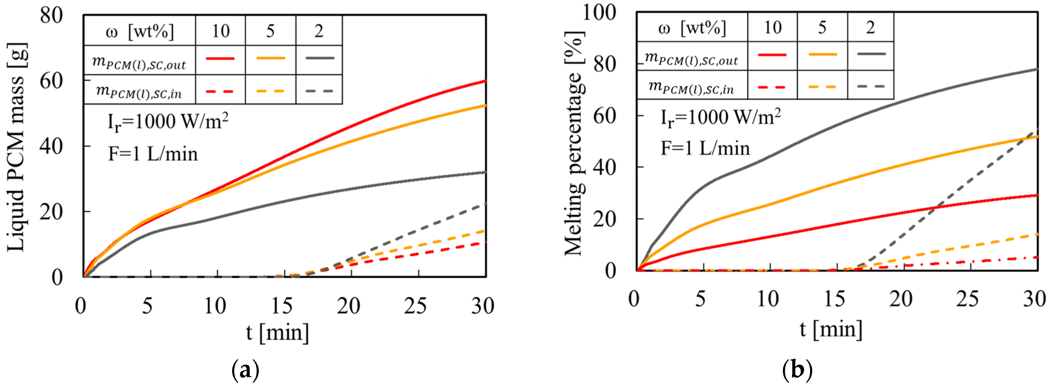
3.5. Effects of Weight Fractions of PCM on Recovered Heat
3.6. Estimation of Heat-Storing Time for SCHP Unit
4. Conclusions
- It is necessary to maintain the weight fraction of the PCM below 10 wt% to control the impact of the increase in specific viscosity on the circulation power of the circulation.
- The melted mass and recovered heat of the PCM fluid are affected by flow rate, with a larger melted mass observed at lower flow rates due to longer residence time in the SC. A lower flow rate can enhance the PCM melted mass and the recovered heat although sensible heat amount increases with the flow rate. The best flow rate is 1 L/min when the SC area is 1 m2.
- The higher PCM content has higher latent heat. On the other hand, the lower content PCM can increase the temperature difference between the SC inlet and outlet because of the lower PCM heat capacity.
- The increase in the net transportable energy illustrates that using PCM fluid can increase the recovered heat without a significant increase in the circulation power. The maximum growth in this study is achieved with 2 wt% PCM fluid.
- For the 1 L/min flow rate, 2 wt% PCM fluid has shorter heat-storing time and larger net transportable energy than 0 wt% PCM fluid (426 kJ←403 kJ) for the SCHP unit.
Author Contributions
Funding
Data Availability Statement
Acknowledgments
Conflicts of Interest
Nomenclature
| T | Temperature | (K) |
| q | Heat | (W) |
| P | Pressure | (kPa) |
| λ | Effective thermal conductivity | (W/mK) |
| η | Reflectance | (-) |
| τ | Transmittance | (-) |
| Absorbance | (-) | |
| h | Heat transfer coefficient | (W/m2K) |
| I | Irradiation | (W/m2) |
| Mass transfer rate | (kg/m3s) | |
| ∆H | Enthalpy | (J/kg) |
| ω | Weight fraction | (wt%) |
| Q | Recovered heat | (W) |
| Net transportable energy | (kJ) | |
| W | Circulation power | (kJ) |
| F | Flow rate | (L/min) |
| S | Volumetric heat source | (W/m3) |
| ρ | Mixture density | (kg/m3) |
| Body force | (N/m3) | |
| Viscosity of multiphase flow | (Pas) | |
| ∆P | Pressure drop | (kPa) |
| t | Time | (min) |
| Velocity | (m/s) | |
| Energy loss in the circulation | (J/kg) | |
| α | Volume fraction | (-) |
| Specific viscosity | (-) | |
| Subscripts | ||
| atm | Atmosphere | |
| g | Glass | |
| r | Solar irradiation | |
| th | Pipes in reactor | |
| f | Frame of reactor | |
| m | Melting point | |
| l | Liquid phase | |
| s | Solid phase | |
| pump | Circulation pump | |
| loss | Energy loss | |
| fr | Piping friction | |
| lat | Latent heat | |
| lo | Local elements | |
| int | Internal | |
| in | Input | |
| c | Circulation | |
| sen | Sensible heat storing | |
| chem | Chemical heat storing | |
| p | Particle in reactant bed | |
| h | Hot heat from chemical heat storing | |
| ex | Exchange heat | |
| tot | Total | |
References
- Ministry of Foreign Affairs of Japan Prime Minister Suga’s Attendance at the Leaders Summit on Climate. Available online: https://www.mofa.go.jp/ic/ch/page6e_000236.html (accessed on 28 September 2022).
- Ogura, H.; Miyazaki, M.; Matsuda, H.; Hasatani, M.; Yanadori, M.; Hiramatsu, M. Numerical Analysis of Heat Transfer in Particle-Bed Reactor with Fins in Chemical Heat Pump Using Ca(OH)2/CaO Reaction. Kagaku Kogaku Ronbunshu 1992, 18, 669–676. (In Japanese) [Google Scholar] [CrossRef]
- Ogura, H.; Yamamoto, T.; Kage, H. Efficiencies of CaO/H2O/Ca(OH)2 Chemical Heat Pump for Heat Storing and Heating/Cooling. Energy 2003, 28, 1479–1493. [Google Scholar] [CrossRef]
- Ogura, H.; Yasuda, S.; Otsubo, Y.; Mujumdar, A.S. Continuous Operation of a Chemical Heat Pump. Asia-Pac. J. Chem. Eng. 2007, 2, 118–123. [Google Scholar] [CrossRef]
- Oguraa, H. Energy Recycling System Using Chemical Heat Pump Container. Energy Procedia 2012, 14, 2048–2053. [Google Scholar] [CrossRef]
- Ogura, H.; Mikami, H.; Suzuki, H. Enhancement of Refrigeration Cold-Heat Production by Thermal Driven Chemical Heat Pump. Trans. JSRAE 2015, 32, 373–379. [Google Scholar] [CrossRef]
- Lai, L.; Imai, T.; Umezu, M.; Ishii, M.; Ogura, H. Possibility of Calcium Oxide from Natural Limestone Including Impurities for Chemical Heat Pump. Energies 2020, 13, 803. [Google Scholar] [CrossRef]
- Ren, Y.; Ogura, H. Performance Evaluation of Off-Grid Solar Chemical Heat Pump for Cooling/Heating. Sol. Energy 2021, 224, 1247–1259. [Google Scholar] [CrossRef]
- Liu, W.; Bie, Y.; Xu, T.; Cichon, A.; Królczyk, G.; Li, Z. Heat Transfer Enhancement of Latent Heat Thermal Energy Storage in Solar Heating System: A State-of-the-Art Review. J. Energy Storage 2022, 46, 103727. [Google Scholar] [CrossRef]
- Ling, Z.; Wen, X.; Zhang, Z.; Fang, X.; Gao, X. Thermal Management Performance of Phase Change Materials with Different Thermal Conductivities for Li-Ion Battery Packs Operated at Low Temperatures. Energy 2018, 144, 977–983. [Google Scholar] [CrossRef]
- Zauner, C.; Hengstberger, F.; Etzel, M.; Lager, D.; Hofmann, R.; Walter, H. Experimental Characterization and Simulation of a Fin-Tube Latent Heat Storage Using High Density Polyethylene as PCM. Appl. Energy 2016, 179, 237–246. [Google Scholar] [CrossRef]
- Deng, S.; Nie, C.; Jiang, H.; Ye, W.B. Evaluation and Optimization of Thermal Performance for a Finned Double Tube Latent Heat Thermal Energy Storage. Int. J. Heat Mass Transf. 2019, 130, 532–544. [Google Scholar] [CrossRef]
- Nguyen, T.P.; Ramadan, Z.; Hong, S.J.; Park, C.W. Effect of Graphite Fin on Heat Transfer Enhancement of Rectangular Shell and Tube Latent Heat Storage. Int. J. Heat Mass Transf. 2022, 194, 123018. [Google Scholar] [CrossRef]
- Choi, J.C.; Kim, S.D. Heat Transfer in a Latent Heat-Storage System Using MgCl2·6H2O at the Melting Point. Energy 1995, 20, 13–25. [Google Scholar] [CrossRef]
- Liu, X.; Huang, Y.; Zhang, X.; Zhang, C.; Zhou, B. Investigation on Charging Enhancement of a Latent Thermal Energy Storage Device with Uneven Tree-like Fins. Appl. Therm. Eng. 2020, 179, 115749. [Google Scholar] [CrossRef]
- Dekhil, M.A.; Simo Tala, J.V.; Bulliard-Sauret, O.; Bougeard, D. Numerical Analysis of the Performance Enhancement of a Latent Heat Storage Shell and Tube Unit Using Finned Tubes during Melting and Solidification. Appl. Therm. Eng. 2021, 192, 116866. [Google Scholar] [CrossRef]
- Tang, S.; Zhou, J.; Shen, C.; Zhang, D. Thermal Performance Analysis and Optimization of Melting Process in a Buried Tube Latent Heat Storage System. J. Energy Storage 2022, 52, 104863. [Google Scholar] [CrossRef]
- Ermis, K.; Erek, A.; Dincer, I. Heat Transfer Analysis of Phase Change Process in a Finned-Tube Thermal Energy Storage System Using Artificial Neural Network. Int. J. Heat Mass Transf. 2007, 50, 3163–3175. [Google Scholar] [CrossRef]
- Tay, N.H.S.; Belusko, M.; Bruno, F. Designing a PCM Storage System Using the Effectiveness-Number of Transfer Units Method in Low Energy Cooling of Buildings. Energy Build. 2012, 50, 234–242. [Google Scholar] [CrossRef]
- Elbahjaoui, R.; El Qarnia, H. Thermal Analysis of Nanoparticle-Enhanced Phase Change Material Solidification in a Rectangular Latent Heat Storage Unit Including Natural Convection. Energy Build. 2017, 153, 1–17. [Google Scholar] [CrossRef]
- Motahar, S.; Alemrajabi, A.A.; Khodabandeh, R. Experimental Study on Solidification Process of a Phase Change Material Containing TiO2 Nanoparticles for Thermal Energy Storage. Energy Convers. Manag. 2017, 138, 162–170. [Google Scholar] [CrossRef]
- Gunjo, D.G.; Jena, S.R.; Mahanta, P.; Robi, P.S. Melting Enhancement of a Latent Heat Storage with Dispersed Cu, CuO and Al2O3 Nanoparticles for Solar Thermal Application. Renew. Energy 2018, 121, 652–665. [Google Scholar] [CrossRef]
- Hwang, Y.; Lee, J.K.; Lee, C.H.; Jung, Y.M.; Cheong, S.I.; Lee, C.G.; Ku, B.C.; Jang, S.P. Stability and Thermal Conductivity Characteristics of Nanofluids. Thermochim. Acta 2007, 455, 70–74. [Google Scholar] [CrossRef]
- Xie, H.; Lee, H.; Youn, W.; Choi, M. Nanofluids Containing Multiwalled Carbon Nanotubes and Their Enhanced Thermal Conductivities. J. Appl. Phys. 2003, 94, 4967–4971. [Google Scholar] [CrossRef]
- Baobao, Z.; Nan, Z. Nano Express Open Accepreparation of Stable Magnetic Nanofluids Containing Fe3O4@ppy Nanoparticles by a Novel One-Pot Route. Nanoscale Res. Lett. 2011, 6, 230. [Google Scholar] [CrossRef]
- Xie, H.; Wang, J.; Xi, T.; Liu, Y.; Ai, F.; Wu, Q. Thermal Conductivity Enhancement of Suspensions Containing Nanosized Alumina Particles. J. Appl. Phys. 2002, 91, 4568–4572. [Google Scholar] [CrossRef]
- Xuan, Y.; Li, Q. Heat Transfer Enhancement of Nanofluids. Int. J. Heat Fluid Flow 2000, 21, 58–64. [Google Scholar] [CrossRef]
- Abandani, M.H.S.; Ganji, D.D. Melting Effect in Triplex-Tube Thermal Energy Storage System Using Multiple PCMs-Porous Metal Foam Combination. J. Energy Storage 2021, 43, 103154. [Google Scholar] [CrossRef]
- Nedjem, K.; Teggar, M.; Hadibi, T.; Arıcı, M.; Yıldız, Ç.; Ismail, K.A.R. Hybrid Thermal Performance Enhancement of Shell and Tube Latent Heat Thermal Energy Storage Using Nano-Additives and Metal Foam. J. Energy Storage 2021, 44, 103347. [Google Scholar] [CrossRef]
- Hashem Zadeh, S.M.; Ghodrat, M.; Ayoubi Ayoubloo, K.; Sedaghatizadeh, N.; Taylor, R.A. Partial Charging/Discharging of Bio-Based Latent Heat Energy Storage Enhanced with Metal Foam Sheets. Int. Commun. Heat Mass Transf. 2022, 130, 105757. [Google Scholar] [CrossRef]
- NematpourKeshteli, A.; Iasiello, M.; Langella, G.; Bianco, N. Enhancing PCMs Thermal Conductivity: A Comparison among Porous Metal Foams, Nanoparticles and Finned Surfaces in Triplex Tube Heat Exchangers. Appl. Therm. Eng. 2022, 212, 118623. [Google Scholar] [CrossRef]
- Kaizawa, A.; Kamano, H.; Kawai, A.; Jozuka, T.; Senda, T.; Maruoka, N.; Akiyama, T. Thermal and Flow Behaviors in Heat Transportation Container Using Phase Change Material. Energy Convers. Manag. 2008, 49, 698–706. [Google Scholar] [CrossRef]
- Kunkel, S.; Teumer, T.; Dörnhofer, P.; Schlachter, K.; Weldeslasie, Y.; Kühr, M.; Rädle, M.; Repke, J.U. Determination of Heat Transfer Coefficients in Direct Contact Latent Heat Storage Systems. Appl. Therm. Eng. 2018, 145, 71–79. [Google Scholar] [CrossRef]
- Nomura, T.; Tsubota, M.; Sagara, A.; Okinaka, N.; Akiyama, T. Performance Analysis of Heat Storage of Direct-Contact Heat Exchanger with Phase-Change Material. Appl. Therm. Eng. 2013, 58, 108–113. [Google Scholar] [CrossRef]
- Nomura, T.; Tsubota, M.; Oya, T.; Okinaka, N.; Akiyama, T. Heat Release Performance of Direct-Contact Heat Exchanger with Erythritol as Phase Change Material. Appl. Therm. Eng. 2013, 61, 28–35. [Google Scholar] [CrossRef]
- Guo, S.; Zhao, J.; Wang, W.; Jin, G.; Wang, X.; An, Q.; Gao, W. Experimental Study on Solving the Blocking for the Direct Contact Mobilized Thermal Energy Storage Container. Appl. Therm. Eng. 2015, 78, 556–564. [Google Scholar] [CrossRef]
- Hirose, Y.; Watanabe, K.; Hirano, Y.; Ogura, H. Studies on Flow of Latent/Sensible Heat Exchange Medium Composed of Erythritol and Silicone Oil for Improvement of Heat Transportation Efficiency. Kagaku Kogaku Ronbunshu 2023. Submitted (In Japanese) [Google Scholar]
- Ren, Y.; Ogura, H. Numerical Investigation on Performance Improvement of CaSO4 Solar Chemical Heat Pump. J. Therm. Sci. Technol. 2022, 17, 22–58. [Google Scholar] [CrossRef]
- Kobayashi, E.; Hirose, Y.; Ogura, H. Improvement of Evaporator Performance in Chemical Refrigerator—Effects of Aqueous Solution Components and Mass Transfer. Trans. Jpn. Soc. Refrig. Air Cond. Eng. 2020, 37, 233–240. (In Japanese) [Google Scholar]
- ANSYS, Inc. ANSYS Fluent Theory Guide, Release 2021 R1; ANSYS, Inc.: Canonsburg, PA, USA, 2021. [Google Scholar]
- Wang, W.; He, S.; Guo, S.; Yan, J.; Ding, J. A Combined Experimental and Simulation Study on Charging Process of Erythritol–HTO Direct-Blending Based Energy Storage System. Energy Convers. Manag. 2014, 83, 306–313. [Google Scholar] [CrossRef]
- Brackbill, J.U.; Kothe, D.B.; Zemach, C. A Continuum Method for Modeling Surface Tension. J. Comput. Phys. 1992, 100, 335–354. [Google Scholar] [CrossRef]
- Lee, W.H. A Pressure Iteration Scheme for Two-Phase Modeling. Technical Report LA-UR 79-975. 1979. Available online: https://www.worldscientific.com/doi/10.1142/9789814460286_0004 (accessed on 15 March 2023).
- Ri, H.; Hirose, Y.; Ogura, H. Studies on Latent Heat Transportation Medium for Solar Heat Collection at 373-423 K. In Proceedings of the Japanese Society for Multiphase Flow 2022 Symposium, SS-C E0062, Online, 19 August 2022. [Google Scholar]
- Ren, Y.; Ri, H.; Hirose, Y.; Ogura, H. Numerical Studies on Heat/Mass Transfer Enhancement of PCM Fluid for Solar Chemical Heat Pump. In Proceedings of the Grand Renewable Energy 2022 International Conference (GRE2022), Online, 13–20 December 2022. [Google Scholar]
- Simha, R. A Treatment of the Viscosity of Concentrated Suspensions. J. Appl. Phys. 1952, 23, 1020–1024. [Google Scholar] [CrossRef]











| Component | Properties/Unit | Value |
|---|---|---|
| Evacuated glass tubes (Borosilicate) | Number | 6 |
| Outer/inner diameter (mm) | 47.00/37.00 | |
| Transmittance of outer glass | 0.92 | |
| Emissivity of outer glass | 0.90 | |
| Absorbance of selective coating | 0.94 | |
| Emissivity of selective coating | 0.06 | |
| Manifold u-pipes (copper) | Inner diameter (mm) | 6.00 |
| Length (mm) | 1500 | |
| CPC reflector | Reflectance | 0.94 |
| Connecting pipes (SUS304) | Inner diameter (mm) | 14.60 |
| Total length (mm) | 2495 |
| Fluid | Properties/Unit | Value |
|---|---|---|
| Base of HTF (silicone oil) | Density (kg/m3) | |
| Specific heat (J/kg/K) | ||
| Viscosity (Pas) Thermal conductivity (W/(m·K)) | 0.13 | |
| Solid PCM (erythritol) [41] | Density (kg/m3) | 1480 |
| Specific heat (J/(kg·K)) | 1350 | |
| Viscosity (Pas) | 0.02895 | |
| Thermal conductivity (W/(m·K)) | 0.732 | |
| Liquid PCM (erythritol) [41] | Density (kg/m3) | 1300 |
| Specific heat (J/(kg·K)) | 2740 | |
| Viscosity (Pas) | 0.01602 | |
| Thermal conductivity (W/(m·K)) | 0.326 | |
| Latent heat (kJ/kg) | 340 | |
| Melting temperature (K) | 390.15 |
| Type | Location | Formula | |
|---|---|---|---|
| Initial Conditions: | |||
| Temperature | All domains | (3) | |
| Pressure | All domains | ||
| Velocity | All domains | ||
| Boundary Conditions: | |||
| Temperature | The front of the SC | (4) | |
| The back of the SC | (5) | ||
| The CPs | (6) | ||
| The pipes in the Re | (7) | ||
| The frame in the Re | (8) | ||
| Pressure | All boundaries | (9) | |
| Velocity | All boundaries | (10) | |
| MAPE (%) | ||||||||
|---|---|---|---|---|---|---|---|---|
| 0.86 | 0.34 | 0.75 | 0.34 | 0.98 | 0.35 | 1.06 | 0.33 | |
| MAPE (%) | ||||||||
|---|---|---|---|---|---|---|---|---|
| 1 s | 5 s | 1 s | 5 s | 1 s | 5 s | 1 s | 5 s | |
| 0.1 s | 0.019 | 0.065 | 0.017 | 0.059 | 0.017 | 0.057 | 0.019 | 0.066 |
| F | 1 L/min | |||
|---|---|---|---|---|
| ω | 0 wt% | 2 wt% | 5 wt% | 10 wt% |
| (W) | 75.9 | 80.2 | 77.2 | 76.2 |
| 132 | 223 | 580 |
Disclaimer/Publisher’s Note: The statements, opinions and data contained in all publications are solely those of the individual author(s) and contributor(s) and not of MDPI and/or the editor(s). MDPI and/or the editor(s) disclaim responsibility for any injury to people or property resulting from any ideas, methods, instructions or products referred to in the content. |
© 2023 by the authors. Licensee MDPI, Basel, Switzerland. This article is an open access article distributed under the terms and conditions of the Creative Commons Attribution (CC BY) license (https://creativecommons.org/licenses/by/4.0/).
Share and Cite
Ren, Y.; Ogura, H. Dynamic Simulations on Enhanced Heat Recovery Using Heat Exchange PCM Fluid for Solar Collector. Energies 2023, 16, 3075. https://doi.org/10.3390/en16073075
Ren Y, Ogura H. Dynamic Simulations on Enhanced Heat Recovery Using Heat Exchange PCM Fluid for Solar Collector. Energies. 2023; 16(7):3075. https://doi.org/10.3390/en16073075
Chicago/Turabian StyleRen, Yawen, and Hironao Ogura. 2023. "Dynamic Simulations on Enhanced Heat Recovery Using Heat Exchange PCM Fluid for Solar Collector" Energies 16, no. 7: 3075. https://doi.org/10.3390/en16073075
APA StyleRen, Y., & Ogura, H. (2023). Dynamic Simulations on Enhanced Heat Recovery Using Heat Exchange PCM Fluid for Solar Collector. Energies, 16(7), 3075. https://doi.org/10.3390/en16073075

