Abstract
Building energy efficiency has grown strong in a context of soaring energy prices, especially in Europe. The use of energy-saving devices strongly influences its improvement, but in many cases, it is far from sufficient., especially if the energy comes from renewable sources with forced production. In the case of buildings, these are usually photovoltaic (PV) sources. For this reason, energy management systems (EMS) are becoming increasingly popular as they allow the increase in self-consumption and reduce the size of energy storage. This article presents analyses of historical energy consumption profiles in selected small- and medium-sized buildings powered by renewable energy sources. The implementation limitations of this type of systems, depending on the profile of the building, were identified and guidelines were presented to assess low-cost solutions dedicated to small buildings and considering the actual conditions of existing systems. Statistical analyzes were conducted for the energy demand profiles of 15 different buildings. The analyzes consisted of the preparation of box plots for each hour of working days and the calculation of the relative standard deviation (RSD) index for annual profiles of 60 min periods. The analyzes showed that the RSD index has low values for commercial buildings (e.g., hospital 7% and bank 15%) and very high values for residential buildings—even over 100%. On this basis, it can be concluded about the usefulness of energy profiles for demand forecasting. The novelty of the proposed method is to examine the possibility of using measurement data as data to forecast energy consumption based on statistical analysis, dedicated to low-cost EMS system solutions.
Keywords:
electrical energy management; energy system; renewable energy sources; reduction in electrical energy consumption; low-cost electrical power systems; energy strategy; energy efficiency; strategic management; analysis of methods of energy management; electrical energy consumption; limitation of probabilistic method; integrated approach; transformation; European Green Deal 1. Introduction
The continuous increase in the price of electrical energy makes the issues of saving energy and proper energy management extremely important to ensure uninterrupted operation of power systems, thus ensuring the appropriate quality of electricity for consumers. Implementing the European Green Deal strategy is also crucial [1]. Energy-saving mechanisms include a number of activities that aim to rationalize the use of resources and increase the share of renewable energy sources in total production and activities that lead to a reduction in the consumption of these resources [2,3,4]. The energy market cannot function properly without proper management of energy consumption at every level, from a single household to an integrated power system. This order was used not without reason as the widespread use of distributed energy sources (especially renewable sources) requires changing the place of managing and forecasting electricity demand to the lowest level - this is especially true for prosumer installations [5].
The management of electricity in buildings is becoming increasingly important, mainly due to the rapid increase in energy purchase costs. Cost reduction can be achieved by reducing consumption or using cheap, prosumer renewable sources, such as photovoltaics or micro biogas plants. Cheap prosumer renewable sources are sources with limited supply, most of which are limited by weather conditions. The energy management of a single building or premises requires reliable forecasting of energy production and consumption, which, together with the appropriate model, allows one to make the right decisions about its use. This article analyses the demand side because of the possibility of using simple methods to predict production. There are many models that use Industry 4.0 technologies, the integration of IoT (Internet of Things) technologies, artificial intelligence and modelling supported by a digital twin, enabling the creation of intelligent environments that increase energy efficiency [6,7,8].
There are many available devices on the market that provide the ability to manage and monitor nonintelligent loads, such as Fibaro, Sonoff, Pacific Sun, Ocean ABB or Xiaomi MI Smart plugs. There are also many works showing the use of these smart plugs in energy management systems [9,10,11]. Smart plugs enable the retrofitting of electrical resources and provide basic functions, such as planning or creating rules. However, smart plugs, in addition to their capabilities, are not able to acquire and transfer information regarding the context of the resource, i.e., where and how users use the resource. The implementation of inexpensive and generally available solutions is relatively simple, but the problem is the limitations in the information on the use of the resource by the user. The energy management system is highly dependent on available data on the context of the object. To be able to forecast and optimize energy consumption, general knowledge of the building context is necessary and partial information provides limited possibilities for forecasting consumption and appropriate energy management. Moreover, the aggregation of several systems and devices of different brands and their different standards of output data is also a big challenge.
Several solutions are used to connect energy loads in buildings with the energy management system defined by the IEC 61970 standard. The first concerns the modification of individual loads by adding measuring and communication units, making them intelligent; such solutions have been proposed in works [12,13,14,15]. The second solution concerns the incorporation of intelligence into the power line, which requires modification of the electrical infrastructure of the building [16,17,18]. The third approach presented, among others, in [19,20] uses DR and intelligent measurement units connected between the power supply and the load. Currently, there are many relatively inexpensive hardware solutions that enable the creation of an EMS system and the control of loads, but the challenge is to use and adapt these systems to forecast demand. They provide limited possibilities and the forecasting itself is possible to a limited extent. That is why in the article we present the problems of deployment such solutions in various EMS systems implemented in several projects completed in recent years. The implementation of these systems in buildings with an annual consumption of several MWh is debatable because high hardware requirements are associated with high investment costs and thus, the solution can be uneconomical.
The importance of predictive methods in forecasting electricity demand is dictated by the fact that both the price of energy and the quality of the forecast depend on the precision of the prediction. An additional factor of growing interest in prediction methods is the increasing competitiveness of the electricity market, which forces its participants to look for alternative tools. The large-scale increase in the share of renewable energy sources does not make the pattern of energy consumption more random or orderly, but the prediction itself becomes increasingly complex [21]. Therefore, various prediction methods have been adapted, considering many input variables, such as energy price and energy demand, or other external factors, such as weather conditions. Prediction methods are based on econometric and statistical models using various analysis techniques to achieve the goal in a specific time period. In short-term forecasting for large data sets, artificial intelligence and machine learning methods are mainly used, such as support vector machines (SVM), logistic regression (LR), naive Bayes (NB), K-nearest neighbor (KNN), decision tree classifier (DTC) and neural networks (NNs); works [22,23,24,25,26] can be cited here.
For smaller data sets, statistical methods that use time series [27,28,29], exponential smoothing [30,31] and linear and dynamic regression models [32] are much better. The main advantage of statistical methods are simple predictive models and high computational efficiency [33]. In the research conducted, we have been dealing with time series.
One of the methods of improving the stability of the power system operation is demand side response (DSR) programs, whose undoubted advantage is the possibility of shaping energy prices during the day. Programs introduce appropriately selected tariffs for electricity prices [34,35]. Dynamic pricing in the local power grid aims to activate consumers and assess their behavior [36,37]. Since individual residential prosumers represent a significant percentage of the total local load, price flexibility creates significant opportunities for peak load management and demand response programs. Various methods have been developed to allow dynamic pricing based on a comparison of consumer and prosumer load profiles settled according to time tariffs of electricity [38,39]. The key role in the dynamic shaping of the local energy price plays in the determination of changes in energy consumption in individual short time intervals. An excellent tool is the statistical analysis of a prosumer load profiles, which quantifies their responses to price signals [40,41].
Buildings have a huge potential to reduce global carbon emissions. This leads to the need to analyze the efficiency of energy management. Energy management in buildings is primarily about forecasting demand and generation. The economic yield, which is the result of forecasting demand and matching the generation profile, depends on the accuracy of the forecast [42]. However, it should be remembered that in small buildings, the volume of energy consumption is relatively small. Therefore, the economic gain will also be relatively small. Therefore, the investment and operating cost of the energy management system must be adequate for the expected effects. In this case, it may turn out that the cost of investing in an energy management system (EMS) will not be balanced with the savings resulting from its use.
2. Problem Statement
The aim of this article is to justify a methodical approach to evaluating the effectiveness of implementing energy management in small- and medium-sized buildings using statistical methods and mathematical modeling tools. Energy management in buildings requires short-term forecasting of the electricity demand. The quality of the forecast depends on the available data on the basis of which the forecast will be made. Our goal was to check whether the available electricity demand profiles are useful and sufficient to be used to forecast electricity demand in small and medium-sized buildings. To this end, we performed a statistical analysis of the available electricity demand profiles of selected buildings, checked the participation of individual receivers in the building’s energy consumption and determined the following indicators: relative standard deviation (RSD) and participation of random devices (PRD) in total energy demand in the building, described in Section 3. Industrial and service buildings were compared to residential buildings.
3. Materials and Methods
The data used for the analysis are the result of the implementation of several independent projects. One of the projects involved the development of energy management solutions in small and medium-sized buildings on the basis of available data from the distribution network operator (DNO), the other in the implementation of its own solutions along with measurements in selected facilities. In buildings where we conducted the measurements ourselves, the measurement system was a limitation and the challenge was the use of data collected by the measurement system, which is an integral part of a typical building automation system. For this reason, both the method of obtaining the data and the time interval and the time of acquisition are not the same. However, the same conditions are provided for the calculation of the RSD and PRD factors. Data from the DNO operator were used for statistical analyzes and calculation of the RSD indicator. Data from EMS systems were used to analyze the energy consumption of devices and PRD factor calculations. Results obtained for both periods are not compared with each other, the analyzes conducted are independent and do not affect each other.
In statistical methods, small power systems (micro installations) are also a limitation, where there are many devices that consume small volumes of energy. In these lists, there are usually dominant devices, characterized by much higher energy consumption compared to other devices. This affects the quality of the forecasts. However, the use of statistical methods is a cheap solution, where there is no need to use complex computing systems.
This paper discusses the possibility of using historical electricity demand profiles, which can be easily downloaded from DNO or local EMS systems. For this purpose, statistical analyzes of such profiles were conducted. The analysis includes 15 specific buildings according to the demand profile, including 8 medium-sized buildings (commercial buildings) and 7 residential buildings with different annual demand.
To determine the quality of available data for forecasting purposes, box plots were prepared and RSD values were calculated. To determine the possibility of using additional data in the form of electricity demand profiles of individual devices in buildings, the Pareto principle was checked for devices and consumed energy.
During data recording using the Fibaro distributed measurement system, technical limitations of this type of measurement systems were defined. This chapter shows these limitations.
3.1. Methods of Obtaining Measurement Data
The research conducted as part of two projects required the acquisition of electricity demand profiles of end users belonging to groups of small and medium buildings. Data acquisition was conducted in two ways:
- obtaining 15 min demand profiles from the DNO operator. Data obtained for 2017. Data used for statistical analysis and calculations of RSD coefficient;
- measurements of energy demand in buildings using a Fibaro distributed energy management system (EMS) Fibaro. Data registered in the period: April 2021–December 2022. Data used to analyze the energy consumption of buildings and devices.
3.1.1. Profiles Obtained from the DNO Operator
One of the ways to obtain data on the electricity demand profile is to obtain them from the DNO operator. Anonymous 15 min electricity demand profiles were obtained for selected groups of recipients from the SME (small–medium enterprises) sector. The profiles were aggregated to hourly profiles and used in this form in further statistical analysis of each element. To test the possibility of forecasting consumption in individual hours, data from selected characteristic commercial buildings were used. When selecting facilities, the opening hours, the type of service provided and the annual demand for electricity were considered. Objects selected for analysis were collected in Table 1.
Table 1.
Characteristics of SME sector and residential buildings. Source: compiled on the basis of data obtained from the DNO operator. Anonymous data.
Electricity demand profiles of residential buildings, single-family houses were also obtained. The method of heating was used as the selection criterion because electric heating, if it exists, is usually the device with the highest energy demand. The buildings selected for the analysis were gathered in Table 1.
For this set of buildings, the year 2017 was selected for the analysis, for which the authors have a rich database of profiles. This is very important from the point of view of statistical analysis because the data did not cover the period of the epidemic. During the COVID-19 epidemic, there was a significant change in the use of buildings and, consequently, a change in the demand profile. Example hourly profiles used of the analysis for a hospital and a home without electric heating are shown in Figure 1 and Figure 2, respectively. Without an analysis, and only on the basis of a visual assessment, it can be concluded that the profile of a residential building will be much more difficult to predict. Periodic repetition of the shape of the demand profile is visible for the hospital.
Figure 1.
Hourly demand for electricity in building 7–hospital. Source: compiled on the basis of data obtained from the DNO operator. Anonymous data.
Figure 2.
Hourly demand for electricity in building 8–house without electric heating. Source: compiled on the basis of data obtained from the DNO operator. Anonymous data.
3.1.2. Profiles Obtained from Fibaro Systems Installed in Buildings
Profiles obtained from DNO operators are characterized by data continuity, but their main limitation is the reading frequency, which is 15 min. The limitation is the inability to observe changes in the values of active power. Therefore, an alternative way to obtain measurement data (as part of one of the research projects) was to install our own measurement systems with full access to the measurement data. The Fibaro measurement and control system was selected [43,44]. This system enables monitoring and recording of electricity flow for the entire building and selected devices and photovoltaic source. Fibaro Wall-plug and Fibaro wall-switch measurement systems and AEOTEC meters communicated with the Fibaro control panel via the Z-wave interface [45,46]. The measurement system is shown in Figure 3. It should be noted that the Fibaro measurement systems were installed in other buildings than those described in Section 3.1.1.
Figure 3.
Scheme of the Fibaro measurement system in the building. Source: author’s development.
The biggest problem with the measurements was the inability to synchronize the measurements for all devices in the building. Fibaro measurement systems and AEOTEC meters send data to the aggregator only when the power value or energy counter changes. For the AEOTEC meter, it is visible in the form of N/A in Table 2, there was no change in power in the specified time. For this reason, the data was recorded asynchronously, without a specific sampling period. This is a significant limitation in the case of the need to perform analyzes; additional data preparation is necessary. It also turned out that the Fibaro power measurement systems (measuring power and energy for individual devices) sent a random "zero" value when the power value did not change. The data from the Fibaro control panels was read by periodic polling. Table 2 shows exemplary results of the active power consumed by the dishwasher: measurement with the Fibaro wall plug system (measures the energy consumed by the dishwasher) and the AEOTEC meter (measuring the energy consumed by the building). The waveforms of active power for both measurement systems are shown in Figure 4.
Table 2.
Exemplary results of measuring the active power consumed by the dishwasher. Source: author’s development.
Figure 4.
Comparison of registered dishwasher active power waveforms: 323–data logged with an AEOTEC meter (active power consumed by the whole building); 60–data logged using Fibaro wall-plug. Source: author’s development.
The measured values of active power and energy were saved in the Influx DB database and supported by the Grafana application [47,48,49]. The Grafana system makes it possible to standardize recorded electricity waveforms to 15 min, 60 min and 24 h values [50]. In principle, the Grafana system made it possible to adjust the recorded electricity data to any chosen sampling period. Figure 5 shows an example graph of the Grafana application of 60 min energy waveform for a selected building, a flat used by 2 persons. Energy meters record and send to the database the increasing value of the counter. To obtain values, e.g., 60 min, it was necessary to use the differential recording function.
Figure 5.
An example graph from the Grafana application of 60 min energy from 1–30 April 2022, for a flat used by 2 persons. Source: author’s development.
The measurement data used in the article come from real buildings and were recorded from April 2021 to December 2022. As part of the project, in selected buildings, measurements of electricity demand for almost all devices connected to the network were conducted. Most of the devices were permanently connected to sockets through measuring devices located in mounting boxes. Example photos of installed measurement systems are shown in Figure 6.
Figure 6.
Photographs of sample installed measurement systems: (a) AEOTEC meter installed in the building’s switchboard; (b) Fibaro switch in flush-mounted socket; (c) Fibaro wall-plug; (d) Fibaro switch in the housing of the ceiling lamp. Source: author’s development.
The network of measurement points provided data to the Fibaro Home Center via a wireless Z-wave connection. Each element of the system, interconnected with other points of the MESH network [51], globally reduces electricity consumption due to its dispersed nature. Each of them is both a transmitter and receiver, enabling information transmission from further sensors. These devices do not emit as much radio power as standard networks, and therefore consume relatively little energy, with an extensive range. Smart-home systems use specialized networks, such as ZigBee [52] and Z-wave [53].
The measurement of global electricity and power is conducted using the AEOTEC ZW095 m, in which the current measurement is conducted using the attached measuring transformer with a maximum measuring range of 200 A. The measurement class of the device was in the range of 1%.
The influence of the measurement class on the results of the statistical analysis was also checked. The inaccuracy of the measurement affects the proposed indicators. In any case, this influence is below the accuracy of the measuring devices (Table 3). In any case, it should be used to obtain the best possible measurements, but this is not critical, especially since measuring devices are usually characterized by a class below 5%. Therefore, the influence of the device measurement class on the statistical analysis results is not considered in further analysis.
Table 3.
Average Relative Standard Deviation (%) for measurement accuracy of the device.
The receiver profile was measured using Single Fibaro Switch (1 channel with a maximum current of 10 A) or Double Fibaro Switch (2 channels with a maximum current of 6 A). Their choice depended on the type of load, location and mounting possibilities. In cases where the measurements concerned non-stationary devices (for example, a vacuum cleaner) or when it was not technically possible to install the measuring devices in the boxes, the measurements were made with Fibaro Wall-Plug. The manufacturer has defined the measurement accuracy class of Fibaro Switch and Fibaro Wall-Plug at the level of 1% for the power consumption above 5 W.
Acquisition of measurement data in the Fibaro central was conducted by polling individual measurement systems. The aggregated information was transferred via JSON format to database servers. Buildings with installed the Fibaro system, listed in Table 4.
Table 4.
Characteristics of buildings with installed the Fibaro system. Source: author’s development.
The shape of the profile of the electricity demand depends on the duty cycles of the installed equipment. It should be noted that the work schedule of some receivers is user-dependent and others are not. For example, devices, such as a refrigerator or a heat pump, work depending on the set temperature parameters and weather conditions. In residential buildings, household appliances are switched on depending on the user’s request, such as an oven or dishwasher. Some receivers, depending on the type of building, are always used at a certain time, and others, depending on the user’s request. An example is a computer that will be turned on in the office during working hours and at home as needed.
To assess the share of user-controlled receivers in energy consumption, the participation of random devices (PRD) indicator was introduced:
where: Eb is the annual energy consumed by all devices in the building; Erd is the annual energy consumed by randomly switched-on devices.
3.2. Method of Statistical Analysis of Electricity Demand Profiles in Buildings
The statistical method is a low-cost method to forecast electricity demand, but depending on the type of the analyzed building, it can be characterized by low forecast accuracy. The reason for the inaccuracy of forecasting based on statistical data is the behavior of people and, especially for residential buildings, the power of individual household appliances in relation to the connection power of buildings. Therefore, for example, random (resulting from behavior) switching on of an electric kettle significantly affects forecasting. The purpose of statistical analysis is to identify the limitations of such a method.
Building load profiles 1–10 were used as input for statistical analysis. Due to the need to compare buildings of different character, it was assumed that the statistical analysis would use data only for working days (without Saturdays, Sundays and holidays). Tukey’s box plot [54] was used to visualize the statistical analysis, which allows for a detailed presentation of statistical data.
The graphs were presented for each hour and calculated based on the demand for individual hours in 2017. First, statistical analysis was performed for each month separately. Box plots were created based on about 20 measurement samples. This is a representative number of samples that does not require correction factors when calculating the standard deviation. Monthly analysis in the general case allows for more accurate forecasting. There are short-term forecast methods described in the introduction; however, statistical analysis for the whole year is used in further analysis to assess the limitations resulting from the use of statistical forecasting methods.
In the case of an analysis conducted for the whole year, the box plot was made on the basis of approximately 250 samples per hour. To determine the accuracy of forecasting based on statistical analysis, the percentage Relative Standard Deviation coefficient was adopted.
where: σ is the standard deviation and is the average value.
This coefficient allows for normalization and comparison of buildings with different annual energy consumption. An average factor defined as the arithmetic mean of the RSD factors for each hour, was also introduced. For the shopping center (Table 5), the factor . This suggests that the use of forecasting based on statistical data in this case is burdened with relatively high uncertainty.
Table 5.
Relative Standard Deviation (%) for shopping center each hour on a business day in 2017. Source: built on the basis of author’s calculations and data from DNO operator.
4. Results
The described methodology of statistical research allows to assess the possibility of using historical energy demand profiles for forecasting purposes. The presentation of the results in the form of a box plot allows of a rough comparison for the accuracy of the forecasting. The presence of outliner data is also very important. The more there are, the more the forecast can increase the error. The reason may lie in a very high dependence of energy demand on a random factor, e.g., the presence of people in the hotel. The methods described in Section 3 were used to calculate the values of the comparative indicators RSD and PRD.
4.1. Statistical Analysis of the Electricity Demand for Individual Months of the Year
Examples of box plots for a shopping center in selected months are shown in Figure 7. It can be seen that better forecasting in this case, a smaller interquartile range (IQR), occurs for months of “stable” sales, while high IQR for summer months in which air-conditioning plays an important role.
Figure 7.
Month’s box plots of data for shopping center in day in 2017. Source: built on the basis of author’s calculations and data from DNO operator.
From Table 5 it can also be seen that the annual hourly RSD is at a high level in individual months. This is an additional argument in favor of using annual data in comparative analyses.
Based on the analysis of data from Table 5, it can be seen that there is a possibility of better forecasting, considering the forecasts for each month, but the annual value of the coefficient is sufficient to compare different types of buildings. The average ratio for shopping centers is presented in Table 6.
Table 6.
Monthly average Relative Standard Deviation (%) for shopping center on a business day in 2017. Source: built on the basis of author’s calculations and data from DNO operator.
It can be seen that the annual value of the ratio (Table 6) is comparable to that of the month with the highest volatility (May). Therefore, in the next part of the article, annual modeling was adopted for statistical analyses and the determination of the possibility of using statistical methods for analysis based on RSD and coefficients for the analyzed buildings. Since the ratio takes values close to the worst from the monthly analysis, this approach can be treated as an example of worst-case analysis.
4.2. Statistical Analysis of the Electricity Demand Profiles of Selected Buildings
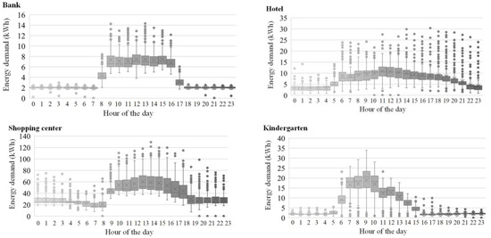
The results of the statistical analysis presented using the box plot for the buildings, described in Section 3.1.1, are shown in Figure 8. For each analysis building, there are outline values that indicate the occurrence of situations that strongly deviate from the forecast value. One can also see in Figure 8, based on the data in Table 1 the higher the annual consumption, the lower the uncertainty in the forecasting. This means that the IQR is smaller (the size of the boxes is smaller) and there are no outline values.

Figure 8.
Box plot of data for selected characteristic buildings each hour on a business day in 2017. Source: built on the basis of author’s calculations and data from DNO operator.
Based on the statistical analysis of the selected buildings, it is possible to determine the hourly profile of the variability of energy demand for selected buildings. This profile strongly depends on the functionality of the building. One can see that forecasting can be performed with different accuracy. For example, the Bank has a repetitive demand profile and forecasting in residential buildings is subject to high uncertainty. The forecast quality was determined numerically using the RSD coefficient (Table 7).
Table 7.
Relative Standard Deviation (%) for different types of buildings each hour on a business day in 2017. Source: built on the basis of author’s calculations and data from DNO operator.
The annual factor was used for comparison (Table 8). This factor determines the possibility of using the measurement data obtained from DNO operators as an input to the forecasting. It can be seen that the accuracy of forecasting (based on measurements and statistical analysis) is the greater the smaller the influence of the human factor. Therefore, the hospital is the best predictor. This is due to the constant number of patients resulting from the need to comply with admission limits, the repetitiveness of the activities performed and the highest annual energy consumption.
Table 8.
Annual Relative Standard Deviation (%) for different types of buildings on a business day in 2017. Source: built on the basis of author’s calculations and data from DNO operator.
A bank, in which customer service does not require the participation of devices that consume a large amount of energy, has good forecasting as does a 24 h gas station and a restaurant. An interesting example is the hotel, which has a very large share of outliers. This is due to the strong dependence of energy consumption on the number of guests. It is also the most difficult to predict building, apart from residential buildings. Kindergartens and shopping centers can be predicted with average accuracy, where energy consumption is strongly dependent on the presence and number of people.
Residential buildings have the greatest forecast uncertainties, especially when a high-power device occasionally operates, such as in a house with an air-to-air heat pump.
4.3. Energy Consumption Analysis of Electrical Devices in Buildings
Based on the energy demand measurements of the receivers, described in Section 3.1.2, an analysis of the energy consumption of individual receivers and their impact on the annual energy demand was conducted. An aspect of the research was the estimation of the impact of individual receivers on annual energy consumption. An analysis was also conducted using the Pareto principle [55]. Table 9 and Table 10 show the percentage share in building electricity consumption of 20% of the receivers that consume the most energy. Devices have been sorted according to the largest share of consumption. The energy consumed by these receivers is in the range of 80–95% of the building’s annual energy. Other devices have a negligible impact on energy consumption and the shape of the demand profile.
Table 9.
Percentage of annual electricity consumption, 20% of consumers using the most energy, part 1. Source: built on the basis of author’s calculations.
Table 10.
Percentage share in annual electricity consumption, 20% of receivers consuming the most energy, part 2. Source: built on the basis of author’s calculations.
The analysis confirmed the Pareto principle, that is, 20% of devices account for at least 80% of the demand.
In Table 9 and Table 10, in bold, are receivers whose activation time depends only on the human, causing stochastic changes in the shape of the electricity demand profile. One can see that in residential buildings (buildings 11–14) at least 50% are such receivers. In the service building (building 15), the same receivers depend not only on the user, but also on tasks performed during the day, conditioned by working hours. An example is a computer that is turned on at home as needed and in the office, it is turned on during work hours. An exception is building 13, where the largest share in electricity consumption is attributed to heating devices, the operation of which depends on the season and weather conditions. Four heating devices consume approximately 75% of the annual energy.
The values of the PRD indicator for particular buildings are presented in Table 11. The higher value of the PRD indicator, the greater the share of receivers controlled freely by the user in the building’s energy consumption. The difference is clearly visible for building 13, where 20% of the devices consume 95% of the energy. However, if we do not take heating devices into account, then the PRD indicator increases from 0.12 to 0.6.
Table 11.
The PRD factor for buildings. Source: built on the basis of author’s calculations.
5. Discussion
The use of statistical methods to forecast the energy demand profile undoubtedly has limitations, as indicated in the text of the article. However, by using the proposed method, some dependencies can be found. The accuracy of the forecast (Table 7 and Table 8) turns out to be inversely proportional to the ability to control the building’s energy demand profile. This is due to the human factor, which is minimized in public buildings in favor of operating schemes, which at the same time translates into fixed power supply schemes. By design, its reconfigurability is limited. In contrast to public buildings, the greatest volatility of electricity is revealed in residential buildings. This is due to the randomness of the procedure; even if the activities are repeated every day, they result from habits, employment method and age of residents. This is because how energy is used is affected by a number of random variables, such as weather and even well-being. In addition, an important aspect determining the nature of the profile is the analyzed day, which can be a working day, Saturday, Sunday or holiday.
The relatively simple method allows for the use of data to control the demand profile. For industrial and service buildings, the control of the demand profile is limited by the operating scheme. However, the profile of this type of object is relatively well predictable. This is in part due to the repetitive shape for the energy demand profiles of commercial and industrial buildings, which are highly dependent on the building process. The energy consumption of individual receivers was analyzed (e.g., building 15), which allowed to put forward such a thesis. For this reason, it is possible to adjust the operation of the energy source that cooperates with the storage.
The proposed ratio is a determinant that allows to calculate that with a probability of 68.3% (σ) the demand will be within ±. The following levels of the possibility of using statistical methods for forecasting are assumed, depending on :
- very good: <10%
- good: 10–30%
- average: 30–50%
- bad: >50%.
The assumptions adopted in this way result from the analysis of the possibility of using energy storage, i.e., for the average projection of the forecasts, the level of battery charge in the EMS system should be predicted, allowing the use of 50% more energy than a forecast. If we want to ensure a probability of more than 95% (2σ), additional available capacity should be foreseen to provide the average forecast twice the available energy for a given hour. For example, for a demand forecast of 1 kWh in a given hour, for a very good forecast, the available capacity should be 1.1 kWh for a 68% probability or 1.2 kW for a 95% probability. For an average forecast, it will be 1.5 kWh and 2 kWh, respectively.
For residential buildings, the accuracy of the forecast is low, while controlling the demand profile is much easier compared to industrial and service buildings. The accuracy of the forecast can be improved by planning the profile by controlling the selected receivers. The results of measuring the energy consumption of household appliances have shown that appliances with a significant impact on energy consumption are usually controlled by users. Some of them could work according to a fixed schedule, e.g., washing machine, dishwasher or hot water tank. These are devices with medium or high energy consumption.
Forecasting and controlling the operation of devices requires measuring the power consumed in order to determine the activation time and energy consumption. The greater the number of measured devices, the better the building profile is reproduced. At the same time, it should be remembered that each measuring system consumes electricity. Each single Fibaro measurement point continuously consumes approximately 1 W of active power. In one of the buildings, 85 metering points were installed, resulting in an additional annual energy consumption of more than 700 kWh. In this case, the additional energy consumption will not be compensated by the savings resulting from the load control.
When the measurement data, especially the annual energy consumption of individual devices, the Pareto principle is confirmed. 20% of the devices in the building consume energy in the range of 80% to 95% of the annual energy of all devices. For building 13, excluding four heating devices, this share is in the range of 80–89%. In these 20% of devices there are controllable devices that can work according to a given schedule. Therefore, it makes no sense to conduct the measurement for all devices, but to limit the measurements only to controllable devices and the total measurement.
This article presents measurement systems implemented with the use of standard smart home devices. They enable the measurement of power and energy of individual receivers and the implementation of their control. It should be considered that the use of such systems does not guarantee high measurement accuracy. In many cases, the manufacturer does not specify it. This may be the result of reducing the costs associated with checking the devices during release for production, and then the finished products.
An important aspect of measuring is to estimate the accuracy required to correct the results. In many cases, the aim is to ensure that the instrument accuracy is high enough to obtain a reliable result. In the case described, the reference point is the accuracy of the forecast of electricity demand, which is usually tens of percent. Therefore, it can be assumed that the measuring devices of the worst accuracy are still sufficient for the purposes provided.
An additional inconvenience with the use of these devices is the asynchronous transmission of data to the aggregate. The result is unsynchronized device profiles, often distortions. This leads to errors in the forecasting of electricity consumption by assigning the energy count to a different time interval. The result is incompatibility with the main electricity meter. Fibaro wall-plug additionally sends "zero" values randomly. For this reason, the interpretation of this waveform is difficult, because it is not known whether the zero value is true (the device does not consume power) or if it is a false value. This is a significant limitation of using the Fibaro wall-plug to record active power waveforms.
The limitation of the statistical method Is the need to access historical data on energy consumption, preferably at least an annual electricity demand profile. The advantage is that a 15 min profile is sufficient. It is also possible to forecast based on incomplete data, but in this case an additional random factor resulting from the variable demand for energy in different months can be expected, which is observable in Table 6. At the same time, very high volatility in successive periods is important. For example, a good consumption forecast in April for a shopping center ( = 6%), and a very strong deterioration of the forecast in May ( = 34%) make forecasting unreliable.
Further research will be conducted to determine the impact of selected factors on the accuracy of the forecasts. However, the assumption will be that they must be easily accessible and do not require large computational effort and costly data acquisition. Initially, it is assumed to take into account the current temperature, the possibility of determining the type of day (working, Saturday, Sunday, holidays, night work, etc.), e.g., by introducing a schedule and using a moving average taking into account local conditions in the long-term forecast. Correlations between the proposed indicators and additional data and those achievable in real EMS systems will be analyzed to determine which of these data and indicators are useful for forecasting. It is planned to increase the analyzed buildings, including the study of the same type of buildings.
The forecast results obtained using statistical methods may be sufficient to implement demand profile control algorithms to achieve a set profile or reduce daily energy consumption. The statistical method can determine the probable daily energy consumption. Additional information on the consumption of electricity by selected controllable can determine the probability of turning the device on a specific day and the impact of these devices on daily consumption. In this way, it is possible to prepare an energy guard algorithm, considering probable daily energy consumption and the impact of connected devices on the total demand profile.
6. Conclusions
For effective operation of EMS systems, a forecast of the energy consumption profile is needed. The quality of the forecast depends, among other things, on the available data based on which the forecast will be implemented.
There are many forecasting methods [22,23,24,25,26,27,28,29,30,31,32,33,34,35,36,37,38,39], but many of them require complex and efficient data analysis systems, often using artificial intelligence to determine the behavior of energy consumers.
The proposed relative standard deviation (RSD) and participation from random devices (PRD) coefficient to determine the feasibility of using measurement data obtained from the DNO operator or own measurements (e.g., Fibaro) allows to determine the possibility of using a forecast based on simply statistical analysis, dedicated to low-cost solutions that can be implemented in small and medium-sized buildings with relatively low energy consumption.
The obtained results made it possible to compare the quality of the forecast in selected, characteristic buildings from the SME sector and residential buildings, and to introduce forecast quality levels. The good quality of the forecast is for the annual average coefficient that is less than 30%, which allows for the calculation of hourly energy demand with a probability of 68.3% with uncertainty ± 30%, which is sufficient to reduce the requirement for large energy storage systems controlled by EMS.
The presented method allows to easily disclose limitations in the quality of data used for forecasting. Based on the results obtained, it can be concluded that industrial and service buildings can be effectively predicted using statistical methods. The situation is even worse with residential buildings. However, it should be emphasized that the method of obtaining data for analysis and forecasting is problematic because they come from devices from different manufacturers and their quality is not fully known. We only know Fibaro and AEOTEC solutions. Data obtained from the DNO are standardized. The proposed method can be used with any EMS system where energy consumption measurement data is available. Including profiles downloaded free of charge from the DNO operator, without the need to install your own measuring devices.
Author Contributions
Conceptualization, M.K. and M.F.; methodology, K.B. and M.F.; validation, A.P. (Anna Piaskowy); formal analysis, K.B.; investigation, K.B., M.F. and A.P. (Adam Pilśniak); resources, A.P. (Adam Pilśniak); data curation, K.B. and M.F.; writing—original draft preparation, M.F., K.B. and A.P. (Anna Piaskowy); writing—review and editing, M.K.; visualization, K.B., M.F. and A.P. (Adam Pilśniak); supervision, M.K.; project administration, M.F. All authors have read and agreed to the published version of the manuscript.
Funding
This research was partly financed by the EU funding for 2014–2020 within the Smart Growth Operational Program.
Data Availability Statement
Data can only be made available on the basis of an individual request to the authors of the article. The data are not publicly available.
Conflicts of Interest
The authors declare no conflict of interest.
References
- European Green Deal. Available online: https://commission.europa.eu/strategy-and-policy/priorities-2019-2024/european-green-deal_en (accessed on 12 January 2023).
- Gitelman, L.; Kozhevnikov, M. Energy Transition Manifesto: A Contribution towards the Discourse on the Specifics Amid Energy Crisis. Energies 2022, 15, 9199. [Google Scholar] [CrossRef]
- Al-Ghaili, A.M.; Kasim, H.; Al-Hada, N.; Jørgensen, B.N.; Othman, M.; Wang, J. Energy Management Systems and Strategies in Buildings Sector: A Scoping Review. IEEE Access 2021, 9, 63790–63813. [Google Scholar] [CrossRef]
- Żywiołek, J.; Rosak-Szyrocka, J.; Mrowiec, M. Knowledge Management in Households about Energy Saving as Part of the Awareness of Sustainable Development. Energies 2021, 14, 8207. [Google Scholar] [CrossRef]
- Jakimowicz, A. The Future of the Energy Sector and the Global Economy: Prosumer Capitalism and What Comes Next. Energies 2022, 15, 9120. [Google Scholar] [CrossRef]
- Bolpagni, M.; Gavina, R.; Ribeiro, D. (Eds.) Industry 4.0 for the Built Environment: Methodologies, Technologies and Skills; Springer: Boston, MA, USA, 2022. [Google Scholar] [CrossRef]
- Bányai, Á. Energy Consumption-Based Maintenance Policy Optimization. Energies 2021, 14, 5674. [Google Scholar] [CrossRef]
- Starace, G.; Tiwari, A.; Colangelo, G.; Massaro, A. Advanced Data Systems for Energy Consumption Optimization and Air Quality Control in Smart Public Buildings Using a Versatile Open Source Approach. Electronics 2022, 11, 3904. [Google Scholar] [CrossRef]
- Liu, Y.; Yuen, C.; Yu, R.; Zhang, Y.; Xie, S. Queuing-Based Energy Consumption Management for Heterogeneous Residential Demands in Smart Grid. IEEE Trans. Smart Grid 2015, 7, 1650–1659. [Google Scholar] [CrossRef]
- Alquthami, T.; Meliopoulos, A.P.S. Smart House Management and Control Without Customer Inconvenience. IEEE Trans. Smart Grid 2018, 9, 2553–2562. [Google Scholar] [CrossRef]
- Gomes, L.; Sousa, F.; Vale, Z. An Intelligent Smart Plug with Shared Knowledge Capabilities. Sensors 2018, 18, 3961. [Google Scholar] [CrossRef]
- Han, D.; Lim, J. Smart home energy management system using IEEE 802.15.4 and Zigbee. IEEE Trans. Consum. Electron. 2010, 3, 1403–1410. [Google Scholar] [CrossRef]
- Namboodiri, V.; Aravinthan, V.; Mohapatra, S.N.; Karimi, B.; Jewell, W. Toward a secure wireless-based home area network for metering in smart grids. IEEE Syst. J. 2014, 2, 509–520. [Google Scholar] [CrossRef]
- Singh, S.; Roy, A.; Selvan, M. Smart Load Node for Nonsmart Load Under Smart Grid Paradigm: A New Home Energy Management System. IEEE Consum. Electron. Mag. 2019, 8, 22–27. [Google Scholar] [CrossRef]
- Mahapatra, B.; Nayyar, A. Home energy management system (HEMS): Concept, architecture, infrastructure, challenges and energy management schemes. Energy Syst. 2022, 13, 643–669. [Google Scholar] [CrossRef]
- González-Ramos, J.; Uribe-Pérez, N.; Sendin, A.; Gil, D.; de la Vega, D.; Fernández, I.; Núñez, I.J. Upgrading the Power Grid Functionalities with Broadband Power Line Communications: Basis, Applications, Current Trends and Challenges. Sensors 2022, 22, 4348. [Google Scholar] [CrossRef]
- Huo, Y.; Prasad, G.; Lampe, L.; Leung, V. Power Line Communication and Sensing Using Time Series Forecasting. Sensors 2022, 22, 5320. [Google Scholar] [CrossRef]
- Mlýnek, P.; Rusz, M.; Benešl, L.; Sláčik, J.; Musil, P. Possibilities of Broadband Power Line Communications for Smart Home and Smart Building Applications. Sensors 2021, 21, 240. [Google Scholar] [CrossRef]
- Jasim, A.M.; Jasim, B.H.; Neagu, B.-C.; Alhasnawi, B.N. Efficient Optimization Algorithm-Based Demand-Side Management Program for Smart Grid Residential Load. Axioms 2023, 12, 33. [Google Scholar] [CrossRef]
- Yan, Y.; Qian, Y.; Sharif, H.; Tipper, D. A survey on smart grid communication infrastructures: Motivations, requirements and challenges. EEE Commun. Surv. Tutor. 2013, 15, 5–20. [Google Scholar] [CrossRef]
- Walther, J.; Weigold, M. A Systematic Review on Predicting and Forecasting the Electrical Energy Consumption in the Manufacturing Industry. Energies 2021, 14, 968. [Google Scholar] [CrossRef]
- Deepa, N.; Prabadevi, B.; Maddikunta, P.K.; Gadekallu, T.R.; Baker, T.; Khan, M.A.; Tariq, U. An AI-based intelligent system for healthcare analysis using Ridge-Adaline Stochastic Gradient Descent Classifier. J Supercomput. 2021, 77, 1998–2017. [Google Scholar] [CrossRef]
- Motepe, S.; Hasan, A.N.; Stopforth, R. Improving Load Forecasting Process for a Power Distribution Network Using Hybrid AI and Deep Learning Algorithms. IEEE Access 2019, 7, 82584–82598. [Google Scholar] [CrossRef]
- Jawad, M.; Nadeem, M.S.A.; Shim, S.-O.; Khan, I.R.; Shaheen, A.; Habib, N.; Hussain, L.; Aziz, W. Machine Learning Based Cost Effective Electricity Load Forecasting Model Using Correlated Meteorological Parameters. IEEE Access 2020, 8, 146847–146864. [Google Scholar] [CrossRef]
- Guo, Y.; Li, Y.; Qiao, X.; Zhang, Z.; Zhou, W.; Mei, Y.; Lin, J.; Zhou, Y.; Nakanishi, Y. BiLSTM Multitask Learning-Based Combined Load Forecasting Considering the Loads Coupling Relationship for Multienergy System. IEEE Trans. Smart Grid 2022, 13, 3481–3492. [Google Scholar] [CrossRef]
- Xiao, Y.; Kong, W.; Liang, Z. Short-Term Demand Forecasting of Urban Online Car-Hailing Based on the K-Nearest Neighbor Model. Sensors 2022, 22, 9456. [Google Scholar] [CrossRef] [PubMed]
- Yuan, C.; Liu, S.; Fang, Z. Comparison of China’s primary energy consumption forecasting by using ARIMA (the autoregressive integrated moving average) model and GM (1, 1) model. Energy 2016, 100, 384–390. [Google Scholar] [CrossRef]
- Nafil, A.; Bouzi, M.; Anoune, K.; Ettalabi, N. Comparative study of forecasting methods for energy demand in Morocco. Energy Rep. 2020, 6, 523–536. [Google Scholar] [CrossRef]
- Chaturvedi, S.; Rajasekar, E.; Natarajan, S.; McCullen, N. A comparative assessment of SARIMA, LSTM RNN and Fb Prophet models to forecast total and peak monthly energy demand for India. Energy Policy 2022, 168, 113097. [Google Scholar] [CrossRef]
- Wang, R.; Zhang, W.; Deng, W.; Zhang, R.; Zhang, X. Study on Prediction of Energy Conservation and Carbon Reduction in Universities Based on Exponential Smoothing. Sustainability 2022, 14, 11903. [Google Scholar] [CrossRef]
- Li, H.A. Combined Forecasting Model of Cloud Computing Resource Load for Energy-Efficient IoT System. IEEE Access 2019, 7, 149542–149553. [Google Scholar] [CrossRef]
- Sankalpa, C.; Kittipiyakul, S.; Laitrakun, S. Forecasting Short-Term Electricity Load Using Validated Ensemble Learning. Energies 2022, 15, 8567. [Google Scholar] [CrossRef]
- Henzel, J.; Wróbel, Ł.; Fice, M.; Sikora, M. Energy Consumption Forecasting for the Digital-Twin Model of the Building. Energies 2022, 15, 4318. [Google Scholar] [CrossRef]
- Li, M.; Ye, J. Design and Implementation of Demand Side Response Based on Binomial Distribution. Energies 2022, 15, 8431. [Google Scholar] [CrossRef]
- Aalami, H.A.; Parsa Moghaddam, M.; Yousefi, G.R. Demand response modeling considering Interruptible/Curtailable loads and capacity market programs. Appl. Energy 2010, 87, 243–250. [Google Scholar] [CrossRef]
- Logenthiran, T.; Srinivasan, D.; Shun, T. Demand Side Management in Smart Grid using Heuristic Optimization. IEEE Trans. Smart Grid 2012, 3, 1244–1252. [Google Scholar] [CrossRef]
- Song, L.; Xiao, Y.; van der Schaar, M. Demand side management in smart grids using a repeated game framework. IEEE J. Sel. Areas Commun. 2014, 32, 1412–1424. [Google Scholar] [CrossRef]
- Andruszkiewicz, J.; Lorenc, J.; Weychan, A. Price-Based Demand Side Response Programs and Their Effectiveness on the Example of TOU Electricity Tariff for Residential Consumers. Energies 2021, 14, 287. [Google Scholar] [CrossRef]
- Wang, G.; Tan, Z.; Lin, H.; Tan, Q.; Yang, S.; Ju, L.; Ren, Z. Multi-Level Market Transaction Optimization Model for Electricity Sales Companies with Energy Storage Plant. Energies 2019, 12, 145. [Google Scholar] [CrossRef]
- Poulin, A.; Leduc, M.-A.; Fournier, M. Statistical Analysis of Baseline Load Models for Residential Buildings in the Context of Winter Demand Response. Energies 2022, 15, 4441. [Google Scholar] [CrossRef]
- Granderson, J.; Sharma, M.; Crowe, E.; Jump, D.; Fernandes, S.; Touzani, S.; Johnson, D. Assessment of Model-Based peak electric consumption prediction for commercial buildings. Energy Build 2021, 245, 111031. [Google Scholar] [CrossRef]
- Iheanetu, K.J. Solar Photovoltaic Power Forecasting: A Review. Sustainability 2022, 14, 17005. [Google Scholar] [CrossRef]
- Fibaro. Available online: https://www.fibaro.com/ (accessed on 17 December 2022).
- Huraj, L.; Host’ovecký, M. Internet of Things as tool for cognitive process in Computer Science study program. In Proceedings of the 2020 18th International Conference on Emerging eLearning Technologies and Applications (ICETA), Košice, Slovenia, 12–13 November 2020; pp. 200–204. [Google Scholar] [CrossRef]
- EAOTEC Group. Available online: https://aeotec.com/ (accessed on 17 December 2022).
- Z-Wave Europe. Available online: https://manual.zwave.eu/backend/make.php?lang=en&sku=AEO_HEM2&cert=ZC08-13040001 (accessed on 17 December 2022).
- Influxdata. Available online: https://www.influxdata.com/ (accessed on 17 December 2022).
- Grafana. Available online: https://grafana.com/ (accessed on 17 December 2022).
- Filip, I.-D.; Iliescu, C.-M.; Pop, F. Assertive, Selective, Scalable IoT-Based Warning System. Sensors 2022, 22, 1015. [Google Scholar] [CrossRef] [PubMed]
- Ali, A.S.; Coté, C.; Heidarinejad, M.; Stephens, B. Elemental: An Open-Source Wireless Hardware and Software Platform for Building Energy and Indoor Environmental Monitoring and Control. Sensors 2019, 19, 4017. [Google Scholar] [CrossRef] [PubMed]
- Dey, S.; Sarmah, H.; Samantray, S.; Divakar, D.; Pathak, S.S. Energy efficiency in wireless mesh networks. In Proceedings of the 2010 IEEE International Conference on Computational Intelligence and Computing Research, Coimbatore, India, 28–29 December 2010; pp. 1–4. [Google Scholar] [CrossRef]
- Kim, M.S.; Jang, I.S.; Lim, S.K.; Kang, T.K. Implementation of ZigBee-VLC system to support light control network configuration. In Proceedings of the 2016 18th International Conference on Advanced Communication Technology (ICACT), PyeongChang, Republic of Korea, 31 January–3 February 2016; pp. 153–156. [Google Scholar] [CrossRef]
- Varol, A.B. Compilation of Data Link Protocols: Bluetooth Low Energy (BLE), ZigBee and Z-Wave. In Proceedings of the 2019 4th International Conference on Computer Science and Engineering (UBMK), Samsun, Turkey, 11–15 September 2019; pp. 85–90. [Google Scholar] [CrossRef]
- Microsoft. Available online: https://www.microsoft.com/en-us/microsoft-365/blog/2015/08/18/visualize-statistics-with-histogram-pareto-and-box-and-whisker-charts/ (accessed on 17 December 2022).
- Dunford, R.; Su, Q.; Tamang, E. The Pareto Principle. Plymouth Stud. Sci. 2014, 7, 140–148. [Google Scholar]
Disclaimer/Publisher’s Note: The statements, opinions and data contained in all publications are solely those of the individual author(s) and contributor(s) and not of MDPI and/or the editor(s). MDPI and/or the editor(s) disclaim responsibility for any injury to people or property resulting from any ideas, methods, instructions or products referred to in the content. |
© 2023 by the authors. Licensee MDPI, Basel, Switzerland. This article is an open access article distributed under the terms and conditions of the Creative Commons Attribution (CC BY) license (https://creativecommons.org/licenses/by/4.0/).








