Abstract
The increased use of plastics has seen the emergence of microplastics, which have become progressively more problematic. Although many degradation studies have been conducted to address the problem of microplastics, their impact has not been significant, and much time has been consumed. In this study, low-density polyethylene (LDPE) was degraded using a dielectric barrier discharge (DBD) plasma under various electrical conditions. The experimental results showed that after 120 min of treatment, the removal efficiency reached 5.44%, the carbonyl index (CI) was 1.7308, and the O/C ratio was 0.028. The degree of degradation shown in previous studies was achieved rapidly, and experimental results showed that the degree of LDPE degradation and energy yield was proportional to the voltage and frequency—more specifically, the degree of LDPE surface and internal degradation differed, which should be considered in terms of reducing the extent of mass loss. The results of this study should be helpful for future studies on microplastic degradation using DBD techniques.
1. Introduction
Plastic is a ubiquitous material, widely used in commerce and industry due to its excellent chemical stability, lightweight, high durability, and low cost. Global plastic production has increased annually—from 1.5 million tons in 1950 to 359 million tons in 2018. In particular, 52 billion disposable masks were produced in 2020 due to the COVID-19 pandemic, with plastic production increasing accordingly [1,2]. Based on the increase in plastic production, the proliferation of microplastics (MPs) has emerged as a serious environmental problem. MPs are small (<5 mm) plastic particles that result from larger pieces of broken plastic or from the manufacturing process itself, allowing them to migrate over long distances under the action of wind and ocean currents [3,4]. To date, large volumes of MPs have been detected in the oceans, rivers, land, and atmosphere, and due to their small size, they either directly or indirectly harm the human body through inhalation or via the food chain [5]. Consequently, an appropriate method for addressing the problem of MPs is needed.
Most current plastic treatment methods—such as incineration and landfills—release toxic chemicals and exacerbate secondary environmental problems. Despite the fact that plastic recycling methods are an excellent solution to this problem, the current rate of plastic recycling is poor—for example, polyethylene terephthalate (PET) has the highest rate of plastic recycling (19.5%), whereas less than 10% of other plastics are recycled. To make matters worse, low-density polyethylene (LDPE) and polyvinyl chloride (PVC) are currently not recyclable [6,7,8]. Moreover, their large plastic product disposal and recycling methods are unsuitable for microplastic (MP) treatment.
Today, representative MP treatment methods include separation and degradation. MP separation methods—including adsorption, coagulation, flotation, filtration, and magnetic separation—are rapid and effective [9,10,11,12,13,14,15,16]. However, these methods just separate MPs and do not eliminate them. Consequently, MP degradation studies—such as electrochemical, advanced oxidation process (AOP), photocatalytic, biological, and electrical discharge plasma studies—have been conducted [17,18,19,20,21,22,23,24,25,26]. Degradation methods decompose MPs into smaller particles by breaking chemical bonds, which could fundamentally solve the MP problem. Among the various degradation methods, the plasma discharge method is the primary focus of the present study because of its many advantages—including its more rapid treatment times and the absence of secondary leakage problems [27].
Electrical discharge plasma—an advanced oxidation technology with high efficiency and environmental friendliness—has received much attention in the fields of contaminant degradation and material modification [28]. When electrical discharge plasma ionizes the air, it produces reactive oxygen species (ROS)—such as −OH, and O3—with energetic electrons and ions, UV irradiation, and temperature pyrolysis occurring simultaneously with the ROS generation. ROS can quickly break the chemical bonds of MPs—which consist of C-H bonds—resulting in CO2 and H2O [29,30]. Additionally, UV, energetic electrons and ions and heat all initiate MP degradation by breaking the C-H bonds to form polymer radicals [31]. Consequently, electrical discharge plasma—which combines many MP decomposition characteristics—is assumed to be an ideal technique for treating MPs.
In this study, the removal of MPs by electrical discharge plasma degradation was investigated. A dielectric barrier discharge (DBD) reactor was used to create the plasma and decompose the MPs. DBD can generate uniform and stable plasma using the memory effect, producing more ROS, making it more suitable for practical applications than other types of reactors. LDPE, which is used in plastic bags, wrapping films, and many other disposable products, was chosen to be the target MP, the degree of LDPE degradation being examined under various electrical conditions. In addition to mass change, surface scanning electron microscopy (SEM), Fourier transform infrared spectroscopy (FTIR), and element analysis (EA) were used to determine the overall degree of degradation. Furthermore, the DBD reactor change due to internal LDPE decomposition and the energy yield of LDPE particle degradation compared to input energy were calculated.
2. Materials and Methods
2.1. Experimental Setup
Figure 1 shows a schematic of the MP removal equipment and experimental setup using DBD plasma. Ceramic dielectrics are affixed to stainless plate electrodes, and a perforated rectangular glass with a diameter of 50 mm is placed between the two dielectrics to fix the gap and position the LDPE. The diameter of the circular electrode was 50 mm, and its thickness was 5 mm. The discharge gap (height of the glass) was 4 mm. The thickness of the rectangular ceramic dielectric was 0.64 mm, its size being sufficiently larger than the electrode itself. The power supply consists of an AC power supply (PS-61005, APSPOWER Co., Ltd., New Taipei City, Taiwan) and a high-voltage transformer (220 V/40 kV, KYUNG BUK TRANS Co., Daegu, Republic of Korea). Voltage measurements across the electrode are obtained using an AC high-voltage probe (P6015A, TEKTRONIX, Beaverton, OR, USA) and oscilloscope (TDS2024B, TEKTRONIX). Charge-voltage (Q-V) Lissajous curves are obtained using a probe capacitor (100 nF) connected in series with the electrodes.
Figure 1.
Schematic of the experimental setup.
2.2. Experimental Methods
The prepared LDPE particle size was 149 um. A structure combining electrodes and dielectrics was assembled, and 0.05 g of LDPE was placed on a ceramic dielectric. An AC voltage was applied for a maximum of 120 min, to calculate the removal efficiency, the mass of the LDPE being weighed every 20 min. To calculate the power requirements, Q-V Lissajous curves were also measured every 20 min. The voltage and frequency range applied using the high voltage supply was 12–15 kV and 50–100 Hz. Other than mass change, the degree of LDPE degradation remaining after treatment was also measured by SEM, FTIR, and EA.
3. Results and Discussion
3.1. Characteristics of the DBD Reactor
The characteristics of the DBD reactor for removing microplastics based on the applied voltage and frequency were examined because they affect the production of the MPs decomposition factor. Figure 2 shows an image of the discharge when a 15 kV 100 Hz voltage is applied. It is evident that the discharge plasma is actively generated, and ultraviolet rays are also confirmed.
Figure 2.
Image of the DBD plasma at 15 kV 100 Hz.
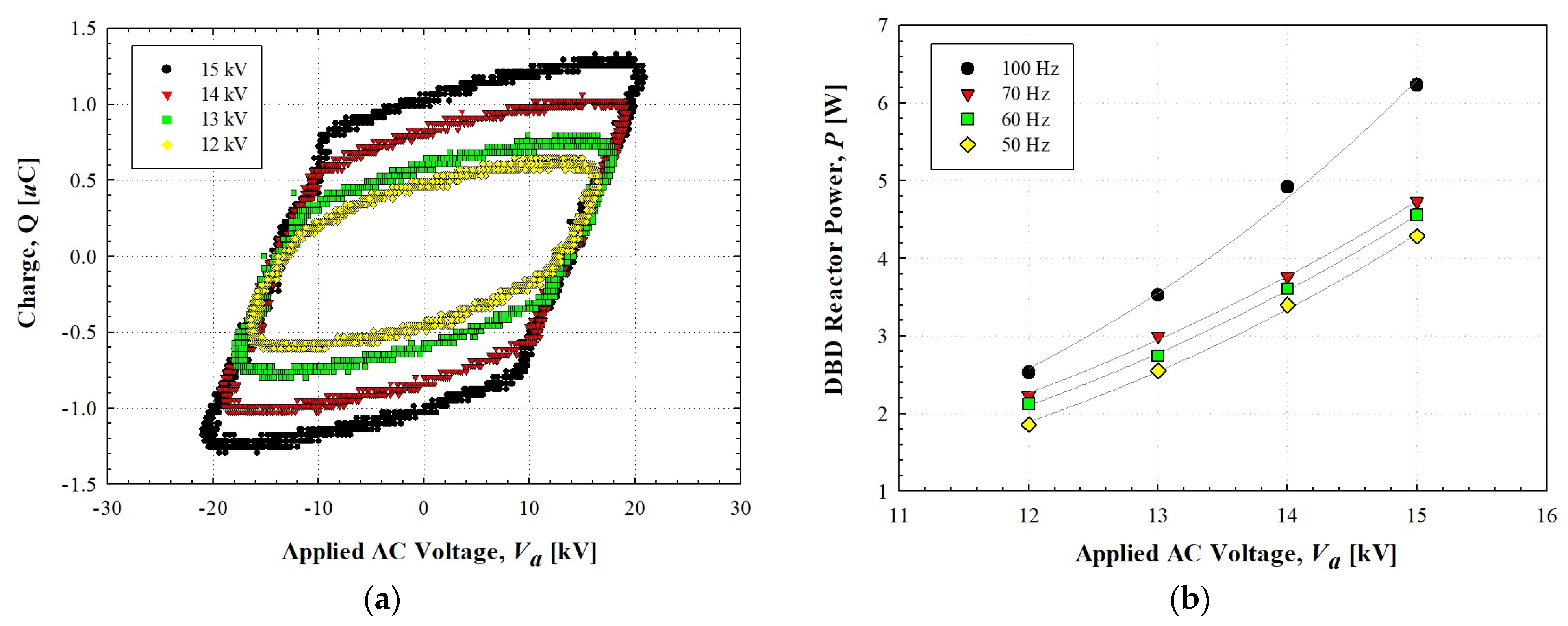
Figure 3a shows the Q − Lissajous curve based on the applied voltage at 100 Hz. As the applied voltage increases, the generated charge and horizontal length—which represent the maximum value of the applied voltage—increase. The DBD reactor power can be calculated using the area of the Q − V Lissajous curve or Equation (1), as follows:
where P denotes the DBD reactor power [W], denotes the DBD reactor energy [J],denotes the frequency [Hz], denotes the probe capacitor [nF], denotes the applied voltage [kV], and Q denotes the charge [].
Figure 3.
(a) Q-V Lissajous curve based on the applied voltage at 100 Hz (b) P- graph by frequency.
Figure 3b shows the P- graph by frequency. The DBD reactor power can be calculated using Equation (1). As the voltage and frequency increase, the power increases—as shown in Equations (2) and (3), it is proportional to the 3.5 power of the voltage and the 0.5 power of the frequency. These results are in agreement to a certain extent with previous studies [32].
3.2. Mass Change Analysis
Figure 4a shows the –treatment time graph by an applied voltage. can be calculated using Equation (4). Most of the values are less than 1% when treatment is done for 20 min, but increase continuously over time—for example, in the 15-kV case, when treatment is done for 120 min, up to 5.44% is removed. However, in the 12-kV case, it is only 2.2%, even after treatment for 120 min. This is because whereas a discharge occurs even at 12 kV, it is weak, as can be confirmed by the difference in charge volume in the Lissajous curve (Figure 3a) and the calculated power (Figure 3b). Additionally, it is evident that the longer the treatment time, the more gradual the slope of LDPE particle removal becomes. Figure 4b shows the –treatment time graph by frequency. The particle removal efficiency based on the frequency shows a similar pattern to that of Figure 4a. Although this also continuously increases with time, the slope becomes relatively gentler as the treatment time increases. Moreover, the greater the applied power, the greater the amount of removal. It is believed that the reason for the change in slope is that the surface is modified as the LDPE particles degrade, the analysis of which will be discussed later.
where m denotes the initial mass of LDPE, and denotes the mass of LDPE at the treated time.
Figure 4.
(a) –treatment time graph by applied voltage (b) –treatment time graph by frequency.
3.3. Changes in the LDPE Properties
3.3.1. FTIR Analysis
FTIR was used to examine the changes in the functional groups of LDPE over time, the results of which are shown in Figure 5. For pure LDPE, the peak located at 2914 cm−1 arises from the asymmetric stretching of CH2, the peak at 2848 cm−1 arises from the symmetric stretching of CH2, the peak at 1470 cm−1 was bending deformation, and the peak at 718 cm−1 is from the CH2 rocking deformation [33]. Compared with pure LDPE, new peaks after treatment are evident at 1715, 1630, 1278, 1187, and 861 cm−1—that is, peaks corresponding to C=O stretching at 1715 cm−1 and C=C stretching at 1630 cm−1, C-O stretching at 1278 and 1187 cm−1, and C-O-H deformation at 861 cm−1—which could be due to the carbonyl group [23,34,35,36]. Furthermore, it is evident that a slight intensity increase in the -OH stretching region of the hydroxylic group (3050–3570 cm−1) is due to a hydroperoxide and alcohol formation during the DBD plasma treatment [37]. A list of the above contents is summarized and shown in Table 1. The intensities of these peaks continue to increase as the treatment time increases. This result confirms that the LDPE surface is oxidized, and O-containing functional groups are produced by the DBD plasma [25].
Figure 5.
FTIR spectra of LDPE at different treatment times.
Table 1.
List of band assignments for FTIR spectra.
The carbonyl index (CI) is generally used to characterize the degradation degree of plastics and can be calculated based on the absorbance ratio of the carbonyl (C=O) peak from 1850 to 1650 cm−1 and that of the methylene (CH2) scissoring peak from 1500 to 1420 cm−1 in the FTIR spectrum [38]. To calculate the CI, we converted the transmittance graph into an absorbance graph using Spectragryph software to establish a baseline, calculated using Equation (5) as follows:
The inset of Figure 5 shows the CI results based on the treatment time when a voltage of 15 kV 100 Hz is applied. After the first 10 min, measurements are taken every 40 min, the results being as follows: in the case of pure LDPE, the CI is 0.1993, the value gradually increasing to 1.7308 when treatment is done for 120 min. During the initial treatment of 0 to 40 min, the CI increases rapidly, after which its value is proportional to the treatment time, although the increase is not large. Table 2 shows the results of comparing microplastic degradation results through various technologies. Compared to other methods, a rapid and considerable increase in both the removal efficiency and CI is evident after the discharge plasma aging treatment [38,39,40].
Table 2.
An overview of microplastic degradation utilizing various techniques in recent years.
Figure 6 shows the FTIR graph and CI based on the electrical conditions. Figure 6a is the FTIR graph of the LDPE treated for 120 min under different voltage conditions at a frequency of 100 Hz. The new peak generated as a result of DBD plasma treatment is similar to that shown in Figure 5. However, the intensity differs slightly, the degree of degradation being confirmed through the CI. As a result of treatment for 120 min at each voltage, the CI is approximately 1.2 when a 12,13-kV voltage is applied. This is considered to be because DBD occurs from a low voltage of approximately 11 kV, but does not occur strongly at 12 and 13 kV. The results also show that the CI increases as the applied voltage are raised to 14 and 15 kV.
Figure 6.
(a) FTIR spectra of LDPE at different (b) FTIR spectra of LDPE at different frequencies.
Figure 6b shows the FTIR graph of the LDPE treated for 120 min under different frequency conditions at a voltage of 15 kV. Even when the frequency changes, the new peak is the same, with the intensity of the peak increasing as the frequency increases. The CI results also increase in proportion to the frequency, the increase being similar to the power increase based on the frequency, as shown in Figure 3b. Consequently, through mass changes and FTIR analyses, it is evident that the degree of degradation of LDPE is related to power to some extent. Figure 7 shows how chemical changes occur during plasma treatment, with new peaks arising from the FTIR analysis.
Figure 7.
Chemical bonds changed during plasma treatment.
3.3.2. SEM Analysis
Figure 8 is a picture of the analysis of the surface morphology change of LDPE treated with DBD plasma through SEM pictures. Figure 8a is the surface of pure LDPE without plasma treatment, and Figure 8b shows the surface of the LDPE treated for 120 min by applying a 15 kV 100 Hz voltage. The pure LDPE without plasma treatment has a relatively smooth surface, but after treatment, it has a very rough surface—that is, the surface of the LDPE is attacked by the discharge plasma. Ultraviolet rays, heat, ROS (such as -OH radicals, and O3), energetic electrons, and ions generated through the DBD plasma break the LDPE C-H, and C-C bonds, creating cracks on the surface and breaking them into smaller particles. This result is consistent with the results of previous polyethylene and polypropylene degradation studies [47].
Figure 8.
SEM images of LDPE samples at different treatment times (a) pure LDPE (b) 120 min.
3.3.3. Elemental Analysis
In plastic degradation studies, it is necessary to determine the degree of degradation both on the surface of the plastic and internally. In addition to mass, FTIR, and SEM analyses, the O/C ratio can be used to determine the degree of degradation. In previous studies, XPS analysis was performed to obtain the O/C ratio [25,48]. However, in this study, the O/C ratio was analyzed by examining the components of the degraded plastic using an elemental analyzer. The elemental analyzer burns an organic sample using a catalyst at a high temperature (approximately 950 °C) and separates and detects the generated gas to determine the compositional ratio of the sample.
Table 3 shows the results of elemental analysis by treatment time when a 15-kV 100-Hz voltage is applied. As the treatment time increases, the ratio of carbon to hydrogen decreases, and the ratio of oxygen increases. This is the result of C-H and C-C bonds being broken by the DBD plasma before combination with oxygen to create carbonyl groups, consistent with the results of previous studies [25,42]. The proportion of nitrogen also increases slightly, which is thought to be due to nitrogen in the air being bound to the LDPE carbon chain by the DBD plasma.
Table 3.
Element analysis of LDPE at different treatment times.
As the treatment time increases, the O/C ratio increases proportionally—moreover, in the case of pure LDPE, it increases considerably from 0.0128 to 0.028 when treatment is done for 120 min. This is a phenomenon caused by a decrease in the C ratio and an increase in the O ratio, confirming that the existing LDPE bond is broken, oxygen being newly combined as time increases.
However, this result does not agree with the FTIR analysis of the LDPE. Based on the CI calculated as a result of the FTIR analysis above, it is evident that the carbonyl group has more bonds than the methylene group. It is believed that this difference is caused by the relatively low degree of decomposition within the LDPE particles compared to their surface.
3.4. Degradation Efficiency Compared to Energy
Although the DBD plasma degradation method consumes less power and has a shorter treatment time than other methods, it is essential to examine the degree of degradation versus power because MP degradation takes place over a period of several hours. Consequently, in this section, the degree of degradation of the LDPE compared to power is examined.
3.4.1. Electrical Characteristics over Time
Figure 9 shows a Lissajous curve measured every 20 min by applying a 15-kV 100-Hz voltage after inputting 0.05 g of LDPE. The DBD plasma occurs strongly immediately after particle input, with a maximum charge of up to 1.8 uC. However, as the treatment time increases, the maximum charge gradually decreases and the size of the Lissajous curve gradually decreases. This is considered to be because of changes in the permittivity due to the deterioration of the LDPE particles inside the DBD reactor and changes in particle arrangement—this causes a change in the capacitance of the DBD reactor, which can be confirmed by the fact that the slope of the Lissajous curve becomes gentler, as shown in Figure 9.
Figure 9.
Q-V Lissajous curve based on treatment time at 15 kV 100 Hz.
Figure 10 shows the power changes with treatment time. Figure 10a shows the power by treatment time based on the voltage at 100 Hz, as calculated using Equation (1). As shown in Figure 9, the power decreases as the size of the Lissajous curve decreases over time, this feature being the same at all voltages. During the period 0–40 min, which is a relatively short treatment time, the power is rapidly reduced, the amount of reduction thereafter being relatively small. Additionally, the initial decrease is larger at the relatively high voltages of 14 and 15 kV, supporting the suggestion that it is related to the treatment of the inner LDPE particles described above.
Figure 10.
(a) P-treatment time graph based on the voltage at 100 Hz (b) P-treatment time graph based on the frequency at 15 kV.
Figure 10b shows the power by treatment time based on the frequency at 15 kV, calculated using Equation (1). Figure 10b also shows similar results to those shown in Figure 10a—that is, a large decrease in power during the period 0–40 min, after which a relatively smaller decrease is evident. However, in the case of relatively low frequencies—such as 50 and 60 Hz—there is a continuous decrease, which can be considered to be because the plastic particles are treated with relatively low energy and are less affected by the DBD reactor internal changes caused by rapid decomposition. The change in power due to the decomposition of the internal plastic, as shown in Figure 9 and Figure 10, requires further study.
3.4.2. Mass Change Compared to Energy
To evaluate the mass change compared to energy, the M energy yield—which reflects the amount of LDPE removed (g) per unit consumed energy (Wh)—can be calculated using Equations (6) and (7), as follows:
where denotes the DBD reactor energy consumption [Wh], denotes the DBD reactor power [W], T denotes the treatment time [min], m denotes the initial mass of LDPE [g], and denotes the mass of LDPE at the treated time [g].
Figure 11a shows the M energy yield by treatment time based on the voltage at 100 Hz. As the applied voltage increases, the M energy yield also increases. Additionally, in the case of 15 kV, the M energy yield does not decrease greatly even if the treatment time increases; however, in the 14-, 13-, and 12-kV cases, the value decreases as the treatment time increases. In particular, they show maximum efficiency when treatment is done for approximately 40 min before gradually decreasing. This means that the efficiency decreases as the treatment time increases if the applied voltage is low. When a voltage of 15 kV is applied, the efficiency increases over a relatively long period, exhibiting maximum efficiency at 80 min, showing a tendency to decrease thereafter. Consequently, although the higher the voltage, the higher the power consumption, considering the removal efficiency and M energy yield, it seems desirable to treat the MPs at the highest voltage.
Figure 11.
(a) M energy yield by treatment time based on the voltage at 100 Hz (b) M energy yield by treatment time based on the frequency at 15 kV.
Figure 11b shows the M energy yield by treatment time based on the frequency at 15 kV. As shown in Figure 11a, the higher the frequency, the higher the M energy yield. Efficiency increases as the treatment time increases, peaking after approximately 80 min, before decreasing. Unlike the low-voltage case—which exhibits a maximum value when the treatment time is relatively short—it shows a similar pattern to the application of the 15-kV 100-Hz voltage, even if the frequency changes. However, when the frequency is low, it is evident that the efficiency is low during short treatment times. Consequently, when considering Figure 11, the shape of the M energy yield graph depends on voltage rather than frequency—that is, the higher the voltage and frequency applied, the higher the M energy yield. Moreover, the higher the applied voltage, the less the M energy yield decline over time.
3.4.3. Carbonyl Index (CI) Change Compared to Energy
To evaluate the CI change compared to energy, the C energy yield—which reflects the CI change per unit consumed energy (Wh)—can be calculated using Equations (6) and (8), as follows:
where denotes the carbonyl index, denotes the pure LDPE carbonyl index, and denotes the DBD reactor energy consumption [Wh].
Figure 12 shows the C energy yield under various conditions—namely, treatment time, voltage, and frequency, the values being calculated using Equations (6) and (8). The left group shows the C energy yield over treatment time when a 15-kV 100-Hz voltage is applied. It is relatively high, at approximately 0.21, until the initial 40 min, after which it decreases, reaching 0.11 after 120 min of treatment. This means that LDPE surface oxidation actively occurs in a relatively short time, with the C energy yield decreasing as the treatment time increases. This is in contrast to the M energy yield result shown in Figure 11, which is thought to be because, as described above, the surface of the LDPE is analyzed using FTIR, and the overall change is measured using mass change.
Figure 12.
C energy yield graph under various conditions.
The middle group shows the C energy yield when treated under different voltage conditions at 100 Hz for 120 min. In the voltage range of 13–15 kV, as the applied voltage increases, the C energy yield also increases. In the 12-kV case, the C energy yield deviates from the trend by approximately 0.1, indicating that it is also high at low voltages in surface oxidation treatment. However, when considering the absolute decomposition, applying the highest possible voltage demonstrates good results.
The right group shows the C energy yield when treated under different frequency conditions at 15 kV for 120 min. Applying low-frequency results in low absolute surface throughput and a low C energy yield. The 50-, 60-, and 70-Hz cases all show values of approximately 0.9, there being no significant differences. Consequently, as shown in Figure 12, the higher the voltage and frequency, the better the C energy yield, and the longer the treatment time, the worse the C energy yield.
4. Conclusions
Plastic has become so inexpensive and convenient that it is inseparable from daily life. Accordingly, plastic production continues to increase, exacerbating the problem of MPs. In this study, the degradation of LDPE using DBD plasma near commercial frequencies was examined. The degree of LDPE degradation was measured based on the treatment time under various voltage and frequency conditions. The degree of degradation was measured through mass change, FTIR, and EA. As a result, in a relatively short time of 120 min, degradation at the level of previous studies was achieved with a mass reduction of 5.44%, a carbonyl index of 1.7308, and an O/C ratio of 0.028 at maximum voltage and frequency. The longer the treatment time and the higher the voltage and frequency applied, the higher the degree of degradation. Additionally, the energy yield also increased with voltage and frequency and was highest at the maximum applied voltage and frequency of 15 kV 100 Hz. However, in the case of the LDPE surface, it was evident that there was a difference in the degree of degradation between the surface and interior of the MPs—such as the surface degrading in a relatively short time and the C energy yield decreasing as the treatment time increased. Consequently, the mass change after treatment has not yet been greatly reduced to 5.44%, and future research is needed to increase the mass loss by decomposing the inside of MPs. In addition, since organic gas is generated as a by-product of the degradation of MPs, future research is needed to measure and capture it.
Author Contributions
Conceptualization, S.-H.K. and U.-H.Y.; methodology, S.-H.K.; software, S.-H.K.; validation, S.-H.K., U.-H.Y. and J.-G.K.; formal analysis, S.-H.K.; investigation, S.-H.K. and U.-H.Y.; resources, S.-H.K. and U.-H.Y.; data curation, S.-H.K.; writing—original draft preparation, S.-H.K., U.-H.Y. and J.-G.K.; writing—review and editing, S.-H.K., U.-H.Y. and J.-G.K.; visualization, S.-H.K.; supervision, J.-G.K.; project administration, J.-G.K.; funding acquisition, J.-G.K. All authors have read and agreed to the published version of the manuscript.
Funding
This research was supported by Basic Science Research Program through the National Research Foundation of Korea (NRF) funded by the Ministry of Education(2021R1I1A3044237).
Data Availability Statement
The authors confirm that the data supporting the findings of this study are available within the article.
Conflicts of Interest
The authors declare no conflict of interest.
References
- Shanmugam, V.; Das, O.; Neisiany, R.E.; Babu, K.; Singh, S.; Hedenqvist, M.S.; Berto, F.; Ramakrishna, S. Polymer Recycling in Additive Manufacturing: An Opportunity for the Circular Economy. Mater. Circ. Econ. 2020, 2, 11. [Google Scholar] [CrossRef]
- Mehran, M.T.; Raza Naqvi, S.; Ali Haider, M.; Saeed, M.; Shahbaz, M.; Al-Ansari, T. Global Plastic Waste Management Strategies (Technical and Behavioral) during and after COVID-19 Pandemic for Cleaner Global Urban Life. Energy Sources Part A Recovery Util. Environ. Eff. 2021, 1–10. [Google Scholar] [CrossRef]
- Cole, M.; Lindeque, P.; Halsband, C.; Galloway, T.S. Microplastics as Contaminants in the Marine Environment: A Review. Mar. Pollut. Bull. 2011, 62, 2588–2597. [Google Scholar] [CrossRef] [PubMed]
- Kumar, R.; Sharma, P.; Manna, C.; Jain, M. Abundance, Interaction, Ingestion, Ecological Concerns, and Mitigation Policies of Microplastic Pollution in Riverine Ecosystem: A Review. Sci. Total Environ. 2021, 782, 146695. [Google Scholar] [CrossRef]
- Lee, Q.Y.; Li, H. Photocatalytic Degradation of Plastic Waste: A Mini Review. Micromachines 2021, 12, 907. [Google Scholar] [CrossRef]
- Yang, N.; Zhang, H.; Chen, M.; Shao, L.-M.; He, P.-J. Greenhouse Gas Emissions from MSW Incineration in China: Impacts of Waste Characteristics and Energy Recovery. Waste Manag. 2012, 32, 2552–2560. [Google Scholar] [CrossRef]
- Zhang, F.; Zhao, Y.; Wang, D.; Yan, M.; Zhang, J.; Zhang, P.; Ding, T.; Chen, L.; Chen, C. Current Technologies for Plastic Waste Treatment: A Review. J. Clean. Prod. 2021, 282, 124523. [Google Scholar] [CrossRef]
- Rahimi, A.; García, J.M. Chemical Recycling of Waste Plastics for New Materials Production. Nat. Rev. Chem. 2017, 1, 46. [Google Scholar] [CrossRef]
- Ganie, Z.A.; Khandelwal, N.; Tiwari, E.; Singh, N.; Darbha, G.K. Biochar-Facilitated Remediation of Nanoplastic Contaminated Water: Effect of Pyrolysis Temperature Induced Surface Modifications. J. Hazard. Mater. 2021, 417, 126096. [Google Scholar] [CrossRef]
- Ramirez Arenas, L.; Ramseier Gentile, S.; Zimmermann, S.; Stoll, S. Nanoplastics Adsorption and Removal Efficiency by Granular Activated Carbon Used in Drinking Water Treatment Process. Sci. Total Environ. 2021, 791, 148175. [Google Scholar] [CrossRef]
- Kim, K.T.; Park, S. Enhancing Microplastics Removal from Wastewater Using Electro-Coagulation and Granule-Activated Carbon with Thermal Regeneration. Processes 2021, 9, 617. [Google Scholar] [CrossRef]
- Shen, M.; Zhang, Y.; Almatrafi, E.; Hu, T.; Zhou, C.; Song, B.; Zeng, Z.; Zeng, G. Efficient Removal of Microplastics from Wastewater by an Electrocoagulation Process. Chem. Eng. J. 2022, 428, 131161. [Google Scholar] [CrossRef]
- Wang, J.; Wang, H.; Yue, D. Insights into Mechanism of Hypochlorite-Induced Functionalization of Polymers toward Separating BFR-Containing Components from Microplastics. ACS Appl. Mater. Interfaces 2020, 12, 36755–36767. [Google Scholar] [CrossRef]
- Wang, Z.; Sedighi, M.; Lea-Langton, A. Filtration of Microplastic Spheres by Biochar: Removal Efficiency and Immobilisation Mechanisms. Water Res. 2020, 184, 116165. [Google Scholar] [CrossRef] [PubMed]
- Misra, A.; Zambrzycki, C.; Kloker, G.; Kotyrba, A.; Anjass, M.H.; Franco Castillo, I.; Mitchell, S.G.; Güttel, R.; Streb, C. Water Purification and Microplastics Removal Using Magnetic Polyoxometalate-Supported Ionic Liquid Phases (MagPOM-SILPs). Angew. Chem. Int. Ed. Libr. 2020, 59, 1601–1605. [Google Scholar] [CrossRef] [PubMed]
- Sun, M.; Chen, W.; Fan, X.; Tian, C.; Sun, L.; Xie, H. Cooperative Recyclable Magnetic Microsubmarines for Oil and Microplastics Removal from Water. Appl. Mater. Today 2020, 20, 100682. [Google Scholar] [CrossRef]
- Kiendrebeogo, M.; Karimi Estahbanati, M.R.; Ouarda, Y.; Drogui, P.; Tyagi, R.D. Electrochemical Degradation of Nanoplastics in Water: Analysis of the Role of Reactive Oxygen Species. Sci. Total Environ. 2022, 808, 151897. [Google Scholar] [CrossRef]
- Miao, F.; Liu, Y.; Gao, M.; Yu, X.; Xiao, P.; Wang, M.; Wang, S.; Wang, X. Degradation of Polyvinyl Chloride Microplastics via an Electro-Fenton-like System with a TiO2/Graphite Cathode. J. Hazard. Mater. 2020, 399, 123023. [Google Scholar] [CrossRef]
- Kang, J.; Zhou, L.; Duan, X.; Sun, H.; Ao, Z.; Wang, S. Degradation of Cosmetic Microplastics via Functionalized Carbon Nanosprings. Matter 2019, 1, 745–758. [Google Scholar] [CrossRef]
- Luo, H.; Zeng, Y.; Zhao, Y.; Xiang, Y.; Li, Y.; Pan, X. Effects of Advanced Oxidation Processes on Leachates and Properties of Microplastics. J. Hazard. Mater. 2021, 413, 125342. [Google Scholar] [CrossRef]
- Zhao, X.; Li, Z.; Chen, Y.; Shi, L.; Zhu, Y. Enhancement of Photocatalytic Degradation of Polyethylene Plastic with CuPc Modified TiO2 Photocatalyst under Solar Light Irradiation. Appl. Surf. Sci. 2008, 254, 1825–1829. [Google Scholar] [CrossRef]
- Fa, W.; Yang, C.; Gong, C.; Peng, T.; Zan, L. Enhanced Photodegradation Efficiency of Polyethylene-TiO2 Nanocomposite Film with Oxidized Polyethylene Wax. J. Appl. Polym. Sci. 2010, 118, 378–384. [Google Scholar] [CrossRef]
- Asghar, W.; Qazi, I.A.; Ilyas, H.; Khan, A.A.; Awan, M.A.; Rizwan Aslam, M. Comparative Solid Phase Photocatalytic Degradation of Polythene Films with Doped and Undoped TiO2 Nanoparticles. J. Nanomater. 2010, 2011, 461930. [Google Scholar] [CrossRef]
- Yue, W.; Yin, C.-F.; Sun, L.; Zhang, J.; Xu, Y.; Zhou, N.-Y. Biodegradation of Bisphenol-A Polycarbonate Plastic by Pseudoxanthomonas Sp. Strain NyZ600. J. Hazard. Mater. 2021, 416, 125775. [Google Scholar] [CrossRef]
- Zhou, L.; Wang, T.; Qu, G.; Jia, H.; Zhu, L. Probing the Aging Processes and Mechanisms of Microplastic under Simulated Multiple Actions Generated by Discharge Plasma. J. Hazard. Mater. 2020, 398, 122956. [Google Scholar] [CrossRef]
- Ren, J.; Li, J.; Zhen, Y.; Wang, J.; Niu, Z. Removal of Polyvinyl Chloride Microplastic by Dielectric Barrier Discharge Plasma. Sep. Purif. Technol. 2022, 290, 120832. [Google Scholar] [CrossRef]
- Kiendrebeogo, M.; Karimi Estahbanati, M.R.; Khosravanipour Mostafazadeh, A.; Drogui, P.; Tyagi, R.D. Treatment of Microplastics in Water by Anodic Oxidation: A Case Study for Polystyrene. Environ. Pollut. 2021, 269, 116168. [Google Scholar] [CrossRef]
- Galmiz, O.; Pavliňák, D.; Zemánek, M.; Brablec, A.; Černák, M. Hydrophilization of Outer and Inner Surfaces of Poly(Vinyl Chloride) Tubes Using Surface Dielectric Barrier Discharges Generated in Ambient Air Plasma. Plasma Process. Polym. 2017, 14, 166002020. [Google Scholar] [CrossRef]
- Gao, Z.; Zhou, J.; Xue, M.; Liu, S.; Guo, J.; Zhang, Y.; Cao, C.; Wang, T.; Zhu, L. Theoretical and Experimental Insights into the Mechanisms of C6/C6 PFPiA Degradation by Dielectric Barrier Discharge Plasma. J. Hazard. Mater. 2022, 424, 127522. [Google Scholar] [CrossRef]
- Jiang, N.; Li, X.; Guo, H.; Li, J.; Shang, K.; Lu, N.; Wu, Y. Plasma-Assisted Catalysis Decomposition of BPA over Graphene-CdS Nanocomposites in Pulsed Gas-Liquid Hybrid Discharge: Photocorrosion Inhibition and Synergistic Mechanism Analysis. Chem. Eng. J. 2021, 412, 128627. [Google Scholar] [CrossRef]
- Singh, B.; Sharma, N. Mechanistic Implications of Plastic Degradation. Polym. Degrad. Stab. 2008, 93, 561–584. [Google Scholar] [CrossRef]
- Kriegseis, J.; Möller, B.; Grundmann, S.; Tropea, C. Capacitance and Power Consumption Quantification of Dielectric Barrier Discharge (DBD) Plasma Actuators. J. Electrost. 2011, 69, 302–312. [Google Scholar] [CrossRef]
- Gulmine, J.V.; Janissek, P.R.; Heise, H.M.; Akcelrud, L. Polyethylene Characterization by FTIR. Polym. Test. 2002, 21, 557–563. [Google Scholar] [CrossRef]
- Zhao, X.U.; Li, Z.; Chen, Y.; Shi, L.; Zhu, Y. Solid-Phase Photocatalytic Degradation of Polyethylene Plastic under UV and Solar Light Irradiation. J. Mol. Catal. A Chem. 2007, 268, 101–106. [Google Scholar] [CrossRef]
- Kuo, Y.; Wann, G.; Lee, Y. Infrared Absorption of 2-hydroxyethyl (HOCH2CH2) in Solid Ar. J. Chem. Phys. 1993, 99, 3272–3276. [Google Scholar] [CrossRef]
- Albertsson, A.-C.; Andersson, S.O.; Karlsson, S. The Mechanism of Biodegradation of Polyethylene. Polym. Degrad. Stab. 1987, 18, 73–87. [Google Scholar] [CrossRef]
- Guadagno, L.; Naddeo, C.; Vittoria, V.; Camino, G.; Cagnani, C. Chemical and Morphologial Modifications of Irradiated Linear Low Density Polyethylene (LLDPE). Polym. Degrad. Stab. 2001, 72, 175–186. [Google Scholar] [CrossRef]
- Almond, J.; Sugumaar, P.; Wenzel, M.N.; Hill, G.; Wallis, C. Determination of the Carbonyl Index of Polyethylene and Polypropylene Using Specified Area under Band Methodology with ATR-FTIR Spectroscopy. e-Polymers 2020, 20, 369–381. [Google Scholar] [CrossRef]
- Ratanakamnuan, U.; Aht-Ong, D. Photobiodegradation of Low-Density Polyethylene/Banana Starch Films. J. Appl. Polym. Sci. 2006, 100, 2725–2736. [Google Scholar] [CrossRef]
- Gulmine, J.V.; Janissek, P.R.; Heise, H.M.; Akcelrud, L. Degradation Profile of Polyethylene after Artificial Accelerated Weathering. Polym. Degrad. Stab. 2003, 79, 385–397. [Google Scholar] [CrossRef]
- García-Montelongo, X.L.; Martínez-de la Cruz, A.; Vázquez-Rodríguez, S.; Torres-Martínez, L.M. Photo-Oxidative Degradation of TiO2/Polypropylene Films. Mater. Res. Bull. 2014, 51, 56–62. [Google Scholar] [CrossRef]
- Kamalian, P.; Khorasani, S.N.; Abdolmaleki, A.; Karevan, M.; Khalili, S.; Shirani, M.; Neisiany, R.E. Toward the development of polyethylene photocatalytic degradation. J. Polym. Eng. 2020, 40, 181–191. [Google Scholar] [CrossRef]
- Venkataramana, C.; Botsa, S.M.; Shyamala, P.; Muralikrishna, R. Photocatalytic Degradation of Polyethylene Plastics by NiAl2O4 Spinels-Synthesis and Characterization. Chemosphere 2021, 265, 129021. [Google Scholar] [CrossRef] [PubMed]
- Llorente-García, B.E.; Hernández-López, J.M.; Zaldívar-Cadena, A.A.; Siligardi, C.; Cedillo-González, E.I. First Insights into Photocatalytic Degradation of HDPE and LDPE Microplastics by a Mesoporous N–TiO2 Coating: Effect of Size and Shape of Microplastics. Coatings 2020, 10, 658. [Google Scholar] [CrossRef]
- Tsiota, P.; Karkanorachaki, K.; Syranidou, E.; Franchini, M.; Kalogerakis, N. Microbial degradation of HDPE secondary microplastics: Preliminary results. In Proceedings of the International Conference on Microplastic Pollution in the Mediterranean Sea; Springer International Publishing: Berlin/Heidelberg, Germany, 2018. [Google Scholar]
- Zhang, J.; Gao, D.; Li, Q.; Zhao, Y.; Li, L.; Lin, H.; Bi, Q.; Zhao, Y. Biodegradation of Polyethylene Microplastic Particles by the Fungus Aspergillus Flavus from the Guts of Wax Moth Galleria Mellonella. Sci. Total Environ. 2020, 704, 135931. [Google Scholar] [CrossRef]
- Song, Y.K.; Hong, S.H.; Jang, M.; Han, G.M.; Jung, S.W.; Shim, W.J. Combined Effects of UV Exposure Duration and Mechanical Abrasion on Microplastic Fragmentation by Polymer Type. Environ. Sci. Technol. 2017, 51, 4368–4376. [Google Scholar] [CrossRef]
- Liu, P.; Qian, L.; Wang, H.; Zhan, X.; Lu, K.; Gu, C.; Gao, S. New Insights into the Aging Behavior of Microplastics Accelerated by Advanced Oxidation Processes. Environ. Sci. Technol. 2019, 53, 3579–3588. [Google Scholar] [CrossRef]
Disclaimer/Publisher’s Note: The statements, opinions and data contained in all publications are solely those of the individual author(s) and contributor(s) and not of MDPI and/or the editor(s). MDPI and/or the editor(s) disclaim responsibility for any injury to people or property resulting from any ideas, methods, instructions or products referred to in the content. |
© 2023 by the authors. Licensee MDPI, Basel, Switzerland. This article is an open access article distributed under the terms and conditions of the Creative Commons Attribution (CC BY) license (https://creativecommons.org/licenses/by/4.0/).











