A Novel Solar System of Electricity and Heat
Abstract
1. Introduction
- -
- Effective mass for the main carriers (mn* or mp* for electrons or holes for n- or p-type semiconductor, respectively);
- -
- Drift mobility of the main carriers μ;
- -
- Phonon part of the thermal conductivity kL.
2. Experimental Procedure
3. Results and Discussion
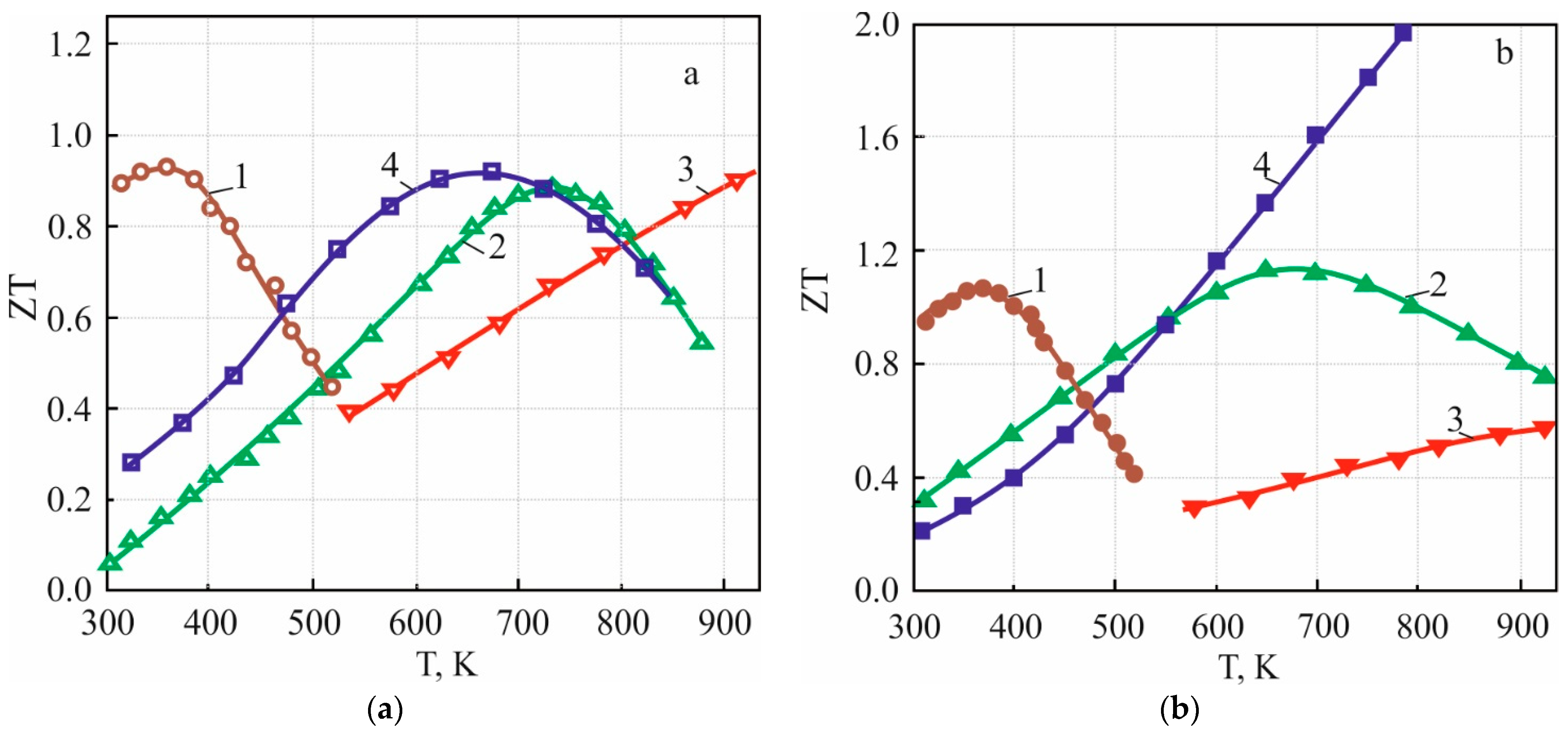
3.1. The Thermoelectric Materials for Application at 300–600 K Temperature Range
3.2. The Thermoelectric Materials for Application at 600–900 K Temperature Range
3.2.1. n-Type
3.2.2. p-Type
4. Application
4.1. Thermoelectric Module
- Replication of many TE unicouples by SPS process.
- Assembly into an aluminum cassette.
- Forming the module by hot pressing at temperature T ≈ 700 K at pressure p ≈ 100 T under argon atmosphere.
- Setting the module in a 1 mm thick stainless-steel case [25]. Electrical insulation between the case and the TE module is provided by 0.1 mm thick mica.
- Sealing the protective case and filling it with argon at a pressure p ≈ 760 Torr.
4.2. Solar Hybrid System Using TEG (SHTES)
4.2.1. Reflector
4.2.2. Sun Tracking System
4.2.3. Thermal Energy Storage
4.2.4. Solar Thermoelectric Generator (STEG)
4.3. Solar Thermal Desalination of Water
5. Conclusions
- -
- All the energy of the solar spectrum is converted by STEG to electrical and heat energies.
- -
- The solar energy is absorbed by a PCM thermal storage, which saves the heat during long time and temperature ~900 K due to the reversible transition of aluminum alloy between the solid and liquid states.
- -
- This system does not require buffer electric accumulators.
- -
- A high conversion efficiency up to 15% (electric part) multilayer thermoelectric module was developed. For each leg of each TE unicouple, two types of high-efficiency thermoelectric materials were selected to ensure high efficiency along a wide range of operating temperatures. The low-temperature materials (for the 300–600 K temperature range) are based on Bi2Te3 compound. The middle-temperature materials (for the 600–900 K temperature range) are n-type PbTe doped by indium, which provided a practically constant value of average figure of merit ZT at a wide temperature range. The thermoelectric of p-type is GeTe semiconductor compound doped by Bi up to 5%.
- -
- The waste solar energy due to Carnot cycle can be collected in the heat radiators at a temperature of 320–350 K and has secondary usage, such as domestic heating or water thermal desalination.
Author Contributions
Funding
Data Availability Statement
Conflicts of Interest
References
- Achkari, O.; El Fadar, A. Latest developments on TES and CSP technologies–energy and environmental issues, applications and research trends. Appl. Therm. Eng. 2020, 167, 114806. [Google Scholar] [CrossRef]
- Pimentel, D. Renewable and solar energy technologies: Energy and Environmental Issues. In Biofuels, Solar and Wind as Renewable Energy Systems: Benefits and Risks; CHOICE: Current Reviews for Academic Libraries: Middletown, CT, USA, 2008; pp. 1–17. [Google Scholar]
- Zheng, X.F.; Liu, C.X.; Yan, Y.Y.; Wang, Q. A review of thermoelectrics research–recent developments and potentials for sustainable and renewable energy applications. Renew. Sustain. Energy Rev. 2014, 22, 486–503. [Google Scholar] [CrossRef]
- Sedaghat, M.; Siadatan, A.; Taheri, B. Photovoltaic system with sliding mode control for work on for maximum powerpoint. Comput. Intell. Electr. Eng. 2019, 9, 77–90. [Google Scholar]
- Brock, A.; Benjamin, K.; Sovacool, B.K.; Andrew Hook, A. Volatile photovoltaics: Green industrialization, sacrifice zones, and the political ecology of solar energyinGermany. Ann. Am. Assoc. Geogr. 2021, 11, 1756–1778. [Google Scholar] [CrossRef]
- Echegaray, F. Understanding stakeholders’ views and support for solar energy in Brazil. J. Clean. Prod. 2014, 63, 125–133. [Google Scholar] [CrossRef]
- Maka, A.O.; Alabid, J.M. Solar energy technology and its roles in sustainable development. Clean Energy 2022, 6, 476–483. [Google Scholar] [CrossRef]
- Tabassum, S.; Rahman, T.; Islam, A.U.; Rahman, S.; Dipta, D.R.; Roy, S.; Mohammad, N.; Nawar, N.; Hossain, E. Solar energy in the United States: Development, challenges and future prospects. Energies 2021, 14, 8142. [Google Scholar] [CrossRef]
- Indira, S.S.; Vaithilingam, C.A.; Chong, K.-K.; Saidur, R.; Faizal, M.; Abubakar, S.; Paiman, S. A review on various configurations of hybrid concentrator photovoltaic and thermoelectric generator system. Solar Energy 2020, 201, 122–148. [Google Scholar] [CrossRef]
- Maslamani, T.M.; Omer, A.I.; Majid, M. Development of solar thermoelectric generator. Eur. Sci. J. 2014, 10, 123–134. [Google Scholar]
- Field, H. Solar cell spectral response measurement errors related to spectral band width and chopped light waveform. In Proceedings of the Conference Record of the Twenty Sixth IEEE Photovoltaic Specialists Conference-1997, Anaheim, CA, USA, 29 September–3 October 1997; pp. 471–474. [Google Scholar]
- Huang, G.; Curt, S.R.; Wang, K.; Markides, C.N. Challenges and opportunities for nanomaterials in spectral splitting forhigh-performance hybrid solar photovoltaic-thermal applications: A review. Nano Mater. Sci. 2020, 2, 183–203. [Google Scholar] [CrossRef]
- Guney, M.S. Solar power and application methods. Renew. Sustain. Energy Rev. 2016, 57, 776–785. [Google Scholar] [CrossRef]
- Siegel, N.P. Thermal energy storage for solar power production. Wiley Interdiscip. Rev. Energy Environ. 2012, 1, 119–131. [Google Scholar] [CrossRef]
- Jia, H.; Taheri, B. Model identification of solid oxide fuel cell using hybrid Elman neural network/quantum pathfinder algorithm. Energy Rep. 2021, 7, 3328–3337. [Google Scholar] [CrossRef]
- Huang, G.; Wang, K.; Curt, S.; Franchetti, B.; Pesmazoglou, I.; Markides, C.N. On the performance of concentrating fluid-based spectral-splitting hybrid PV-thermal (PV-T) solar collectors. Renew. Energy 2021, 174, 590–605. [Google Scholar] [CrossRef]
- Cotfas, D.T.; Cotfas, P.A.; Mahmoudinezhad, S.; Louzani, M. Critical factors and parameters for hybrid Photovoltaic-Thermoelectric systems; review. Appl. Therm. Eng. 2022, 215, 118977. [Google Scholar] [CrossRef]
- Dario Narducci, D.; Lorenzi, B. Hybrid thermoelectric-photovoltaic solar harvesters: Technological and economic issues. Jpn. J. Appl. Phys. 2023, 62, SD0801. [Google Scholar] [CrossRef]
- Abdoa, A.; Ookawaraa, S.; Ahmeda, M. Performance evaluation of a new design of concentrator photovoltaic and solar thermoelectric generator hybrid system. Energy Convers. Manag. 2019, 195, 1382–1401. [Google Scholar] [CrossRef]
- Lia, G.; Shittu, S.; Zhou, K.; Zhao, X.; Ma, X. Preliminary experiment on a novel photovoltaic-thermoelectric system in summer. Energy 2019, 188, 116041. [Google Scholar] [CrossRef]
- Wen, X.; Ji, J.; Song, Z.; Li, Z.; Xie, H.; Wang, J. Comparison analysis of two different concentrated photovoltaic/thermal-TEG hybrid systems. Energy Convers. Manag. 2021, 234, 113940. [Google Scholar] [CrossRef]
- Beeri, O.; Rotem, O.; Hazan, E.; AKatz, E.A.; Braun, A.; Gelbstein, Y. Hybrid photovoltaic-thermoelectric system for concentrated solar energy conversion: Experimental realization and modeling. J. Appl. Phys. 2015, 118, 115104. [Google Scholar] [CrossRef]
- Bairamov, R.B.; Dashevskii, Z.M.; Kolomoets, N.V.; Shmatok, Y.u.I. Investigation of a solar water-lifting unit with an external-heat-supply engine. Appl. Solar Energy 1985, 21, 49–53. [Google Scholar]
- Kolomoets, N.V.; Shmatok, Y.I.; Dashevskii, Z.M. Test of water-lifting unit with externally heated engine using solar energy and biogas. Appl. Solar Energy 1989, 25, 94–96. [Google Scholar]
- Dashevsky, Z.; Jarashneli, A.; Unigovski Ya Dzunzda, B.; Feng Gao Shneck, R.Z. Development of a High Perfomance GasThermoelectric Generator (TEG) with Possibible Use of Waste Heat. Energies 2022, 15, 3960. [Google Scholar] [CrossRef]
- Dashevsky, Z.; Skipidarov, S. Investigating the performance of bismuth-antimony telluride. In Novel Thermoelectric Materials and Device Design Concepts; Springer: Berlin/Heidelberg, Germany, 2019; pp. 3–21. [Google Scholar]
- Rad, M.K.; Rezania, A.; Omid, M.; Rajabipour, A.; Rosendahl, L. Study on material properties effect for maximization of thermoelectric power generation. Renew. Energy 2019, 138, 236–242. [Google Scholar]
- Mamur, H.; Bhuiyan, M.; Korkmaz, F.; M Nil, M. A review on bismuth telluride (Bi2Te3) nanostructure for thermoelectric applications. Renew. Sustain. Energy Rev. 2018, 82, 4159–4169. [Google Scholar] [CrossRef]
- Maksymuk, M.; Dzundza, B.; Matkivsky, O.; Horichok, I.; Shneck, R.; Dashevsky, Z. Development of the high performancethermoelectric unicouple based on Bi2Te3 compounds. J. Power Sources 2022, 530, 231301. [Google Scholar] [CrossRef]
- Gayner, C.; Kar, K.K. Recent advances in thermoelectric materials. Prog. Mater. Sci. 2016, 83, 330–382. [Google Scholar] [CrossRef]
- Sootsman, J.R.; Chung, D.Y.; Kanatzidis, M.G. New and old concepts in thermoelectric materials. Angew. Chem. Int. Ed. 2009, 48, 8616–8639. [Google Scholar] [CrossRef]
- Gelbstein, Y.; Dashevsky, Z.; Dariel, M.P. High performance n-type PbTe-based materials for thermoelectric applications. Physica B 2005, 363, 96–205. [Google Scholar] [CrossRef]
- Parashchuk, T.; Horichok, I.; Kosonowski, A.; Cherniushok, O.; Wyzga, P.; Cempura, G.; Kruk, A.; Wojciechowski, K.T. Insight into the transport properties and enhanced thermoelectric performance of n-type Pb1−xSbxTe. J. Alloys Comp. 2020, 860, 158355. [Google Scholar] [CrossRef]
- Knura, R.; Parashchuk, T.; Yoshiasab, A.; Wojciechowski, K.T. Origins of low lattice thermal conductivity of Pb1−xSnxTe alloys for thermoelectric applications. Dalton Trans. 2021, 50, 4323. [Google Scholar] [CrossRef]
- Parashchuk, T.; Wiendlocha, B.; Cherniushok, O.; Knura, R.; Wojciechowski, K.T. High Thermoelectric performance of p-type PbTe enabled by the synergy of resonance scattering and lattice softening. ACS Appl. Mater. Interfaces 2021, 13, 49027–49042. [Google Scholar] [CrossRef]
- Petsagkourakis, I.; Tybrandt, K.; Crispin, X.; Ohkubo, I.; Satoh, N.; Mori, T. Thermoelectric materials and applications for energy harvesting power generation. Sci. Technol. Adv. Mater. 2018, 19, 836–862. [Google Scholar] [CrossRef]
- Parashchuk, T.; Shabaldin, A.; Cherniushok, O.; Konstantinov, G.; Horichok, I.; Burkov, A.; Dashevsky, Z. Enhanced thermoelectric properties of p-type Ge1−xPbxTe alloys due to decrease of lattice thermal conductivity. J. Phys. B 2020, 596, 412397. [Google Scholar] [CrossRef]
- Romanjek, K.; Vesin, S.; Aixala, L.; Baffie, T.; Bernard-Granger, G.; Dufourcq, J. High Perormance Silicon–Germanium-Based Thermoelectric Modules for Gas Exhaust Energy Scavenging. J. Electron. Mater. 2015, 44, 2192–2202. [Google Scholar] [CrossRef]
- Delime-Codrin, K.; Omprakash, M.; Ghodke, S.; Sobota, R.; Adachi, M.; Kiyama, M.; Matsuura, T.; Yamamoto, Y.; Matsunami, M.; Takeuchi, T. Large figure of merit ZT = 1.88 at 873 K achieved with nanostructured Si0.55Ge0.35 (P0.10Fe0.01). Appl. Phys. Express 2019, 12, 045507. [Google Scholar] [CrossRef]
- Parashchuk, T.; Dashevsky, Z.; Wojciechowski, K. Feasibility of a high stable PbTe:In semiconductor for thermoelectric energy applications. J. Appl. Phys. 2019, 125, 245103. [Google Scholar] [CrossRef]
- Wojciechowski, K.T.; Parashchuk, T.; Wiendlocha, B.; Cherniushok, O.; Dashevsky, Z. Highly efficient n-type PbTe developed by advanced electronic structure engineering. J. Mater. Chem. C 2020, 8, 13270–13285. [Google Scholar] [CrossRef]
- Dashevsky, Z.; Horichok, I.; Maksymuk, M.; Muchtar, A.R.; Srinivasan, B.; Mori, T. Feasibilityofhighperformancein p-type Ge1−xBixTe materials for thermoelectric modules. J. Am. Ceram. Soc. 2022, 105, 4500–4511. [Google Scholar] [CrossRef]
- Goltsman, B.M.; Kudinov, V.A.; Smirnov, I.A. Thermoelectric Semiconductor Materials Based on Bi2Te3; Nauka: Moskow, Russia, 1972. (In Russian) [Google Scholar]
- Kostyuk, O.; Dzundza, B.; Maksymuk, M.; Bublik, V.; Chernyak, L.; Dashevsky, Z. Development of Spark Plasma Syntering (SPS) technology for preparation of nanocrystalline p-type thermoelctrics based on (BiSb)2Te3. Phys. Chem. Solid State 2020, 21, 628–634. [Google Scholar] [CrossRef]
- Kaĭdanov, V.I.; Ravich, Y.I. Deep and resonance states in AIVBVI semiconductors. Sov. Phys. Usp. 1985, 28, 31–53. [Google Scholar] [CrossRef]
- Kaidanov, V.I. Resonance (Quasilocal) states in AIVBVI semiconductors. Defect Diffus. Forum 1993, 103, 387–406. [Google Scholar] [CrossRef]
- Dashevsky, Z.; Shusterman, S.; Dariel, M.P.; Drabkin, I. Thermoelectric efficiency in graded indium-doped PbTe crystals. J. Appl. Phys. 2002, 92, 1425–1430. [Google Scholar] [CrossRef]
- Heremans, J.P.; Wiendlocha, B.; Chamoire, A.M. Resonant levels in bulk thermoelectric semiconductors. Energy Environ. Sci. 2012, 5, 5510–5530. [Google Scholar] [CrossRef]
- Gelbstein, Y.; Gotesman, G.; Lishzinker, Y.; Dashevsky, Z.; Dariel, M.P. Mechanical properties of PbTe-based thermoelectricsemiconductors. Scr. Mater. 2008, 58, 251–254. [Google Scholar] [CrossRef]
- Gelbstein, Y.; Dashevsky, Z.; Dariel, M.P. The search for mechanically stable PbTe based thermoelectric materials. J. Appl. Phys. 2008, 104, 33–40. [Google Scholar] [CrossRef]
- Male, J.P.; Abdellaoui, L.; Yu, Y.; Zhang, S.; Pieczulewski, N.; Cojocaru-Miredin, O.; Scheu, C.; Snyder, G. Dislocations stabilized by point defects increase brittleness in PbTe. Adv. Funct. Mater. 2021, 2108006, 1–9. [Google Scholar] [CrossRef]
- Zoui, M.A.; Bentouba, S.; Stocholm, J.G.; Bourouis, M. A review on thermoelectric generators: Progress and application. Energies 2020, 13, 3606. [Google Scholar] [CrossRef]
- Tohidi, F.; Holagh, S.G.; Chitsaz, A. Thermoelectric Generators: A comprehensive review of characteristics and applications. Appl. Therm. Eng. 2022, 201, 117793. [Google Scholar] [CrossRef]
- Rabiee, H.; Khalilpour, K.R.; Betts, J.M.; Tapper, N. Energy-Water Nexus: Renewable-Integrated Hybridized Desalination Systems. Chapter 13; In Polygeneration with Polystorage for Chemical and Energy Hubs; Khalilpour, K.R., Ed.; Elseiver: Amsterdam, The Netherlands, 2019; pp. 41–72. [Google Scholar]
- Jones, E.; Qadir, M.; van Vliet, M.T.; Smakhtin, V.; Kang, S.M. The state of desalination and brine production: A global outlook. Sci. Total Environ. 2019, 657, 1343–1356. [Google Scholar] [CrossRef]





| Dimensions, mm–mm–mm | Number of Unicouples | Hot Temperature, Th, K | Cold Temperature, Tc, K | Supply Voltage U, V | Supply Current I, A | Electric Power Pe, W |
|---|---|---|---|---|---|---|
| 150–30–10 | 100 | 900 | 300–320 | 8 | 15 | 120 |
Disclaimer/Publisher’s Note: The statements, opinions and data contained in all publications are solely those of the individual author(s) and contributor(s) and not of MDPI and/or the editor(s). MDPI and/or the editor(s) disclaim responsibility for any injury to people or property resulting from any ideas, methods, instructions or products referred to in the content. |
© 2023 by the authors. Licensee MDPI, Basel, Switzerland. This article is an open access article distributed under the terms and conditions of the Creative Commons Attribution (CC BY) license (https://creativecommons.org/licenses/by/4.0/).
Share and Cite
Mamykin, S.; Shneck, R.Z.; Dzundza, B.; Gao, F.; Dashevsky, Z. A Novel Solar System of Electricity and Heat. Energies 2023, 16, 3036. https://doi.org/10.3390/en16073036
Mamykin S, Shneck RZ, Dzundza B, Gao F, Dashevsky Z. A Novel Solar System of Electricity and Heat. Energies. 2023; 16(7):3036. https://doi.org/10.3390/en16073036
Chicago/Turabian StyleMamykin, Sergii, Roni Z. Shneck, Bohdan Dzundza, Feng Gao, and Zinovi Dashevsky. 2023. "A Novel Solar System of Electricity and Heat" Energies 16, no. 7: 3036. https://doi.org/10.3390/en16073036
APA StyleMamykin, S., Shneck, R. Z., Dzundza, B., Gao, F., & Dashevsky, Z. (2023). A Novel Solar System of Electricity and Heat. Energies, 16(7), 3036. https://doi.org/10.3390/en16073036

