On-Line Monitoring of Shunt Capacitor Bank Based on Relay Protection Device
Abstract
:1. Introduction
2. Principles of Shunt Capacitor Bank Monitoring
2.1. The Method of Calculating Capacitance Value
- ①
- When it is assumed that phase B and phase C impedances are same (that is, the actual condition), the results are
- ②
- When it is assumed that the parameters of phases A and B are equal (not the actual condition), the results are
2.2. Monitoring Criteria
3. Analysis of Test Results
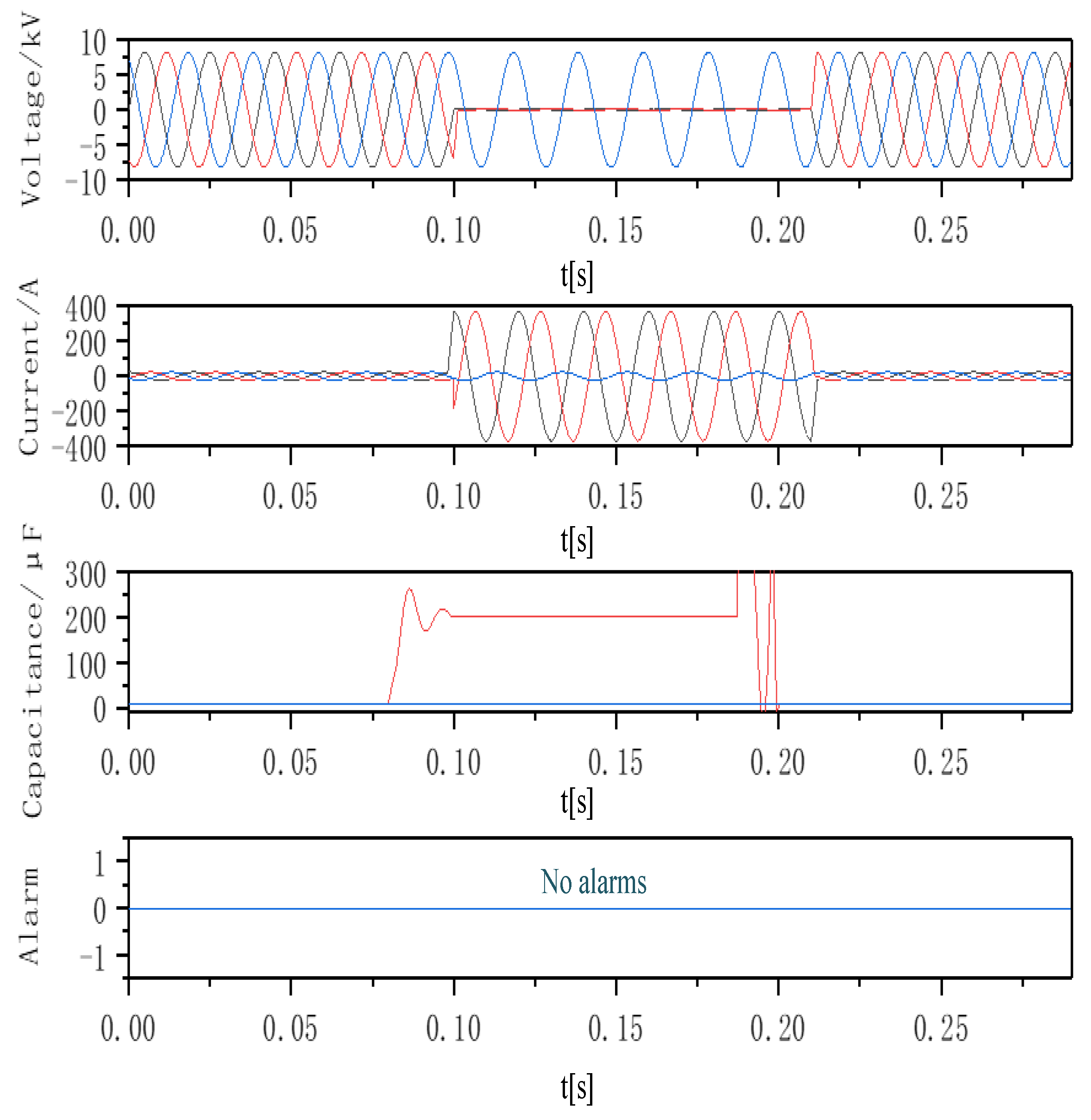
3.1. Capacitor Internal Fault
3.2. External Fault
4. Conclusions
Author Contributions
Funding
Data Availability Statement
Conflicts of Interest
Appendix A
| Fault Conditions | Fault Phase Impedance | Alarm | Result Analysis | ||||
|---|---|---|---|---|---|---|---|
| A | B | C | A | B | C | ||
| A-phase capacitor failure | abnormal | normal | normal | Yes | No | No | Capacitor failure, faulty phase correct alarm |
| Bphase C capacitor failure | normal | abnormal | abnormal | No | Yes | Yes | Capacitor failure, faulty phase correct alarm |
| Three-phase capacitor failure | abnormal | abnormal | abnormal | Yes | Yes | Yes | Capacitor failure, faulty phase correct alarm |
| A-phase short circuit | abnormal | normal | normal | No | No | No | External fault does not alarm, the signal is correct |
| Bphase C short circuit | normal | abnormal | abnormal | No | No | No | External fault does not alarm, the signal is correct |
| Three-phase short circuit | abnormal | abnormal | abnormal | No | No | No | External fault does not alarm, the signal is correct |
References
- Kinjo, T.; Senjyu, T.; Urasaki, N.; Fujita, H. Output levelling of renewable energy by electric double-layer capacitor applied for energy storage system. IEEE Trans. Energy Convers. 2006, 21, 221–227. [Google Scholar] [CrossRef]
- Aziz, M.M.A.; Abou El-Zahab, E.E.D.; Ibrahim, A.M.; Zobaa, A.F. Effect of connecting shunt capacitor on nonlinear load terminals. IEEE Trans. Power Deliv. 2003, 18, 1450–1454. [Google Scholar] [CrossRef]
- Panda, N.R.; Pachpund, S. Capacitor Bank Balancing: Causes and Practical Levels of Unbalance. IEEE Ind. Appl. Mag. 2022, 28, 12–19. [Google Scholar] [CrossRef]
- Pour, M.R.; Azimian, M. Analysis of high voltage shunt capacitor bank over-voltage breakdown detection. Future Energy 2022, 1, 16–23. [Google Scholar] [CrossRef]
- Wei, J.; Lan, J.; Jiang, P. MRFO Based Optimal Filter Capacitors Configuration in Substations with Renewable Energy Integration. In Proceedings of the 2022 4th Asia Energy and Electrical Engineering Symposium, Chengdu, China, 25–28 March 2022; pp. 328–333. [Google Scholar]
- Sun, H.; Li, H.; Yang, S. Research on the Analysis of Unbalanced Current Alarm Factors and Solution Measures Based on Fixed Series Compensation Devices. In Proceedings of the 2022 4th International Conference on Power and Energy Technology (ICPET), Xining, China, 28–31 July 2022; pp. 369–374. [Google Scholar]
- Tian, Q.; Zhu, T. Shunt capacitor bank protection in UHV pilot project. In Proceedings of the 2016 China International Conference on Electricity Distribution (CICED), Xi’an, China, 10–13 August 2016; pp. 1–5. [Google Scholar]
- Mei, N.; Li, Y.; Duan, X. Study on high voltage capacitor unbalance protection in HVDC projects. In Proceedings of the 2009 Asia-Pacific Power and Energy Engineering Conference, Wuhan, China, 28–30 March 2009; pp. 1–4. [Google Scholar]
- Esponda, H.; Guillen, D.; Vazquez, E. Energy modes-based differential protection for Shunt capacitor banks. In Proceedings of the 15th International Conference on Developments in Power System Protection, Liverpool, UK, 9–12 March 2020; pp. 1–6. [Google Scholar]
- Jouybari-Moghaddam, H.; Sidhu, T.; Parikh, P. Enhanced fault location method for shunt capacitor banks. In Proceedings of the 2017 70th Annual Conference for Protective Relay Engineers, College Station, TX, USA, 3–6 April 2017; pp. 1–11. [Google Scholar]
- Lertwanitrot, P.; Ngaopitakkul, A. Application of Magnitude and Phase Angle to Boundary Area-Based Algorithm for Unbalance Relay Protection Scheme in 115-kV Capacitor Bank. IEEE Access 2021, 9, 35709–35717. [Google Scholar] [CrossRef]
- Jouybari-Moghaddam, H.; Sidhu, T.S. A study of capacitor element failures in high voltage Shunt Capacitor Banks. In Proceedings of the 2017 IEEE 30th Canadian Conference on Electrical and Computer Engineering, Windsor, ON, Canada, 30 April–3 May 2017; pp. 1–4. [Google Scholar]
- Zhang, M.; Du, J.; Gao, B. Research on the implementation scheme of shunt capacitor protection and monitoring. In Proceedings of the 2017 China International Electrical and Energy Conference, Beijing, China, 25–27 October 2017; pp. 356–359. [Google Scholar]
- Pavan, P.S.; Das, S. Novel method for location of internal faults in ungrounded double wye shunt capacitor banks. IEEE Trans. Power Deliv. 2020, 36, 899–908. [Google Scholar] [CrossRef]
- Shilong, L.; Yufei, T.; Mingzhong, L. An Novel On-line Monitoring Method for Double-Y Type Shunt Capacitor Bank. In Proceedings of the 2020 Asia Energy and Electrical Engineering Symposium, Chengdu, China, 28–31 May 2020; pp. 296–300. [Google Scholar]
- Xiaoyu, C.; Jianyong, Z.; Jun, M. Power capacitor banks failure warning method based online intelligence LC oscillation frequency variation and its implementation. Power Syst. Prot. Control. 2015, 43, 144–149. [Google Scholar]
- Jianjun, Z.; Honghua, S. Research of On-line Monitoring System for High Voltage Shunt Capacitors. Power Capacit. React. Power Compens. 2013, 34, 22–27. [Google Scholar]
- Goodarzi, A.; Allahbakhshi, M. Online condition monitoring algorithm for element failure detection and fault location in double wye shunt capacitor banks. Int. J. Electr. Power Energy Syst. 2022, 137, 107864. [Google Scholar] [CrossRef]
- Chi, D.; Tang, H.; Chang, H. Failure analysis of fuse for external protection of capacitor bank. In Proceedings of the 18th International Conference on AC and DC Power Transmission (ACDC 2022), Windsor, ON, Canada, 2–3 July 2022; pp. 185–188. [Google Scholar]
- Jena, S.; Mohanty, R.; Pradhan, A.K. A traveling wave based method for protection of shunt capacitor bank. IEEE Transactions on Power Delivery. IEEE Trans. Power Deliv. 2021, 37, 2599–2609. [Google Scholar] [CrossRef]
- Mohanty, R.; Pradhan, A.K. Fast and Sensitive Time-Domain Protection of Shunt Capacitor Banks. In Proceedings of the 2021 9th IEEE International Conference on Power Systems (ICPS), Kharagpur, India, 16–18 December 2021; pp. 1–6. [Google Scholar]
- Bastos, A.F.; Santoso, S. Condition monitoring of circuit switchers for shunt capacitor banks through power quality data. IEEE Trans. Power Deliv. 2019, 34, 1499–1507. [Google Scholar] [CrossRef]
- Horton, R.; Warren, T.; Fender, K. Unbalance protection of fuseless, split-wye, grounded, shunt capacitor banks. IEEE Trans. Power Deliv. 2002, 17, 698–701. [Google Scholar] [CrossRef]
- IEEE Guide for the Protection of Shunt Capacitor Banks—Redline (C37.99-2012—Redline). IEEE Std. 2013, 1–299.










Disclaimer/Publisher’s Note: The statements, opinions and data contained in all publications are solely those of the individual author(s) and contributor(s) and not of MDPI and/or the editor(s). MDPI and/or the editor(s) disclaim responsibility for any injury to people or property resulting from any ideas, methods, instructions or products referred to in the content. |
© 2023 by the authors. Licensee MDPI, Basel, Switzerland. This article is an open access article distributed under the terms and conditions of the Creative Commons Attribution (CC BY) license (https://creativecommons.org/licenses/by/4.0/).
Share and Cite
Lin, Y.; Gan, J.; Wang, Z. On-Line Monitoring of Shunt Capacitor Bank Based on Relay Protection Device. Energies 2023, 16, 1615. https://doi.org/10.3390/en16041615
Lin Y, Gan J, Wang Z. On-Line Monitoring of Shunt Capacitor Bank Based on Relay Protection Device. Energies. 2023; 16(4):1615. https://doi.org/10.3390/en16041615
Chicago/Turabian StyleLin, Yifeng, Jingfu Gan, and Zengping Wang. 2023. "On-Line Monitoring of Shunt Capacitor Bank Based on Relay Protection Device" Energies 16, no. 4: 1615. https://doi.org/10.3390/en16041615
APA StyleLin, Y., Gan, J., & Wang, Z. (2023). On-Line Monitoring of Shunt Capacitor Bank Based on Relay Protection Device. Energies, 16(4), 1615. https://doi.org/10.3390/en16041615
