Characterization of the Temperature Profile near Contact Lines of an Evaporating Sessile Drop
Abstract
1. Introduction
2. Materials and Methods
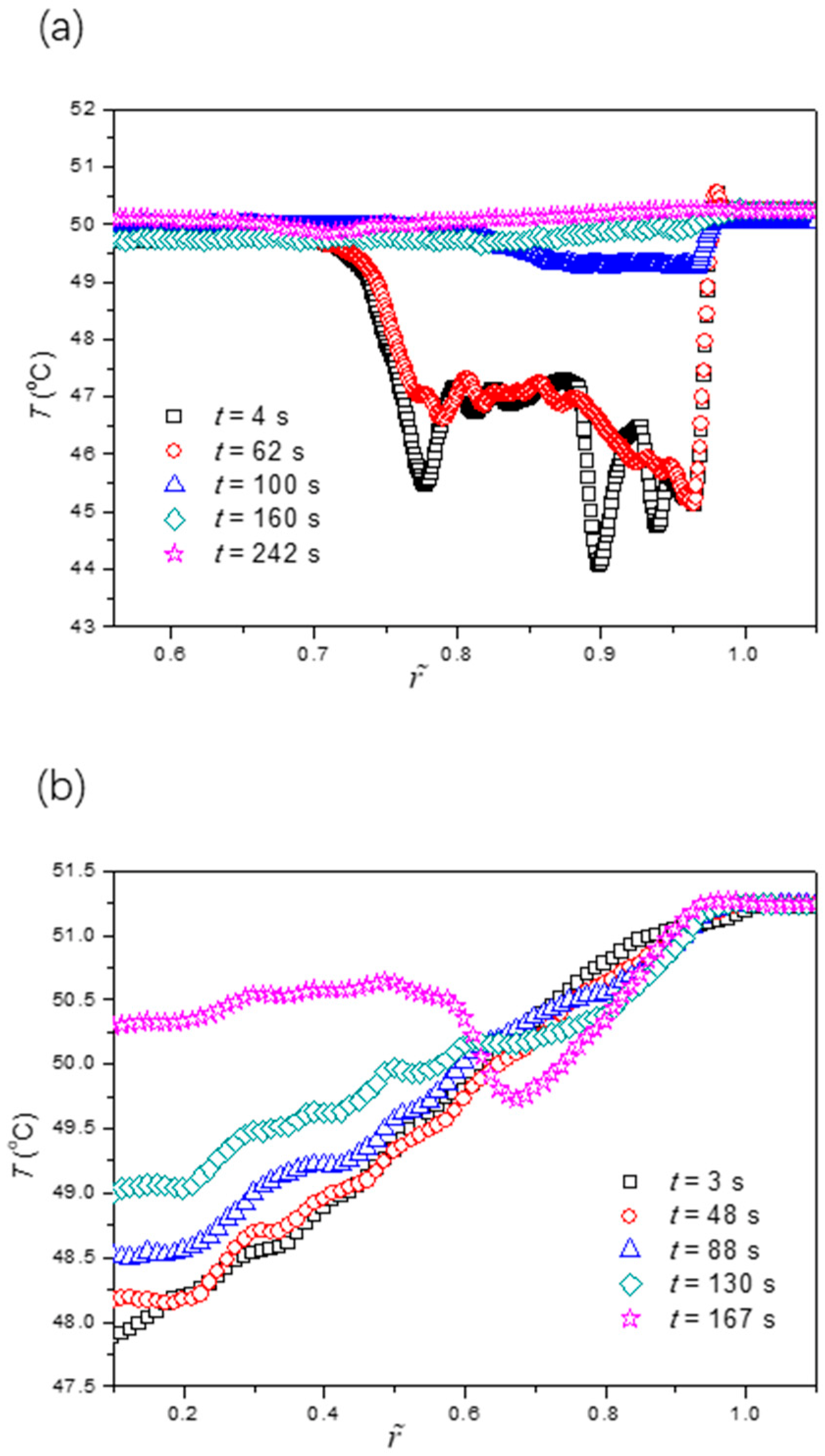
3. Results
4. Conclusions Remarks
Author Contributions
Funding
Data Availability Statement
Conflicts of Interest
References
- Erbil, H.Y. Evaporation of pure liquid sessile and spherical suspended drops: A review. Adv. Colloid Interface Sci. 2012, 170, 67–86. [Google Scholar] [CrossRef] [PubMed]
- Chen, R.-H.; Chow, L.C.; Navedo, J.E. Effects of spray characteristics on critical heat flux in subcooled water spray cooling. Int. J. Heat Mass Transf. 2002, 45, 4033–4043. [Google Scholar] [CrossRef]
- Wiedenheft, K.F.; Guo, H.A.; Qu, X.; Boreyko, J.B.; Liu, F.; Zhang, K.; Eid, F.; Choudhury, A.; Li, Z.; Chen, C.-H. Hotspot cooling with jumping-drop vapor chambers. Appl. Phys. Lett. 2017, 110, 141601. [Google Scholar] [CrossRef]
- Zhao, Y.; Yan, Z.; Zhang, H.; Yang, C.; Cheng, P. Promote anti-/de-frosting by suppressing directional ice bridging. Int. J. Heat Mass Transf. 2021, 165, 120609. [Google Scholar] [CrossRef]
- Zhao, Y.; Guo, Q.; Lin, T.; Cheng, P. A review of recent literature on icing phenomena: Transport mechanisms, their modulations and controls. Int. J. Heat Mass Transf. 2020, 159, 120074. [Google Scholar] [CrossRef]
- Deegan, R.D.; Bakajin, O.; Dupont, T.F.; Huber, G.; Nagel, S.R.; Witten, T.A. Capillary flow as the cause of ring stains from dried liquid drops. Nature 1997, 389, 827–829. [Google Scholar] [CrossRef]
- Yunker, P.J.; Still, T.; Lohr, M.A.; Yodh, A.G. Suppression of the coffee-ring effect by shape-dependent capillary interactions. Nature 2011, 476, 308–311. [Google Scholar] [CrossRef]
- Accardo, A.; Gentile, F.; Mecarini, F.; De Angelis, F.; Burghammer, M.; Di Fabrizio, E.; Riekel, C. In Situ X-ray Scattering Studies of Protein Solution Droplets Drying on Micro- and Nanopatterned Superhydrophobic PMMA Surfaces. Langmuir 2010, 26, 15057–15064. [Google Scholar] [CrossRef]
- Jing, J.; Reed, J.; Huang, J.; Hu, X.; Clarke, V.; Edington, J.; Housman, D.; Anantharaman, T.S.; Huff, E.J.; Mishra, B.; et al. Automated high resolution optical mapping using arrayed, fluid-fixed DNA molecules. Proc. Natl. Acad. Sci. USA 1998, 95, 8046. [Google Scholar] [CrossRef]
- Smalyukh, I.I.; Zribi, O.V.; Butler, J.C.; Lavrentovich, O.D.; Wong, G.C.L. Structure and Dynamics of Liquid Crystalline Pattern Formation in Drying Droplets of DNA. Phys. Rev. Lett. 2006, 96, 177801. [Google Scholar] [CrossRef]
- Goh, G.L.; Saengchairat, N.; Agarwala, S.; Yeong, W.Y.; Tran, T. Sessile droplets containing carbon nanotubes: A study of evaporation dynamics and CNT alignment for printed electronics. Nanoscale 2019, 11, 10603–10614. [Google Scholar] [CrossRef]
- Kolegov, K.S.; Barash, L.Y. Applying droplets and films in evaporative lithography. Adv. Colloid Interface Sci. 2020, 285, 102271. [Google Scholar] [CrossRef]
- Zhao, Y.; Yang, C.; Cheng, P. Freezing of a nanofluid droplet: From a pointy tip to flat plateau. Appl. Phys. Lett. 2021, 118, 141602. [Google Scholar] [CrossRef]
- Zang, D.; Tarafdar, S.; Tarasevich, Y.Y.; Dutta Choudhury, M.; Dutta, T. Evaporation of a Droplet: From physics to applications. Phys. Rep. 2019, 804, 1–56. [Google Scholar] [CrossRef]
- Zhu, J.-L.; Shi, W.-Y.; Feng, L. Bénard-Marangoni instability in sessile droplet evaporating at constant contact angle mode on heated substrate. Int. J. Heat Mass Transf. 2019, 134, 784–795. [Google Scholar] [CrossRef]
- Ristenpart, W.D.; Kim, P.G.; Domingues, C.; Wan, J.; Stone, H.A. Influence of Substrate Conductivity on Circulation Reversal in Evaporating Drops. Phys. Rev. Lett. 2007, 99, 234502. [Google Scholar] [CrossRef]
- Buffone, C. Evaporating sessile drops subject to crosswind. Int. J. Therm. Sci. 2019, 144, 1–10. [Google Scholar] [CrossRef]
- Zhu, G.; Wei, T.; Duan, F. Chapter 18—Hydrothermal Waves. In Droplet Wetting and Evaporation; Brutin, D., Ed.; Academic Press: Oxford, UK, 2015; pp. 251–275. [Google Scholar]
- Zhong, X.; Duan, F. Stable Hydrothermal Waves at Steady State Evaporating Droplet Surface. Sci. Rep. 2017, 7, 16219. [Google Scholar] [CrossRef]
- Persad, A.H.; Ward, C.A. Expressions for the Evaporation and Condensation Coefficients in the Hertz-Knudsen Relation. Chem. Rev. 2016, 116, 7727–7767. [Google Scholar] [CrossRef]
- Herbaut, R.; Dervaux, J.; Brunet, P.; Royon, L.; Limat, L. A criterion for the pinning and depinning of an advancing contact line on a cold substrate. Eur. Phys. J. Spec. Top. 2020, 229, 1867–1880. [Google Scholar] [CrossRef]
- Clavijo, C.E.; Crockett, J.; Maynes, D. Wenzel to Cassie transition during droplet impingement on a superhydrophobic surface. Phys. Rev. Fluids 2016, 1, 073902. [Google Scholar] [CrossRef]
- Sefiane, K.; Moffat, J.R.; Matar, O.K.; Craster, R.V. Self-excited hydrothermal waves in evaporating sessile drops. Appl. Phys. Lett. 2008, 93, 074103. [Google Scholar] [CrossRef]
- Karapetsas, G.; Matar, O.K.; Valluri, P.; Sefiane, K. Convective Rolls and Hydrothermal Waves in Evaporating Sessile Drops. Langmuir 2012, 28, 11433–11439. [Google Scholar] [CrossRef] [PubMed]
- Hu, H.; Larson, R.G. Evaporation of a Sessile Droplet on a Substrate. J. Phys. Chem. B 2002, 106, 1334–1344. [Google Scholar] [CrossRef]
- Deegan, R.D.; Bakajin, O.; Dupont, T.F.; Huber, G.; Nagel, S.R.; Witten, T.A. Contact line deposits in an evaporating drop. Phys. Rev. E 2000, 62, 756–765. [Google Scholar] [CrossRef]
- Herbert, S.; Fischer, S.; Gambaryan-Roisman, T.; Stephan, P. Local heat transfer and phase change phenomena during single drop impingement on a hot surface. Int. J. Heat Mass Transf. 2013, 61, 605–614. [Google Scholar] [CrossRef]
- Liang, G.; Mudawar, I. Review of drop impact on heated walls. Int. J. Heat Mass Transf. 2017, 106, 103–126. [Google Scholar] [CrossRef]
- Bjelobrk, N.; Girard, H.-L.; Bengaluru Subramanyam, S.; Kwon, H.-M.; Quéré, D.; Varanasi, K.K. Thermocapillary motion on lubricant-impregnated surfaces. Phys. Rev. Fluids 2016, 1, 063902. [Google Scholar] [CrossRef]
- Semenov, S.; Carle, F.; Medale, M.; Brutin, D. 3D unsteady computations of evaporative instabilities in a sessile drop of ethanol on a heated substrate. Appl. Phys. Lett. 2017, 111, 241602. [Google Scholar] [CrossRef]
- Brutin, D.; Sobac, B.; Rigollet, F.; Le Niliot, C. Infrared visualization of thermal motion inside a sessile drop deposited onto a heated surface. Exp. Therm. Fluid Sci. 2011, 35, 521–530. [Google Scholar] [CrossRef]
- Girard, F.; Antoni, M.; Sefiane, K. Infrared Thermography Investigation of an Evaporating Sessile Water Droplet on Heated Substrates. Langmuir 2010, 26, 4576–4580. [Google Scholar] [CrossRef]
- Ward, C.A.; Duan, F. Turbulent transition of thermocapillary flow induced by water evaporation. Phys. Rev. E 2004, 69, 056308. [Google Scholar] [CrossRef]
- Semenov, S.; Carle, F.; Medale, M.; Brutin, D. Boundary conditions for a one-sided numerical model of evaporative instabilities in sessile drops of ethanol on heated substrates. Phys. Rev. E 2017, 96, 063113. [Google Scholar] [CrossRef]
- Ye, S.; Zhang, L.; Wu, C.-M.; Li, Y.-R.; Liu, Q.-S. Experimental investigation of evaporation dynamic of sessile droplets in pure vapor environment with low pressures. Int. J. Therm. Sci. 2020, 149, 106213. [Google Scholar] [CrossRef]
- Zhao, Y.; Zhao, C.; He, J.; Zhou, Y.; Yang, C. Collective effects on thermophoresis of colloids: A microfluidic study within the framework of DLVO theory. Soft Matter 2013, 9, 7726–7734. [Google Scholar] [CrossRef]
- Shah, J.J.; Gaitan, M.; Geist, J. Generalized Temperature Measurement Equations for Rhodamine B Dye Solution and Its Application to Microfluidics. Anal. Chem. 2009, 81, 8260–8263. [Google Scholar] [CrossRef]
- Diddens, C.; Kuerten, J.G.M.; van der Geld, C.W.M.; Wijshoff, H.M.A. Modeling the evaporation of sessile multi-component droplets. J. Colloid Interface Sci. 2017, 487, 426–436. [Google Scholar] [CrossRef]
- Zhang, K.; Ma, L.; Xu, X.; Luo, J.; Guo, D. Temperature distribution along the surface of evaporating droplets. Phys. Rev. E 2014, 89, 032404. [Google Scholar] [CrossRef]
- Hu, H.; Larson, R.G. Marangoni Effect Reverses Coffee-Ring Depositions. J. Phys. Chem. B 2006, 110, 7090–7094. [Google Scholar] [CrossRef]








Disclaimer/Publisher’s Note: The statements, opinions and data contained in all publications are solely those of the individual author(s) and contributor(s) and not of MDPI and/or the editor(s). MDPI and/or the editor(s) disclaim responsibility for any injury to people or property resulting from any ideas, methods, instructions or products referred to in the content. |
© 2023 by the authors. Licensee MDPI, Basel, Switzerland. This article is an open access article distributed under the terms and conditions of the Creative Commons Attribution (CC BY) license (https://creativecommons.org/licenses/by/4.0/).
Share and Cite
Zhang, X.; Zhao, Y.; Wang, D. Characterization of the Temperature Profile near Contact Lines of an Evaporating Sessile Drop. Energies 2023, 16, 2623. https://doi.org/10.3390/en16062623
Zhang X, Zhao Y, Wang D. Characterization of the Temperature Profile near Contact Lines of an Evaporating Sessile Drop. Energies. 2023; 16(6):2623. https://doi.org/10.3390/en16062623
Chicago/Turabian StyleZhang, Xiaodong, Yugang Zhao, and Dongmin Wang. 2023. "Characterization of the Temperature Profile near Contact Lines of an Evaporating Sessile Drop" Energies 16, no. 6: 2623. https://doi.org/10.3390/en16062623
APA StyleZhang, X., Zhao, Y., & Wang, D. (2023). Characterization of the Temperature Profile near Contact Lines of an Evaporating Sessile Drop. Energies, 16(6), 2623. https://doi.org/10.3390/en16062623

