Hybrid System of Photovoltaic and Solar Thermal Technologies for Industrial Process Heat
Abstract
1. Introduction
2. Conventional Solar Heating Technologies and Heat Pumps
2.1. Solar Thermal Collectors (ST Collectors)
2.2. Photovoltaic-Electric Heating (PV-EH)
2.3. Photovoltaic-Assisted Heat Pumps (PV-HP)
2.4. Solar Thermal-Assisted Heat Pump (ST-HP)
3. Hybrid Solar Heating Systems (HS)
3.1. Photovoltaic-Thermal Collector (PVT Collector)
3.2. Solar Thermal–Solar Thermal Hybrid System (ST-ST HS)
3.3. Solar Thermal–Photovoltaic Heating Hybrid System (ST-PV HS)
3.4. PVT–Assisted HP Systems (PVT-HP Systems)
4. Solar Radiation and Time Interval Characteristics of the Analyzed Studies
5. ST Plants for SHIP Applications Installed Worldwide
6. Performance Indicators for Conventional and Hybrid Systems
6.1. Energetic Performance Indicators
6.2. Economic Performance Indicators
6.3. Environment Performance Indicators
6.4. Exergetic Performance Indicators
7. Discussion
7.1. ST Collectors and PV-EH
7.2. PVT and CPVT
7.3. ST-ST and ST-PV HSs
7.4. SAHP
7.5. Industrial Process Applicability of Conventional and Hybrid Systems
8. Conclusions
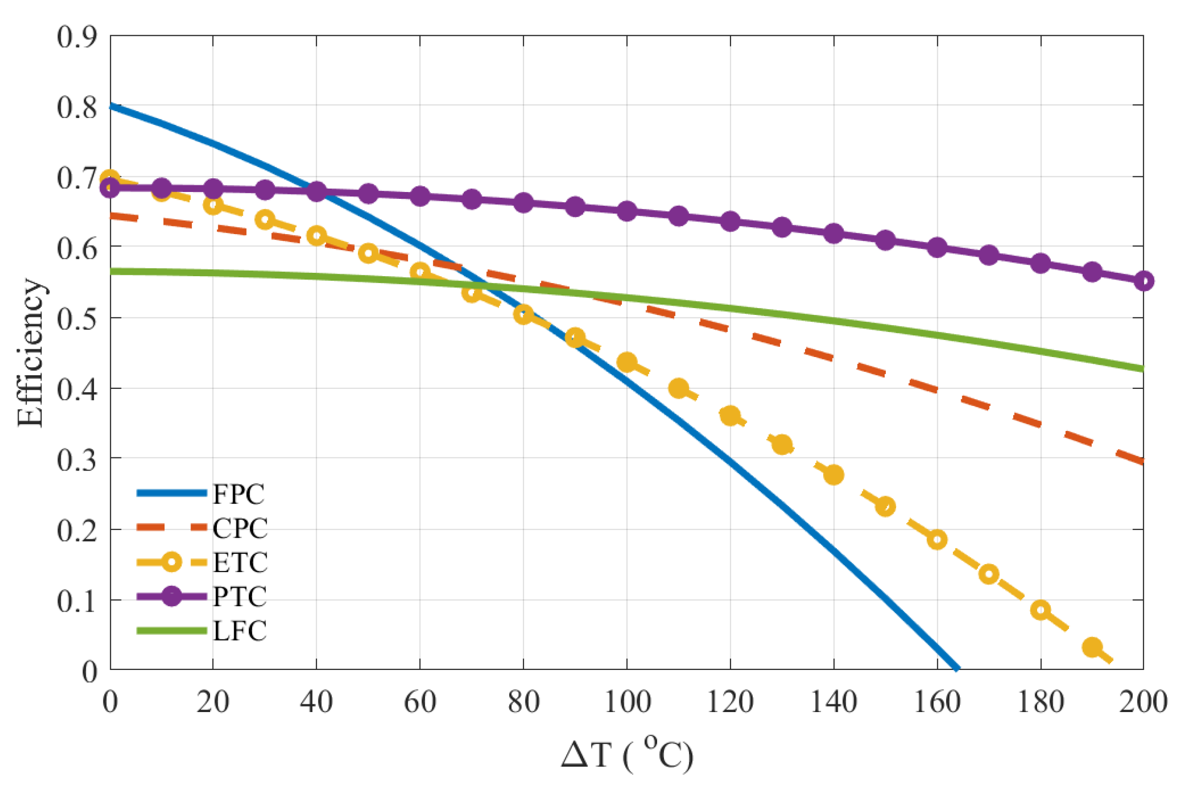
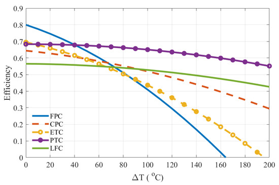
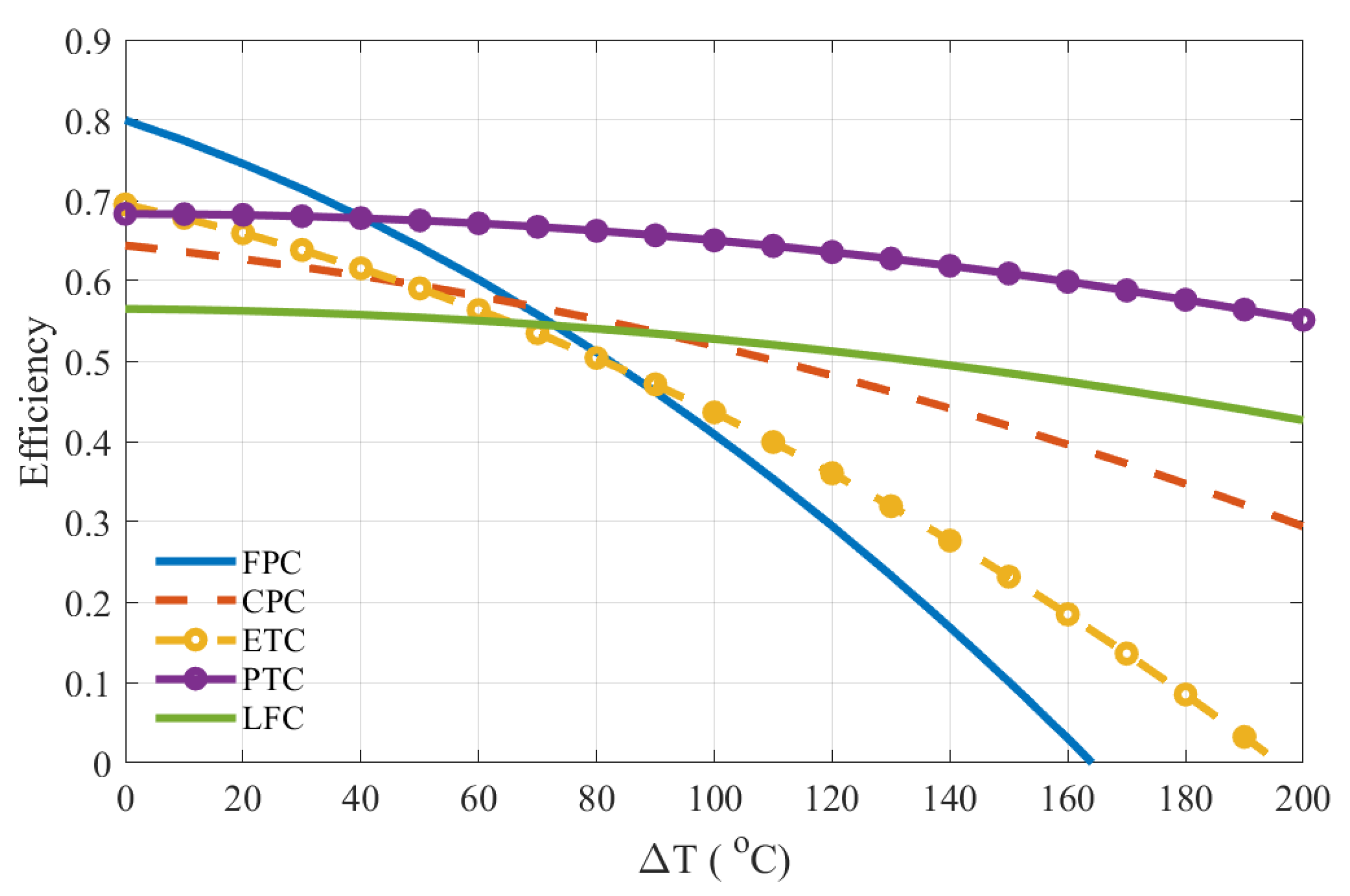
- ST is the most-used solar heating technology in industrial processes and is economically competitive with fossil alternatives mainly in high radiation locations. Non-concentrating ST is the most economically viable technology for low-temperature applications. Concentrating collectors are preferred in medium and high-temperature industries but their high costs and dependence on DNI levels affect their competitiveness.
- PV-EH systems are becoming a promising alternative to industrial process heating due to the PV module cost reduction and ease of installation. The literature shows that PV-EH systems are currently competitive with ST in medium-temperature applications in locations with medium and low DNI levels, and could be one of the most-promising alternatives in high-temperature industries. If the cost reduction in PV modules continues to decrease PV-EH could also become competitive in low-temperature applications. One of the main disadvantages of this technology is the low efficiency of PV modules compared to ST collectors, which makes larger areas required to supply the same amount of energy.
- PVT systems have gained interest and their application has increased in recent years. One of the main advantages of PVT systems is their capacity to simultaneously provide electrical and thermal energy allowing higher overall energy production per area than side-by-side ST + PV systems in low-temperature operation. However, the efficiency of PVTs declines with temperature increases at a higher rate than high-efficiency ST, which affects its competitiveness as the operating temperature required increases. This fact along with their high costs and more complex installation and maintenance limits the utilization of PVTs in industrial applications. Many technological improvements have been proposed to increase the energy and economic performance of PVT systems. Nevertheless, most of these advances are in the development stage and should have cost reductions to be commercially available.
- ST-ST and ST-PV HSs show great potential to reach higher economic performance than conventional ST and PV-EH alternatives, especially in medium and high-temperature applications. ST-ST and ST-PV HSs with serial configuration have the advantage that each of the two solar fields can operate at different temperatures, which allows using non-concentrating ST in a preheating stage, and concentrating ST or PV-EH to reach the final temperature required. ST-ST configurations could reach higher efficiencies than ST-PV systems, and the ST-PV configuration could be advantageous in locations with medium and low levels of DNI. The design and control of these configurations are more complex than conventional systems, which could hinder their implementation in the industrial sector. ST-ST and ST-PV systems have been little studied and it is necessary to analyze the performance of these systems under different industrial processes temperatures, ST and PV technologies combination, and solar resource characteristics.
- SAHPs are able to improve the economic and energetic performance of conventional HPs, and in combination with other solar heating systems could allow reaching high renewable energy coverage. PV-HP systems are economically advantageous due to the low cost of PV modules. However, in this configuration, the solar technology does not improve the quality of the heat source of the HP to increase its energy efficiency, which is an important limitation when an adequate auxiliary energy source is not available. ST-HP can improve the HP performance by offering a higher temperature energy source than ambient air or ground allowing better performance than conventional HPs in industrial applications. However, this kind of system has higher investment costs and requires more complex control strategies than PV-HP. PVT-HP systems have the advantage of being able to simultaneously meet the thermal and electrical demand of the HP, allowing higher solar coverage with a smaller area of solar collectors than ST-HP and PV-HP systems. Nevertheless, PVT systems have lower efficiency than high-efficiency ST in higher operating temperatures, and their installation and maintenance costs are more expensive than conventional alternatives, which reduces the competitiveness of PVT-HP systems. In general, the maximum operating temperature of SAHPs is limited by the commercially available HPs, which restrict their application to low and medium-temperature applications. Most research works about SAHPs are focused on domestic applications or production processes on an experimental scale. More studies are necessary to determine the potential of SAHPs in the industrial sector.
- The evaluation of energy, economic, and environmental performance indicators is of special importance to find the best combination of technologies in a hybrid system. Energy efficiency allows finding the best integrating way between both solar fields and control strategies to reach maximum energy output. Different approaches to calculating the LCOE may exist, due to the possibility of producing different forms of energy. The most convenient approach will depend on the particular requirements of the project and important evaluation criteria for project developers. In addition, each technology combined in a HS have different ambient impact, for this reason, although a HS could have better energy production and economic performance than another, its ambient impact could be significantly higher. Further, if additional costs for the environmental impact of the system as the carbon tax are applied, the economic performance of the system will also be affected. In this sense, the environmental performance of the HS is an important parameter that could influence in the selection of the best technological combination.
- The main limitation of this work is that systems are not compared with results obtained under the same simulation or experimental conditions. For a more accurate comparison of the different conventional and hybrid systems, future investigations should analyze all technological alternatives under the same constrictions and evaluation criteria. This will allow a clearer vision of which technological combination gives the best performance in the different scenarios of application and heating requirements in the industrial sector.
Author Contributions
Funding
Data Availability Statement
Acknowledgments
Conflicts of Interest
Abbreviations
| AAHP | Air-to-air heat pumps |
| AP | Acidification potential |
| ASHP | Air source heat pump |
| a-SI | Amorphous silicon |
| AWHP | Air-to-water heat pumps |
| COP | Coefficient of performance |
| CPC | Stationary compound parabolic collector |
| CPVT | Concentrating photovoltaic thermal |
| CR | Concentration ratio |
| DHW | Domestic hot water |
| DNI | Direct normal irradiation |
| DX | Direct expansion |
| EPBT | Energy payback time |
| ETC | Evacuated tube collector |
| Exergetic destruction | |
| Input exergy rate | |
| Loss exergy rate | |
| Output exergy rate | |
| Electrical exergy of the PV | |
| Stored exergy rate | |
| Thermal exergy of the ST collector | |
| Rate of exergy of solar radiation | |
| FPC | Flat plate collector |
| GHG | Greenhouse gas |
| GHG PBT | Greenhouse-gas payback time |
| GSWWHP | Ground source water-to-water heat pumps systems |
| GWP | Global warming potential |
| HACHP | High-temperature hybrid absorption/compressor |
| HFR | Heliostat field reflector |
| HP | Heat pump |
| HP-NH | Ammonia HP |
| HS | Hybrid solar heating system |
| HTF | Heat transfer fluid |
| HTHP | High-temperature heat pump |
| IDX | Indirect expansion |
| IRR | Internal rate of return |
| KPI | Key performance indicator |
| LCA | Life cycle assessment |
| LCC | Life cycle cost |
| LCOE | Levelized cost of energy |
| LCOE | Levelized cost of electricity |
| LCOH | Levelized cost of heat |
| LCOX | Levelized cost of exergy |
| LFC | Linear Fresnel collector |
| MEED | Multiple-effect evaporation desalination |
| NPV | Net present value |
| ODP | Ozone depletion potential |
| PCM | Phase change material |
| PCM-TES | Thermal heat storage |
| pc-SI | Polycrystalline silicon |
| PBP | Payback period |
| PDC | Parabolic dish concentrator |
| PES | Primary energy saving |
| PTC | Parabolic trough collector |
| PV | Photovoltaic |
| PV-AWHP | AWHP combined with PV modules |
| PV-EH | Photovoltaic-electric heating |
| PV-HP | Photovoltaic-assisted heat pumps |
| PVT | Photovoltaic-thermal collector |
| PVT-ST-HP | PVT and two ST evaporators connected in series |
| PV-WWHP | WWHP combined with PV modules |
| SAHP | Solar-assisted heat pump |
| SF | Solar fraction |
| SH | Solar heating |
| SHAHP | Solar hybrid assisted heat pumps |
| SHIP | Solar heat for industrial processes |
| ST | Solar thermal |
| ST-HP | Solar thermal-assisted heat pump |
| ST-PV HS | Solar thermal-photovoltaic heating hybrid system |
| ST-ST HS | Solar thermal-solar thermal hybrid system |
| Tons of carbon dioxide equivalent | |
| TES | Thermal energy storage |
| TESER | Electrical resistance like energy backup |
| VHTHP | Very high-temperature heat pump |
| WWHP | Water-to-water heat pumps |
| Annual production of exergy | |
| Exergetic efficiency | |
| Primary energy-saving efficiency | |
| Energy efficiency |
References
- United Nations. Framework Convention on Climate Change. Paris Agreement. 2015. Available online: https://unfccc.int/sites/default/files/english_paris_agreement.pdf (accessed on 3 February 2023).
- European Commission. Proposal for a Regulation of the European Parliament and of the Council Establishing the Framework for Achieving Climate Neutrality and Amending Regulation (EU) 2018/1999 (European Climate Law). 2020. Available online: https://eur-lex.europa.eu/legal-content/EN/TXT/PDF/?uri=CELEX:52020PC0080&from=EN (accessed on 4 February 2023).
- Government of India. India’s Updated First Nationally Determined Contribution under Paris Agreement. 2022. Available online: https://unfccc.int/sites/default/files/NDC/2022-08/India%20Updated%20First%20Nationally%20Determined%20Contrib.pdf (accessed on 3 February 2023).
- Praveenkumar, S.; Agyekum, E.B.; Kumar, A.; Velkin, V.I. Thermo-enviro-economic analysis of solar photovoltaic/thermal system incorporated with u-shaped grid copper pipe, thermal electric generators and nanofluids: An experimental investigation. J. Energy Storage 2023, 60, 106611. [Google Scholar] [CrossRef]
- Hodgson, D.; Vass, T.; Levi, P.; Hugues, P. Industry; Technical Report; IEA: Paris, France, 2022. Available online: https://www.iea.org/reports/industry# (accessed on 1 December 2022).
- Bellevrat, E.; West, K. Clean and Efficient Heat for Industry; Technical Report; IEA: Paris, France, 2018. Available online: https://www.iea.org/commentaries/clean-and-efficient-heat-for-industry (accessed on 2 December 2022).
- Zurita, A.; Mata-Torres, C.; Cardemil, J.M.; Guédez, R.; Escobar, R.A. Multi-objective optimal design of solar power plants with storage systems according to dispatch strategy. Energy 2021, 237, 121627. [Google Scholar] [CrossRef]
- Zurita, A.; Mata-Torres, C.; Cardemil, J.M.; Escobar, R.A. Assessment of time resolution impact on the modeling of a hybrid CSP-PV plant: A case of study in Chile. Sol. Energy 2020, 202, 553–570. [Google Scholar] [CrossRef]
- Qin, J.; Hu, E.; Li, X. Solar aided power generation: A review. Energy Built Environ. 2020, 1, 11–26. [Google Scholar] [CrossRef]
- Mata-Torres, C.; Palenzuela, P.; Alarcón-Padilla, D.C.; Zurita, A.; Cardemil, J.M.; Escobar, R.A. Multi-objective optimization of a Concentrating Solar Power+Photovoltaic+Multi-Effect Distillation plant: Understanding the impact of the solar irradiation and the plant location. Energy Convers. Manag. 2021, 11, 100088. [Google Scholar] [CrossRef]
- Mata-Torres, C.; Palenzuela, P.; Zurita, A.; Cardemil, J.M.; Alarcón-Padilla, D.C.; Escobar, R.A. Annual thermoeconomic analysis of a Concentrating Solar Power + Photovoltaic + Multi-Effect Distillation plant in northern Chile. Energy Convers. Manag. 2020, 213, 112852. [Google Scholar] [CrossRef]
- Ahmed, F.; Sharizal Abdul Aziz, M.; Palaniandy, P.; Shaik, F. A review on application of renewable energy for desalination technologies with emphasis on concentrated solar power. Sustain. Energy Technol. Assess. 2022, 53, 102772. [Google Scholar] [CrossRef]
- Villarruel-Jaramillo, A.; Pérez-García, M.; Cardemil, J.M.; Escobar, R.A. Review of Polygeneration Schemes with Solar Cooling Technologies and Potential Industrial Applications. Energies 2021, 14, 6450. [Google Scholar] [CrossRef]
- Pauschinger, T. 5-Solar thermal energy for district heating. In Advanced District Heating and Cooling (DHC) Systems; Wiltshire, R., Ed.; Woodhead Publishing Series in Energy; Woodhead Publishing: Oxford, UK, 2016; pp. 99–120. [Google Scholar] [CrossRef]
- Nielsen, J.E.; Sørensen, P.A. 9-Renewable district heating and cooling technologies with and without seasonal storage. In Renewable Heating and Cooling; Stryi-Hipp, G., Ed.; Woodhead Publishing: Oxford, UK, 2016; pp. 197–220. [Google Scholar] [CrossRef]
- Valenzuela, C.; Felbol, C.; Quiñones, G.; Valenzuela, L.; Moya, S.L.; Escobar, R.A. Modeling of a small parabolic trough plant based in direct steam generation for cogeneration in the Chilean industrial sector. Energy Convers. Manag. 2018, 174, 88–100. [Google Scholar] [CrossRef]
- Ravi Kumar, K.; Krishna Chaitanya, N.; Sendhil Kumar, N. Solar thermal energy technologies and its applications for process heating and power generation—A review. J. Clean. Prod. 2021, 282, 125296. [Google Scholar] [CrossRef]
- Farjana, S.H.; Huda, N.; Mahmud, M.P.; Saidur, R. Solar process heat in industrial systems—A global review. Renew. Sustain. Energy Rev. 2018, 82, 2270–2286. [Google Scholar] [CrossRef]
- Ismail, M.I.; Yunus, N.A.; Hashim, H. Integration of solar heating systems for low-temperature heat demand in food processing industry—A review. Renew. Sustain. Energy Rev. 2021, 147, 111192. [Google Scholar] [CrossRef]
- Schoeneberger, C.A.; McMillan, C.A.; Kurup, P.; Akar, S.; Margolis, R.; Masanet, E. Solar for industrial process heat: A review of technologies, analysis approaches, and potential applications in the United States. Energy 2020, 206, 118083. [Google Scholar] [CrossRef]
- Weiss, W.; Spörk-Dür, M. Solar Heat World Wide Edition 2022; Technical Report; AEE—Institute for Sustainable Technologies: Gleisdorf, Austria, 2022; Available online: https://www.iea-shc.org/Data/Sites/1/publications/Solar-Heat-Worldwide-2022.pdf (accessed on 28 November 2022).
- Quiñones, G.; Felbol, C.; Valenzuela, C.; Cardemil, J.M.; Escobar, R.A. Analyzing the potential for solar thermal energy utilization in the Chilean copper mining industry. Sol. Energy 2020, 197, 292–310. [Google Scholar] [CrossRef]
- Filali Baba, Y.; Ajdad, H.; Al Mers, A.; Bouatem, A.; Bououlid Idrissi, B.; El Alj, S. Preliminary cost-effectiveness assessment of a Linear Fresnel Concentrator: Case studies. Case Stud. Therm. Eng. 2020, 22, 100730. [Google Scholar] [CrossRef]
- Meyers, S.; Schmitt, B.; Vajen, K. Renewable process heat from solar thermal and photovoltaics: The development and application of a universal methodology to determine the more economical technology. Appl. Energy 2018, 212, 1537–1552. [Google Scholar] [CrossRef]
- Holler, S.; Winkelmann, A.; Pelda, J.; Salaymeh, A. Feasibility study on solar thermal process heat in the beverage industry. Energy 2021, 233, 121153. [Google Scholar] [CrossRef]
- IRENA. Renewable Energy Statistics 2022; Technical Report; International Renewable Energy Agency: Abu Dhabi, United Arab Emirates, 2022; Available online: https://www.irena.org/-/media/Files/IRENA/Agency/Publication/2022/Apr/IRENA_RE_Capacity_Statistics_2022.pdf?rev=460f190dea15442eba8373d9625341ae (accessed on 3 January 2023).
- Matuska, T.; Sourek, B. Performance Analysis of Photovoltaic Water Heating System. Int. J. Photoenergy 2017, 2017. [Google Scholar] [CrossRef]
- Arpagaus, C.; Bless, F.; Uhlmann, M.; Schiffmann, J.; Bertsch, S.S. High temperature heat pumps: Market overview, state of the art, research status, refrigerants, and application potentials. Energy 2018, 152, 985–1010. [Google Scholar] [CrossRef]
- Zühlsdorf, B.; Bühler, F.; Bantle, M.; Elmegaard, B. Analysis of technologies and potentials for heat pump-based process heat supply above 150 °C. Energy Convers. Manag. 2019, 2, 100011. [Google Scholar] [CrossRef]
- Palomba, V.; Dino, G.E.; Frazzica, A. Solar-Assisted Heat Pumps and Chillers. In Handbook of Climate Change Mitigation and Adaptation; Springer Nature: Cham, Switzerland, 2022; pp. 1313–1366. [Google Scholar] [CrossRef]
- Farjana, S.H.; Mahmud, M.A.P.; Huda, N. Chapter 6—Life Cycle Assessment of Solar Process Heating System Integrated in Mining Process. In Life Cycle Assessment for Sustainable Mining; Farjana, S.H., Mahmud, M.A.P., Huda, N., Eds.; Elsevier: Amsterdam, The Netherlands, 2021; pp. 141–168. [Google Scholar] [CrossRef]
- Karki, S.; Haapala, K.R.; Fronk, B.M. Technical and economic feasibility of solar flat-plate collector thermal energy systems for small and medium manufacturers. Appl. Energy 2019, 254, 113649. [Google Scholar] [CrossRef]
- Jia, Y.; Alva, G.; Fang, G. Development and applications of photovoltaic–thermal systems: A review. Renew. Sustain. Energy Rev. 2019, 102, 249–265. [Google Scholar] [CrossRef]
- Tian, Z.; Perers, B.; Furbo, S.; Fan, J. Annual measured and simulated thermal performance analysis of a hybrid solar district heating plant with flat plate collectors and parabolic trough collectors in series. Appl. Energy 2017, 205, 417–427. [Google Scholar] [CrossRef]
- Madiouli, J.; Lashin, A.; Shigidi, I.; Badruddin, I.A.; Kessentini, A. Experimental study and evaluation of single slope solar still combined with flat plate collector, parabolic trough and packed bed. Sol. Energy 2020, 196, 358–366. [Google Scholar] [CrossRef]
- Sturm, B.; Meyers, S.; Zhang, Y.; Law, R.; Siqueiros Valencia, E.J.; Bao, H.; Wang, Y.; Chen, H. Process intensification and integration of solar heat generation in the Chinese condiment sector—A case study of a medium sized Beijing based factory. Energy Convers. Manag. 2015, 106, 1295–1308. [Google Scholar] [CrossRef]
- Bany Mousa, O.; Taylor, R.A.; Shirazi, A. Multi-objective optimization of solar photovoltaic and solar thermal collectors for industrial rooftop applications. Energy Convers. Manag. 2019, 195, 392–408. [Google Scholar] [CrossRef]
- Qu, M.; Yan, X.; Wang, H.; Hei, Y.; Liu, H.; Li, Z. Energy, exergy, economic and environmental analysis of photovoltaic/thermal integrated water source heat pump water heater. Renew. Energy 2022, 194, 1084–1097. [Google Scholar] [CrossRef]
- Yao, J.; Xu, H.; Dai, Y.; Huang, M. Performance analysis of solar assisted heat pump coupled with build-in PCM heat storage based on PV/T panel. Sol. Energy 2020, 197, 279–291. [Google Scholar] [CrossRef]
- Tian, Z.; Perers, B.; Furbo, S.; Fan, J. Analysis and validation of a quasi-dynamic model for a solar collector field with flat plate collectors and parabolic trough collectors in series for district heating. Energy 2018, 142, 130–138. [Google Scholar] [CrossRef]
- Lamnatou, C.; Chemisana, D. Photovoltaic/thermal (PVT) systems: A review with emphasis on environmental issues. Renew. Energy 2017, 105, 270–287. [Google Scholar] [CrossRef]
- Kurup, P.; Akar, S.; Mctigue, J.; Boyd, M. Hybrid Solar Heat Generation Modelling and Cases: Preprint; Technical Report; National Renewable Energy Laboratory: Golden, CO, USA, 2021. Available online: https://www.osti.gov/biblio/1773001 (accessed on 2 January 2023).
- Tian, Z.; Perers, B.; Furbo, S.; Fan, J. Thermo-economic optimization of a hybrid solar district heating plant with flat plate collectors and parabolic trough collectors in series. Energy Convers. Manag. 2018, 165, 92–101. [Google Scholar] [CrossRef]
- Kumar, L.; Hasanuzzaman, M.; Rahim, N. Global advancement of solar thermal energy technologies for industrial process heat and its future prospects: A review. Energy Convers. Manag. 2019, 195, 885–908. [Google Scholar] [CrossRef]
- Evangelisti, L.; De Lieto Vollaro, R.; Asdrubali, F. Latest advances on solar thermal collectors: A comprehensive review. Renew. Sustain. Energy Rev. 2019, 114, 109318. [Google Scholar] [CrossRef]
- Kalogirou, S.A. Solar thermal collectors and applications. Prog. Energy Combust. Sci. 2004, 30, 231–295. [Google Scholar] [CrossRef]
- Giovannetti, F.; Horta, P.; Marthy, H.; Rittmann-Frank, M.H.; Fahr, S.; Kramer, K.; Hertel, J.; Martinez, V.; Scarpellino, M.; Palmieri, V. Comparison of Process Heat Collectors with Respect to Technical and Economic Conditions; Technical Report; IEA SHC Task 49; IEA: Paris, France, 2016. Available online: https://task49.iea-shc.org/Data/Sites/1/publications/Task%2049%20Deliverable%20A2%201_End%20(3).pdf (accessed on 2 November 2022).
- Lovegrove, K.; Pye, J. Chapter 2—Fundamental principles of concentrating solar power systems. In Concentrating Solar Power Technology, 2nd ed.; Lovegrove, K., Stein, W., Eds.; Woodhead Publishing Series in Energy; Woodhead Publishing: Duxford, UK, 2021; pp. 19–71. [Google Scholar] [CrossRef]
- Häberle, A.; Krüger, D. Chapter 18—Concentrating solar technologies for industrial process heat. In Concentrating Solar Power Technology, 2nd ed.; Lovegrove, K., Stein, W., Eds.; Woodhead Publishing Series in Energy; Woodhead Publishing: Duxford, UK, 2021; pp. 659–675. [Google Scholar] [CrossRef]
- Barone, G.; Buonomano, A.; Forzano, C.; Palombo, A. Chapter 6—Solar thermal collectors. In Solar Hydrogen Production; Calise, F., D’Accadia, M.D., Santarelli, M., Lanzini, A., Ferrero, D., Eds.; Academic Press: London, UK, 2019; pp. 151–178. [Google Scholar] [CrossRef]
- Kumar, A.; Said, Z.; Bellos, E. An up-to-date review on evacuated tube solar collectors. J. Therm. Anal. Calorim. 2021, 145, 2873–2889. [Google Scholar] [CrossRef]
- Sharma, A.K.; Sharma, C.; Mullick, S.C.; Kandpal, T.C. Solar industrial process heating: A review. Renew. Sustain. Energy Rev. 2017, 78, 124–137. [Google Scholar] [CrossRef]
- Månsson, L.; Aronsson, L. Solar Keymark Certificate No. SP SC0843-14; SP Technical Research Institute of Sweden: Borås, Sweden, 2016. [Google Scholar]
- Weiss, W.; Rommel, M. Process Heat Collectors. 2008. Available online: https://task33.iea-shc.org/Data/Sites/1/publications/task33-Process_Heat_Collectors.pdf (accessed on 3 December 2022).
- Calderoni, M. State of the Art on New Collectors & Characterization; Technical Report; IEA SHC Task 48; IEA: Milan, Italy, 2015. Available online: http://task48.iea-shc.org/data/sites/1/publications/Task%2048%20-%20Activity%20A6%20Final%20Report.pdf (accessed on 15 December 2022).
- TÜV-Rheinland. DIN CERTCO 011-7S2122 R. 2014. Available online: https://www.dincertco.de/logos/011-7S2122%20R.pdf (accessed on 11 December 2022).
- Venkatramanan, R.; Arjunan, T.; Seenivasan, D.; Veera Kumar, A. Parametric study of evacuated tube collector solar air heater with inserted baffles on thermal network for low-temperature applications. J. Clean. Prod. 2022, 367, 132941. [Google Scholar] [CrossRef]
- Barbosa, R.R.; Schultz, H.S.; da Costa Garcia, L.; Martins, D.D.; Carvalho, M. Economic and greenhouse gas assessments for two hot water industrial systems: Solar vs. natural gas. Clean. Eng. Technol. 2022, 6, 100365. [Google Scholar] [CrossRef]
- Farjana, S.H.; Mahmud, M.; Huda, N. Solar process heat integration in lead mining process. Case Stud. Therm. Eng. 2020, 22, 100768. [Google Scholar] [CrossRef]
- Immonen, J.; Mohammadi, K.; Powell, K.M. Simulating a solar parabolic trough collector plant used for industrial process heat using an optimized operating scheme that utilizes flexible heat integration. Sol. Energy 2022, 236, 756–771. [Google Scholar] [CrossRef]
- Pérez-Aparicio, E.; Lillo-Bravo, I.; Moreno-Tejera, S. Economical and environmental analysis of thermal and photovoltaic solar energy as source of heat for industrial processes. AIP Conf. Proc. 2017, 1850, 180005. Available online: https://aip.scitation.org/doi/pdf/10.1063/1.4984572 (accessed on 25 November 2022). [CrossRef]
- Duffie, J.A.; Beckman, W.A. Solar Engineering of Thermal Processes, Photovoltaics and Wind Emeritus Professor of Mechanical Engineering, 5th ed.; John Wiley and Sons: Hoboken, NJ, USA, 2020. [Google Scholar]
- Lord, M.; Samain, A.; Gelbart, A.; Voyage, A.; Keshavarzmohammadian, A.; Martin, C.; Sutherland, C.; Lenko, E.; Liang, J.; Keller, J.; et al. Zero Carbon Industry Plan Electrifying Industry; Technical Report; Beyond Zero Emissions: Melbourne, Australia, 2018; Available online: https://bze.org.au/wp-content/uploads/2020/12/electrifying-industry-bze-report-2018.pdf (accessed on 9 December 2022).
- Özbay, H. PDM-MPPT based solar powered induction heating system. Eng. Sci. Technol. Int. J. 2020, 23, 1397–1414. [Google Scholar] [CrossRef]
- Kumar Singh, V.; Khan, M.M.; Sevliya, S.; Kumar, J. A Review on Induction Heating System by Solar Energy. Ssrg Int. J. Electr. Electron. Eng. 2016, 3, 4–7. [Google Scholar] [CrossRef]
- Clift, D.H.; Suehrcke, H. Control optimization of PV powered electric storage and heat pump water heaters. Sol. Energy 2021, 226, 489–500. [Google Scholar] [CrossRef]
- Competitive Assessment between Solar Thermal and Photovoltaics for Industrial Process Heat Generation. In Proceedings of the EuroSun 2016, Palma de Mallorca, Spain, 11–14 October 2016. [CrossRef]
- Ruschenburg, J.; Herkel, S.; Henning, H.M. A statistical analysis on market-available solar thermal heat pump systems. Sol. Energy 2013, 95, 79–89. [Google Scholar] [CrossRef]
- Mustafa Omer, A. Ground-source heat pumps systems and applications. Renew. Sustain. Energy Rev. 2008, 12, 344–371. [Google Scholar] [CrossRef]
- Wu, D.; Jiang, J.; Hu, B.; Wang, R. Experimental investigation on the performance of a very high temperature heat pump with water refrigerant. Energy 2020, 190, 116427. [Google Scholar] [CrossRef]
- Ayou, D.S.; Hargiyanto, R.; Coronas, A. Ammonia-based compression heat pumps for simultaneous heating and cooling applications in milk pasteurization processes: Performance evaluation. Appl. Therm. Eng. 2022, 217, 119168. [Google Scholar] [CrossRef]
- Barco-Burgos, J.; Bruno, J.C.; Eicker, U.; Saldaña-Robles, A.L.; Alcántar-Camarena, V. Review on the integration of high-temperature heat pumps in district heating and cooling networks. Energy 2022, 239, 122378. [Google Scholar] [CrossRef]
- Chen, Q.; Cleland, D.J.; Carson, J.K.; Walmsley, T.G. Integration of desiccant wheels and high-temperature heat pumps with milk spray dryers. Appl. Therm. Eng. 2022, 216, 119083. [Google Scholar] [CrossRef]
- Zhang, Y.; Cui, C.; Yuan, J.; Zhang, C.; Gang, W. Quantification of model uncertainty of water source heat pump and impacts on energy performance. Iop Conf. Ser. Earth Environ. Sci. 2019, 238, 012067. [Google Scholar] [CrossRef]
- Puttige, A.R.; Andersson, S.; Östin, R.; Olofsson, T. Application of regression and ANN models for heat pumps with field measurements. Energies 2021, 14, 1750. [Google Scholar] [CrossRef]
- Badiei, A.; Golizadeh Akhlaghi, Y.; Zhao, X.; Shittu, S.; Xiao, X.; Li, J.; Fan, Y.; Li, G. A chronological review of advances in solar assisted heat pump technology in 21st century. Renew. Sustain. Energy Rev. 2020, 132, 110132. [Google Scholar] [CrossRef]
- Neyer, D.; Ostheimer, M.; Dipasquale, C.; Köll, R. Technical and economic assessment of solar heating and cooling – Methodology and examples of IEA SHC Task 53. Sol. Energy 2018, 172, 90–101. [Google Scholar] [CrossRef]
- Al-Falahat, A.M.; Qadourah, J.A.; Alrwashdeh, S.S.; Khater, R.; Qatlama, Z.; Alddibs, E.; Noor, M. Energy performance and economics assessments of a photovoltaic-heat pump system. Results Eng. 2022, 13, 100324. [Google Scholar] [CrossRef]
- Heinz, A.; Rieberer, R. Energetic and economic analysis of a PV-assisted air-to-water heat pump system for renovated residential buildings with high-temperature heat emission system. Appl. Energy 2021, 293, 116953. [Google Scholar] [CrossRef]
- Coppitters, D.; De Paepe, W.; Contino, F. Robust design optimization of a photovoltaic-battery-heat pump system with thermal storage under aleatory and epistemic uncertainty. Energy 2021, 229, 120692. [Google Scholar] [CrossRef]
- Schreurs, T.; Madani, H.; Zottl, A.; Sommerfeldt, N.; Zucker, G. Techno-economic analysis of combined heat pump and solar PV system for multi-family houses: An Austrian case study. Energy Strategy Rev. 2021, 36, 100666. [Google Scholar] [CrossRef]
- Pena-Bello, A.; Schuetz, P.; Berger, M.; Worlitschek, J.; Patel, M.K.; Parra, D. Decarbonizing heat with PV-coupled heat pumps supported by electricity and heat storage: Impacts and trade-offs for prosumers and the grid. Energy Convers. Manag. 2021, 240, 14220. [Google Scholar] [CrossRef]
- Chwieduk, B.; Chwieduk, D. Analysis of operation and energy performance of a heat pump driven by a PV system for space heating of a single family house in polish conditions. Renew. Energy 2021, 165, 117–126. [Google Scholar] [CrossRef]
- Biglarian, H.; Abdollahi, S. Utilization of on-grid photovoltaic panels to offset electricity consumption of a residential ground source heat pump. Energy 2022, 243, 122770. [Google Scholar] [CrossRef]
- Zheng, Z.; Zhou, J.; Xu, F.; Zhang, R.; Deng, G. Integrated operation of PV assisted ground source heat pump and air source heat pump system: Performance analysis and economic optimization. Energy Convers. Manag. 2022, 269, 116091. [Google Scholar] [CrossRef]
- Ahrens, M.U.; Foslie, S.S.; Moen, O.M.; Bantle, M.; Eikevik, T.M. Integrated high temperature heat pumps and thermal storage tanks for combined heating and cooling in the industry. Appl. Therm. Eng. 2021, 189, 116731. [Google Scholar] [CrossRef]
- Rinaldi, A.; Soini, M.C.; Streicher, K.; Patel, M.K.; Parra, D. Decarbonising heat with optimal PV and storage investments: A detailed sector coupling modelling framework with flexible heat pump operation. Appl. Energy 2021, 282, 116110. [Google Scholar] [CrossRef]
- D’Antoni, M.; Fedrizzi, R.; Sparber, W. IEA-SHC Task 44/HPP Annex 38 Solar and Heat Pump Systems; Technical Report; International Energy Agency: Geneva, Switzerland, 2012. Available online: http://task44.iea-shc.org/Data/Sites/1/publications/Task44-2012-06-Newsletter.pdf (accessed on 8 December 2022).
- Wang, X.; Xia, L.; Bales, C.; Zhang, X.; Copertaro, B.; Pan, S.; Wu, J. A systematic review of recent air source heat pump (ASHP) systems assisted by solar thermal, photovoltaic and photovoltaic/thermal sources. Renew. Energy 2020, 146, 2472–2487. [Google Scholar] [CrossRef]
- Grubbauer, A.; Fluch, J.; Brunner, C.; Ramschak, T.; Wilk, V.; Fleckl, T. Renewable and Highly Efficient Energy Systems Through Innovative Combination of Solar Thermal and Heat Pump Systems. Chem. Eng. Trans. 2018, 70, 745–750. [Google Scholar] [CrossRef]
- Arshad, K.M.A.K.; Ho, W.S.; Asli, U.A.; Muis, Z.A.; Hashim, H. Solar Assisted Heat Pump Application in the Automotive Manufacturing Industry. Chem. Eng. Trans. 2021, 89, 49–54. [Google Scholar] [CrossRef]
- Nouri, G.; Noorollahi, Y.; Yousefi, H. Solar assisted ground source heat pump systems—A review. Appl. Therm. Eng. 2019, 163, 114351. [Google Scholar] [CrossRef]
- Kamel, R.S.; Fung, A.S.; Dash, P.R. Solar systems and their integration with heat pumps: A review. Energy Build. 2015, 87, 395–412. [Google Scholar] [CrossRef]
- Palomba, V.; Dino, G.E.; Frazzica, A. Analysis of the Potential of Solar-Assisted Heat Pumps: Technical, Market, and Social Acceptance Aspects. Sol. RRL 2022, 6, 2200037. [Google Scholar] [CrossRef]
- Sezen, K.; Doğuş Tuncer, A.; Ozhan Akyuz, A.; Gungor, A. Effects of ambient conditions on solar assisted heat pump systems: A review. Sci. Total Environ. 2021, 778, 146362. [Google Scholar] [CrossRef] [PubMed]
- Lee, M.; Lee, D.; Park, M.H.; Kang, Y.T.; Kim, Y. Performance improvement of solar-assisted ground-source heat pumps with parallelly connected heat sources in heating-dominated areas. Energy 2022, 240, 122807. [Google Scholar] [CrossRef]
- Fan, Y.; Zhao, X.; Han, Z.; Li, J.; Badiei, A.; Akhlaghi, Y.G.; Liu, Z. Scientific and technological progress and future perspectives of the solar assisted heat pump (SAHP) system. Energy 2021, 229, 120719. [Google Scholar] [CrossRef]
- Hao, W.; Zhang, H.; Liu, S.; Mi, B.; Lai, Y. Mathematical modeling and performance analysis of direct expansion heat pump assisted solar drying system. Renew. Energy 2021, 165, 77–87. [Google Scholar] [CrossRef]
- Hao, W.; Liu, S.; Lai, Y.; Wang, M.; Liu, S. Research on drying Lentinus edodes in a direct expansion heat pump assisted solar drying system and performance of different operating modes. Renew. Energy 2022, 196, 638–647. [Google Scholar] [CrossRef]
- Jha, A.; Tripathy, P.P. Recent Advancements in Design, Application, and Simulation Studies of Hybrid Solar Drying Technology. Food Eng. Rev. 2021, 13, 375–410. [Google Scholar] [CrossRef]
- Wang, G.; Quan, Z.; Zhao, Y.; Sun, C.; Deng, Y.; Tong, J. Experimental study on a novel PV/T air dual-heat-source composite heat pump hot water system. Energy Build. 2015, 108, 175–184. [Google Scholar] [CrossRef]
- Kalogirou, S.A.; Tripanagnostopoulos, Y. Industrial application of PV/T solar energy systems. Appl. Therm. Eng. 2007, 27, 1259–1270. [Google Scholar] [CrossRef]
- Guarracino, I.; Mellor, A.; Ekins-Daukes, N.J.; Markides, C.N. Dynamic coupled thermal-and-electrical modelling of sheet-and-tube hybrid photovoltaic/thermal (PVT) collectors. Appl. Therm. Eng. 2016, 101, 778–795. [Google Scholar] [CrossRef]
- Joshi, S.S.; Dhoble, A.S. Photovoltaic -Thermal systems (PVT): Technology review and future trends. Renew. Sustain. Energy Rev. 2018, 92, 848–882. [Google Scholar] [CrossRef]
- Jacob, J.; Pandey, A.; Rahim, N.A.; Selvaraj, J.; Samykano, M.; Saidur, R.; Tyagi, V. Concentrated Photovoltaic Thermal (CPVT) systems: Recent advancements in clean energy applications, thermal management and storage. J. Energy Storage 2022, 45, 103369. [Google Scholar] [CrossRef]
- Daneshazarian, R.; Cuce, E.; Cuce, P.M.; Sher, F. Concentrating photovoltaic thermal (CPVT) collectors and systems: Theory, performance assessment and applications. Renew. Sustain. Energy Rev. 2018, 81, 473–492. [Google Scholar] [CrossRef]
- Sharaf, O.Z.; Orhan, M.F. Concentrated photovoltaic thermal (CPVT) solar collector systems: Part I—Fundamentals, design considerations and current technologies. Renew. Sustain. Energy Rev. 2015, 50, 1500–1565. [Google Scholar] [CrossRef]
- Renno, C.; Petito, F. Experimental and theoretical model of a concentrating photovoltaic and thermal system. Energy Convers. Manag. 2016, 126, 516–525. [Google Scholar] [CrossRef]
- Chandrasekar, M.; Senthilkumar, T. Five decades of evolution of solar photovoltaic thermal (PVT) technology—A critical insight on review articles. J. Clean. Prod. 2021, 322, 128997. [Google Scholar] [CrossRef]
- Herrando, M.; Markides, C.N. Hybrid PV and solar-thermal systems for domestic heat and power provision in the UK: Techno-economic considerations. Appl. Energy 2016, 161, 512–532. [Google Scholar] [CrossRef]
- Ramos, A.; Chatzopoulou, M.A.; Guarracino, I.; Freeman, J.; Markides, C.N. Hybrid photovoltaic-thermal solar systems for combined heating, cooling and power provision in the urban environment. Energy Convers. Manag. 2017, 150, 838–850. [Google Scholar] [CrossRef]
- Cabral, D. Development and performance comparison of a modified glazed CPC hybrid solar collector coupled with a bifacial PVT receiver. Appl. Energy 2022, 325, 119653. [Google Scholar] [CrossRef]
- Kelley, L.C.; Dubowsky, S. Thermal control to maximize photovoltaic powered reverse osmosis desalination systems productivity. Desalination 2013, 314, 10–19. [Google Scholar] [CrossRef]
- Mittelman, G.; Kribus, A.; Mouchtar, O.; Dayan, A. Water desalination with concentrating photovoltaic/thermal (CPVT) systems. Sol. Energy 2009, 83, 1322–1334. [Google Scholar] [CrossRef]
- Tiwari, S.; Agrawal, S.; Tiwari, G.N. PVT air collector integrated greenhouse dryers. Renew. Sustain. Energy Rev. 2018, 90, 142–159. [Google Scholar] [CrossRef]
- Wang, K.; Pantaleo, A.M.; Herrando, M.; Faccia, M.; Pesmazoglou, I.; Franchetti, B.M.; Markides, C.N. Spectral-splitting hybrid PV-thermal (PVT) systems for combined heat and power provision to dairy farms. Renew. Energy 2020, 159, 1047–1065. [Google Scholar] [CrossRef]
- Ul Abdin, Z.; Rachid, A. A Survey on Applications of Hybrid PV/T Panels. Energies 2021, 14, 1205. [Google Scholar] [CrossRef]
- Lämmle, M.; Herrando, M.; Ryan, G. Basic Concepts of PVT Collector Technologies, Applications and Markets; Technical Report; IEA SHC: Paris, France, 2020. Available online: https://www.iea-shc.org/Data/Sites/1/publications/IEA-SHC-Task60-D5-Basic-Concepts-of-PVT-Technologies.pdf (accessed on 6 December 2022). [CrossRef]
- Kumar, M.; Haillot, D.; Gibout, S. Survey and evaluation of solar technologies for agricultural greenhouse application. Sol. Energy 2022, 232, 18–34. [Google Scholar] [CrossRef]
- Akar, S.; Kurup, P.; McTigue, J.; Boyd, M. Renewable thermal hybridization framework for industrial process heat applications. Aip Conf. Proc. 2022, 2445, 140002. [Google Scholar] [CrossRef]
- Perers, B.; Furbo, S.; Tian, Z.; Egelwisse, J.; Bava, F.; Fan, J. Tårs 10000 m² CSP + flat plate solar collector plant—Cost-performance optimization of the design. Energy Procedia 2016, 91, 312–316. [Google Scholar] [CrossRef]
- Dermentzis, G.; Ochs, F.; Franzoi, N. Four years monitoring of heat pump, solar thermal and PV system in two net-zero energy multi-family buildings. J. Build. Eng. 2021, 43, 103199. [Google Scholar] [CrossRef]
- Cai, J.; Zhou, H.; Shi, Z.; Chen, H.; Zhang, T. Analysis and optimization on the performance of a heat pump water heater with solar-air dual series source. Case Stud. Therm. Eng. 2021, 28, 101577. [Google Scholar] [CrossRef]
- Yao, J.; Zheng, S.; Chen, D.; Dai, Y.; Huang, M. Performance improvement of vapor-injection heat pump system by employing PVT collector/evaporator for residential heating in cold climate region. Energy 2021, 219, 119636. [Google Scholar] [CrossRef]
- Chow, T. A review on photovoltaic/thermal hybrid solar technology. Appl. Energy 2010, 87, 365–379. [Google Scholar] [CrossRef]
- Lu, S.; Zhang, J.; Liang, R. Experimental research on the vapor injected photovoltaic-thermal heat pump for heating, power generation and refrigeration. Energy Convers. Manag. 2022, 257, 115452. [Google Scholar] [CrossRef]
- Bisengimana, E.; Zhou, J.; Binama, M.; Yuan, Y. Numerical investigation on the factors influencing the temperature distribution of photovoltaic/thermal (PVT) evaporator/condenser for heat pump systems. Renew. Energy 2022, 194, 885–901. [Google Scholar] [CrossRef]
- Cai, J.; Ji, J.; Wang, Y.; Zhou, F.; Yu, B. A novel PV/T-air dual source heat pump water heater system: Dynamic simulation and performance characterization. Energy Convers. Manag. 2017, 148, 635–645. [Google Scholar] [CrossRef]
- Li, H.; Sun, Y. Operational performance study on a photovoltaic loop heat pipe/solar assisted heat pump water heating system. Energy Build. 2018, 158, 861–872. [Google Scholar] [CrossRef]
- Zhou, J.; Ma, X.; Zhao, X.; Yuan, Y.; Yu, M.; Li, J. Numerical simulation and experimental validation of a micro-channel PV/T modules based direct-expansion solar heat pump system. Renew. Energy 2020, 145, 1992–2004. [Google Scholar] [CrossRef]
- Jiang, Y.; Li, X.; Yao, J.; Wan, X.; Zhang, J.; Dai, Y. Design and performance simulation of a distributed aerobic composting system assisted by solar PV/T heat pump. Renew. Energy 2022, 196, 547–559. [Google Scholar] [CrossRef]
- Cui, Y.; Zhu, J.; Zoras, S.; Qiao, Y.; Zhang, X. Energy performance and life cycle cost assessments of a photovoltaic/thermal assisted heat pump system. Energy 2020, 206, 118108. [Google Scholar] [CrossRef]
- Del Amo, A.; Martínez-Gracia, A.; Pintanel, T.; Bayod-Rújula, A.; Torné, S. Analysis and optimization of a heat pump system coupled to an installation of PVT panels and a seasonal storage tank on an educational building. Energy Build. 2020, 226, 110373. [Google Scholar] [CrossRef]
- Abbas, S.; Yuan, Y.; Hassan, A.; Zhou, J.; Zeng, C.; Yu, M.; Emmanuel, B. Experimental and numerical investigation on a solar direct-expansion heat pump system employing PV/T & solar thermal collector as evaporator. Energy 2022, 254, 124312. [Google Scholar] [CrossRef]
- Zhang, P.; Rong, X.; Yang, X.; Zhang, D. Design and performance simulation of a novel hybrid PV/T-air dual source heat pump system based on a three-fluid heat exchanger. Sol. Energy 2019, 191, 505–517. [Google Scholar] [CrossRef]
- Choi, H.U.; Kim, Y.B.; Son, C.H.; Yoon, J.I.; Choi, K.H. Experimental study on the performance of heat pump water heating system coupled with air type PV/T collector. Appl. Therm. Eng. 2020, 178, 115427. [Google Scholar] [CrossRef]
- Wang, Y.; Quan, Z.; Zhao, Y.; Wang, L.; Liu, Z. Performance and optimization of a novel solar-air source heat pump building energy supply system with energy storage. Appl. Energy 2022, 324, 119706. [Google Scholar] [CrossRef]
- Wang, Y.; Zhang, Y.; Hao, J.; Pan, H.; Ni, Y.; Di, J.; Ge, Z.; Chen, Q.; Guo, M. Modeling and operation optimization of an integrated ground source heat pump and solar PVT system based on heat current method. Sol. Energy 2021, 218, 492–502. [Google Scholar] [CrossRef]
- Bae, S.; Nam, Y. Feasibility analysis for an integrated system using photovoltaic-thermal and ground source heat pump based on real-scale experiment. Renew. Energy 2022, 185, 1152–1166. [Google Scholar] [CrossRef]
- Marasli, D.B.; Gunes, N.C.; Tavman, S. A comprehensive review of solar photovoltaic hybrid food drying systems. Crit. Rev. Food Sci. Nutr. 2022, 62, 4152–4168. [Google Scholar] [CrossRef]
- Fudholi, A.; Sopian, K.; Gabbasa, M.; Bakhtyar, B.; Yahya, M.; Ruslan, M.H.; Mat, S. Techno-economic of solar drying systems with water based solar collectors in Malaysia: A review. Renew. Sustain. Energy Rev. 2015, 51, 809–820. [Google Scholar] [CrossRef]
- Koşan, M.; Demirtaş, M.; Aktaş, M.; Dişli, E. Performance analyses of sustainable PV/T assisted heat pump drying system. Sol. Energy 2020, 199, 657–672. [Google Scholar] [CrossRef]
- Zhang, J.; Zhang, H.H.; He, Y.L.; Tao, W.Q. A comprehensive review on advances and applications of industrial heat pumps based on the practices in China. Appl. Energy 2016, 178, 800–825. [Google Scholar] [CrossRef]
- The World Bank. Source: Global Solar Atlas 2.0, Solar Resource Data: Solargis. 2020. Available online: https://solargis.com/maps-and-gis-data/download/world (accessed on 3 February 2023).
- AEE INTEC. Database for Applications of Solar Heat Integration in Industrial Processes. Available online: http://ship-plants.info/ (accessed on 6 December 2022).
- Werner Weiss and Monika Spörk-Dür. Solar Heat Worldwide Edition 2018; Technical Report; AEE—Institute for Sustainable Technologies: Gleisdorf, Austria, 2018; Available online: https://www.iea-shc.org/Data/Sites/1/publications/Solar-Heat-Worldwide-2018.pdf (accessed on 6 February 2023).
- Werner Weiss and Monika Spörk-Dür. Solar Heat Worldwide Edition 2019; Technical Report; AEE—Institute for Sustainable Technologies: Gleisdorf, Austria, 2019; Available online: https://www.iea-shc.org/Data/Sites/1/publications/Solar-Heat-Worldwide-2019.pdf (accessed on 6 February 2023).
- Werner Weiss and Monika Spörk-Dür. Solar Heat Worldwide Edition 2020; Technical Report; AEE—Institute for Sustainable Technologies: Gleisdorf, Austria, 2020; Available online: https://www.iea-shc.org/Data/Sites/1/publications/Solar-Heat-Worldwide-2020.pdf (accessed on 6 February 2023).
- Werner Weiss and Monika Spörk-Dür. Solar Heat Worldwide Edition 2021; Technical Report; AEE—Institute for Sustainable Technologies: Gleisdorf, Austria, 2021; Available online: https://www.iea-shc.org/Data/Sites/1/publications/Solar-Heat-Worldwide-2021.pdf (accessed on 6 February 2023).
- Zenhäusern, D.; Gagliano, A.; Jonas, D.; Tina, G.; Hadorn, J.C.; Lämmle, M.; Herrando, M. Key Performance Indicators for PVT Systems | IEA SHC TASK 60/ Report D1; Technical Report; International Energy Agency: Rapperswil, Switzerland, 2020; Available online: https://www.iea-shc.org/Data/Sites/1/publications/IEA-SHC-Task60-D1-Key-Performance-Indicators.pdf (accessed on 20 December 2022). [CrossRef]
- Cabeza, L.F.; Galindo, E.; Prieto, C.; Barreneche, C.; Inés Fernéndez, A. Key performance indicators in thermal energy storage: Survey and assessment. Renew. Energy 2015, 83, 820–827. [Google Scholar] [CrossRef]
- Lazzaretto, A.; Toffolo, A. Energy, economy and environment as objectives in multi-criterion optimization of thermal systems design. Energy 2004, 29, 1139–1157. [Google Scholar] [CrossRef]
- Zhou, B.; Pei, J.; Calautit, J.K.; Zhang, J.; Yong, L.X.; Pantua, C.A.J. Analysis of mechanical response and energy efficiency of a pavement integrated photovoltaic/thermal system (PIPVT). Renew. Energy 2022, 194, 1–12. [Google Scholar] [CrossRef]
- Berković-Šubić, M.; Rauch, M.; Dović, D.; Andrassy, M. Primary energy consumption of the dwelling with solar hot water system and biomass boiler. Energy Convers. Manag. 2014, 87, 1151–1161. [Google Scholar] [CrossRef]
- Calise, F.; Palombo, A.; Vanoli, L. Maximization of primary energy savings of solar heating and cooling systems by transient simulations and computer design of experiments. Appl. Energy 2010, 87, 524–540. [Google Scholar] [CrossRef]
- Huang, B.; Lin, T.; Hung, W.; Sun, F. Performance evaluation of solar photovoltaic/thermal systems. Sol. Energy 2001, 70, 443–448. [Google Scholar] [CrossRef]
- Milani, D. Chapter 14—Renewable Energy Integration in Combined Cooling, Heating, and Power (CCHP) Processes. In Polygeneration with Polystorage for Chemical and Energy Hubs; Khalilpour, K.R., Ed.; Academic Press: London, UK, 2019; pp. 459–491. [Google Scholar] [CrossRef]
- Short, W.; Packey, D.J.; Holt, T. A Manual for the Economic Evaluation of Energy Efficiency and Renewable Energy Technologies; Technical Report; National Renewable Energy Lab. (NREL): Golden, CO, USA, 1995. Available online: https://www.nrel.gov/docs/legosti/old/5173.pdf (accessed on 20 December 2022).
- Baez, M.J.; Martínez, T.L. Technical Report on the Elaboration of a Cost Estimation Methodology; Technical Report; FROnT Fair RHC Options and Trade: Madrid, Spain, 2015; Available online: https://www.front-rhc.eu/wp-content/uploads/2014/11/FROnT_D3.1_elaboration-of-a-cost-estimation-methodology_2015.07.22.pdf (accessed on 17 December 2022).
- Louvet, Y.; Fischer, S.; Furbo, S.; Giovanetti, F.; Köhl, M.; Mauthner, F.; Mugnier, D.; Philippen, D.; Veynandt, F. IEA SHC task 54 LCoH for Solar Thermal Applications; Technical Report; International Energy Agency, Solar Heating and Cooling Programme: Paris, France, 2017. Available online: https://task54.iea-shc.org/Data/Sites/1/publications/A01-Info-Sheet–LCOH-for-Solar-Thermal-Applications.pdf (accessed on 19 December 2022).
- Veynandt, F.; Ramschak, T.; Louvet, Y.; Köhl, M.; Fischer, S. LCoH Calculation Method: Comparison Between Task 54 and Solar Heat WorldWide; Technical Report; International Energy Agency, Solar Heating and Cooling Programme: Paris, France, 2018. Available online: https://task54.iea-shc.org/Data/Sites/1/publications/A13-Info-Sheet–LCOH-Comparison-SHWW.pdf (accessed on 19 December 2022).
- Wang, J.J.; Jing, Y.Y.; Zhang, C.F.; Zhao, J.H. Review on multi-criteria decision analysis aid in sustainable energy decision-making. Renew. Sustain. Energy Rev. 2009, 13, 2263–2278. [Google Scholar] [CrossRef]
- Louvet, Y.; Fischer, S.; Furbo, S.; Giovannetti, F.; Helbig, S.; Köhl, M.; Mugnier, D.; Philippen, D.; Veynandt, F.; Vajen, K. Economic comparison of reference solar thermal systems for households in five European countries. Sol. Energy 2019, 193, 85–94. [Google Scholar] [CrossRef]
- Lamnatou, C.; Chemisana, D. Concentrating solar systems: Life Cycle Assessment (LCA) and environmental issues. Renew. Sustain. Energy Rev. 2017, 78, 916–932. [Google Scholar] [CrossRef]
- Beccali, M.; Cellura, M.; Longo, S.; Cusenza, M.A.; Gulotta, T.M.; Mugnier, D.; Palomba, V.; Quiles, P.G.V.; Selke, T.; Vasta, S. LCA and Techno-Eco Comparison between Reference and New Systems; Technical Report; IEA SHC: Palermo, Italy, 2018. [CrossRef]
- Gebreslassie, B.H.; Guillén-Gosálbez, G.; Jiménez, L.; Boer, D. Solar assisted absorption cooling cycles for reduction of global warming: A multi-objective optimization approach. Sol. Energy 2012, 86, 2083–2094. [Google Scholar] [CrossRef]
- Mahmud, M.A.P.; Huda, N.; Farjana, S.H.; Lang, C. Environmental Impacts of Solar-Photovoltaic and Solar-Thermal Systems with Life-Cycle Assessment. Energies 2018, 11, 2346. [Google Scholar] [CrossRef]
- Milousi, M.; Souliotis, M. Chapter 3—Life cycle assessment review in solar thermal systems. In Environmental Assessment of Renewable Energy Conversion Technologies; Fokaides, P.A., Kylili, A., zoe Georgali, P., Eds.; Elsevier: Amsterdam, The Netherlands, 2022; pp. 37–53. [Google Scholar] [CrossRef]
- Frischknecht, R.; Heath, G.; Raugei, M.; Sinha, P.; de Wild-Scholten, M.; Fthenakis, V.; Kim, H.C.; Alsema, E.; Held, M. Methodology Guidelines on Life Cycle Assessment of Photovoltaic Electricity; Technical Report; IEA: Golden, CO, USA, 2011. Available online: https://iea-pvps.org/wp-content/uploads/2020/01/Task_12_-_Methodology_Guidelines_on_Life_Cycle_Assessment_of_Photovoltaic_Electricity_3rd_Edition.pdf (accessed on 8 January 2023).
- Chow, T.T.; Ji, J. Environmental Life-Cycle Analysis of Hybrid Solar Photovoltaic/Thermal Systems for Use in Hong Kong. Int. J. Photoenergy 2012, 2012, 101968. [Google Scholar] [CrossRef]
- Huijbregts, M.A.; Steinmann, Z.J.; Elshout, P.M.; Stam, G.; Verones, F.; Vieira, M.; Zijp, M.; Hollander, A.; Van Zelm, R. ReCiPe2016: A harmonised life cycle impact assessment method at midpoint and endpoint level. Int. J. Life Cycle Assess. 2017, 22, 138–147. [Google Scholar] [CrossRef]
- Soimakallio, S.; Kiviluoma, J.; Saikku, L. The complexity and challenges of determining GHG (greenhouse gas) emissions from grid electricity consumption and conservation in LCA (life cycle assessment) A methodological review. Energy 2011, 36, 6705–6713. [Google Scholar] [CrossRef]
- Bustamante, M.L.; Hubler, B.; Gaustad, G.; Babbitt, C.W. Life cycle assessment of jointly produced solar energy materials: Challenges and best practices. Sol. Energy Mater. Sol. Cells 2016, 156, 11–26. [Google Scholar] [CrossRef]
- Moni, S.M.; Mahmud, R.; High, K.; Carbajales-Dale, M. Life cycle assessment of emerging technologies: A review. J. Ind. Ecol. 2020, 24, 52–63. [Google Scholar] [CrossRef]
- Bait, O. Exergy, environ–economic and economic analyses of a tubular solar water heater assisted solar still. J. Clean. Prod. 2019, 212, 630–646. [Google Scholar] [CrossRef]
- Blanquiceth, J.; Cardemil, J.; Henríquez, M.; Escobar, R. Thermodynamic evaluation of a pumped thermal electricity storage system integrated with large-scale thermal power plants. Renew. Sustain. Energy Rev. 2023, 175, 113134. [Google Scholar] [CrossRef]
- Buonomano, A.; Calise, F.; Palombo, A.; Vicidomini, M. Transient analysis, exergy and thermo-economic modelling of façade integrated photovoltaic/thermal solar collectors. Renew. Energy 2019, 137, 109–126. [Google Scholar] [CrossRef]
- Askari, I.B.; Shahsavar, A.; Jamei, M.; Calise, F.; Karbasi, M. A parametric assessing and intelligent forecasting of the energy and exergy performances of a dish concentrating photovoltaic/thermal collector considering six different nanofluids and applying two meticulous soft computing paradigms. Renew. Energy 2022, 193, 149–166. [Google Scholar] [CrossRef]
- Mata-Torres, C.; Zurita, A.; Cardemil, J.M.; Escobar, R.A. Exergy cost and thermoeconomic analysis of a Rankine Cycle+Multi-Effect Distillation plant considering time-varying conditions. Energy Convers. Manag. 2019, 192, 114–132. [Google Scholar] [CrossRef]
- Herrando, M.; Pantaleo, A.M.; Wang, K.; Markides, C.N. Solar combined cooling, heating and power systems based on hybrid PVT, PV or solar-thermal collectors for building applications. Renew. Energy 2019, 143, 637–647. [Google Scholar] [CrossRef]
- Mellor, A.; Alonso Alvarez, D.; Guarracino, I.; Ramos, A.; Riverola Lacasta, A.; Ferre Llin, L.; Murrell, A.; Paul, D.; Chemisana, D.; Markides, C.; et al. Roadmap for the next-generation of hybrid photovoltaic-thermal solar energy collectors. Sol. Energy 2018, 174, 386–398. [Google Scholar] [CrossRef]
- Hasan, M.A.; Sumathy, K. Photovoltaic thermal module concepts and their performance analysis: A review. Renew. Sustain. Energy Rev. 2010, 14, 1845–1859. [Google Scholar] [CrossRef]
- George, M.; Pandey, A.; Abd Rahim, N.; Tyagi, V.; Shahabuddin, S.; Saidur, R. Concentrated photovoltaic thermal systems: A component-by-component view on the developments in the design, heat transfer medium and applications. Energy Convers. Manag. 2019, 186, 15–41. [Google Scholar] [CrossRef]
- Mohanraj, M.; Belyayev, Y.; Jayaraj, S.; Kaltayev, A. Research and developments on solar assisted compression heat pump systems—A comprehensive review (Part-B: Applications). Renew. Sustain. Energy Rev. 2018, 83, 124–155. [Google Scholar] [CrossRef]
- Saini, P.; Ghasemi, M.; Arpagaus, C.; Bless, F.; Bertsch, S.; Zhang, X. Techno-economic comparative analysis of solar thermal collectors and high-temperature heat pumps for industrial steam generation. Energy Convers. Manag. 2023, 277, 116623. [Google Scholar] [CrossRef]
- Jones, P.; Taylor, S.; Nakai, S.; Jennings, J. 9-Electroheat and Materials Processing. In Electrical Engineer’s Reference Book, 16th ed.; Laughton, M., Warne, D., Eds.; Newnes: Oxford, UK, 2003. [Google Scholar] [CrossRef]

























| Technology | Application | Country | Time | References |
|---|---|---|---|---|
| ST-HP | Industry | China | 5 days of October and 2 days of November | [98] |
| Industry | China | 1–6 July | [99] | |
| Domestic | China | 26 January and 25 February | [101] | |
| PV-HP | Industry | Norway | 10–17 February | [86] |
| PVT | Industry | India | 1 day | [115] |
| PVT-HP | Domestic | China | 9.5 h | [38] |
| Prototype | China | 2 h | [123] | |
| Domestic | China | 25 January and 19 August | [137] | |
| Domestic | South Korea | 31 October and 1 November: 5 h | [136] | |
| Domestic | South Korea | 17 August: 4 h | [139] | |
| Domestic | China | 1 day | [130] | |
| ST-ST parallel | Prototype | Saudi Arabia | Winter and Summer | [35] |
| ST-ST serial | Domestic | Denmark | September 2015 to August 2016 | [34] |
| Domestic | Denmark | September 2015 to April 2016 | [40] |
Disclaimer/Publisher’s Note: The statements, opinions and data contained in all publications are solely those of the individual author(s) and contributor(s) and not of MDPI and/or the editor(s). MDPI and/or the editor(s) disclaim responsibility for any injury to people or property resulting from any ideas, methods, instructions or products referred to in the content. |
© 2023 by the authors. Licensee MDPI, Basel, Switzerland. This article is an open access article distributed under the terms and conditions of the Creative Commons Attribution (CC BY) license (https://creativecommons.org/licenses/by/4.0/).
Share and Cite
Rosales-Pérez, J.F.; Villarruel-Jaramillo, A.; Romero-Ramos, J.A.; Pérez-García, M.; Cardemil, J.M.; Escobar, R. Hybrid System of Photovoltaic and Solar Thermal Technologies for Industrial Process Heat. Energies 2023, 16, 2220. https://doi.org/10.3390/en16052220
Rosales-Pérez JF, Villarruel-Jaramillo A, Romero-Ramos JA, Pérez-García M, Cardemil JM, Escobar R. Hybrid System of Photovoltaic and Solar Thermal Technologies for Industrial Process Heat. Energies. 2023; 16(5):2220. https://doi.org/10.3390/en16052220
Chicago/Turabian StyleRosales-Pérez, Josué F., Andrés Villarruel-Jaramillo, José A. Romero-Ramos, Manuel Pérez-García, José M. Cardemil, and Rodrigo Escobar. 2023. "Hybrid System of Photovoltaic and Solar Thermal Technologies for Industrial Process Heat" Energies 16, no. 5: 2220. https://doi.org/10.3390/en16052220
APA StyleRosales-Pérez, J. F., Villarruel-Jaramillo, A., Romero-Ramos, J. A., Pérez-García, M., Cardemil, J. M., & Escobar, R. (2023). Hybrid System of Photovoltaic and Solar Thermal Technologies for Industrial Process Heat. Energies, 16(5), 2220. https://doi.org/10.3390/en16052220

