Thermodynamic Performance Comparison of CCHP System Based on Organic Rankine Cycle and Two-Stage Vapor Compression Cycle
Abstract
:1. Introduction
2. System Description
3. Thermodynamic Modeling
- (1)
- The system operates stably [36].
- (2)
- Expansion and compression processes have specified isentropic efficiencies [37].
- (3)
- The pressure drops, heat transfer loss and kinetic energy of organic working fluid in the system are ignored [38].
- (4)
- The pure water properties are used instead of the geothermal fluid [38].
- (5)
- Five superheated degrees is considered for wet working fluids, and 0 °C is for dry working fluids.
4. Validation
5. Results and Discussion
5.1. Changes of Parameters in CCHP System Performance
5.2. CCHP System Performance of Different Working Fluids
5.3. Comparison between CCHP System and Separated Output System
6. Conclusions
- (1)
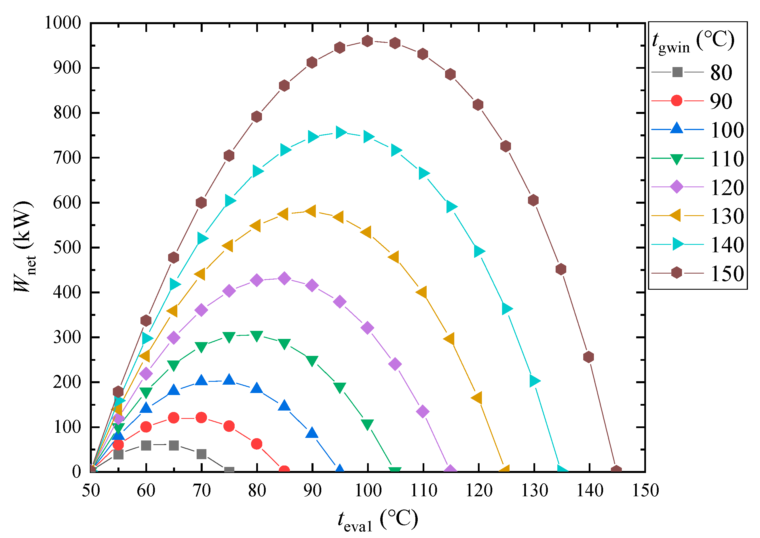
- The net power output has a local maximum where it corresponds to the optimal evaporation temperature, which increases by about 5 °C when the geothermal fluid temperature increases by 10 °C, and the increase of geothermal fluid temperature can improve the system performance.
- (2)
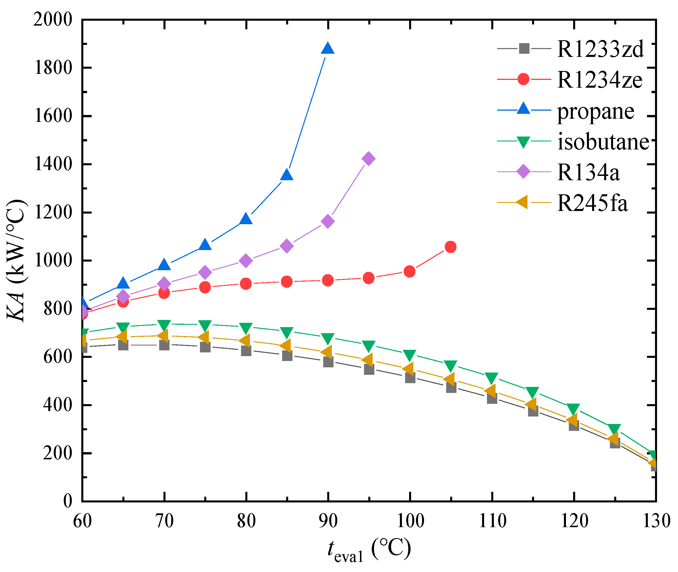
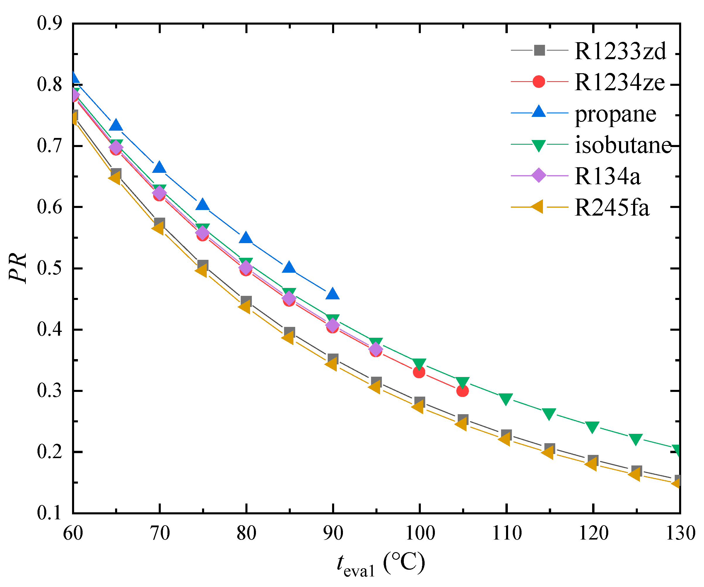
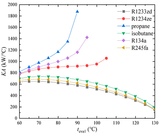
- There is a critical value for the geothermal fluid temperature, and the thermal conductance of working fluids greater than that are proportional to the evaporation temperature, while others less than that are inversely proportional to the evaporation temperature. Besides, the lower the critical temperature, the greater the thermal conductance. The pressure ratio is in reverse ratio to the evaporation temperature, which can be increased to augment the pressure drop of the expander, contributing to the higher net power output.
- (3)
- The most suitable working fluids for each geothermal fluid temperature divided are demonstrated, which can be selected according to the geothermal fluid temperature and the demand of energy forms in the building. When power supply performance matters, R134a always has a better maximum net power output. R1234yf and propane are excellent when the geothermal fluid temperature is low, and R1234ze and R152a are better since the geothermal fluid temperatures are 140 °C and 150 °C, respectively.
- (4)
- When the cooling supply performance matters, R134a always has a better maximum cooling capacity. Propane and R1234yf are in good cooling capacity until the geothermal fluid temperature are 140 °C and 120 °C, separately. R1234ze and R152a are better when the geothermal fluid temperatures are 140 °C and 150 °C, respectively.
- (5)
- When heating supply performance matters, hydrocarbons can be selected, which are all higher in total heat source recovery efficiency as well. The decane, nonane, octane and heptane of hydrocarbons only have good heating performance, resulting in better total heat source recovery efficiency.
- (6)
- The net power output and cooling capacity generated by the separated system are both more than a cogeneration system, but which can realize a cascade utilization of energy and the simultaneous supply of multiple energies. The gap between the separated power generation system and the cogeneration system decreased with the increment of the geothermal fluid temperature.
Author Contributions
Funding
Data Availability Statement
Conflicts of Interest
Abbreviations
| Nomenclature | amb | Ambient | |
| 1–14 | State points | ||
| c | Specific heat (kJ/kg) | Acronyms | |
| h | Specific enthalpy (kJ/kg) | ||
| m | Mass flow rate (kg/s) | COP | Coefficient of performance |
| P | Pressure (KPa) | GWP | Global warming potential |
| Q | Heat transfer rate (kW) | VCC | Vapor compression cycle |
| s | Specific entropy (kJ/(kg℃)) | ORC-TSVCC | Organic Rankine cycle coupled with two-stage vapor compression cycle |
| T | Temperature (K) | TSVCC | Two-stage vapor compression cycle |
| t | Temperature (℃) | CCHP | Combined cooling, heating, and power |
| W | Power (kW) | CHP | Combined heating and power |
| Greek letters | CCP | Combined cooling and power | |
| HCs | Hydrocarbons | ||
| η | Efficiency (%) | HFOs | Hydrofluoroolefins |
| Subscripts | HFCs | Hydrofluorocarbons | |
| HCFCs | Hydrochlorofluorocarbons | ||
| con | Condenser | CV | Control valve |
| cw | Cooling water | TV | Throttling valve |
| eva | Evaporator | RHW | Returning hot water |
| P | Pump | SHW | Supplying hot water |
| com | Compressor | HSSW | Heat source supplying hot water |
| t | turbine | HSRW | Heat source returning hot water |
| gw | Geothermal water | HRCW | High-temperature returning chilled water |
| wf | Working fluid | HSCW | High-temperature supplying chilled water |
| ex | Exergetic | LRCW | Low-temperature returning chilled water |
| in | Inlet of each component | LSCW | Low-temperature supplying chilled water |
| out | Outlet of each component | PR | Pressure ratio |
| th | Thermal | AR | Absorption refrigeration |
References
- Manzano-Agugliaro, F.; Sanchez-Muros, M.J.; Barroso, F.G.; Martínez-Sánchez, A.; Rojo, S.; Pérez-Bañón, C. Insects for Biodiesel Production. Renew. Sustain. Energy Rev. 2012, 16, 3744–3753. [Google Scholar] [CrossRef]
- Guan, Z.; Zhao, P.; Wang, J.; Sun, Q.; Guo, Y.; Lou, J.; Chen, L.; Liu, B.; Li, H. Dynamic Performance and Control Strategy of a Combined Heat and Power System Driven by Geothermal Energy Considering the Building Multi-Load Requirements. Energy Convers. Manag. 2022, 270, 116189. [Google Scholar] [CrossRef]
- Mott, A.; Baba, A.; Hadi Mosleh, M.; Ökten, H.E.; Babaei, M.; Gören, A.Y.; Feng, C.; Recepoğlu, Y.K.; Uzelli, T.; Uytun, H.; et al. Boron in Geothermal Energy: Sources, Environmental Impacts, and Management in Geothermal Fluid. Renew. Sustain. Energy Rev. 2022, 167, 112825. [Google Scholar] [CrossRef]
- Pan, S.-Y.; Gao, M.; Shah, K.J.; Zheng, J.; Pei, S.-L.; Chiang, P.-C. Establishment of Enhanced Geothermal Energy Utilization Plans: Barriers and Strategies. Renew. Energy 2019, 132, 19–32. [Google Scholar] [CrossRef]
- Franco, A.; Vaccaro, M. An Integrated “Reservoir-Plant” Strategy for a Sustainable and Efficient Use of Geothermal Resources. Energy 2012, 37, 299–310. [Google Scholar] [CrossRef]
- Meng, N.; Li, T.; Wang, J.; Jia, Y.; Liu, Q.; Qin, H. Synergetic Cascade-Evaporation Mechanism of a Novel Building Distributed Energy Supply System with Cogeneration and Temperature and Humidity Independent Control Characteristics. Energy Convers. Manag. 2020, 209, 112620. [Google Scholar] [CrossRef]
- Zhao, R.; Zhang, H.; Song, S.; Yang, F.; Hou, X.; Yang, Y. Global Optimization of the Diesel Engine–Organic Rankine Cycle (ORC) Combined System Based on Particle Swarm Optimizer (PSO). Energy Convers. Manag. 2018, 174, 248–259. [Google Scholar] [CrossRef]
- Van Erdeweghe, S.; Van Bael, J.; D’haeseleer, W. Optimal Configuration, Design and Control of a Binary Geothermal Combined Heat-and-Power Plant. Energy Convers. Manag. 2019, 198, 111854. [Google Scholar] [CrossRef]
- Gu, W.; Wu, Z.; Bo, R.; Liu, W.; Zhou, G.; Chen, W.; Wu, Z. Modeling, Planning and Optimal Energy Management of Combined Cooling, Heating and Power Microgrid: A Review. Int. J. Electr. Power Energy Syst. 2014, 54, 26–37. [Google Scholar] [CrossRef]
- Huang, Z.F.; Soh, K.Y.; Islam, M.R.; Chua, K.J. Digital Twin Driven Life-Cycle Operation Optimization for Combined Cooling Heating and Power-Cold Energy Recovery (CCHP-CER) System. Appl. Energy 2022, 324, 119774. [Google Scholar] [CrossRef]
- Jia, J.; Chen, H.; Liu, H.; Ai, T.; Li, H. Thermodynamic Performance Analyses for CCHP System Coupled with Organic Rankine Cycle and Solar Thermal Utilization under a Novel Operation Strategy. Energy Convers. Manag. 2021, 239, 114212. [Google Scholar] [CrossRef]
- Zhao, H.; Li, B.; Lu, H.; Wang, X.; Li, H.; Guo, S.; Xue, W.; Wang, Y. Economy-Environment-Energy Performance Evaluation of CCHP Microgrid System: A Hybrid Multi-Criteria Decision-Making Method. Energy 2022, 240, 122830. [Google Scholar] [CrossRef]
- Wang, X.; Xu, Y.; Fu, Z.; Guo, J.; Bao, Z.; Li, W.; Zhu, Y. A Dynamic Interactive Optimization Model of CCHP System Involving Demand-Side and Supply-Side Impacts of Climate Change. Part II: Application to a Hospital in Shanghai, China. Energy Convers. Manag. 2022, 252, 115139. [Google Scholar] [CrossRef]
- Zhao, J.; Cai, S.; Huang, X.; Luo, X.; Tu, Z. 4E Analysis and Multiobjective Optimization of a PEMFC-Based CCHP System with Dehumidification. Energy Convers. Manag. 2021, 248, 114789. [Google Scholar] [CrossRef]
- Kazemian, M.E.; Gandjalikhan Nassab, S.A.; Jahanshahi Javaran, E. Comparative Techno-Economic Investigation of CCHP Combined by GSHP Based on Response Surface Methodology. Therm. Sci. Eng. Prog. 2022, 34, 101386. [Google Scholar] [CrossRef]
- Lee, M.; Kim, J.; Shin, H.H.; Cho, W.; Kim, Y. CO2 Emissions and Energy Performance Analysis of Ground-Source and Solar-Assisted Ground-Source Heat Pumps Using Low-GWP Refrigerants. Energy 2022, 261, 125198. [Google Scholar] [CrossRef]
- Liu, X.; Patra, I.; Kuzichkin, O.R.; Zaidi, M.; Abdulnabi, S.M.; Mohsen Najm, Z.; Altimari, U.S.; Hadrawi, S.K.; Taheri Andani, M.; Hekmatifar, M. Molecular Dynamics Study of the Effect of External Electric Field Amplitude and Cavity on Thermal Properties of Ammonia/Copper Nano-Refrigerant. J. Mol. Liq. 2022, 365, 120125. [Google Scholar] [CrossRef]
- Vering, C.; Kroppa, H.; Venzik, V.; Streblow, R.; Müller, D. Towards an Integral Decision-Making Process Applied to the Refrigerant Selection in Heat Pumps. Renew. Energy 2022, 192, 815–827. [Google Scholar] [CrossRef]
- Ustaoglu, A.; Kursuncu, B.; Metin Kaya, A.; Caliskan, H. Analysis of Vapor Compression Refrigeration Cycle Using Advanced Exergetic Approach with Taguchi and ANOVA Optimization and Refrigerant Selection with Enviroeconomic Concerns by TOPSIS Analysis. Sustain. Energy Technol. Assess. 2022, 52, 102182. [Google Scholar] [CrossRef]
- Sun, Z.; Quan, J.; Wang, Y.; Li, R.; Peng, J.; Zhang, H.; Xu, J.; Sun, H.; Tian, S.; Dong, S.; et al. Performance Comparison of the Single-Refrigerant Cascade Refrigerating System. Energy Rep. 2022, 8, 8259–8270. [Google Scholar] [CrossRef]
- Malwe, P.D.; Shaikh, J.; Gawali, B.S. Exergy Assessment of a Multistage Multi-Evaporator Vapor Compression Refrigeration System Using Eighteen Refrigerants. Energy Rep. 2022, 8, 153–162. [Google Scholar] [CrossRef]
- Kang, G.H.; Na, S.-I.; Kim, M.S. Reasonable Performance Comparison for a Refrigeration System Using Different Refrigerants: Case with Propane and Isobutane Mixtures with Several Compositions. Int. J. Refrig. 2022, 135, 41–50. [Google Scholar] [CrossRef]
- Sulaiman, A.Y.; Cotter, D.F.; Le, K.X.; Huang, M.J.; Hewitt, N.J. Thermodynamic Analysis of Subcritical High-Temperature Heat Pump Using Low GWP Refrigerants: A Theoretical Evaluation. Energy Convers. Manag. 2022, 268, 116034. [Google Scholar] [CrossRef]
- He, Y.; Wu, H.; Liu, Y.; Wang, T.; Wu, X.; Cheng, C.; Jin, T. Theoretical Performance Comparison for Two-Stage Auto-Cascade Refrigeration System Using Hydrocarbon Refrigerants. Int. J. Refrig. 2022, 142, 27–36. [Google Scholar] [CrossRef]
- Zarei, A.; Elahi, S.; Pahangeh, H. Design and Analysis of a Novel Solar Compression-Ejector Cooling System with Eco-Friendly Refrigerants Using Hybrid Photovoltaic Thermal (PVT) Collector. Therm. Sci. Eng. Prog. 2022, 32, 101311. [Google Scholar] [CrossRef]
- Suresh, R.; Datta, S.P. Drop-in Replacement of Conventional Automotive Refrigeration System to Hybrid-Ejector System with Environment-Friendly Refrigerants. Energy Convers. Manag. 2022, 266, 115819. [Google Scholar] [CrossRef]
- Walid Faruque, M.; Hafiz Nabil, M.; Raihan Uddin, M.; Monjurul Ehsan, M.; Salehin, S. Thermodynamic Assessment of a Triple Cascade Refrigeration System Utilizing Hydrocarbon Refrigerants for Ultra-Low Temperature Applications. Energy Convers. Manag. X 2022, 14, 100207. [Google Scholar] [CrossRef]
- Yu, W.; Liu, C.; Li, Q.; Xin, L.; Wang, S. Resource Utilization of Waste HFC-134a Refrigerant by Supercritical Gasification Method: A Reactive Molecular Dynamic Study. Process Saf. Environ. Prot. 2022, 168, 399–409. [Google Scholar] [CrossRef]
- Pabon, J.J.G.; Khosravi, A.; Belman-Flores, J.M.; Machado, L.; Revellin, R. Applications of Refrigerant R1234yf in Heating, Air Conditioning and Refrigeration Systems: A Decade of Researches. Int. J. Refrig. 2020, 118, 104–113. [Google Scholar] [CrossRef]
- Granryd, E. Hydrocarbons as Refrigerants Ð an Overview. Int. J. Refrig. 2001, 24, 15–24. [Google Scholar] [CrossRef]
- Abas, N.; Kalair, A.R.; Khan, N.; Haider, A.; Saleem, Z.; Saleem, M.S. Natural and Synthetic Refrigerants, Global Warming: A Review. Renew. Sustain. Energy Rev. 2018, 90, 557–569. [Google Scholar] [CrossRef]
- Kasaeian, A.; Hosseini, S.M.; Sheikhpour, M.; Mahian, O.; Yan, W.-M.; Wongwises, S. Applications of Eco-Friendly Refrigerants and Nanorefrigerants: A Review. Renew. Sustain. Energy Rev. 2018, 96, 91–99. [Google Scholar] [CrossRef]
- Dawo, F.; Fleischmann, J.; Kaufmann, F.; Schifflechner, C.; Eyerer, S.; Wieland, C.; Spliethoff, H. R1224yd(Z), R1233zd(E) and R1336mzz(Z) as Replacements for R245fa: Experimental Performance, Interaction with Lubricants and Environmental Impact. Appl. Energy 2021, 288, 116661. [Google Scholar] [CrossRef]
- Cao, J.; Feng, X.; Ji, X.Y. Review of studies on organic Rankine cycle with zeotropic mixtures. Therm. Power Gener. 2022, 51, 44–51. [Google Scholar] [CrossRef]
- Calm, J.M.; Hourahan, G.C. Refrigerant data update. HPAC Eng. 2007, 79, 50–64. [Google Scholar]
- Toffolo, A.; Lazzaretto, A.; Manente, G.; Paci, M. A Multi-Criteria Approach for the Optimal Selection of Working Fluid and Design Parameters in Organic Rankine Cycle Systems. Appl. Energy 2014, 121, 219–232. [Google Scholar] [CrossRef]
- Sarkar, J.; Bhattacharyya, S. Potential of Organic Rankine Cycle Technology in India: Working Fluid Selection and Feasibility Study. Energy 2015, 90, 1618–1625. [Google Scholar] [CrossRef]
- Zhao, Y.; Wang, J. Exergoeconomic Analysis and Optimization of a Flash-Binary Geothermal Power System. Appl. Energy 2016, 179, 159–170. [Google Scholar] [CrossRef]
- Li, T.; Zhu, J.; Zhang, W. Cascade Utilization of Low Temperature Geothermal Water in Oilfield Combined Power Generation, Gathering Heat Tracing and Oil Recovery. Appl. Therm. Eng. 2012, 40, 27–35. [Google Scholar] [CrossRef]
- Ma, H.; Li, Q.; Wang, D.; Song, Q.; Zhou, S.; Wang, X.; Li, Y. Operating Performance and Economic Analysis of Solar Single/Double-Effect Compound Absorption Refrigeration System. Sol. Energy 2022, 247, 73–85. [Google Scholar] [CrossRef]





| Substance | Type | Relative Molecular Mass | Critical Temperature (°C) | Critical Pressure (MPa) | ODP | GWP | Dry/Wet | Safety | Ref |
| R1233zd | HFOs | 130.5 | 166.5 | 3.62 | 0 | 1 | Dry | A1 | [33] |
| R1234ze | 114.04 | 109.36 | 3.64 | 0 | 6 | Dry | A2L | [34] | |
| R1234yf | 114.04 | 94.70 | 3.38 | 0 | 4 | Dry | A2L | [34] | |
| butane | HCs | 58.12 | 151.98 | 3.80 | 0 | 4 | Dry | A3 | [34] |
| isobutane | 58.12 | 134.66 | 3.63 | 0 | 4 | Dry | A3 | [34] | |
| pentane | 72.15 | 196.55 | 3.37 | 0 | 20 | Dry | A3 | [34] | |
| isopentane | 72.15 | 187.20 | 3.38 | 0 | 0–20 | Dry | A3 | [35] | |
| propane | 44.10 | 96.68 | 4.25 | 0 | 3 | Dry | A3 | [34] | |
| decane | 142.28 | 344.55 | 2.103 | 0 | — | Wet | A3 | Refprop | |
| nonane | 128.26 | 321.40 | 2.281 | 0 | — | Wet | A3 | Refprop | |
| octane | 114.23 | 296.17 | 2.497 | 0 | — | Wet | A3 | Refprop | |
| heptane | 100.20 | 266.98 | 2.736 | 0 | — | Wet | A3 | Refprop | |
| R134a | HFCs | 102.03 | 101.06 | 4.06 | 0 | 1430 | Wet | A1 | Refprop |
| R152a | 66.05 | 113.26 | 4.52 | 0 | 133 | Wet | A2 | [35] | |
| R245fa | 134.05 | 154.05 | 3.64 | 0 | 1050 | Dry | B1 | [34] | |
| R245ca | 134.05 | 174.42 | 3.93 | 0 | 1340 | Dry | B1 | [34] | |
| R365mfc | 148.07 | 186.85 | 3.27 | 0 | 890 | Dry | A1 | [34] |
| Substance | tgw,in (°C) | tgw,out (°C) | mgw (kg/s) | tcw,in (°C) | tcw,out (°C) | mcw (kg/s) | Wnet (kW) | ηth (%) | ηex (%) | Source |
|---|---|---|---|---|---|---|---|---|---|---|
| R123 | 110.9 | 87.4 | 69.44 | 28 | 38 | 162.5 | 270 | 3.96 | 19.64 | [39] |
| R123 | 110.9 | 87.4 | 69.44 | 28 | 38 | 162.5 | 276 | 4.02 | 20.13 | present |
| teva1 (°C) | mwf (kg/s) | Δh (kJ/kg) | Peva1 (kPa) | Pcon (kPa) | PR |
|---|---|---|---|---|---|
| 55 | 57.08 | 2.36 | 462.59 | 344.17 | 0.74 |
| 60 | 53.35 | 4.65 | 532.27 | 344.17 | 0.65 |
| 65 | 49.50 | 6.88 | 609.60 | 344.17 | 0.56 |
| 70 | 45.52 | 9.06 | 695.10 | 344.17 | 0.50 |
| 75 | 41.39 | 11.17 | 789.31 | 344.17 | 0.44 |
| 80 | 37.11 | 13.23 | 892.78 | 344.17 | 0.39 |
| 85 | 32.64 | 15.23 | 1006.09 | 344.17 | 0.34 |
| 90 | 27.96 | 17.18 | 1129.81 | 344.17 | 0.30 |
| 95 | 23.05 | 19.07 | 1264.57 | 344.17 | 0.27 |
| 100 | 17.86 | 20.91 | 1411.00 | 344.17 | 0.24 |
| 105 | 12.33 | 22.68 | 1569.80 | 344.17 | 0.22 |
| 110 | 6.41 | 24.40 | 1741.69 | 344.17 | 0.20 |
| Substance | ηex,ORC (%) | COP | ηex,TSVCC (%) | Qcooling (kW) | WCOM (kW) | Qheating (MW) | ηth,CCHP (%) | Wnet,max (kW) | Qcooling,max (MW) |
|---|---|---|---|---|---|---|---|---|---|
| R1234yf | 11.00 | 5.00 | 17.55 | 214.89 | 42.98 | 8.50 | 58.32 | 121.54 | 0.61 |
| R1234ze | 10.90 | 5.20 | 18.27 | 257.36 | 49.54 | 8.55 | 58.89 | 120.40 | 0.63 |
| R1233zd | 10.80 | 5.40 | 19.01 | 312.00 | 57.80 | 8.62 | 59.62 | 119.32 | 0.64 |
| butane | 10.76 | 5.44 | 19.14 | 579.84 | 106.63 | 8.93 | 63.17 | 118.88 | 0.65 |
| isobutane | 10.77 | 5.36 | 18.85 | 517.37 | 96.49 | 8.86 | 62.34 | 118.97 | 0.64 |
| pentane | 10.75 | 5.39 | 18.95 | 592.00 | 109.88 | 8.95 | 63.33 | 118.75 | 0.64 |
| isopentane | 10.75 | 5.40 | 18.96 | 552.79 | 102.46 | 8.90 | 62.81 | 118.73 | 0.64 |
| propane | 10.73 | 5.18 | 18.28 | 527.94 | 101.87 | 8.88 | 62.47 | 118.56 | 0.61 |
| decane | 10.70 | 3.79 | 13.32 | 584.87 | 154.35 | 8.99 | 63.25 | 118.14 | 0.45 |
| nonane | 10.70 | 4.28 | 15.03 | 587.32 | 137.31 | 8.98 | 63.28 | 118.19 | 0.51 |
| octane | 10.71 | 4.67 | 16.40 | 590.58 | 126.59 | 8.97 | 63.31 | 118.26 | 0.55 |
| heptane | 10.70 | 4.98 | 17.51 | 591.27 | 118.69 | 8.96 | 63.32 | 118.40 | 0.59 |
| R134a | 10.91 | 5.21 | 18.39 | 280.77 | 53.86 | 8.58 | 59.20 | 120.48 | 0.63 |
| R152a | 10.80 | 5.41 | 19.15 | 465.84 | 86.06 | 8.80 | 61.65 | 118.76 | 0.64 |
| R245fa | 10.85 | 5.30 | 18.67 | 304.76 | 57.47 | 8.61 | 59.52 | 119.82 | 0.64 |
| R245ca | 10.82 | 5.30 | 18.64 | 328.54 | 62.01 | 8.64 | 59.84 | 119.49 | 0.63 |
| R365mfc | 10.80 | 5.21 | 18.29 | 307.08 | 58.94 | 8.61 | 59.55 | 119.17 | 0.62 |
| 100 °C | 110 °C | |||||||||
|---|---|---|---|---|---|---|---|---|---|---|
| Substance | ηex,ORC (%) | Qheating (MW) | ηth,CCHP (%) | Wnet,max (kW) | Qcooling,max (MW) | ηex,ORC (%) | Qheating (MW) | ηth,CCHP (%) | Wnet,max (kW) | Qcooling,max (MW) |
| R1234yf | 14.47 | 10.08 | 62.41 | 209.67 | 1.05 | 18.00 | 11.63 | 65.71 | 329.51 | 1.65 |
| R1234ze | 14.12 | 10.14 | 62.92 | 204.52 | 1.06 | 17.17 | 11.69 | 66.19 | 314.18 | 1.63 |
| R1233zd | 13.79 | 10.21 | 63.59 | 199.82 | 1.08 | 16.47 | 11.77 | 66.80 | 301.46 | 1.63 |
| butane | 13.77 | 10.52 | 66.78 | 199.47 | 1.08 | 16.48 | 12.09 | 69.70 | 301.63 | 1.64 |
| isobutane | 13.83 | 10.45 | 66.03 | 200.34 | 1.07 | 16.63 | 12.01 | 69.02 | 304.26 | 1.63 |
| pentane | 13.70 | 10.54 | 66.93 | 198.51 | 1.07 | 16.33 | 12.11 | 69.84 | 298.88 | 1.61 |
| isopentane | 13.71 | 10.49 | 66.46 | 198.64 | 1.07 | 16.36 | 12.06 | 69.42 | 299.35 | 1.62 |
| propane | 14.00 | 10.46 | 66.14 | 202.83 | 1.05 | 17.23 | 12.01 | 69.10 | 315.38 | 1.63 |
| decane | 13.58 | 10.58 | 66.86 | 196.83 | 0.75 | 16.14 | 12.15 | 69.77 | 295.30 | 1.12 |
| nonane | 13.59 | 10.57 | 66.88 | 196.96 | 0.84 | 16.15 | 12.14 | 69.80 | 295.56 | 1.26 |
| octane | 13.61 | 10.56 | 66.92 | 197.18 | 0.92 | 16.17 | 12.13 | 69.83 | 295.98 | 1.38 |
| heptane | 13.63 | 10.55 | 66.92 | 197.49 | 0.98 | 16.21 | 12.12 | 69.84 | 296.60 | 1.48 |
| R134a | 14.17 | 10.16 | 63.2 | 205.33 | 1.07 | 17.33 | 11.72 | 66.43 | 317.20 | 1.65 |
| R152a | 13.81 | 10.39 | 65.41 | 200.06 | 1.08 | 16.64 | 11.95 | 68.45 | 304.47 | 1.65 |
| R245fa | 13.88 | 10.20 | 63.5 | 201.11 | 1.07 | 16.62 | 11.76 | 66.72 | 304.22 | 1.61 |
| R245ca | 13.81 | 10.23 | 63.79 | 200.12 | 1.06 | 16.50 | 11.79 | 66.98 | 301.92 | 1.60 |
| R365mfc | 13.77 | 10.20 | 63.53 | 199.48 | 1.04 | 16.43 | 11.77 | 66.75 | 300.76 | 1.57 |
| 120 °C | 130 °C | |||||||||
|---|---|---|---|---|---|---|---|---|---|---|
| Substance | ηex,ORC (%) | Qheating (MW) | ηth,CCHP (%) | Wnet,max (kW) | Qcooling,max (MW) | ηex,ORC (%) | Qheating (MW) | ηth,CCHP (%) | Wnet,max (kW) | Qcooling,max (MW) |
| R1234yf | 23.30 | 13.08 | 68.38 | 523.55 | 2.62 | 27.17 | 14.53 | 70.64 | 689.98 | 3.45 |
| R1234ze | 20.17 | 13.22 | 68.87 | 453.00 | 2.35 | 23.65 | 14.69 | 71.07 | 638.13 | 3.32 |
| R1233zd | 18.91 | 13.32 | 69.45 | 424.95 | 2.29 | 21.17 | 14.83 | 71.65 | 571.19 | 3.08 |
| butane | 18.98 | 13.63 | 72.10 | 426.37 | 2.32 | 21.31 | 15.14 | 74.09 | 575.00 | 3.13 |
| isobutane | 19.24 | 13.55 | 71.47 | 432.31 | 2.32 | 21.74 | 15.06 | 73.50 | 586.68 | 3.15 |
| pentane | 18.71 | 13.65 | 72.23 | 420.33 | 2.26 | 20.88 | 15.18 | 74.22 | 563.42 | 3.04 |
| isopentane | 18.76 | 13.61 | 71.84 | 421.41 | 2.27 | 20.96 | 15.13 | 73.86 | 565.51 | 3.05 |
| propane | 22.90 | 13.46 | 71.46 | 514.56 | 2.67 | 28.61 | 14.85 | 73.44 | 771.83 | 4.00 |
| decane | 18.41 | 13.70 | 72.17 | 413.63 | 1.57 | 20.46 | 15.23 | 74.17 | 551.96 | 2.09 |
| nonane | 18.43 | 13.68 | 72.19 | 414.08 | 1.77 | 20.48 | 15.21 | 74.19 | 552.68 | 2.36 |
| octane | 18.46 | 13.68 | 72.23 | 414.82 | 1.94 | 20.53 | 15.20 | 74.22 | 553.87 | 2.58 |
| heptane | 18.51 | 13.67 | 72.23 | 415.93 | 2.07 | 20.60 | 15.19 | 74.22 | 555.73 | 2.77 |
| R134a | 20.75 | 13.23 | 69.07 | 466.14 | 2.43 | 29.22 | 14.54 | 71.19 | 788.33 | 4.11 |
| R152a | 19.34 | 13.48 | 70.95 | 434.57 | 2.35 | 22.03 | 14.98 | 73.01 | 594.51 | 3.22 |
| R245fa | 19.14 | 13.30 | 69.37 | 430.12 | 2.28 | 21.50 | 14.82 | 71.58 | 580.10 | 3.08 |
| R245ca | 18.94 | 13.34 | 69.61 | 425.55 | 2.25 | 21.19 | 14.85 | 71.80 | 571.84 | 3.03 |
| R365mfc | 18.85 | 13.31 | 69.40 | 423.57 | 2.21 | 21.07 | 14.83 | 71.61 | 568.59 | 2.96 |
| 140 °C | 150 °C | |||||||||
|---|---|---|---|---|---|---|---|---|---|---|
| Substance | ηex,ORC (%) | Qheating (MW) | ηth,CCHP (%) | Wnet,max (kW) | Qcooling,max (MW) | ηex,ORC (%) | Qheating (MW) | ηth,CCHP (%) | Wnet,max (kW) | Qcooling,max (MW) |
| R1234yf | 25.82 | 16.12 | 72.61 | 778.89 | 3.89 | 19.83 | 17.90 | 74.38 | 690.87 | 3.45 |
| R1234ze | 29.73 | 16.02 | 72.87 | 946.26 | 4.92 | 34.09 | 17.35 | 74.43 | 1261.68 | 6.55 |
| R1233zd | 23.29 | 16.32 | 73.49 | 741.35 | 4.00 | 25.32 | 17.79 | 75.05 | 936.88 | 5.06 |
| butane | 23.54 | 16.63 | 75.75 | 749.21 | 4.07 | 25.70 | 18.08 | 77.15 | 951.24 | 5.17 |
| isobutane | 24.20 | 16.53 | 75.20 | 770.35 | 4.13 | 26.90 | 17.96 | 76.61 | 995.48 | 5.34 |
| pentane | 22.90 | 16.67 | 75.88 | 728.90 | 3.93 | 24.79 | 18.14 | 77.28 | 917.62 | 4.94 |
| isopentane | 23.01 | 16.62 | 75.54 | 732.51 | 3.95 | 24.95 | 18.09 | 76.96 | 923.46 | 4.98 |
| propane | 32.33 | 16.25 | 75.12 | 1029.11 | 5.33 | 25.13 | 18.04 | 76.72 | 929.96 | 4.82 |
| decane | 22.32 | 17.20 | 75.84 | 710.43 | 2.69 | 24.03 | 18.21 | 77.25 | 889.25 | 3.37 |
| nonane | 22.35 | 16.72 | 75.86 | 711.54 | 3.04 | 24.07 | 18.20 | 77.26 | 890.88 | 3.81 |
| octane | 22.41 | 16.71 | 75.88 | 713.38 | 3.33 | 24.15 | 18.19 | 77.29 | 893.60 | 4.17 |
| heptane | 22.50 | 16.70 | 75.89 | 716.29 | 3.57 | 24.26 | 18.17 | 77.29 | 897.99 | 4.47 |
| R134a | 34.67 | 15.88 | 73.01 | 1103.66 | 5.75 | 31.05 | 17.51 | 74.68 | 1149.23 | 5.99 |
| R152a | 26.77 | 16.37 | 74.68 | 852.25 | 4.61 | 32.24 | 17.66 | 76.08 | 1193.15 | 6.46 |
| R245fa | 23.75 | 16.30 | 73.42 | 755.83 | 4.01 | 25.92 | 17.75 | 74.98 | 959.45 | 5.09 |
| R245ca | 23.31 | 16.35 | 73.64 | 741.83 | 3.93 | 25.31 | 17.81 | 75.18 | 936.81 | 4.96 |
| R365mfc | 23.14 | 16.33 | 73.46 | 736.69 | 3.84 | 25.10 | 17.79 | 75.02 | 928.87 | 4.84 |
| tgw (°C) | Wnet,CCHP (kW) | Wnet,ORC (kW) | Wnet,CCHP/Wnet,ORC (%) | Relative Difference (%) |
|---|---|---|---|---|
| 90 | 119.82 | 179.83 | 66.63 | 33.37 |
| 100 | 201.11 | 277.62 | 72.44 | 27.56 |
| 110 | 304.22 | 397.82 | 76.47 | 23.53 |
| 120 | 430.12 | 541.41 | 79.44 | 20.56 |
| 130 | 580.10 | 709.65 | 81.74 | 18.26 |
| 140 | 755.83 | 904.13 | 83.60 | 16.40 |
| 150 | 959.45 | 1129.58 | 84.94 | 15.06 |
| Parameters | AR System | VCC System | VCC/AR (%) |
|---|---|---|---|
| Qcooling,max (kW) | 1301.92 | 1191.39 | 91.51 |
| Overall COP | 0.79 | 0.23 | 29.11 |
Disclaimer/Publisher’s Note: The statements, opinions and data contained in all publications are solely those of the individual author(s) and contributor(s) and not of MDPI and/or the editor(s). MDPI and/or the editor(s) disclaim responsibility for any injury to people or property resulting from any ideas, methods, instructions or products referred to in the content. |
© 2023 by the authors. Licensee MDPI, Basel, Switzerland. This article is an open access article distributed under the terms and conditions of the Creative Commons Attribution (CC BY) license (https://creativecommons.org/licenses/by/4.0/).
Share and Cite
Li, T.; Wang, J.; Zhang, Y.; Gao, R.; Gao, X. Thermodynamic Performance Comparison of CCHP System Based on Organic Rankine Cycle and Two-Stage Vapor Compression Cycle. Energies 2023, 16, 1558. https://doi.org/10.3390/en16031558
Li T, Wang J, Zhang Y, Gao R, Gao X. Thermodynamic Performance Comparison of CCHP System Based on Organic Rankine Cycle and Two-Stage Vapor Compression Cycle. Energies. 2023; 16(3):1558. https://doi.org/10.3390/en16031558
Chicago/Turabian StyleLi, Tailu, Jingyi Wang, Yao Zhang, Ruizhao Gao, and Xiang Gao. 2023. "Thermodynamic Performance Comparison of CCHP System Based on Organic Rankine Cycle and Two-Stage Vapor Compression Cycle" Energies 16, no. 3: 1558. https://doi.org/10.3390/en16031558
APA StyleLi, T., Wang, J., Zhang, Y., Gao, R., & Gao, X. (2023). Thermodynamic Performance Comparison of CCHP System Based on Organic Rankine Cycle and Two-Stage Vapor Compression Cycle. Energies, 16(3), 1558. https://doi.org/10.3390/en16031558
