Multi-Point Surrogate-Based Approach for Assessing Impacts of Geometric Variations on Centrifugal Compressor Performance
Abstract
:1. Introduction
2. Materials and Methods
2.1. Step 1: Selection of Geometric Parameters
2.2. Step 2: Parametrization of Centrifugal Compressor Stage and Parametric Analysis
2.3. Step 3: Feed, Train, and Validation of Artificial Neural Network
3. Results and Discussion
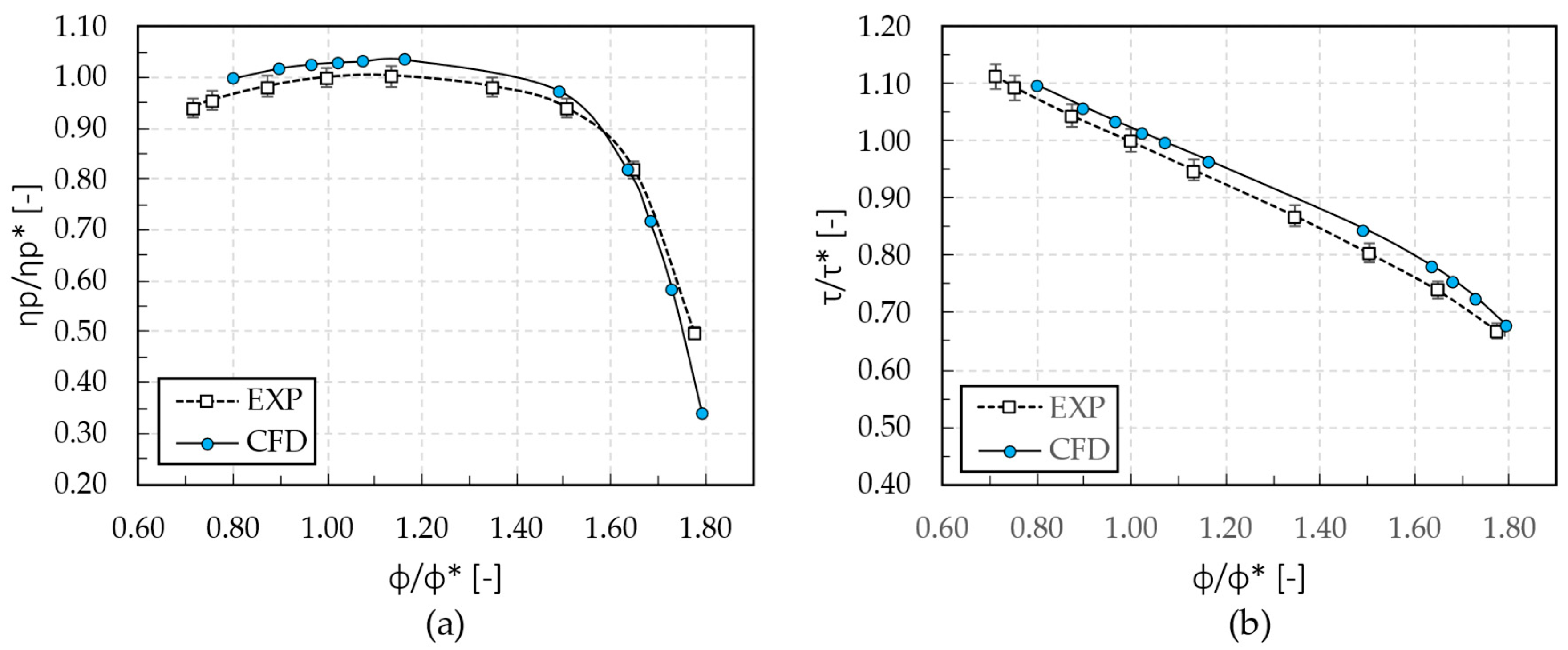
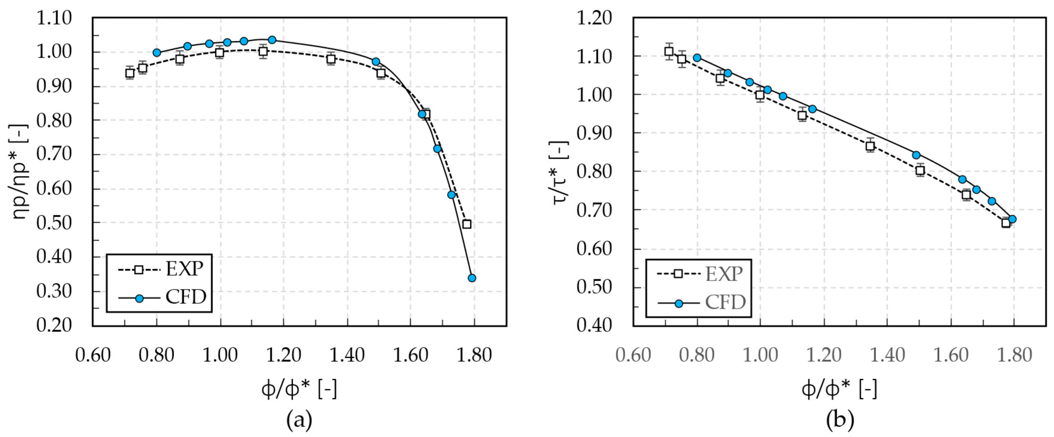
3.1. Experimental Validation
3.2. Results of the Proposed Approach
4. Conclusions
Author Contributions
Funding
Data Availability Statement
Acknowledgments
Conflicts of Interest
References
- Friedlingstein, P.; O’sullivan, M.; Jones, M.W.; Andrew, R.M.; Hauck, J.; Olsen, A.; Peters, G.P.; Peters, W.; Pongratz, J.; Sitch, S. Global Carbon Budget 2020. Earth Syst. Sci. Data 2020, 12, 3269–3340. [Google Scholar] [CrossRef]
- World Energy Trilemma Index. Available online: https://www.worldenergy.org/transition-toolkit/world-energy-trilemma-index (accessed on 12 September 2022).
- Heidari, M.; Parra, D.; Patel, M.K. Physical Design, Techno-Economic Analysis and Optimization of Distributed Compressed Air Energy Storage for Renewable Energy Integration. J. Energy Storage 2021, 35, 102268. [Google Scholar] [CrossRef]
- Liu, Y.; Wang, Y.; Huang, D. Supercritical CO2 Brayton Cycle: A State-of-the-Art Review. Energy 2019, 189, 115900. [Google Scholar] [CrossRef]
- Li, X.; Zhao, Y.; Yao, H.; Zhao, M.; Liu, Z. A New Method for Impeller Inlet Design of Supercritical CO2 Centrifugal Compressors in Brayton Cycles. Energies 2020, 13, 5049. [Google Scholar] [CrossRef]
- Rizzi, D.; Rossetti, N. Rethinking the Role of O&G Companies Towards Decarbonisation: How ORC Technology and Gas-Expanders Can Increase the Sustainability of the Sector. In Proceedings of the OMC Med Energy Conference and Exhibition; OnePetro, Ravenna, Italy, 28–30 September 2021. [Google Scholar]
- Corbò, S.; Wolfler, T.; Banchi, N.; Furgiuele, I.; Farooq, M. The Role of Turbomachinery in Enabling the Hydrogen Economy. In Proceedings of the Abu Dhabi International Petroleum Exhibition & Conference, Abu Dhabi, United Arab Emirates, 15–18 November 2021. [Google Scholar]
- Rockström, J.; Gaffney, O.; Rogelj, J.; Meinshausen, M.; Nakicenovic, N.; Schellnhuber, H.J. A Roadmap for Rapid Decarbonization. Science 2017, 355, 1269–1271. [Google Scholar] [CrossRef] [PubMed]
- Xu, C.; Amano, R.S. Empirical Design Considerations for Industrial Centrifugal Compressors. Int. J. Rotating Mach. 2012, 2012, 184061. [Google Scholar] [CrossRef]
- Li, Z.; Zheng, X. Review of Design Optimization Methods for Turbomachinery Aerodynamics. Prog. Aerosp. Sci. 2017, 93, 1–23. [Google Scholar] [CrossRef]
- Bicchi, M.; Biliotti, D.; Marconcini, M.; Toni, L.; Cangioli, F.; Arnone, A. An AI-Based Fast Design Method for New Centrifugal Compressor Families. Machines 2022, 10, 458. [Google Scholar] [CrossRef]
- Du, Y.; Yang, C.; Wang, H.; Hu, C. One-Dimensional Optimisation Design and off-Design Operation Strategy of Centrifugal Compressor for Supercritical Carbon Dioxide Brayton Cycle. Appl. Therm. Eng. 2021, 196, 117318. [Google Scholar] [CrossRef]
- Massoudi, S.; Picard, C.; Schiffmann, J. Robust Design Using Multiobjective Optimisation and Artificial Neural Networks with Application to a Heat Pump Radial Compressor. Des. Sci. 2022, 8, e1. [Google Scholar] [CrossRef]
- Li, P.-Y.; Gu, C.-W.; Song, Y. A New Optimization Method for Centrifugal Compressors Based on 1D Calculations and Analyses. Energies 2015, 8, 4317–4334. [Google Scholar] [CrossRef]
- Wang, J.; Guo, Y.; Zhou, K.; Xia, J.; Li, Y.; Zhao, P.; Dai, Y. Design and Performance Analysis of Compressor and Turbine in Supercritical CO2 Power Cycle Based on System-Component Coupled Optimization. Energy Convers. Manag. 2020, 221, 113179. [Google Scholar] [CrossRef]
- Omidi, M.; Liu, S.-J.; Mohtaram, S.; Lu, H.-T.; Zhang, H.-C. Improving Centrifugal Compressor Performance by Optimizing the Design of Impellers Using Genetic Algorithm and Computational Fluid Dynamics Methods. Sustainability 2019, 11, 5409. [Google Scholar] [CrossRef]
- Ekradi, K.; Madadi, A. Performance Improvement of a Transonic Centrifugal Compressor Impeller with Splitter Blade by Three-Dimensional Optimization. Energy 2020, 201, 117582. [Google Scholar] [CrossRef]
- Ma, C.; Yang, Z.; Jiao, K.; Liu, Z.; Du, Q. Multi-Objective Optimization of the Centrifugal Compressor Impeller in 130 KW PEMFC through Coupling SVM with NSGA-III Algorithms. Int. J. Green Energy 2021, 18, 1383–1395. [Google Scholar] [CrossRef]
- Panizza, A.; Valente, R.; Rubino, D.; Tapinassi, L. Impact of Manufacturing Variability on the Aerodynamic Performance of a Centrifugal Compressor Stage with Curvilinear Blades. In Proceedings of the Turbo Expo: Power for Land, Sea, and Air, Seoul, Republic of Korea, 13–17 June 2016; American Society of Mechanical Engineers: New York, NY, USA; Volume 49712, p. V02CT45A027. [Google Scholar]
- Javed, A.; Pecnik, R.; Van Buijtenen, J.P. Optimization of a Centrifugal Compressor Impeller for Robustness to Manufacturing Uncertainties. J. Eng. Gas Turbines Power 2016, 138, 112101. [Google Scholar] [CrossRef]
- Liu, Y.; Qin, R.; Ju, Y.; Spence, S.; Zhang, C. Impact of Realistic Manufacturing Uncertainties on the Aerodynamic Performance of a Transonic Centrifugal Impeller. In Proceedings of the Turbo Expo: Power for Land, Sea, and Air, Seoul, Republic of Korea, 13–17 June 2016; American Society of Mechanical Engineers: New York, NY, USA, 2020; Volume 84096, p. V02DT38A012. [Google Scholar]
- Zhu, R.; Ju, Y.; Zhang, C. Effects of Geometric and Operational Uncertainties on Aerodynamic Performance of Centrifugal Compressor Stage. Proc. Instit. Mech. Eng. Part A J. Power Energy 2022, 236, 490–505. [Google Scholar] [CrossRef]
- Li, S.; Huang, M.; Liu, X. Geometric Uncertainty Analysis of a Centrifugal Compressor Using Kriging Model. In Proceedings of the IOP Conference Series: Materials Science and Engineering, Shaanxi, China, 8–11 October 2020; IOP Publishing: Bristol, UK, 2021; Volume 1043, p. 052041. [Google Scholar]
- Ju, Y.; Liu, Y.; Jiang, W.; Zhang, C. Aerodynamic Analysis and Design Optimization of a Centrifugal Compressor Impeller Considering Realistic Manufacturing Uncertainties. Aerosp. Sci. Technol. 2021, 115, 106787. [Google Scholar] [CrossRef]
- Tang, X.; Gu, N.; Wang, W.; Wang, Z.; Peng, R. Aerodynamic Robustness Optimization and Design Exploration of Centrifugal Compressor Impeller under Uncertainties. Int. J. Heat Mass Transf. 2021, 180, 121799. [Google Scholar] [CrossRef]
- Lüdtke, K.H. Process Centrifugal Compressors: Basics, Function, Operation, Design, Application; Springer Science & Business Media: Berlin/Heidelberg, Germany, 2004. [Google Scholar]
- Casey, M.; Robinson, C. Radial Flow Turbocompressors; Cambridge University Press: Cambridge, UK, 2021. [Google Scholar]
- Mosdzien, M.; Enneking, M.; Hehn, A.; Grates, D.; Jeschke, P. Influence of Blade Geometry on Secondary Flow Development in a Transonic Centrifugal Compressor. J. Glob. Power Propuls. Soc. 2018, 2, 429–441. [Google Scholar] [CrossRef]
- Du, W.; Li, Y.; Li, L.; Lorenzini, G. A Quasi-One-Dimensional Model for the Centrifugal Compressors Performance Simulations. Int. J. Heat Technol. 2018, 36, 391–396. [Google Scholar] [CrossRef]
- Jiang, H.; Dong, S.; Liu, Z.; He, Y.; Ai, F. Performance Prediction of the Centrifugal Compressor Based on a Limited Number of Sample Data. Math. Prob. Eng. 2019, 2019, 5954128. [Google Scholar] [CrossRef]
- Li, Y.; Qiu, Z.; Fan, L.; Tan, X.; Qiu, T. State Evaluation of Centrifugal Compressor Unit Based on Parameter Distribution. In Proceedings of the 13th International Conference on Damage Assessment of Structures, Porto, Portugal, 9–10 July 2019; Springer: Singapore, 2020; pp. 386–401. [Google Scholar]
- Cantini, A.; De Carlo, F.; Tucci, M. Application of the Lean Layout Planning System in a Leather Bags Manufacturing Plant and Proposal of an Approach to Engage the Company’s Staff in the Research of the Layout Solution. Proc. Summer Sch. Web Bergamo Italy 2020, 1, 9–11. [Google Scholar]
- Casey, M.V. A Computational Geometry for the Blades and Internal Flow Channels of Centrifugal Compressors. J. Eng. Gas Turbines Power 1983, 105, 288–295. [Google Scholar] [CrossRef]
- Kim, J.-H.; Choi, J.-H.; Husain, A.; Kim, K.-Y. Multi-Objective Optimization of a Centrifugal Compressor Impeller through Evolutionary Algorithms. Proc. Inst. Mech. Eng. Part A J. Power Energy 2010, 224, 711–721. [Google Scholar] [CrossRef]
- Cho, S.-Y.; Ahn, K.-Y.; Lee, Y.-D.; Kim, Y.-C. Optimal Design of a Centrifugal Compressor Impeller Using Evolutionary Algorithms. Math. Prob. Eng. 2012, 2012, 752931. [Google Scholar] [CrossRef]
- Sobol’, I.M.; Asotsky, D.; Kreinin, A.; Kucherenko, S. Construction and Comparison of High-Dimensional Sobol’generators. Wilmott 2011, 2011, 64–79. [Google Scholar] [CrossRef]
- Cantini, A.; Peron, M.; De Carlo, F.; Sgarbossa, F. A Decision Support System for Configuring Spare Parts Supply Chains Considering Different Manufacturing Technologies. Int. J. Prod. Res. 2022, 1–21. [Google Scholar] [CrossRef]
- Arnone, A. Viscous Analysis of Three-Dimensional Rotor Flow Using a Multigrid Method. J. Turbomach. 1994, 116, 435–445. [Google Scholar] [CrossRef]
- Bicchi, M.; Pinelli, L.; Marconcini, M.; Gaetani, P.; Persico, G. Numerical Study of a High-Pressure Turbine Stage with Inlet Distortions. AIP Conf. Proc. 2019, 2191, 020020. [Google Scholar]
- Wilcox, D.C. Turbulence Modeling CFD; DCW industries: La Canada, CA, USA, 1998; Volume 2. [Google Scholar]
- Giovannini, M.; Marconcini, M.; Arnone, A.; Dominguez, A. A Hybrid Parallelization Strategy of a Cfd Code for Turbomachinery Applications. In Proceedings of the 11th European Conference on Turbomachinery Fluid Dynamics & Thermodynamics, Madrid, Spain, 23–27 March 2015. [Google Scholar]
- Riccietti, E.; Bellucci, J.; Checcucci, M.; Marconcini, M.; Arnone, A. Support Vector Machine Classification Applied to the Parametric Design of Centrifugal Pumps. Eng. Optim. 2018, 50, 1304–1324. [Google Scholar] [CrossRef]
- GitHub—Keras-Team/Keras: Deep Learning for Humans. Available online: https://github.com/keras-team/keras (accessed on 19 September 2022).
- TensorFlow. 2021. Available online: https://www.tensorflow.org/ (accessed on 19 September 2022).
- Agnolucci, A.; Marconcini, M.; Arnone, A.; Toni, L.; Grimaldi, A.; Giachi, M. Centrifugal Compressor Stage Efficiency and Rotor Stiffness Augmentation via Artificial Neural Networks. In Proceedings of the Turbo Expo: Power for Land, Sea, and Air, Online, 7–11 June 2021; American Society of Mechanical Engineers: New York, NY, USA, 2021; Volume 84935, p. V02DT37A014. [Google Scholar]















| Parameter | Unit | Range of Variation |
|---|---|---|
| Impeller inlet blade angle | deg | [−2.0; 2.0] |
| Impeller outlet blade angle | deg | [−2.0; 2.0] |
| Blade thickness | % | [−7.5; 7.5] |
| Outlet impeller width | % | [−5.0; 5.0] |
| Impeller throat area | % | [−4.0; 7.5] |
| Diffusion ratio of diffuser | - | [−1.6; 1.84] |
| Parameter | Reason |
|---|---|
| Inlet width of inlet duct | Fix inlet width of inlet duct |
| Fix inlet width of impeller | |
| Inlet width of crossover bend | Preserve ratio |
| Inlet width of return vane channel | Preserve ratio |
| Radial position of return channel blade LE | Preserve the ratio between return channel blade length and diffuser |
| Outlet width of return vane channel TE | Preserve TE width |
| Grid | No. of Elements | Polytropic Efficiency | Work Coefficient | ||
|---|---|---|---|---|---|
| Value | Error with G5 [%] | Value | Error with G5 [%] | ||
| G1 | 3.4 million | 0.991 | −0.9 | 1.009 | 0.9 |
| G2 | 3.8 million | 0.995 | −0.5 | 1.005 | 0.5 |
| G3 | 4.3 million | 0.998 | −0.2 | 1.001 | 0.1 |
| G4 | 4.8 million | 1.000 | 0.0 | 1.000 | 0.0 |
| G5 | 5.3 million | 1.000 | - | 1.000 | - |
| Numerical Setup for CFD Computations | |
|---|---|
| Analysis type | RANS with adiabatic walls |
| Grid type | H-type |
| No. of Elements | 4.8 million |
| Convective flux discretization | 2nd order TVD-MUSCL with Roe’s upwind scheme |
| Viscous flux discretization | Central difference scheme |
| Turbulence closure | Wilcox’s k-ω model |
| Parallelization | Hybrid OpenMP/MPI architecture |
| Wall treatment | Full resolution |
| Near wall grid refinement | First element of 1.0 × 10−5 mm (y+ ≤ 1) |
| Stall | Design | Choke | Operative Range | ||||
|---|---|---|---|---|---|---|---|
| Low flow stage | 0.15% | 0.30% | 0.07% | 0.08% | 0.20% | 0.14% | 0.03% |
| Medium flow stage | 0.09% | 0.17% | 0.04% | 0.05% | 0.19% | 0.11% | 0.04% |
| High flow stage | 0.10% | 0.08% | 0.06% | 0.06% | 0.12% | 0.12% | 0.07% |
Disclaimer/Publisher’s Note: The statements, opinions and data contained in all publications are solely those of the individual author(s) and contributor(s) and not of MDPI and/or the editor(s). MDPI and/or the editor(s) disclaim responsibility for any injury to people or property resulting from any ideas, methods, instructions or products referred to in the content. |
© 2023 by the authors. Licensee MDPI, Basel, Switzerland. This article is an open access article distributed under the terms and conditions of the Creative Commons Attribution (CC BY) license (https://creativecommons.org/licenses/by/4.0/).
Share and Cite
Bicchi, M.; Marconcini, M.; Bellobuono, E.F.; Belardini, E.; Toni, L.; Arnone, A. Multi-Point Surrogate-Based Approach for Assessing Impacts of Geometric Variations on Centrifugal Compressor Performance. Energies 2023, 16, 1584. https://doi.org/10.3390/en16041584
Bicchi M, Marconcini M, Bellobuono EF, Belardini E, Toni L, Arnone A. Multi-Point Surrogate-Based Approach for Assessing Impacts of Geometric Variations on Centrifugal Compressor Performance. Energies. 2023; 16(4):1584. https://doi.org/10.3390/en16041584
Chicago/Turabian StyleBicchi, Marco, Michele Marconcini, Ernani Fulvio Bellobuono, Elisabetta Belardini, Lorenzo Toni, and Andrea Arnone. 2023. "Multi-Point Surrogate-Based Approach for Assessing Impacts of Geometric Variations on Centrifugal Compressor Performance" Energies 16, no. 4: 1584. https://doi.org/10.3390/en16041584
APA StyleBicchi, M., Marconcini, M., Bellobuono, E. F., Belardini, E., Toni, L., & Arnone, A. (2023). Multi-Point Surrogate-Based Approach for Assessing Impacts of Geometric Variations on Centrifugal Compressor Performance. Energies, 16(4), 1584. https://doi.org/10.3390/en16041584

