Numerical Investigation of the Long-Term Load Shifting Behaviors within the Borehole Heat Exchanger Array System
Abstract
1. Introduction
2. Methodology
2.1. OGS Coupled TESPy
2.2. Proportion of the Shifted Load
3. Model Setting
4. Results
4.1. Long-Term Performance
4.1.1. Evolution of Inlet and Outlet Temperatures
4.1.2. Evolution of Soil Temperature
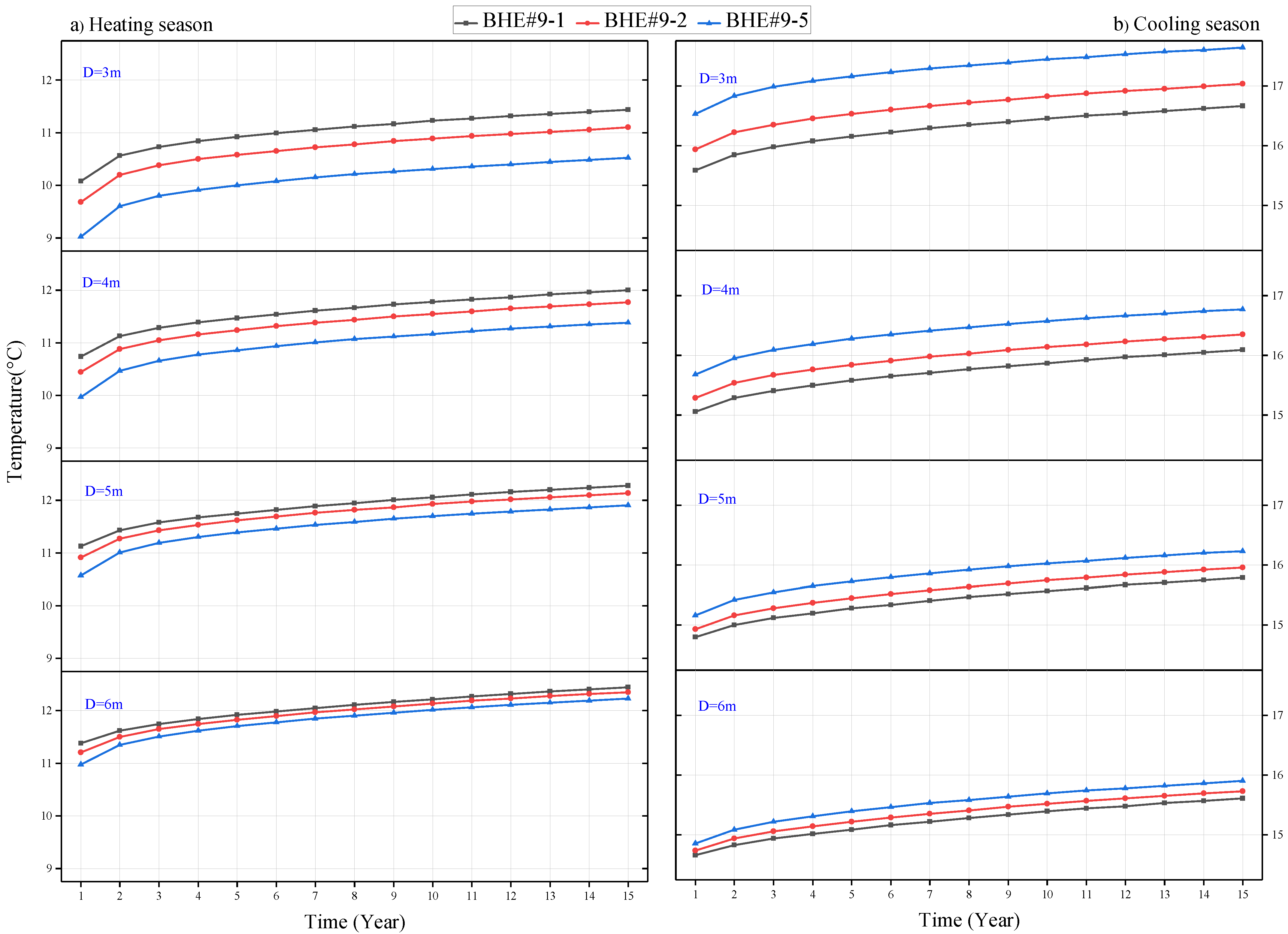
4.2. Effect of Inter-Borehole Spacing
4.2.1. Evolution of Soil Temperature
4.2.2. Load Shifting Behaviors
4.3. Effect of Layout Method
4.3.1. Evolution of Soil Temperature
4.3.2. Load Shifting Behaviors
4.4. Effect of BHE Numbers
4.4.1. Evolution of Soil Temperature
4.4.2. Load Shifting Behaviors
5. Conclusions
- Inlet and outlet temperatures: With the operation of the shallow GSHP system, the outlet temperature of the single BHE and the BHE array is rising as a whole, which means the soil temperature around the BHE appears the residual heat accumulation, and the temperature fluctuation of the center BHE is more obvious than that of the edge BHE.
- Soil temperature: The soil temperature of single BHE fluctuated slightly in the first year, and finally dropped to 13.58 °C in December, which had little difference from the initial soil temperature. For the 9-U system, the heat in the center of the array appears the most obvious accumulation, and underground heat imbalance occurred. After 15 years of operation, the soil temperature near # 9-5 increased by 2 °C compared with the initial ground temperature, which means the soil temperature recovery ability of BHE array system is poor. The accumulation of soil temperature is more favorable for heat extraction in winter, but not conducive to the performance improvement of heat pump units in summer.After 15 years of operation, with the increase of inter-borehole spacing, the rising trend of soil temperature slowed down, and it is conducive to the recovery of soil temperature. The unbalanced rate of soil temperature distribution with linear layout is lower than that of the other two layout methods, which means a more concentrated layout method brings a more intense imbalance of soil temperature distribution. Expanding the BHE numbers founds that with the increase of the number of BHEs, the fluctuation of soil temperature is more intense.
- Load shifting behaviors: By changing the inter-borehole spacing, the analysis of and PSTL shows that the heat shifting of the BHE (# 9-1) located at the edge of array increases, while that located at the center (# 9-5) decreases, and there is an obvious load shifting phenomenon. Comparing with the shifted load of each BHE, it can be seen that the maximum shifted load of each inter-borehole spacing occurs at the central BHE. maximum is −169.05 W for BHE # 9-5 when D is 3 m. When D is increased to 6 m, the maximum of # 9-5 is −63.39 W. The load shifting behaviors are weakened with the increase of the inter-borehole spacing, and the time for the system to reach thermal equilibrium will be prolonged if the inter-borehole spacing is reduced. Among the three layouts, linear layouts is superior to others. The load shifting behavior of linear layout is the most gentle, which is more conducive to the long-term stability of the BHE array system.In the 25-u system, the maximum is 155.63 W at # 25-1, and the increase of the number of BHEs will bring more severe load shifting phenomenon. In addition, in the 25-U system, increases after the recovery period in the second, third and fifth year of the system operation. The effect of soil temperature recovery on load shifting decreases with the BHE number growing. The change of PSTL in 15 years shows that the 25-U BHE system needs a longer time to reach stability. It is found that the time for the BHE system to reach the thermal equilibrium is more related to the number of BHEs by comprehensive analysis of different design parameters. In the future design of large GSHP system, turning off the central BHEs, reducing the BHE number near the center, or increasing the inter-borehole spacing near the center BHE will improve the long-term operating performance of the system.
Author Contributions
Funding
Conflicts of Interest
Abbreviations
| GSHP | Ground Source Heat Pump |
| BHE | Borehole Heat Exchange |
| 1-U | Single U-type BHE |
| 5-U | 5 U-type BHEs |
| 9-U | 9 U-type BHEs |
| 25-U | 25 U-type BHEs |
| OGS | OpenGeoSys |
| TESPy | Thermal Engineering System in Python |
| heat injection rate at i-th BHE array | |
| mean heat injection rate of the BHEs array | |
| ▵Q | shifted load (W) |
| PSTL | percentage of the shifted thermal load (%) |
References
- Lucia, U.; Simonetti, M.; Chiesa, G.; Grisolia, G. Ground-source pump system for heating and cooling: Review and thermodynamic approach. Renew. Sustain. Energy Rev. 2017, 70, 867–874. [Google Scholar] [CrossRef]
- Wang, Z.; Yang, Z.; Zhang, B.; Li, H.; He, W. How does urbanization affect energy consumption for central heating: Historical analysis and future prospects. Energy Build. 2022, 255, 111631. [Google Scholar] [CrossRef]
- Lin, J.; Lin, B. The actual heating energy conservation in China: Evidence and policy implications. Energy Build. 2019, 190, 195–201. [Google Scholar] [CrossRef]
- Dias, J.M.; Costa, V.A. Adsorption heat pumps for heating applications: A review of current state, literature gaps and development challenges. Renew. Sustain. Energy Rev. 2018, 98, 317–327. [Google Scholar] [CrossRef]
- Pu, X.; Yao, J.; Zheng, R. Forecast of Energy Consumption and Carbon Emissions in China’s Building Sector to 2060. Energies 2022, 15, 4950. [Google Scholar] [CrossRef]
- Dong, B.; Ma, X.; Zhang, Z.; Zhang, H.; Chen, R.; Song, Y.; Shen, M.; Xiang, R. Carbon emissions, the industrial structure and economic growth: Evidence from heterogeneous industries in China. Environ. Pollut. 2020, 262, 114322. [Google Scholar] [CrossRef] [PubMed]
- Cao, X.; Dai, X.; Liu, J. Building energy-consumption status worldwide and the state-of-the-art technologies for zero-energy buildings during the past decade. Energy Build. 2016, 128, 198–213. [Google Scholar] [CrossRef]
- Xu, X.; Feng, G.; Chi, D.; Liu, M.; Dou, B. Optimization of performance parameter design and energy use prediction for nearly zero energy buildings. Energies 2018, 11, 3252. [Google Scholar] [CrossRef]
- Yang, L.; Zhao, K.; Zhao, Y.; Zhong, M. Identifying Key Factors in Determining Disparities in Energy Consumption in China: A Household Level Analysis. Energies 2021, 14, 7149. [Google Scholar] [CrossRef]
- Zarco-Periñán, P.J.; Zarco-Soto, I.M.; Zarco-Soto, F.J.; Sánchez-Durán, R. Influence of Population Income on Energy Consumption for Heating and Its CO2 Emissions in Cities. Energies 2021, 14, 4531. [Google Scholar] [CrossRef]
- Niknam, P.H.; Talluri, L.; Fiaschi, D.; Manfrida, G. Sensitivity analysis and dynamic modelling of the reinjection process in a binary cycle geothermal power plant of Larderello area. Energy 2021, 214, 118869. [Google Scholar] [CrossRef]
- Leontidis, V.; Niknam, P.H.; Durgut, I.; Talluri, L.; Manfrida, G.; Fiaschi, D.; Akin, S.; Gainville, M. Modelling Reinjection of Two-Phase Non-Condensable Gases and Water in Geothermal Wells. Appl. Therm. Eng. 2023, 223, 120018. [Google Scholar] [CrossRef]
- Su, C.; Madani, H.; Palm, B. Building heating solutions in China: A spatial techno-economic and environmental analysis. Energy Convers. Manag. 2019, 179, 201–218. [Google Scholar] [CrossRef]
- Su, C.; Madani, H.; Palm, B. Heating solutions for residential buildings in China: Current status and future outlook. Energy Convers. Manag. 2018, 177, 493–510. [Google Scholar] [CrossRef]
- Hou, X.; Zhong, S.; Zhao, J. A Critical Review on Decarbonizing Heating in China: Pathway Exploration for Technology with Multi-Sector Applications. Energies 2022, 15, 1183. [Google Scholar] [CrossRef]
- Lund, J.; Boyd, T. Direct utilization of geothermal energy 2015 worldwide. In Proceedings of the World Geothermal Congress, Melbourne, Australia, 19–24 April 2015. [Google Scholar]
- Cai, W.; Wang, F.; Liu, J.; Wang, Z.; Ma, Z. Experimental and numerical investigation of heat transfer performance and sustainability of deep borehole heat exchangers coupled with ground source heat pump systems. Appl. Therm. Eng. 2019, 149, 975–986. [Google Scholar] [CrossRef]
- Hou, J.; Cao, M.; Liu, P. Development and utilization of geothermal energy in China: Current practices and future strategies. Renew. Energy 2018, 125, 401–412. [Google Scholar] [CrossRef]
- Xu, Y.S.; Wang, X.W.; Shen, S.L.; Zhou, A. Distribution characteristics and utilization of shallow geothermal energy in China. Energy Build. 2020, 229, 110479. [Google Scholar] [CrossRef]
- Javadi, H.; Ajarostaghi, S.S.M.; Rosen, M.A.; Pourfallah, M. Performance of ground heat exchangers: A comprehensive review of recent advances. Energy 2019, 178, 207–233. [Google Scholar] [CrossRef]
- Aquino, A.; Scrucca, F.; Bonamente, E. Sustainability of Shallow Geothermal Energy for Building Air-Conditioning. Energies 2021, 14, 7058. [Google Scholar] [CrossRef]
- Luo, J.; Rohn, J.; Xiang, W.; Bertermann, D.; Blum, P. A review of ground investigations for ground source heat pump (GSHP) systems. Energy Build. 2016, 117, 160–175. [Google Scholar] [CrossRef]
- Spitler, J.D.; Gehlin, S.E. Thermal response testing for ground source heat pump systems—An historical review. Renew. Sustain. Energy Rev. 2015, 50, 1125–1137. [Google Scholar] [CrossRef]
- Emad Dehkordi, S.; Schincariol, R.A.; Olofsson, B. Impact of groundwater flow and energy load on multiple borehole heat exchangers. Groundwater 2015, 53, 558–571. [Google Scholar] [CrossRef]
- Skarphagen, H.; Banks, D.; Frengstad, B.S.; Gether, H. Design considerations for borehole thermal energy storage (BTES): A review with emphasis on convective heat transfer. Geofluids 2019, 2019, 4961781. [Google Scholar] [CrossRef]
- Naicker, S.S.; Rees, S.J. Performance analysis of a large geothermal heating and cooling system. Renew. Energy 2018, 122, 429–442. [Google Scholar] [CrossRef]
- McDaniel, A.; Fratta, D.; Tinjum, J.M.; Hart, D.J. Long-term district-scale geothermal exchange borefield monitoring with fiber optic distributed temperature sensing. Geothermics 2018, 72, 193–204. [Google Scholar] [CrossRef]
- Li, W.; Li, X.; Wang, Y.; Tu, J. An integrated predictive model of the long-term performance of ground source heat pump (GSHP) systems. Energy Build. 2018, 159, 309–318. [Google Scholar] [CrossRef]
- Chen, C.; Shao, H.; Naumov, D.; Kong, Y.; Tu, K.; Kolditz, O. Numerical investigation on the performance, sustainability, and efficiency of the deep borehole heat exchanger system for building heating. Geotherm. Energy 2019, 7, 18. [Google Scholar] [CrossRef]
- Pan, S.; Kong, Y.; Chen, C.; Pang, Z.; Wang, J. Optimization of the utilization of deep borehole heat exchangers. Geotherm. Energy 2020, 8, 6. [Google Scholar] [CrossRef]
- Randow, J.; Chen, S.; Lubashevsky, K.; Thiel, S.; Reinhardt, T.; Rink, K.; Grimm, R.; Bucher, A.; Kolditz, O.; Shao, H. Modeling neighborhood-scale shallow geothermal energy utilization: A case study in Berlin. Geotherm. Energy 2022, 10, 1. [Google Scholar] [CrossRef]
- Cai, W.; Wang, F.; Chen, S.; Chen, C.; Liu, J.; Deng, J.; Kolditz, O.; Shao, H. Analysis of heat extraction performance and long-term sustainability for multiple deep borehole heat exchanger array: A project-based study. Appl. Energy 2021, 289, 116590. [Google Scholar] [CrossRef]
- Chen, S.; Cai, W.; Witte, F.; Wang, X.; Wang, F.; Kolditz, O.; Shao, H. Long-term thermal imbalance in large borehole heat exchangers array—A numerical study based on the Leicester project. Energy Build. 2021, 231, 110518. [Google Scholar] [CrossRef]
- Wang, R.; Wang, F.; Xue, Y.; Jiang, J.; Zhang, Y.; Cai, W.; Chen, C. Numerical Study on the Long-Term Performance and Load Imbalance Ratio for Medium-Shallow Borehole Heat Exchanger System. Energies 2022, 15, 3444. [Google Scholar] [CrossRef]
- Cai, W.; Wang, F.; Chen, C.; Chen, S.; Liu, J.; Ren, Z.; Shao, H. Long-term performance evaluation for deep borehole heat exchanger array under different soil thermal properties and system layouts. Energy 2022, 241, 122937. [Google Scholar] [CrossRef]
- Chen, S.; Witte, F.; Kolditz, O.; Shao, H. Shifted thermal extraction rates in large Borehole Heat Exchanger array—A numerical experiment. Appl. Therm. Eng. 2020, 167, 114750. [Google Scholar] [CrossRef]
- Hein, P.; Kolditz, O.; Görke, U.J.; Bucher, A.; Shao, H. A numerical study on the sustainability and efficiency of borehole heat exchanger coupled ground source heat pump systems. Appl. Therm. Eng. 2016, 100, 421–433. [Google Scholar] [CrossRef]
- Witte, F.; Tuschy, I. TESPy: Thermal engineering systems in python. J. Open Source Softw. 2020, 5, 2178. [Google Scholar] [CrossRef]
- Naicker, S.S.; Rees, S.J. Long-term high frequency monitoring of a large borehole heat exchanger array. Renew. Energy 2020, 145, 1528–1542. [Google Scholar] [CrossRef]
- Gultekin, A.; Aydin, M.; Sisman, A. Effects of arrangement geometry and number of boreholes on thermal interaction coefficient of multi-borehole heat exchangers. Appl. Energy 2019, 237, 163–170. [Google Scholar] [CrossRef]
- Cai, W.; Wang, F.; Jiang, J.; Wang, Z.; Liu, J.; Chen, C. Long-Term Performance Evaluation and Economic Analysis for Deep Borehole Heat Exchanger Heating System in Weihe Basin. Front. Earth Sci. 2022, 10, 806416. [Google Scholar] [CrossRef]
- GB 50366-2009; Technical Code for Ground-Source Heat Pump System. China Architecture & Building Press: Beijing, China, 2009.















| Parameter | Value | Unit |
|---|---|---|
| Length of the BHE | 100 | m |
| Diameter of the BHE | 0.125 | m |
| Pipe inner diameter | 0.026 | m |
| Wall thickness of pipe | 0.003 | m |
| Wall thermal conductivity of pipe | 0.4 | W m−1 K−1 |
| Grout density | 2190 | Kg m−3 |
| Grout specific heat capacity | 1735.16 | J Kg−1 K−1 |
| Grout thermal conductivity | 0.656 | W m−1 K−1 |
| Circulating fluid density | 1020 | Kg m−3 |
| Circulating fluid specific heat capacity | 3962 | J Kg−1 K−1 |
| Circulating fluid thermal conductivity | 0.485 | W m−1 K−1 |
| Circulating fluid dynamic viscosity | 0.0024 | Pa s |
| Initial soil temperature | 11.7 | °C |
| Soil density | 1120 | Kg m−3 |
| Soil specific heat capacity | 1780 | J Kg−1 K−1 |
| Soil thermal conductivity | 3.4 | W m−1 K−1 |
| Geothermal gradient | 30 | °C km−1 |
Disclaimer/Publisher’s Note: The statements, opinions and data contained in all publications are solely those of the individual author(s) and contributor(s) and not of MDPI and/or the editor(s). MDPI and/or the editor(s) disclaim responsibility for any injury to people or property resulting from any ideas, methods, instructions or products referred to in the content. |
© 2023 by the authors. Licensee MDPI, Basel, Switzerland. This article is an open access article distributed under the terms and conditions of the Creative Commons Attribution (CC BY) license (https://creativecommons.org/licenses/by/4.0/).
Share and Cite
Zou, H.; Guo, S.; Wang, R.; Wang, F.; Shen, Z.; Cai, W. Numerical Investigation of the Long-Term Load Shifting Behaviors within the Borehole Heat Exchanger Array System. Energies 2023, 16, 2497. https://doi.org/10.3390/en16052497
Zou H, Guo S, Wang R, Wang F, Shen Z, Cai W. Numerical Investigation of the Long-Term Load Shifting Behaviors within the Borehole Heat Exchanger Array System. Energies. 2023; 16(5):2497. https://doi.org/10.3390/en16052497
Chicago/Turabian StyleZou, Haijiang, Siyu Guo, Ruifeng Wang, Fenghao Wang, Zhenxing Shen, and Wanlong Cai. 2023. "Numerical Investigation of the Long-Term Load Shifting Behaviors within the Borehole Heat Exchanger Array System" Energies 16, no. 5: 2497. https://doi.org/10.3390/en16052497
APA StyleZou, H., Guo, S., Wang, R., Wang, F., Shen, Z., & Cai, W. (2023). Numerical Investigation of the Long-Term Load Shifting Behaviors within the Borehole Heat Exchanger Array System. Energies, 16(5), 2497. https://doi.org/10.3390/en16052497

