Path-Following Control for Thrust-Vectored Hypersonic Aircraft
Abstract
1. Introduction
2. Test Vehicle
3. Flight Simulation Model

4. Guidance Navigation and Control
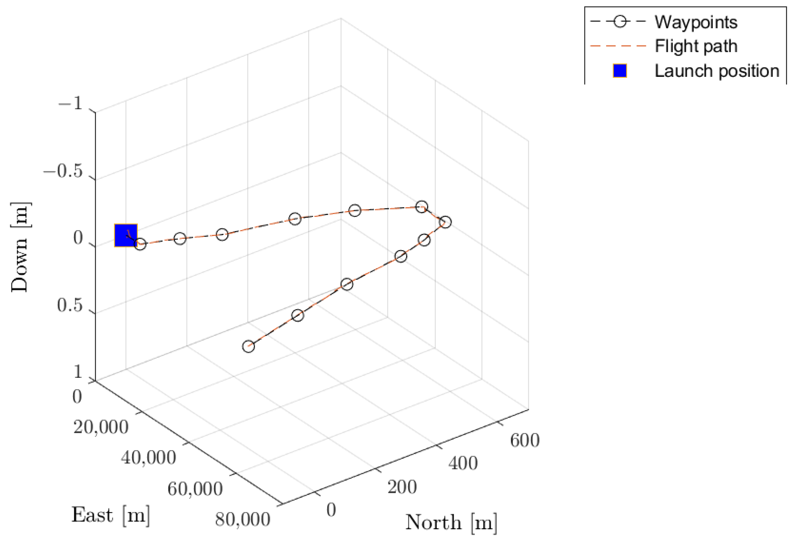
4.1. Waypoint Guidance
4.2. Autopilot Control Algorithm

5. Mission Plan
- Scenario 1—Uncontrolled flight.
- Scenario 2—The maneuvers were realized only in the pitch plane (similar to the original mission plan of the aircraft).
- Scenario 3—The maneuvers were realized only in the yaw plane and the skid-to-turn method was used to change the flight direction.
- Scenario 4—Couples’ pitch and yaw maneuvers using skid-to-turn strategy (the same as in scenario 3).
- Scenario 5—Couples’ pitch and yaw maneuvers but the aircraft used the bank-to- turn strategy.
6. Results
6.1. Scenario 1
6.2. Scenario 2
6.3. Scenario 3
6.4. Scenario 4
6.5. Scenario 5
7. Conclusions
Author Contributions
Funding
Institutional Review Board Statement
Informed Consent Statement
Data Availability Statement
Conflicts of Interest
Abbreviations
| Latin symbols: | |
| Speed of sound at H, [] | |
| b | Wing span, [] |
| Mean aerodynamic chord, [] | |
| Transformation matrix from Earth-centered Earth-fixed frame to the | |
| body coordinate system | |
| Transformation matrix from aerodynamic to body frame | |
| Coefficients of drag, side force, lift and rolling, pitching and yawing | |
| moments for , respectively | |
| e | Oswald efficiency number |
| Aerodynamic force vector, [] | |
| Gravitational force vector, [] | |
| Thrust force vector, [] | |
| g | Gravitational acceleration, [] |
| H | Geopotential altitude, [] |
| Reference altitude, [] | |
| I | Mass moment of inertia tensor with respect to body coordinate system |
| Mass moments of inertia with respect to body coordinate system | |
| , [] | |
| Mass products of inertia with respect to body coordinate system | |
| , [] | |
| k | Specific heat ratio |
| Temperature gradient above | |
| m | Aircraft mass, [] |
| M | Mach number, [-] |
| Aerodynamic moment vector, [] | |
| Thrust moment vector, [] | |
| p | Roll rate, [] |
| Pressure at , [] | |
| Air pressure at H, [] | |
| q | Pitch rate, [] |
| r | Yaw rate, [] |
| Distance between the center of mass of the aircraft and the nozzle, [] | |
| Aircraft position vector in the Earth-centered Earth-fixed frame, [] | |
| R | Gas constant of air, [ )] |
| Reference area, [] | |
| T | Temperature H, [] |
| Main motor thrust magnitude, [] | |
| Ambient temperature at the altitude H, [] | |
| Ambient temperature at the altitude , [] | |
| Time constant of TVC actuator, [] | |
| Time constant of TVC actuator, [] | |
| Aircraft’s velocity magnitude relative to the airflow, [] | |
| Velocity vector in the body coordinate system, [] | |
| Linear acceleration vector in the body coordinate system, [] | |
| Greek symbols: | |
| Angle of attack, [] | |
| Angle of sideslip, [] | |
| Actual deflection angle of the thrust vector in pitch plane , [] | |
| Commanded deflection angle of the thrust vector in pitch plane | |
| , [] | |
| Aileron deflection angle, [] | |
| Actual deflection angle of the thrust vector in yaw plane , [] | |
| Commanded deflection angle of the thrust vector in yaw plane | |
| , [] | |
| Euler pitch angle, [] | |
| Aspect ratio | |
| Air density at H, [] | |
| Euler roll angle, [] | |
| Euler yaw angle, [] | |
| Angular acceleration vector in the body coordinate system, [] | |
| Angular velocity vector in the body coordinate system, [] | |
| Earth’s angular velocity vector, [] |
References
- Flamm, J.; Deere, K.; Mason, M.; Berrier, B.; Johnson, S. Experimental Study of an Axisymmetric Dual Throat Fluidic Thrust Vectoring Nozzle for Supersonic Aircraft Application. In Proceedings of the 43rd AIAA/ASME/SAE/ASEE Joint Propulsion Conference and Exhibit, Cincinnati, OH, USA, 8–11 July 2007; pp. 2007–5084. [Google Scholar] [CrossRef]
- Wu, K.; Zhang, G.; Kim, T.H.; Kim, H.D. Numerical parametric study on three-dimensional rectangular counter-flow thrust vectoring control. Proc. Inst. Mech. Eng. Part G J. Aerosp. Eng. 2020, 234, 2221–2247. [Google Scholar] [CrossRef]
- Shin, C.S.; Kim, H.D.; Setoguchi, T.; Matsuo, S. A computational study of thrust vectoring control using dual throat nozzle. J. Therm. Sci. 2010, 19, 486–490. [Google Scholar] [CrossRef]
- Wu, K.; Kim, H.D.; Jin, Y. Fluidic thrust vector control based on counter-flow concept. Proc. Inst. Mech. Eng. Part G J. Aerosp. Eng. 2019, 233, 1412–1422. [Google Scholar] [CrossRef]
- Wu, K.; Kim, H. Fluidic Thrust Vector Control Using Shock Wave Concept. J. Korean Soc. Propuls. Eng. 2019, 23, 10–20. [Google Scholar] [CrossRef]
- Ferlauto, M.; Marsilio, R. Numerical Simulation of Fluidic Thrust-Vectoring. Aerotec. Missili Spaz. 2016, 95, 153–162. [Google Scholar] [CrossRef][Green Version]
- Liu, J.F.; Luo, Z.B.; Deng, X.; Zhao, Z.J.; Li, S.Q.; Liu, Q.; Zhu, Y.X. Dual Synthetic Jets Actuator and Its Applications—Part II: Novel Fluidic Thrust-Vectoring Method Based on Dual Synthetic Jets Actuator. Actuators 2022, 11, 209. [Google Scholar] [CrossRef]
- Resta, E.; Marsilio, R.; Ferlauto, M. Thrust vectoring of a fixed axisymmetric supersonic nozzle using the shock-vector control method. Fluids 2021, 6, 441. [Google Scholar] [CrossRef]
- Wu, K.X.; Kim, T.H.; Kim, H.D. Numerical Study of Fluidic Thrust Vector Control Using Dual Throat Nozzle. J. Appl. Fluid Mech. 2021, 14, 73–87. [Google Scholar] [CrossRef]
- Liu, J.; Chen, Z.; Sun, M.; Sun, Q. Practical coupling rejection control for herbst maneuver with thrust vector. J. Aircr. 2019, 56, 1726–1734. [Google Scholar] [CrossRef]
- Zhou, Z.; Wang, Z.; Gong, Z.; Zheng, X.; Yang, Y.; Cai, P. Design of Thrust Vectoring Vertical/Short Takeoff and Landing Aircraft Stability Augmentation Controller Based on L1 Adaptive Control Law. Symmetry 2022, 14, 1837. [Google Scholar] [CrossRef]
- Dinca, L.; Corcau, J.I. Numerical study concerning longitudinal dynamic of a canard UAV with vectored thrust. In Proceedings of the 2021 International Conference on Applied and Theoretical Electricity, ICATE 2021, Craiova, Romania, 27–29 May 2021; pp. 1–5. [Google Scholar] [CrossRef]
- Raghavendra, P.K.; Sahai, T.; Kumar, P.A.; Chauhan, M.; Ananthkrishnan, N. Aircraft Spin Recovery, with and without Thrust Vectoring, Using Nonlinear Dynamic Inversion. J. Aircr. 2005, 42, 1492–1503. [Google Scholar] [CrossRef]
- Wu, Y.; Jiang, J.; Gu, C.; Li, T. Effect of thrust vectoring technology on taking-off performance of hypersonic vehicle. MATEC Web Conf. 2015, 31, 1–5. [Google Scholar] [CrossRef]
- Neely, A. Experimental Measurement of Fluidic Thrust Vectoring on Internal and External Expansion Hypersonic Nozzles; Technical Report AD1077648; Air Force Research Laboratory: Wright-Patterson, OH, USA, 2019. [Google Scholar]
- Li, B.; Dong, W.; Xiong, C. Robust Actuator-Fault-Tolerant Control System Based on Sliding-Mode Observer for Thrust-Vectoring Aircrafts. Asian J. Control 2019, 21, 236–247. [Google Scholar] [CrossRef]
- Lowenberg, M.H. Bifurcation analysis of multiple-attractor flight dynamics. Philos. Trans. R. Soc. A Math. Phys. Eng. Sci. 1998, 356, 2297–2319. [Google Scholar] [CrossRef]
- Mason, M.; Crowther, W. Fluidic Thrust Vectoring for Low Observable Air Vehicles. In Proceedings of the 2nd AIAA Flow Control Conference, Portland, OR, USA, 28 June–1 July 2004; pp. 2004–2210. [Google Scholar] [CrossRef]
- Skow, A.M. An analysis of the Su-27 flight demonstration at the 1989 Paris Airshow. SAE Tech. Pap. 1990, 99, 153–165. [Google Scholar] [CrossRef]
- Vinayagam, A.; Sinha, N. Optimal aircraft take-off with thrust vectoring. Aeronaut. J. 2013, 117, 1119–1138. [Google Scholar] [CrossRef]
- Sørensen, C.B.; Mosekilde, E.; Gránásy, P. Nonlinear dynamics of a vectored thrust aircraft. Phys. Scr. 1996, 1996, 176. [Google Scholar] [CrossRef]
- Ikaza, D.; Rausch, C. Thrust vectoring for eurofighter—the first steps. Air Space Eur. 2000, 2, 92–95. [Google Scholar] [CrossRef]
- Ikaza, D. Thrust Vectoring Nozzle for Military Aircraft Engines. In Proceedings of the 22nd Congress of International Council of the Aeronautical Sciences, Harrogate, UK, 27 August–1 September 2000; pp. 1–10. [Google Scholar]
- Páscoa, J.C.; Dumas, A.; Trancossi, M.; Stewart, P.; Vucinic, D. A review of thrust-vectoring in support of a V/STOL non-moving mechanical propulsion system. Cent. Eur. J. Eng. 2013, 3, 374–388. [Google Scholar] [CrossRef]
- Cen, Z.; Smith, T.; Stewart, P.; Stewart, J. Integrated flight/thrust vectoring control for jet-powered unmanned aerial vehicles with ACHEON propulsion. Proc. Inst. Mech. Eng. Part G J. Aerosp. Eng. 2015, 229, 1057–1075. [Google Scholar] [CrossRef]
- Salahudden, S.; Das, A.T.; Ghosh, A.K. Sliding-Mode Control and Strategic Thrust-Vectoring Based Aircraft Flat Spin Recovery with Altitude. IEEE Trans. Aerosp. Electron. Syst. 2022, 58, 3271–3282. [Google Scholar] [CrossRef]
- Jenie, Y.I.; Suarjaya, W.W.; Poetro, R.E. Falcon 9 Rocket Launch Modeling and Simulation with Thrust Vectoring Control and Scheduling. In Proceedings of the 2019 IEEE 6th Asian Conference on Defence Technology, ACDT 2019, Bali, Indonesia, 13–15 November 2019; pp. 25–31. [Google Scholar] [CrossRef]
- Liu, F.; Wang, L. Research on the thrust vector control via jet vane in rapid turning of vertical launch. In Proceedings of the 2nd International Conference on Measurement, Information and Control, Harbin, China, 16–18 August 2013; Volume 2, pp. 837–842. [Google Scholar] [CrossRef]
- Jacewicz, M.; Lichota, P.; Miedziński, D.; Głębocki, R. Study of Model Uncertainties Influence on the Impact Point Dispersion for a Gasodynamicaly Controlled Projectile. Sensors 2022, 22, 3257. [Google Scholar] [CrossRef]
- Głębocki, R.; Jacewicz, M. Parametric Study of Guidance of a 160-mm Projectile Steered with Lateral Thrusters. Aerospace 2020, 5, 61. [Google Scholar] [CrossRef]
- Głębocki, R.; Jacewicz, M. Simulation study of a missile cold launch system. J. Theor. Appl. Mech. 2018, 56, 901–913. [Google Scholar] [CrossRef]
- Głębocki, R.; Jacewicz, M. Sensitivity Analysis and Flight Tests Results for a Vertical Cold Launch Missile System. Aerospace 2020, 7, 168. [Google Scholar] [CrossRef]
- Raytheon. AIM-9X Sidewinder. 2000. Available online: http://www.midkiff.cz/obj/firma_produkt_priloha_6_soubor.pdf (accessed on 1 February 2023).
- FY 2012. Annual Report. AIM-9X Air-to-Air Missile Upgrade. 2012. Available online: https://www.dote.osd.mil/Portals/97/pub/reports/FY2012/navy/2012aim9x.pdf?ver=2019-08-22-111609-347 (accessed on 27 February 2023).
- VL MICA. Vertically-Launched, All-Weather Air Defence Weapon System. 2023. Available online: https://corpwebstorage.blob.core.windows.net/media/36546/vl-mica-vertically-launched-all-weather-air-defence-weapon-system-lt-mbda-missile-systems-limited.pdf (accessed on 27 February 2023).
- Xu, B.; Shi, Z.K. An overview on flight dynamics and control approaches for hypersonic vehicles. Sci. China Inf. Sci. 2015, 58, 1–19. [Google Scholar] [CrossRef]
- Ding, Y.; Yue, X.; Chen, G.; Si, J. Review of control and guidance technology on hypersonic vehicle. Chin. J. Aeronaut. 2022, 35, 1–18. [Google Scholar] [CrossRef]
- Bliamis, C.; Panagiotou, P.; Yakinthos, K. Hypersonic vehicle control concept using an active shock bump technique. In Proceedings of the 22nd AIAA International Space Planes and Hypersonics Systems and Technologies Conference, Orlando, FL, USA, 17–19 September 2018. [Google Scholar] [CrossRef]
- Falkiewicz, N.; Cesnik, C.; Bolender, M.; Doman, D. Thermoelastic Formulation of a Hypersonic Vehicle Control Surface for Control-Oriented Simulation. In Proceedings of the AIAA Guidance, Navigation, and Control Conference, Chicago, IL, USA, 10–13 August 2009. [Google Scholar] [CrossRef]
- Chen, Q.; Wan, J.; Ai, J. L1 adaptive control of a generic hypersonic vehicle model with a blended pneumatic and thrust vectoring control strategy. Sci. China Inf. Sci. 2017, 60, 1–14. [Google Scholar] [CrossRef]
- Saltzmm, E.J.; Garringer, D.J. Summary of Full-Scale Lift and Drag Characteristics of the X-15 Airplane; Technical Report NASA TN D-3343; NASA: Washington, DC, USA, 1966. [Google Scholar]
- Heffley, R.K.; Jewel, W.F. Aircraft Handling Qualities Data; Technical Report NASA CR-2144; NASA: Washington, DC, USA, 1972. [Google Scholar]
- NASA. TF-2004-16 DFRC. Available online: https://www.nasa.gov/pdf/89235main_TF-2004-16-DFRC.pdf (accessed on 25 February 2023).
- Mathworks. 2023. Available online: https://www.mathworks.com/help/aeroblks/6dofecefquaternion.html (accessed on 25 February 2023).
- Cook, M.V. Flight Dynamics Principles: A Linear Systems Approach to Aircraft Stability and Control, 3rd ed.; Elsevier: Amsterdam, The Netherlands, 2013. [Google Scholar] [CrossRef]
- Zipfel, P.H. Modeling and Simulation of Aerospace Vehicle Dynamics; AIAA: Reston, VA, USA, 2007. [Google Scholar]
- National Oceanic and Atmospheric Administration. U.S. Standard Atmosphere; Technical Report; Government Printing Office: Washington, DC, USA, 1976. [Google Scholar]
- Park, S.; Deyst, J.; How, J. A New Nonlinear Guidance Logic for Trajectory Tracking. In Proceedings of the AIAA Guidance, Navigation, and Control Conference and Exhibit, Providence, RI, USA, 16–19 August 2004; pp. 2004–4090. [Google Scholar] [CrossRef]
- NASA. NASA Armstrong Fact Sheet: X-15 Hypersonic Research Program. 2014. Available online: https://www.nasa.gov/centers/armstrong/news/FactSheets/FS-052-DFRC.html (accessed on 27 February 2023).

















| Parameter | Symbol | Value | Unit | Source |
|---|---|---|---|---|
| Mass (zero fuel) | 7057.89 | [42] | ||
| Moment of inertia (zero fuel) | 4948.74 | [42] | ||
| Moment of inertia (zero fuel) | 108,465.44 | [42] | ||
| Moment of inertia (zero fuel) | 111,177.07 | [42] | ||
| Product of inertia (zero fuel) | 799.93 | [42] | ||
| Mass (at launch) | 25,849.50 | [43] | ||
| Moment of inertia (at launch) | 18,127.01 | Estimated | ||
| Moment of inertia (at launch) | 397,302.82 | Estimated | ||
| Moment of inertia (at launch) | 407,237.03 | Estimated | ||
| Product of inertia (at launch) | 2930.11 | Estimated | ||
| Mean aerodynamic chord | 3.13 | [41,42] | ||
| Wing span | b | 6.81 | [41,42] | |
| Reference area | 18.58 | [41,42] | ||
| Aspect ratio | 2.5 | - | [41,42] | |
| Oswald efficiency number | e | 0.9 | - | Estimated |
| Parameter | Value | Unit |
|---|---|---|
| Latitude | 52.26 | |
| Longitude | 20.91 | |
| Altitude | 10,000 | |
| 270 | ||
| 0 | ||
| 0 | ||
| 90 | ||
| 0 |
Disclaimer/Publisher’s Note: The statements, opinions and data contained in all publications are solely those of the individual author(s) and contributor(s) and not of MDPI and/or the editor(s). MDPI and/or the editor(s) disclaim responsibility for any injury to people or property resulting from any ideas, methods, instructions or products referred to in the content. |
© 2023 by the authors. Licensee MDPI, Basel, Switzerland. This article is an open access article distributed under the terms and conditions of the Creative Commons Attribution (CC BY) license (https://creativecommons.org/licenses/by/4.0/).
Share and Cite
Sahbon, N.; Jacewicz, M.; Lichota, P.; Strzelecka, K. Path-Following Control for Thrust-Vectored Hypersonic Aircraft. Energies 2023, 16, 2501. https://doi.org/10.3390/en16052501
Sahbon N, Jacewicz M, Lichota P, Strzelecka K. Path-Following Control for Thrust-Vectored Hypersonic Aircraft. Energies. 2023; 16(5):2501. https://doi.org/10.3390/en16052501
Chicago/Turabian StyleSahbon, Nezar, Mariusz Jacewicz, Piotr Lichota, and Katarzyna Strzelecka. 2023. "Path-Following Control for Thrust-Vectored Hypersonic Aircraft" Energies 16, no. 5: 2501. https://doi.org/10.3390/en16052501
APA StyleSahbon, N., Jacewicz, M., Lichota, P., & Strzelecka, K. (2023). Path-Following Control for Thrust-Vectored Hypersonic Aircraft. Energies, 16(5), 2501. https://doi.org/10.3390/en16052501

