Research on Microscopic Pore Structure Characteristics and Influencing Factors of Shale Reservoirs: A Case Study of the Second Member of the Permian Lucaogou Formation in Malang Sag, Santanghu Basin
Abstract
1. Introduction
2. Geological Setting
3. Samples and Experimental Methods
3.1. Sample Collection
3.2. Experimental Instruments and Lab Analysis
3.2.1. X-ray Diffraction Analysis
3.2.2. Micro–Nano CT Experiment
3.2.3. Nitrogen Adsorption Experiment
3.2.4. SEM Experiment
3.3. Calculation Model of Fractal Dimension
4. Results
4.1. Rock Mineral Composition Characteristics of Shale Reservoirs
4.2. Characteristics of Pore Types in Shale Reservoir Space
4.3. Microstructure Characteristics of Shale Reservoirs
4.4. Micropore Connectivity of Shale Reservoir
5. Discussion
5.1. Fractal Dimension of Shale Pore
5.2. Effect of Mineral Composition on Microscopic Pore Structure
6. Conclusions
- The mineral composition of shale reservoirs in the study area is dominated by quartz and carbonate minerals, and sandy/argillaceous micritic dolomite is mainly developed. The pore types are mainly intergranular pores of brittle minerals, marginal fractures, intergranular dissolved pores formed by dissolution of carbonate minerals, intragranular dissolved pores, and nano-scale pore throat systems. H3 and H4 hysteresis loops are developed.
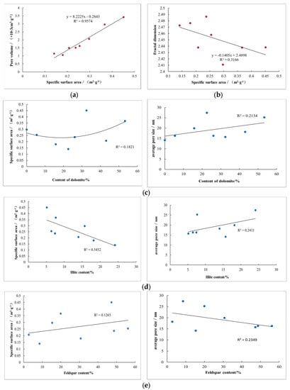
- The specific surface area and pore volumes were small. Micropore volume accounted for 14.95%, mesopore volume accounted for 82.47%, and macropore volume accounted for 2.58%. Mesopores provided the main reservoir space. The specific surface area of micropores, mesopores, and macropores accounted for 32.67%, 67.15%, and 0.18% of the total surface area, respectively. The specific surface areas of micropores and mesopores accounted for more than 99% of the total specific surface areas. Micropores and mesopores with pore diameters less than 50 nm provided most of the pore-specific surface areas, which are the main sites for shale oil and gas adsorption. The fractal dimension D value is between 2.41 and 2.49, and the value is closer to 2, indicating that shale pore distribution is more uniform, mainly for mesoporous pore development.
- The pore volume increases with the increase in specific surface area. In the mineral composition, illite content is negatively correlated with specific surface area and positively correlated with average radius, and feldspar content is negatively correlated with average radius. Clay minerals have undergone a large amount of dissolution, mainly developing macropores and increasing pore size. However, feldspar dissolution is less, and it mainly fills pores. The dolomite content is positively correlated with the specific surface area and the average radius. The higher the dolomite content, the more developed the pores, and the specific surface area and pore size are provided. The pore throats of the samples with high dolomite content are mostly coarse tubular and banded in three-dimensional space, and the connectivity is also good.
Author Contributions
Funding
Data Availability Statement
Conflicts of Interest
References
- Zou, C.N.; Zhu, R.K.; Wu, S.T.; Yang, Z.; Tao, S.Z.; Yuan, X.J.; Hou, L.; Yang, H.; Xu, C.; Wang, L.; et al. Types, characteristics, mechanisms and prospects of conventional and unconventional hydrocarbon accumulation—Taking China’s tight oil and gas as an example. J. Pet. 2012, 33, 173–187. [Google Scholar]
- Jia, C.Z.; Zheng, M.; Zhang, Y.F. China’s unconventional oil and gas resources and exploration and development prospects. Pet. Explor. Dev. 2012, 39, 129–136. [Google Scholar] [CrossRef]
- Zou, C.N.; Yang, Z.; Cui, J.W.; Zhu, R.K.; Hou, L.H.; Tao, S.Z.; Yuan, X.; Wu, S.; Lin, S.; Yao, J.L.; et al. Formation mechanism, geological characteristics and development countermeasures of shale oil. Pet. Explor. Dev. 2013, 40, 14–26. [Google Scholar] [CrossRef]
- Jiang, F.J.; Pang, X.Q.; Ouyang, X.C.; Guo, J.; Jin, C.; Huo, Z.; Wang, Q. Overview of world shale gas research and potential analysis of shale gas resources in China. Geol. Front. 2012, 19, 198–211. [Google Scholar]
- Zou, C.N.; Qiu, Z. The new progress of unconventional oil and gas sedimentology in China. J. Sedimentol. 2021, 39, 1–9. [Google Scholar]
- Zou, C.N.; Zou, C.N.; Yang, Z.; Zhu, R.; Chen, X.; Zhang, X. The important progress of continental petroleum geology theory in central and western basins of China. Oil Explor. Dev. 2018, 45, 546–560. [Google Scholar]
- Zhao, W.Z.; Hu, S.Y.; Hou, L.H.; Yang, T.; Li, X.; Guo, B. Types of continental shale oil, resource potential and boundary with tight oil in China. Pet. Explor. Dev. 2020, 47, 1–10. [Google Scholar] [CrossRef]
- Du, J.H.; Hu, S.Y.; Pang, Z.L.; Lim, S.; Hou, H.; Zhu, K. Types, potentials and prospects of continental shale oil in China. China Pet. Explor. 2019, 24, 560–568. [Google Scholar]
- Ross, D.J.K.; Bustin, R.M. Characterizing the shale gas resource potential of Devonian-Mississippian strata in the Western Canada sedimentary basin: Application of an integrated formation evaluation. AAPG Bull. 2008, 92, 87–125. [Google Scholar] [CrossRef]
- Yang, Z.; Hou, L.H.; Lin, S.H.; Luo, X.; Zhang, L.; Wu, S.; Huo, J. Geological characteristics and exploration potential of tight oil and shale oil in Lucaogou Formation of Jimsar Sag. China Pet. Explor. 2018, 23, 76–85. [Google Scholar]
- Wang, X.W.; Guan, P.; Liang, X.W.; Ding, X.; You, Y.; Zhang, C.; Feng, S.; Zhang, J. Characteristic Analysis of High Quality Shale Oil Reservoirs in Chang 7 Member of Ordos Basin. J. Peking Univ. Nat. Sci. Ed. 2021, 57, 459–469. [Google Scholar]
- Yang, Z.M.; Jiang, H.Q.; Li, S.T.; Zhu, G. Study on characteristic parameters of microscopic pore structure of low permeability gas reservoirs: Taking Sulige and Dina low permeability reservoirs as examples. J. Pet. Nat. Gas 2007, 29, 108–110. [Google Scholar]
- Zhang, S.; Liu, H.M.; Song, G.Q.; Wang, Y.; Chen, S.; Zhan, S.P. Genesis and controlling factors of shale oil reservoir space in Dongying Sag. Pet. J. 2016, 12, 1495–1507. [Google Scholar]
- Yang, F.; Ning, Z.F.; Hu, C.P.; Wang, B.; Peng, K.; Liu, H. Shale reservoir microscopic pore structure characteristics. Pet. J. 2013, 34, 301–311. [Google Scholar]
- Wei, P.F.; Zhang, J.C.; Long, S.; Peng, J.L.; Deng, E.D.; Lv, Y.N.; Ma, Y.L. Micropore structure and main controlling factors of shale development of Longmaxi Formation in Sichuan Basin and surrounding areas. China Pet. Explor. 2016, 21, 42–51. [Google Scholar]
- Li, W.B.; Jiang, Z.X.; Li, Z.; Chen, Z.; Wang, P. The microscopic pore structure characteristics and control factors of shale in southeast Chongqing. Spec. Reserv. 2016, 23, 50–54. [Google Scholar] [CrossRef]
- Huang, L.; Shen, W. Analysis of pore development characteristics and main controlling factors of shale gas reservoirs: A case study of Longmaxi Formation in Upper Yangtze area. Geol. Front. 2015, 22, 374–385. [Google Scholar]
- Chalmers, G.R.; Bustin, R.M.; Power, I.M. Characterization of gas shale pore systems by porosimetry pycnometry surface area and field emission scanning electron microscopy /transmission electron microscopy image analyses: Examples from the Barnett, Woodford, Haynesville, Marcellus, and Doig units. AAPG Bulletin 2012, 96, 1099–1119. [Google Scholar] [CrossRef]
- Liu, G.H.; Huang, Z.L.; Guo, X.B.; Liu, Z.Z.; Gao, X.Y.; Chen, C.C.; Zhang, C.L.; Wang, X. Occurrence and genesis of SiO2 in shale series of Middle Permian Lucaogou Formation in Malang Sag, Santanghu Basin, Xinjiang. Geology 2016, 90, 1220–1235. [Google Scholar]
- Si, K.L.; Cao, Y.C.; Zhu, R.K.; Shao, Y.; Xue, X.J.; Wang, X. Rock types and characteristics of tight oil reservoirs of Permian Lucaogou Formation in Jimsar Sag. Pet. J. 2015, 36, 1495–1507. [Google Scholar]
- Huang, S.J.; Huang, K.K.; Feng, W.L.; Tong, H.; Liu, L.; Zhang, X. Material exchange and secondary pore formation between feldspar, kaolinite, and illite during diagenesis: A study from Upper Paleozoic in Ordos Basin and Triassic Xujiahe Formation in Western Sichuan Depression. Geochemistry 2009, 38, 498–506. [Google Scholar]
- Sing, K.S.W.; Everett, D.H.; Haul, R.A.W.; Moscou, L.; Pierotti, R.A.; Rouquerol, J.; Siemieniewska, T. Reporting physisorption data for gas/solid systems with special reference to the determination of surface area and porosity (Recommendations 1984). Pure Appl. Chem. 1985, 57, 603–619. [Google Scholar] [CrossRef]
- Milliken, K.L.; Rudnicki, M.; Awwiller, D.N.; Zhang, T.W. Organic matter-hosted pore system, Marcellus Formation (Devonian), Pennsylvania. AAPG Bull. 2013, 97, 177–200. [Google Scholar] [CrossRef]
- Yu, B.S. Pore classification and characterization of shale gas reservoirs. Geol. Front. 2013, 20, 211–220. [Google Scholar]
- Mastalerz, M.; Schimmelmann, A.; Drobniak, A.; Chen, Y. Porosity of Devonian and Mississippian New Albany Shale across a maturation gradient: Insight from organic petrology, gas adsorption, and mercury intrusion. AAPG Bull. 2013, 97, 1621–1643. [Google Scholar] [CrossRef]
- Wang, X.; Hou, J.; Li, S.; Dou, L.; Song, S.; Kang, Q.; Wang, D. Insight into the nanoscale pore structure of organic-rich shales in the Bakken Formation, USA. J. Pet. Sci. Eng. 2020, 191, 107–182. [Google Scholar] [CrossRef]
- Wu, Y.; Tahmasebi, P.; Lin, C.; Zahid, M.A.; Dong, C.; Golab, A.N.; Ren, L. A comprehensive study on geometric, topological and fractal characterizations of pore systems in low-permeability reservoirs based on SEM, MICP, NMR, and X-ray CT experiments. Mar. Pet. Geol. 2019, 103, 12–28. [Google Scholar] [CrossRef]
- Yang, C.; Zhang, J.C.; Tang, X. Ordos Basin continental shale micro pore type and its influence on shale gas storage and permeability. Geol. Front. 2013, 20, 240–250. [Google Scholar]
- Thyne, G.; Boudreau, B.P.; Ramm, M.; Midtbø, R.E. Simulation of potassium feldspar dissolution and illitization in the Statfjord formation, North Sea. AAPG Bull. 2001, 85, 621–635. [Google Scholar]
- Zhao, P.; Li, X.Q.; Tian, X.W. Micropore structure characteristics of shale gas reservoirs in Longmaxi Formation in southern Sichuan. Nat. Gas Earth Sci. 2014, 25, 947–956. [Google Scholar]
- Loucks, R.G.; Reed, R.M.; Ruppel, S.C.; Hammes, U. Spectrum of pore types and networks in mudrocks and a descriptive classification for matrix-related mudrock pores. AAPG Bull. 2012, 96, 1071–1098. [Google Scholar] [CrossRef]
- Medek, J.; Weishauptová, Z. The microporous phase of carbonaceous substances and its fractal dimension. Fuel 2000, 79, 1621–1626. [Google Scholar] [CrossRef]












| H1 | H2 |
|---|---|
![]() ![]() | ![]() ![]() ![]() ![]() |
| H3 | H4 |
![]() ![]() | ![]() ![]() |
| Samples | Specific Surface Area (m2·g−1) | Average Pore Diameter (nm) | Total Pore Volume (cm3·g−1) |
|---|---|---|---|
| L1 | 0.2972 | 14.1670 | 2.060 |
| L2 | 0.2547 | 16.2743 | 1.620 |
| L3 | 0.1794 | 19.9069 | 1.057 |
| L4 | 0.1410 | 27.4237 | 1.144 |
| L5 | 0.2369 | 16.2914 | 1.512 |
| L6 | 0.4510 | 15.7213 | 3.422 |
| L7 | 0.2077 | 18.1771 | 1.499 |
| L8 | 0.3664 | 25.2121 | 2.961 |
| Sample Number | Scanning Resolution/μm | Calculate Porosity/% | Average Pore Radius/μm | Number of Pores | Pore Volume/μm3 | Throat Average Length/μm | Connected Volume Percentage/% |
|---|---|---|---|---|---|---|---|
| L1 | 0.95 | 1.84 | 1.85 | 6674 | 248,164.56 | 8.67 | 0.46 |
| L5 | 0.97 | 4.60 | 4.92 | 13,033 | 996,556.63 | 18.74 | 16.22 |
| L8 | 0.97 | 11.92 | 3.09 | 55,555 | 9,174,542.24 | 47.20 | 67.85 |
| Sample Number | Fractal Fitting Equation | Correlation Coefficient | Fractal Dimension |
|---|---|---|---|
| L1 | y = −0.5891x − 2.303 | 0.9933 | 2.4109 |
| L2 | y = −0.5421x − 2.4531 | 0.9939 | 2.4579 |
| L3 | y = −0.5236x − 2.8818 | 0.9778 | 2.4764 |
| L4 | y = −0.5273x − 3.1073 | 0.9667 | 2.4727 |
| L5 | y = −0.5134x − 2.5294 | 0.9941 | 2.4866 |
| L6 | y = −0.5618x − 1.9388 | 0.9894 | 2.4382 |
| L7 | y = −0.5621x − 2.6621 | 0.9937 | 2.4379 |
| L8 | y = −0.5623x − 2.1949 | 0.978 | 2.4377 |
Disclaimer/Publisher’s Note: The statements, opinions and data contained in all publications are solely those of the individual author(s) and contributor(s) and not of MDPI and/or the editor(s). MDPI and/or the editor(s) disclaim responsibility for any injury to people or property resulting from any ideas, methods, instructions or products referred to in the content. |
© 2023 by the authors. Licensee MDPI, Basel, Switzerland. This article is an open access article distributed under the terms and conditions of the Creative Commons Attribution (CC BY) license (https://creativecommons.org/licenses/by/4.0/).
Share and Cite
Zhang, X.; Wang, D.; Zhang, L.; Xing, Y.; Zhang, Y.; Wang, W.; Liu, Y.; Mao, H. Research on Microscopic Pore Structure Characteristics and Influencing Factors of Shale Reservoirs: A Case Study of the Second Member of the Permian Lucaogou Formation in Malang Sag, Santanghu Basin. Energies 2023, 16, 2453. https://doi.org/10.3390/en16052453
Zhang X, Wang D, Zhang L, Xing Y, Zhang Y, Wang W, Liu Y, Mao H. Research on Microscopic Pore Structure Characteristics and Influencing Factors of Shale Reservoirs: A Case Study of the Second Member of the Permian Lucaogou Formation in Malang Sag, Santanghu Basin. Energies. 2023; 16(5):2453. https://doi.org/10.3390/en16052453
Chicago/Turabian StyleZhang, Xuejuan, Dandan Wang, Lei Zhang, Yabing Xing, Yi Zhang, Weiming Wang, Yinglin Liu, and Hongping Mao. 2023. "Research on Microscopic Pore Structure Characteristics and Influencing Factors of Shale Reservoirs: A Case Study of the Second Member of the Permian Lucaogou Formation in Malang Sag, Santanghu Basin" Energies 16, no. 5: 2453. https://doi.org/10.3390/en16052453
APA StyleZhang, X., Wang, D., Zhang, L., Xing, Y., Zhang, Y., Wang, W., Liu, Y., & Mao, H. (2023). Research on Microscopic Pore Structure Characteristics and Influencing Factors of Shale Reservoirs: A Case Study of the Second Member of the Permian Lucaogou Formation in Malang Sag, Santanghu Basin. Energies, 16(5), 2453. https://doi.org/10.3390/en16052453











