The Controls of Laminae on Lacustrine Shale Oil Content in China: A Review from Generation, Retention, and Storage
Abstract
1. Introduction
2. Classification and Terminology for Shale Laminae
3. Controlling Factors of Oiliness in Shales
3.1. Restriction of Organic Matter Properties on Oiliness
3.2. Restriction of Mineral Composition on Oiliness
3.3. Restriction of Pore Structure on Oiliness
3.4. Restriction of Preservation Condition on Oiliness
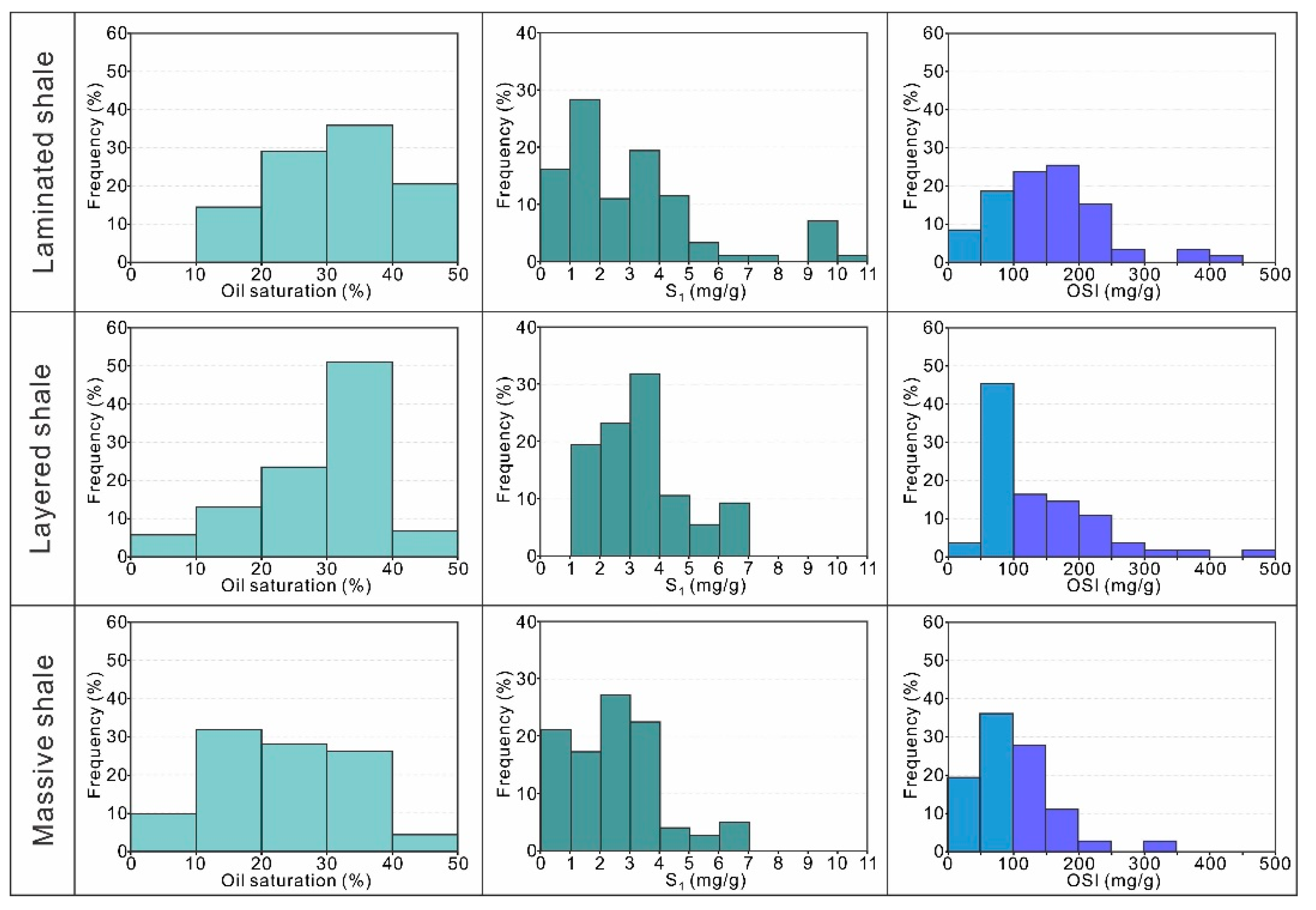
4. Influence of Laminae on Shale Oil Content
4.1. Laminae and Quality of Source Rock
4.2. Laminae and Storage Property
4.3. Laminae and Expulsion Efficiency of Shale Oil
5. Conclusions
- (1)
- Mineral composition, thickness, continuity, geometry, color, and grain size are critical parameters for classifying shale lamination. However, the classification and terminology of shale laminae with different delineation schemes are often mutually inclusive. Therefore, a unified laminar capture scheme that can take into account various geological attributes needs to be proposed urgently.
- (2)
- The oil-bearing property of shale reservoirs is influenced by a variety of factors. The type of organic matter, abundance, maturity, mineral composition, pore structure, and preservation conditions synergistically control the enrichment degree of petroleum molecules in the shale system. Generally, a shale system with aliphatic-rich organic matter, high TOC content, moderate Ro, excellent storage space, and great preservation condition generally has a superior shale oil content.
- (3)
- As the degree of shale laminae development improves its hydrocarbon source rock quality and pore structure parameters (e.g., porosity and pore size) increase accordingly. However, the development of micro-fractures associated with laminae will also promote the transport and discharge of hydrocarbons. Overall, the strong hydrocarbon generation capacity and superior storage space make the lamellar shale still have considerable retention of petroleum even with high oil expulsion efficiency.
- (4)
- The large pore size and good pore connectivity of laminated shale effectively improve the mobility of petroleum molecules, which is conducive to the high production of shale oil in the subsequent fracturing period. Combined with oil-bearing characteristics, thus, laminated shales are generally identified as sweet spot lithofacies for shale oil development in China. By doing so, the identification and prediction of laminae in the geological profile will be the focus of future work.
Author Contributions
Funding
Data Availability Statement
Conflicts of Interest
References
- Katz, B.; Lin, F. Lacustrine basin unconventional resource plays: Key differences. Mar. Pet. Geol. 2014, 56, 255–265. [Google Scholar] [CrossRef]
- Jin, Z.; Liang, X.; Bai, Z. Exploration breakthrough and its significance of Gulong lacustrine shale oil in the Songliao Basin, Northeastern China. Energy Geosci. 2022, 3, 120–125. [Google Scholar] [CrossRef]
- Li, Y.; Zhao, Q.; Lv, Q.; Xue, Z.; Cao, X.; Liu, Z. Evaluation technology and practice of continental shale oil development in China. Pet. Explor. Dev. 2022, 49, 1098–1109. [Google Scholar] [CrossRef]
- Xu, S.; Gou, Q. The importance of laminae for China lacustrine shale oil enrichment: A review. Energies 2023, 16, 1661. [Google Scholar] [CrossRef]
- U.S. Energy Information Administration (EIA). In How Much Shale (Tight) Oil Is Produced in the United States? US Department of Energy: Washington, DC, USA, 2020. Available online: https://www.eia.gov/tools/faqs/faq.php?id=847&t=6#:∼:text=How%20much%20shale%20(tight)%20oil,resources%20in%20the%20United%20States (accessed on 4 October 2022).
- U.S. Energy Information Administration (EIA). International Energy Outlook 2019 with Projections to 2050; US Energy Information Administration: Washington, DC, USA, 2019. Available online: https://www.eia.gov/outlooks/ieo/pdf/ieo2019.pdf (accessed on 2 February 2021).
- Boak, J.; Kleinberg, R. Shale gas, tight oil, shale oil and hydraulic fracturing. In Future Energy; Elsevier: Amsterdam, The Netherlands, 2020; pp. 67–95. [Google Scholar] [CrossRef]
- Sun, L.; Feng, Z.; Jiang, H.; Jiang, T. Responsibilities of petroleum prospectors: Discussions on dual logic and development trend of hydrocarbon exploration. Pet. Explor. Dev. 2021, 48, 999–1006. [Google Scholar] [CrossRef]
- Zhao, X.; Zhou, L.; Pu, X.; Han, W.; Shi, Z.; Jing, F.; Xu, J.; Liu, X.; Guan, Q.; Chen, C.; et al. Theories, technologies and practices of lacustrine shale oil exploration and development: A case study of Paleogene Kongdian Formation in Cangdong sag, Bohai Bay Basin, China. Pet. Explor. Dev. 2022, 49, 707–718. [Google Scholar] [CrossRef]
- Shi, J.; Jin, Z.; Liu, Q.; Zhang, T.; Fan, T.; Gao, Z. Laminar characteristics of lacustrine organic-rich shales and their significance for shale reservoir formation: A case study of the Paleogene shales in the Dongying Sag, Bohai Bay Basin, China. J. Asian Earth Sci. 2022, 223, 104976. [Google Scholar] [CrossRef]
- Liu, H. Geological particularity and exploration practice of Paleogene shale oil in Jiyang depression: A case study of the upper submember of Member 4 to the lower submember of Member 3 of Shahejie Formation. Acta Pet. Sin. 2022, 43, 581. [Google Scholar]
- Li, Q.; Xu, S.; Zhang, L.; Chen, F.; Wu, S.; Bai, N. Shale oil enrichment mechanism of the Paleogene Xingouzui Formation, Jianghan Basin, China. Energies 2022, 15, 4038. [Google Scholar] [CrossRef]
- Yan, W.; Sun, F.; Sun, J.; Golsanami, N. Distribution model of fluid components and quantitative calculation of movable oil in inter-salt shale using 2D NMR. Energies 2021, 14, 2447. [Google Scholar] [CrossRef]
- Zou, C.; Pan, S.; Horsfield, B.; Yang, Z.; Hao, S.; Liu, E.; Zhang, L. Oil retention and intrasource migration in the organic-rich lacustrine Chang 7 shale of the Upper Triassic Yanchang Formation, Ordos Basin, central China. AAPG Bull. 2019, 103, 2627–2663. [Google Scholar] [CrossRef]
- Wu, S.; Zhu, R.; Luo, Z.; Yang, Z.; Jiang, X.; Lin, M.; Su, L. Laminar structure of typical continental shales and reservoir quality evaluation in central-western basins in China. China Pet. Explor. 2022, 27, 62–72, (In Chinese with English Abstract). [Google Scholar]
- Guo, Q.; Yao, Y.; Hou, L.; Tang, S.; Pan, S.; Yang, F. Oil migration, retention, and differential accumulation in “sandwiched” lacustrine shale oil systems from the Chang 7 member of the Upper Triassic Yanchang Formation, Ordos Basin, China. Int. J. Coal Geol. 2022, 261, 104077. [Google Scholar] [CrossRef]
- Pang, X.; Wang, G.; Kuang, L.; Li, H.; Zhao, Y.; Li, D.; Zhao, X.; Wu, S.; Feng, Z.; Lai, J. Insights into the pore structure and oil mobility in fine-grained sedimentary rocks: The Lucaogou Formation in Jimusar Sag, Junggar Basin, China. Mar. Pet. Geol. 2022, 137, 105492. [Google Scholar] [CrossRef]
- Zhao, W.; Zhu, R.; Liu, W.; Bing, C.; Wang, K. Enrichment conditions and occurrence features of lacustrine mid-high matured shale oil in onshore China. Earth Sci. Front. 2023, 30, 116–127. [Google Scholar]
- Zou, C.; Qiu, Z.; Zhang, J.; Li, Z.; Wei, H.; Liu, B.; Zhao, J.; Yang, T.; Zhu, S.; Tao, H.; et al. Unconventional petroleum sedimentology: A key to understanding unconventional hydrocarbon accumulation. Engineering 2022, 18, 62–78. [Google Scholar] [CrossRef]
- Martin, R.; Baihly, J.; Malpani, R.; Atwood, W. Understanding Production from Eagle Ford-Austin chalk system. Soc. Pet. Eng. 2011, 114117, 1–28. [Google Scholar]
- Jarvie, D.M. Components and processes affecting producibility and commerciality of shale resource systems. Geol. Acta 2014, 12, 307–325. [Google Scholar]
- Jin, Z.; Zhu, R.; Liang, X.; Shen, Y. Several issues worthy of attention in current lacustrine shale oil exploration and development. Pet. Explor. Dev. 2021, 48, 1471–1484. [Google Scholar] [CrossRef]
- Wang, E.; Feng, Y.; Guo, T.; Li, M. Oil content and resource quality evaluation methods for lacustrine shale: A review and a novel three-dimensional quality evaluation model. Earth-Sci. Rev. 2022, 232, 104134. [Google Scholar] [CrossRef]
- Bohacs, K.M.; Carroll, A.R.; Neal, J.E.; Mankiewicz, P.J. Lake-basin type, source potential, and hydrocarbon character: An integrated sequence-stratigraphic-geochemical framework. Lake basins through space and time. AAPG Stud. Geol. 2000, 46, 3–34. [Google Scholar]
- Zhao, K.; Du, X.; Lu, Y.; Xiong, S.; Wang, Y. Are light-dark coupled laminae in lacustrine shale seasonally controlled? A case study using astronomical tuning from 42.2 to 45.4 Ma in the Dongying Depression, Bohai Bay Basin, eastern China. Palaeogeography, Palaeoclimatolog. Palaeoecology 2019, 528, 35–49. [Google Scholar] [CrossRef]
- Hu, S.; Bai, B.; Tao, S.; Bian, C.; Zhang, T.; Chen, Y.; Liang, X.; Wang, L.; Zhu, R.; Jia, J.; et al. Heterogeneous geological conditions and differential enrichment of medium and high maturity continental shale oil in China. Pet. Explor. Dev. 2022, 49, 257–271. [Google Scholar] [CrossRef]
- Xu, Q.; Zhao, X.; Pu, X.; Han, W.; Shi, Z.; Tian, J.; Zhang, B.; Xin, B.; Guo, P. Characteristics and Control Mechanism of Lacustrine Shale Oil Reservoir in the Member 2 of Kongdian Formation in Cangdong Sag, Bohai Bay Basin, China. Front. Earth Sci. 2021, 9, 1144. [Google Scholar] [CrossRef]
- Xin, B.; Zhao, X.; Hao, F.; Jin, F.; Pu, X.; Han, W.; Xu, Q.; Guo, P.; Tian, J. Laminae characteristics of lacustrine shales from the Paleogene Kongdian Formation in the Cangdong Sag, Bohai Bay Basin, China: Why do laminated shales have better reservoir physical properties? Int. J. Coal Geol. 2022, 260, 104056. [Google Scholar] [CrossRef]
- Wang, Y.; Wang, X.; Song, G.; Liu, H.; Zhu, D.; Zhu, D.; Ding, J.; Yang, W.; Yin, Y.; Zhang, S.; et al. Genetic connection between mud shale lithofacies and shale oil enrichment in Jiyang Depression, Bohai Bay Basin. Pet. Explor. Dev. 2016, 43, 759–768. [Google Scholar] [CrossRef]
- Song, M.; Liu, H.; Wang, Y.; Liu, Y. Enrichment rules and exploration practices of Paleogene shale oil in Jiyang Depression, Bohai Bay Basin, China. Pet. Explor. Dev. 2020, 47, 225–235. [Google Scholar] [CrossRef]
- Kuroda, J.; Ohkouchi, N.; Ishii, T.; Tokuyama, H.; Taira, A. Lamina-scale analysis of sedimentary components in Cretaceous black shales by chemical compositional mapping: Implications for paleoenvironmental changes during the Oceanic Anoxic Events. Geochim. Et Cosmochim. Acta 2005, 69, 1479–1494. [Google Scholar] [CrossRef]
- Li, L.; Huang, B.; Tan, Y.; Li, X.; Ranjith, P.G. Using micro-indentation to determine the elastic modulus of shale laminae and its implication: Cross-scale correlation of elastic modulus of mineral and rock. Mar. Pet. Geol. 2022, 143, 105740. [Google Scholar] [CrossRef]
- Lazar, O.R.; Bohacs, K.M.; Macquaker, J.H.S.; Schieber, J.; Demko, T.M. Capturing key attributes of fine-grained sedimentary rocks in outcrops, cores, and thin sections: Nomenclature and description guidelines. J. Sediment. Res. 2015, 85, 230–246. [Google Scholar] [CrossRef]
- Zolitschka, B.; Francus, P.; Ojala, A.E.K.; Schimmelmann, A. Varves in lake sediments—A review. Quat. Sci. Rev. 2015, 117, 1–41. [Google Scholar] [CrossRef]
- Liu, H.; Wang, Y.; Yang, Y.; Zhang, S. Sedimentary environment and lithofacies of fine-grained hybrid in Dongying Sag: A case of fine-grained sedimentary system of the Es4. Earth Sci. 2020, 45, 3543–3555, (In Chinese with English Abstract). [Google Scholar]
- Li, L.; Huang, B.; Li, Y.; Hu, R.; Li, X. Multi-scale modeling of shale laminas and fracture networks in the Yanchang formation, Southern Ordos Basin, China. Eng. Geol. 2018, 243, 231–240. [Google Scholar] [CrossRef]
- Woo, J.; Lee, H.S.; Ozyer, C.; Rhee, C.W. Effect of lamination on shale reservoir properties: Case study of the Montney Formation, Canada. Geofluids 2021, 2021, 8853639. [Google Scholar] [CrossRef]
- Hua, G.; Wu, S.; Qiu, Z.; Jing, Z.; Xu, J.; Guan, M. Lamination texture and its effect on reservoir properties: A case study of Longmaxi Shale, Sichuan Basin. Acta Sedimentol. Sin. 2021, 32, 1–22. [Google Scholar]
- Pang, X.; Wang, G.; Kuang, L.; Kuang, L.; Lai, J.; Gao, Y.; Zhao, Y.; Li, H.; Wang, S.; Bao, M.; et al. Prediction of multiscale laminae structure and reservoir quality in fine-grained sedimentary rocks: The Permian Lucaogou Formation in Jimusar Sag, Junggar Basin. Pet. Sci. 2022, 19, 2549–2571. [Google Scholar] [CrossRef]
- Zeng, X.; Cai, J.; Dong, Z.; Bian, L.; Li, Y. Relationship between mineral and organic matter in shales: The case of shahejie formation, Dongying Sag, China. Minerals 2018, 8, 222. [Google Scholar] [CrossRef]
- Chen, Y.; Hu, Q.; Zhao, J.; Meng, M.; Yin, N.; Zhang, X.; Xu, G.; Liu, H. Lamina characteristics and their influence on reservoir property of lacustrine organic-rich shale in the Dongying Sag, Bohai Bay Basin. Oil Gas Geol. 2022, 43, 307–324, (In Chinese with English Abstract). [Google Scholar]
- Zhao, X.; Pu, X.; Zhou, L.; Jin, F.; Shi, Z.; Han, W.; Jiang, W.; Zhang, W. Typical geological characteristics and exploration practices of lacustrine shale oil: A case study of the Kong-2 member strata of the Cangdong Sag in the Bohai Bay Basin. Mar. Pet. Geol. 2020, 113, 103999. [Google Scholar]
- Zeng, X.; Cai, J.; Dong, Z.; Wang, X.; Hao, Y. Sedimentary characteristics and hydrocarbon generation potential of mudstone and shale: A case study of Middle Submember of Member 3 and Upper Submember of Member 4 in Shahejie Formation in Dongying sag. Acta Pet. Sin. 2017, 38, 31–43. [Google Scholar]
- Sun, H. Exploration practice and cognitions of shale oil in Jiyang depression. China Pet. Explor. 2017, 22, 1–14. [Google Scholar]
- Wang, M.; Chen, Y.; Song, G.; Steele-MacInnis, M.; Liu, Q.; Wang, X.; Zhang, X.; Zhao, Z.; Liu, W.; Zhang, H.; et al. Formation of bedding-parallel, fibrous calcite veins in laminated source rocks of the Eocene Dongying Depression: A growth model based on petrographic observations. Int. J. Coal Geol. 2018, 200, 18–35. [Google Scholar] [CrossRef]
- Han, W.; Zhao, X.; Jin, M.; Pu, X.; Chen, X.; Mu, L.; Zhang, W.; Shi, Z.; Wang, H. Sweet spots evaluation and exploration of lacustrine shale oil of the 2nd member of Paleogene Kongdian Formation in Cangdong sag, Dagang Oilfield, China. Pet. Explor. Dev. 2021, 48, 1–10. [Google Scholar] [CrossRef]
- Xi, K.; Li, K.; Cao, Y.; Lin, M.; Niu, X.; Zhu, R.; Wei, X.; You, Y.; Liang, X.; Feng, S. Laminae combination and shale oil enrichment patterns of Chang 73 sub-member organic-rich shales in the Triassic Yanchang Formation, Ordos Basin, NW China. Pet. Explor. Dev. 2020, 47, 1342–1353. [Google Scholar] [CrossRef]
- Ingram, R.L. Terminology for the thickness of stratification and parting units in sedimentary rocks. Geol. Soc. Am. Bull. 1954, 65, 937–938. [Google Scholar] [CrossRef]
- Dong, C.; Ma, C.; Lin, C.; Sun, X.; Yuan, M. A method of classification of shale set. J. China Univ. Pet. (Ed. Nat. Sci.) 2015, 39, 1–7, (In Chinese with English Abstract). [Google Scholar]
- Li, M.; Wu, S.; Hu, S.; Zhu, R.; Meng, S.; Yang, J. Lamination Texture and Its Effects on Reservoir and Geochemical Properties of the Palaeogene Kongdian Formation in the Cangdong Sag, Bohai Bay Basin, China. Minerals 2021, 11, 1360. [Google Scholar] [CrossRef]
- Yawar, Z.; Schieber, J. On the origin of silt laminae in laminated shales. Sedimentary Geology 2017, 360, 22–34. [Google Scholar] [CrossRef]
- Bowker, K.A. Barnett shale gas production, Fort Worth Basin: Issues and discussion. AAPG Bull. 2007, 91, 523–533. [Google Scholar] [CrossRef]
- Romero-Sarmiento, M.F.; Rouzaud, J.N.; Bernard, S.; Deldicque, D.; Thomas, M.; Littke, R. Evolution of Barnett Shale organic carbon structure and nanostructure with increasing maturation. Org. Geochem. 2014, 71, 7–16. [Google Scholar] [CrossRef]
- Jarvie, D.M. Shale resource systems for oil and gas: Part 2—Shale-oil resource systems. In Shale Reservoirs—Giant Resources for the 21st Century; Breyer, J.A., Ed.; AAPG Memoir 97: Humble, TX, USA, 2012; pp. 89–119. [Google Scholar]
- Spigolon, A.L.D.; Lewan, M.D.; de Barros Penteado, H.L.; Coutinho, L.F.C.; Mendonça Filho, J.G. Evaluation of the petroleum composition and quality with increasing thermal maturity as simulated by hydrous pyrolysis: A case study using a Brazilian source rock with Type I kerogen. Org. Geochem. 2015, 83, 27–53. [Google Scholar] [CrossRef]
- Burnham, A.K. Global Chemical Kinetics of Fossil Fuels: How to Model Maturation and Pyrolysis; Springer: Cham, Switzerland, 2017; pp. 75–105. [Google Scholar]
- Feng, Y.; Xiao, X.; Wang, E.; Sun, J.; Gao, P. Oil retention in shales: A review of the mechanism, controls and assessment. Front. Earth Sci. 2021, 9, 720839. [Google Scholar] [CrossRef]
- Zhao, W.; Hu, S.; Hou, L.; Yang, T.; Li, X.; Guo, B.; Yang, Z. Types and resource potential of continental shale oil in China and its boundary with tight oil. Pet. Explor. Dev. 2020, 47, 1–11. [Google Scholar] [CrossRef]
- Zhao, X.; Zhou, L.; Pu, X.; Jin, F.; Shi, Z.; Xiao, D.; Han, W.; Jiang, W.; Zhang, W.; Wang, H. Favorable formation conditions and enrichment characteristics of lacustrine facies shale oil in faulted lake basin: A case study of Member 2 of Kongdian Formation in Cangdong Sag, Bohai Bay Basin. Acta Pet. Sin. 2019, 40, 1013–1029, (In Chinese with English Abstract). [Google Scholar]
- Katz, B.J.; Arango, I. Organic porosity: A geochemist’s view of the current state of understanding. Org. Geochem. 2018, 123, 1–16. [Google Scholar] [CrossRef]
- Du, J.; Hu, S.; Pang, Z.; Lin, J.; Hou, L.; Zhu, R. The types, potentials and prospects of continental shale oil in China. China Pet. Explor. 2019, 24, 560–568. [Google Scholar]
- Cardott, B.J. Thermal maturity of Woodford Shale gas and oil plays, Oklahoma, USA. Int. J. Coal Geol. 2012, 103, 109–119. [Google Scholar] [CrossRef]
- Yang, Z.; Zou, C. “Exploring petroleum inside source kitchen”: Connotation and prospects of source rock oil and gas. Pet. Explor. Dev. 2019, 46, 181–193. [Google Scholar] [CrossRef]
- Vandenbroucke, M. Kerogen: From Types to Models of Chemical Structure. Oil Gas Sci. Technol. 2006, 58, 243–269. [Google Scholar] [CrossRef]
- Vandenbroucke, M.; Largeau, C. Kerogen origin, evolution and structure. Org. Geochem. 2007, 38, 719–833. [Google Scholar] [CrossRef]
- Li, M.; Ma, X.; Jiang, Q.; Li, Z.; Pang, X.; Zhang, C. Enlightenment from formation conditions and enrichment characteristics of marine shale oil in North America. Editor. Dep. Pet. Geol. Recovery Effic. 2019, 26, 13–28, (In Chinese with English Abstract). [Google Scholar]
- Zhao, W.; Zhang, B.; Wang, X.; Wu, S.; Zhang, S.; Liu, W.; Wang, K.; Zhao, X. Differences in source kitchens for lacustrine in-source and out-of-source hydrocarbon accumulations. Pet. Explor. Dev. 2021, 48, 541–554. [Google Scholar] [CrossRef]
- Sun, J.; Xiao, X.; Cheng, P.; Wang, M.; Tian, H. The relationship between oil generation, expulsion and retention of lacustrine shales: Based on pyrolysis simulation experiments. J. Pet. Sci. Eng. 2021, 196, 107625. [Google Scholar] [CrossRef]
- Li, J.; Wang, W.; Cao, Q.; Shi, Y.; Yan, X.; Tian, S. Impact of hydrocarbon expulsion efficiency of continental shale upon shale oil accumulations in eastern China. Mar. Pet. Geol. 2015, 59, 467–479. [Google Scholar]
- Guan, M.; Liu, X.; Jin, Z.; Lai, J.; Liu, J.; Sun, B.; Liu, T.; Hua, Z.; Xu, W.; Shu, H.; et al. Quantitative characterization of various oil contents and spatial distribution in lacustrine shales: Insight from petroleum compositional characteristics derived from programed pyrolysis. Mar. Pet. Geol. 2022, 138, 105522. [Google Scholar] [CrossRef]
- Pokrovsky, O.S.; Schott, J. Kinetics and mechanisms of dolomite dissolution in neutral to alkaline solutions revisited. Am. J. Sci. 2001, 301, 597–626. [Google Scholar] [CrossRef]
- Seewald, J.S. Organic-inorganic interactions in petroleum-producing sedimentary basins. Nature 2003, 426, 327–333. [Google Scholar] [CrossRef]
- Wang, Y.; Cao, Y.; Ma, B.; Liu, H.; Gao, Y.; Chen, L. Mechanism of diagenetic trap formation in nearshore subaqueous fans on steep rift lacustrine basin slopes-A case study from the Shahejie Formation on the north slope of the Minfeng Subsag, Bohai Basin, China. Pet. Sci. 2014, 11, 481–494. [Google Scholar] [CrossRef]
- Liang, C.; Cao, Y.; Liu, K.; Jiang, Z.; Wu, J.; Hao, F. Diagenetic variation at the lamina scale in lacustrine organic-rich shales: Implications for hydrocarbon migration and accumulation. Geochim. Et Cosmochim. Acta 2018, 229, 112–128. [Google Scholar] [CrossRef]
- Ning, F. The main control factors of shale oil enrichment in Jiyang depression. Acta Pet. Sin. 2015, 36, 905–914, (In Chinese with English Abstract). [Google Scholar]
- Ning, F.; Wang, X.; Hao, X.; Yang, W.; Yin, Y.; Ding, J.; Zhu, D.; Zhu, D.; Zhu, J. Occurrence mechanism of shale oil with different lithofacies in Jiyang Depression. Acta Pet. Sin. 2017, 38, 185–195, (In Chinese with English Abstract). [Google Scholar]
- Zhao, W.; Zhu, R.; Hu, S.; Hou, L.; Wu, S. Accumulation contribution differences between lacustrine organic-rich shales and mudstones and their significance in shale oil evaluation. Pet. Explor. Dev. 2020, 47, 1160–1171. [Google Scholar] [CrossRef]
- Lu, S.; Huang, W.; Chen, F.; Li, J.; Wang, M.; Xue, H.; Wang, W.; Cai, X. Classification and evaluation criteria of shale oil and gas resources: Discussion and application. Pet. Explor. Dev. 2012, 39, 268–276. [Google Scholar] [CrossRef]
- Feng, G.; Li, J.; Liu, J.; Zhang, X.; Yu, Z.; Tan, J. Discussion on the enrichment and mobility of continental shale oil in Biyang Depression. Oil Gas Geol. 2019, 40, 1236–1245, (In Chinese with English Abstract). [Google Scholar]
- Li, T.; Liu, B.; Zhou, X.; Yu, H.; Xie, X.; Xie, Z.; Wang, X.; Rao, H. Classification and evaluation of shale oil enrichment: Lower third member of Shahejie Formation, Zhanhua Sag, Eastern China. Mar. Pet. Geol. 2022, 143, 105824. [Google Scholar] [CrossRef]
- Yusupova, T.N.; Romanova, U.G.; Gorbachuk, V.V.; Muslimov, R.K.; Romanov, G.V. Estimation of the adsorption capacity of oil-bearing rocks: A method and its prospects. J. Pet. Sci. Eng. 2002, 33, 173–183. [Google Scholar] [CrossRef]
- Dudášová, D.; Sébastien, S.; Hemmingsen, P.V.; Sjöblom, J. Study of asphaltenes adsorption onto different minerals and clays: Part 1. Experimental adsorption with UV depletion detection. Colloids Surf. A Physicochem. Eng. Asp. 2008, 317, 1–9. [Google Scholar] [CrossRef]
- Li, Z.; Zou, Y.; Xu, X.; Sun, J.; Li, M.; Peng, P. Adsorption of mudstone source rock for shale oil–Experiments, model and a case study. Org. Geochem. 2016, 92, 55–62. [Google Scholar] [CrossRef]
- Tian, S.; Erastova, V.; Lu, S.; Greenwell, H.C.; Underwood, T.R.; Xue, H.; Zeng, F.; Chen, G.; Wu, C.; Zhao, R. Understanding model crude oil component interactions on kaolinite silicate and aluminol surfaces: Toward improved understanding of shale oil recovery. Energy Fuels 2018, 32, 1155–1165. [Google Scholar] [CrossRef]
- Ribeiro, R.C.; Correia, J.C.G.; Seidl, P.R. The influence of different minerals on the mechanical resistance of asphalt mixtures. J. Pet. Sci. Eng. 2009, 65, 171–174. [Google Scholar] [CrossRef]
- Mohammadi, M.; Sedighi, M. Modification of Langmuir isotherm for the adsorption of asphaltene or resin onto calcite mineral surface: Comparison of linear and non-linear methods. Prot. Met. Phys. Chem. Surf. 2013, 49, 460–470. [Google Scholar] [CrossRef]
- Wang, M.; Ma, R.; Li, J.; Lu, S.; Li, C.; Guo, Z.; Li, Z. Occurrence mechanism of lacustrine shale oil in the Paleogene Shahejie Formation of Jiyang depression, Bohai Bay Basin, China. Pet. Explor. Dev. 2019, 46, 833–846. [Google Scholar] [CrossRef]
- Chen, F.; Zhao, H.; Lu, S.; Ding, X.; Ju, Y. The effects of composition, laminar structure and burial depth on connected pore characteristics in a shale oil reservoir, the Raoyang Sag of the Bohai Bay Basin, China. Mar. Pet. Geol. 2019, 101, 290–302. [Google Scholar] [CrossRef]
- Ning, C.; Ma, Z.; Jiang, Z.; Su, S.; Li, T.; Zheng, L.; Wang, G.; Li, F. Effect of shale reservoir characteristics on shale oil movability in the lower third member of the Shahejie Formation, Zhanhua Sag. Acta Geol. Sin.-Engl. Ed. 2020, 94, 352–363. [Google Scholar] [CrossRef]
- Feng, Z.; Liu, B.; Sao, H.; Wang, C.; Hong, S.; Wang, J.; Pan, H.; Wang, Y.; Zhang, A.; Tian, S.; et al. The diagenesis evolution and accumulating performance of the mud shale in Qingshankou Formation in Gulong area, Songliao Basin. Pet. Geol. Oilfield Dev. Daqing 2020, 39, 72–85, (In Chinese with English Abstract). [Google Scholar]
- Cheng, P.; Xiao, X.; Fan, Q.; Gao, P. Oil Retention and Its Main Controlling Factors in Lacustrine Shales from the Dongying Sag, Bohai Bay Basin, Eastern China. Energies 2022, 15, 4270. [Google Scholar] [CrossRef]
- Xu, Y.; Lun, Z.; Pan, Z.; Wang, H.; Zhou, X.; Zhao, C.; Zhang, D. Occurrence space and state of shale oil: A review. J. Pet. Sci. Eng. 2022, 211, 110183. [Google Scholar] [CrossRef]
- Lu, S.; Xue, H.; Wang, M.; Xiao, D.; Huang, W.; Li, J.; Xie, L.; Tain, S.; Wang, S.; Li, J.; et al. Several key issues and research trends in evaluation of shale oil. Acta Pet. Sin. 2016, 37, 1309–1322. [Google Scholar]
- Dang, W.; Nie, H.; Zhang, J.; Tang, X.; Jiang, S.; Wei, X.; Liu, Y.; Wang, F.; Li, P.; Chen, Z. Pore-scale mechanisms and characterization of light oil storage in shale nanopores: New method and insights. Geosci. Front. 2022, 13, 101424. [Google Scholar] [CrossRef]
- Wang, S.; Feng, Q.; Javadpour, F.; Xia, T.; Li, Z. Oil adsorption in shale nanopores and its effect on recoverable oil-in-place. Int. J. Coal Geol. 2015, 147, 9–24. [Google Scholar] [CrossRef]
- Zhang, S. Molecular dynamics simulation of shale oil occurrence in Dongying Depression. Editor. Dep. Pet. Geol. Recovery Effic. 2021, 28, 74–80, (In Chinese with English Abstract). [Google Scholar]
- Chen, G.; Lu, S.; Zhang, J.; Pervukhina, M.; Liu, K.; Wang, M.; Han, T.; Tian, S.; Li, J.; Zhang, Y.; et al. A method for determining oil-bearing pore size distribution in shales: A case study from the Damintun Sag, China. J. Pet. Sci. Eng. 2018, 166, 673–678. [Google Scholar] [CrossRef]
- Wang, B.; Liu, B.; Sun, G.; Bai, L.; Chi, Y.; Liu, Q.; Liu, M. Evaluation of the Shale Oil Reservoir and the Oil Enrichment Model for the First Member of the Lucaogou Formation, Western Jimusaer Depression, Junggar Basin, NW China. ACS Omega 2021, 6, 12081–12098. [Google Scholar] [CrossRef] [PubMed]
- Li, P.; Jia, C.; Jin, Z.; Liu, Q.; Zheng, M.; Huang, Z. The characteristics of movable fluid in the Triassic lacustrine tight oil reservoir: A case study of the Chang 7 member of Xin’anbian Block, Ordos Basin, China. Mar. Pet. Geol. 2019, 102, 126–137. [Google Scholar] [CrossRef]
- Xu, L.; Chang, Q.; Feng, L.; Zhang, N.; Liu, H. The reservoir characteristics and control factors of shale oil in Permian Fengcheng Formation of Mahu Sag, Junggar Basin. China Pet. Explor. 2019, 24, 649–660. [Google Scholar]
- Jiang, Z.; Li, T.; Gong, H.; Jiang, T.; Chang, J.; Ning, C.; Su, S.; Chen, W. Characteristics of low-mature shale reservoirs in Zhanhua Sag and their influence on the mobility of shale oil. Acta Pet. Sin. 2020, 41, 1587–1600, (In Chinese with English Abstract). [Google Scholar]
- Gou, Q.; Xu, S.; Hao, F.; Yang, F.; Shu, Z.; Liu, R. The effect of tectonic deformation and preservation condition on the shale pore structure using adsorption-based textural quantification and 3D image observation. Energy 2021, 219, 119579. [Google Scholar] [CrossRef]
- Wang, Y.; Song, G.; Liu, H.; Jiang, X.; Hao, X.; Ning, F.; Zhu, D.; Lin, L. Main control factors of enrichment characteristics of shale oil in Jiyang depression. Editor. Dep. Pet. Geol. Recovery Effic. 2015, 22, 20–25, (In Chinese with English Abstract). [Google Scholar]
- Gou, Q.; Xu, S.; Hao, F.; Lu, Y.; Shu, Z.; Lu, Y.; Wang, Z.; Wang, Y. Evaluation of the exploration prospect and risk of marine gas shale, southern China: A case study of Wufeng-Longmaxi shales in the Jiaoshiba area and Niutitang shales in the Cen’gong area. GSA Bull. 2022, 134, 1585–1602. [Google Scholar] [CrossRef]
- Zhang, Z.; Xu, S.; Gou, Q.; Li, Q. Reservoir characteristics and resource potential of marine shale in South China: A review. Energies 2022, 15, 8696. [Google Scholar] [CrossRef]
- Xu, S.; Gou, Q.; Hao, F.; Zhang, B.; Shu, Z.; Lu, Y.; Wang, Y. Shale pore structure characteristics of the high and low productivity wells, Jiaoshiba shale gas field, Sichuan Basin, China: Dominated by lithofacies or preservation condition? Mar. Pet. Geol. 2020, 114, 104211. [Google Scholar] [CrossRef]
- Gou, Q.; Xu, S.; Hao, F.; Shu, Z.; Zhang, Z. Making sense of micro-fractures to the Longmaxi shale reservoir quality in the Jiaoshiba area, Sichuan Basin, China: Implications for the accumulation of shale gas. J. Nat. Gas Sci. Eng. 2021, 94, 104107. [Google Scholar] [CrossRef]
- Liu, B.; Sun, J.; Zhang, Y.; He, J.; Fu, X.; Yang, L.; Xing, J.; Zhao, X. Reservoir space and enrichment model of shale oil in the first member of Cretaceous Qingshankou Formation in the Changling sag, southern Songliao Basin, NE China. Pet. Explor. Dev. 2021, 48, 608–624. [Google Scholar] [CrossRef]
- Lin, H.; Song, M.; Wang, S.; Zhang, K. Shale oil resource evaluation in complex structural belt of superimposed basin: A case study of middle Permian Lucaogou Formation in Bogda area, southeast margin of Junggar Basin. Editor. Dep. Pet. Geol. Recovery Effic. 2020, 27, 7–17, (In Chinese with English Abstract). [Google Scholar]
- Ma, C.; Dong, C.; Lin, C.; Elsworth, D.; Luan, G.; Sun, X.; Liu, X. Influencing factors and fracability of lacustrine shale oil reservoirs. Mar. Pet. Geol. 2019, 110, 463–471. [Google Scholar] [CrossRef]
- Bao, Y. Effective reservoir spaces of Paleogene shale oil in the Dongying Depression, Bohai Bay Basin. Pet. Geol. Expepiment 2018, 40, 480–484, (In Chinese with English Abstract). [Google Scholar]
- Mighani, S.; Sondergeld, C.H.; Rai, C.S. Observations of tensile fracturing of anisotropic rocks. SPE J. 2016, 21, 1289–1301. [Google Scholar] [CrossRef]
- Xiong, Z.; Wang, G.; Cao, Y.; Liang, C.; Li, M.; Shi, X.; Zhang, B.; Li, J.; Fu, Y. Controlling effect of texture on fracability in lacustrine fine-grained sedimentary rocks. Mar. Pet. Geol. 2019, 101, 195–210. [Google Scholar] [CrossRef]
- Ma, C.; Elsworth, D.; Dong, C.; Lin, C.; Luan, G.; Chen, B.; Liu, X.; Muhammad, J.M.; Muhammad, A.Z.; Shen, Z.; et al. Controls of hydrocarbon generation on the development of expulsion fractures in organic-rich shale: Based on the Paleogene Shahejie Formation in the Jiyang Depression, Bohai Bay Basin, East China. Mar. Pet. Geol. 2017, 86, 1406–1416. [Google Scholar] [CrossRef]
- Zhang, L.; Bao, Y.; Xi, C. Pore Structure Characteristics and Pore Connectivity of Paleogene Shales in Dongying Depression. Xinjiang Pet. Geol. 2018, 39, 134–139, (In Chinese with English Abstract). [Google Scholar]
- Zhao, X.; Pu, X.; Zhou, L.; Jin, F.; Han, G.; Shi, Z.; Han, W.; Ding, Y.; Zhang, W.; Wang, G.; et al. Enrichment theory, exploration technology and prospects of shale oil in lacustrine facies zone of deep basin: A case study of the Paleogene in Huanghua Depression, Bohai Bay Basin. Acta Pet. Sin. 2021, 42, 143–162. [Google Scholar]
- Hu, S.; Zhao, W.; Hou, L.; Yang, Z.; Zhu, R.; Wu, S.; Bai, B.; Jin, X. Development potential and technical strategy of continental shale oil in China. Pet. Explor. Dev. 2020, 47, 877–887. [Google Scholar] [CrossRef]
- Gou, Q.; Xu, S.; Hao, F.; Yang, F.; Zhang, B.; Shu, Z.; Zhang, A.; Wang, Y.; Lu, Y.; Cheng, X.; et al. Full-scale pores and micro-fractures characterization using FE-SEM, gas adsorption, nano-CT and micro-CT: A case study of the Silurian Longmaxi Formation shale in the Fuling area, Sichuan Basin, China. Fuel 2019, 253, 167–179. [Google Scholar] [CrossRef]
- Zhang, S.; Zhang, L.; Zha, M. Research on simulation of hydrocarbon expulsion difference in lacustrine source rocks: A case study of Paleogene Es3 member in the Dongying Depression. Pet. Geol. Recovery Effic. 2009, 16, 32–35, (In Chinese with English Abstract). [Google Scholar]
- Wang, Y.; Liu, H.; Song, G.; Jiang, X.; Zhu, D.; Zhu, D.; Yang, W.; Yin, Y.; Ding, J. Enrichment controls and models of shale oil in the Jiyang Depression, Bohai Bay Basin. Geol. J. China Univ. 2017, 23, 268–276, (In Chinese with English Abstract). [Google Scholar]
- Jin, Q.; Zhang, H.; Cheng, F.; Xu, J. Stimulations on generation, expulsion and retention of liquid hydrocarbons in source rocks deposited in lacustrine basin and their significance in petroleum geology. J. China Univ. Pet. (Ed. Nat. Sci.) 2019, 43, 44–52, (In Chinese with English Abstract). [Google Scholar]
- Ilyushin, Y.V.; Fetisov, V. Experience of virtual commissioning of a process control system for the production of high-paraffin oil. Sci. Rep. 2022, 12, 18415. [Google Scholar] [CrossRef]
- Han, Y.; Horsfield, B.; LaReau, H.; Mahlstedt, N. Intraformational migration of petroleum: Insights into the development of sweet spot in the Cretaceous Niobrara shale-oil system, Denver Basin. Mar. Pet. Geol. 2019, 107, 301–309. [Google Scholar] [CrossRef]
- Shao, X.; Pang, X.; Li, H.; Hu, T.; Xu, T.; Xu, Y.; Li, B. Pore network characteristics of lacustrine shales in the Dongpu Depression, Bohai Bay Basin, China, with implications for oil retention. Mar. Pet. Geol. 2018, 96, 457–473. [Google Scholar] [CrossRef]
- Zhang, S.; Yan, J.; Hu, Q.; Wang, J.; Tian, T.; Chao, J.; Wang, M. Integrated NMR and FE-SEM methods for pore structure characterization of Shahejie shale from the Dongying Depression, Bohai Bay Basin. Mar. Pet. Geol. 2019, 100, 85–94. [Google Scholar] [CrossRef]






Disclaimer/Publisher’s Note: The statements, opinions and data contained in all publications are solely those of the individual author(s) and contributor(s) and not of MDPI and/or the editor(s). MDPI and/or the editor(s) disclaim responsibility for any injury to people or property resulting from any ideas, methods, instructions or products referred to in the content. |
© 2023 by the authors. Licensee MDPI, Basel, Switzerland. This article is an open access article distributed under the terms and conditions of the Creative Commons Attribution (CC BY) license (https://creativecommons.org/licenses/by/4.0/).
Share and Cite
Gou, Q.; Xu, S. The Controls of Laminae on Lacustrine Shale Oil Content in China: A Review from Generation, Retention, and Storage. Energies 2023, 16, 1987. https://doi.org/10.3390/en16041987
Gou Q, Xu S. The Controls of Laminae on Lacustrine Shale Oil Content in China: A Review from Generation, Retention, and Storage. Energies. 2023; 16(4):1987. https://doi.org/10.3390/en16041987
Chicago/Turabian StyleGou, Qiyang, and Shang Xu. 2023. "The Controls of Laminae on Lacustrine Shale Oil Content in China: A Review from Generation, Retention, and Storage" Energies 16, no. 4: 1987. https://doi.org/10.3390/en16041987
APA StyleGou, Q., & Xu, S. (2023). The Controls of Laminae on Lacustrine Shale Oil Content in China: A Review from Generation, Retention, and Storage. Energies, 16(4), 1987. https://doi.org/10.3390/en16041987
