Technical Performance Comparison between U-Shaped and Deep Borehole Heat Exchangers
Abstract
1. Introduction
2. Materials and Methods
2.1. The DBHE and ULHE Models
2.2. The Case Study: Campi Flegrei Volcanic District
2.3. Case Study Data
2.4. Experimental Matrix
3. Results
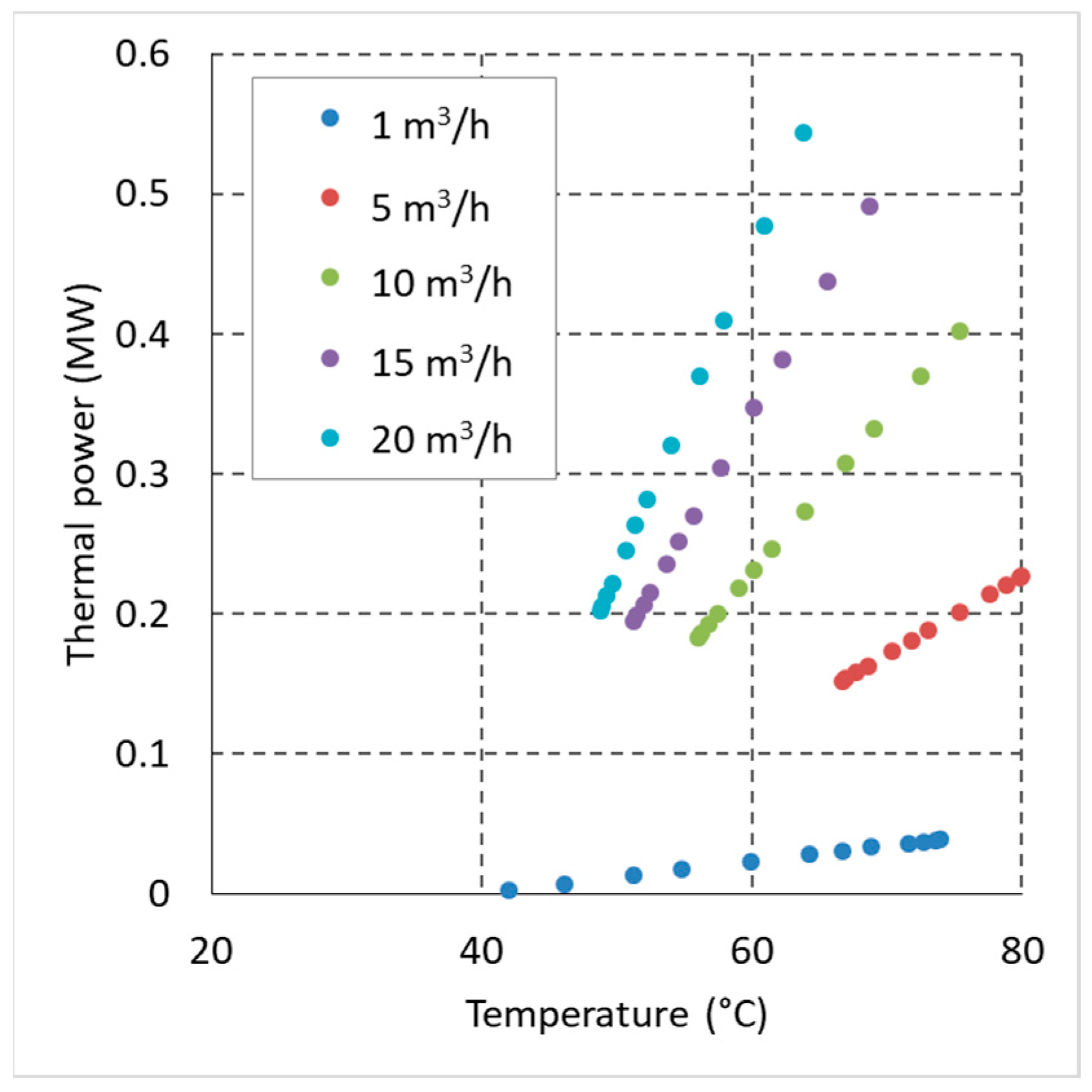
3.1. DBHE Performance Analysis
3.2. ULHE Performance
4. Discussion
5. Conclusions
Funding
Data Availability Statement
Conflicts of Interest
References
- Scherer, J.; Higgins, B.; Muir JAmaya, A. Closed-Loop Geothermal Demonstration Project. Consultant Report; Publication Number: CEC-300-2020-007; California Energy Commission: Sacramento, CA, USA, 2020.
- Budiono, A.; Suyitno, S.; Rosyadi, I.; Faishal, A.; Ilyas, A.X. A Systematic Review of the Design and Heat Transfer Performance of Enhanced Closed-Loop Geothermal Systems. Energies 2022, 15, 742. [Google Scholar] [CrossRef]
- Eavor Technologies Inc. Available online: https://www.eavor.com/press-releases/the-worlds-first-truly-scalable-form-of-green-baseload-power-demonstrated-by-eavor-technologies-inc/ (accessed on 30 November 2022).
- Longfield, S.; Schwarz, B.; Hodder, M.; Stuebing, T.; Holmes, M.; Vany, J.; Mölk, D. Eavor Loop™ Commercial Project at Geretsried, Molasse Basin, Germany. In Proceedings of the European Geothermal Congress, Berlin, Germany, 17–21 October 2022. [Google Scholar]
- Alimonti, C.; Soldo, E.; Bocchetti, D.; Berardi, D. The wellbore heat exchangers: A technical review. Renew. Energy 2018, 123, 353–381. [Google Scholar] [CrossRef]
- Sun, X.; Liao, Y.; Wang, Z.; Sun, B. Geothermal exploitation by circulating supercritical CO2 in a closed horizontal wellbore. Fuel 2019, 254, 115566. [Google Scholar] [CrossRef]
- Amaya, A.; Scherer, J.; Muir, J.; Patel, M.; Higgins, B. GreenFire Energy Closed-Loop Geothermal Demonstration using Supercritical Carbon Dioxide as Working Fluid. In Proceedings of the 45th Workshop on Geothermal Reservoir Engineering, Stanford University, Stanford, CA, USA, 10–12 February 2020. [Google Scholar]
- Higgins, B.; Muir, J.; Scherer, J.; Amaya, A. GreenFire Energy Closed-Loop Geothermal Demonstration at the Coso Geothermal Field. Geotherm. Resour. Counc. Trans. 2019, 43, 436–448. [Google Scholar]
- Schulz, S.U. Investigations on the Improvement of the Energy Output of a Closed Loop Geothermal System (CLGS). Ph.D. Thesis, Technische Universität Berlin, Berlin, Germany, 2008. [Google Scholar]
- Song, X.; Shi, Y.; Gensheng, L.; Shen, Z.; Xiaodong, H.; Lyu, Z.; Zheng, R.; Wang, G. Numerical analysis of the heat production performance of a closed loop geothermal system. Renew. Energy 2018, 120, 365–378. [Google Scholar] [CrossRef]
- Sun, F.; Yao, Y.; Li, G.; Li, X. Performance of geothermal energy extraction in a horizontal well by using CO2 as the working fluid. Energy Convers. Manag. 2018, 171, 1529–1539. [Google Scholar] [CrossRef]
- Sun, F.; Yao, Y.; Li, G.; Li, X. Geothermal energy extraction in CO2-rich basin using abandoned horizontal wells. Energy 2018, 158, 760–773. [Google Scholar] [CrossRef]
- Haitang, Y.; Li, Q.; Sun, F. Numerical simulation of CO2 circulating in a retrofitted geothermal well. J. Pet. Sci. Eng. 2019, 172, 217–227. [Google Scholar] [CrossRef]
- Sun, F.; Yao, Y.; Li, G. Literature review on a U-shaped closed loop geothermal energy development system. Energy Sources Part A Recovery Util. Environ. Eff. 2020, 42, 2794–2806. [Google Scholar] [CrossRef]
- Oldenburg, C.M.; Pan, L.; Muir, M.P.; Eastman, A.D.; Higgins, B.S. Numerical Simulation of Critical Factors Controlling Heat Extraction from Geothermal Systems Using a Closed-Loop Heat Exchange Method. In Proceedings of the 41st Workshop on Geothermal Reservoir Engineering, Stanford University, Stanford, CA, USA, 22–24 February 2016. [Google Scholar]
- Wu, B.; Ma, T.; Feng, G.; Chen, Z.; Xi, Z. An Approximate Solution for Predicting the Heat Extraction and Preventing Heat loss from a Closed-Loop Geothermal Reservoir. Geofluids 2017, 17, 2041072. [Google Scholar] [CrossRef]
- Chong, Q.; Wang, J.; Gates, I.D. Evaluation of closed-loop U-Tube deep borehole heat exchanger in the Basal Cambrian Sandstone formation, Alberta, Canada. Geotherm. Energy 2022, 10, 21. [Google Scholar] [CrossRef]
- Alimonti, C.; Soldo, E. Study of geothermal power generation from a very deep oil well with a wellbore heat exchanger. Renew. Energy 2016, 86, 292–301. [Google Scholar] [CrossRef]
- Alimonti, C.; Conti, P.; Soldo, E. Producing geothermal energy with a deep borehole heat exchanger: Exergy optimisation of different applications and preliminary design criteria. Energy 2021, 220, 119679. [Google Scholar] [CrossRef]
- Morchio, S.; Fossa, M. Thermal modeling of deep borehole heat exchangers for geothermal applications in densely populated urban areas. Therm. Sci. Eng. Prog. 2019, 13, 100363. [Google Scholar] [CrossRef]
- Lavine, A.S.; DeWitt, D.P.; Bergman, T.L.; Incropera, F.P. Fundamentals of Heat and Mass Transfer, 7th ed.; Hoboken, N.J., Ed.; John Wiley & Sons, Inc.: Hoboken, NJ, USA, 2011. [Google Scholar]
- Morchio, S.; Fossa, M.; Beier, R.A. Study on the best heat transfer rate in thermal response test experiments with coaxial and U-pipe borehole heat exchangers. Appl. Therm. Eng. 2022, 200, 117621. [Google Scholar] [CrossRef]
- Morita, K.; Bollmeier, W.S.; Mizogami, H. Analysis of the Results from the Downhole Coaxial Heat Exchanger (DCHE) Experiment in Hawaii. Geotherm. Resour. Counc. Trans. 1992, 16, 17–23. [Google Scholar]
- Carlino, S.; Somma, R.; Troise, C.; De Natale, G. The geothermal exploration of Campanian volcanoes: Historical review and future development. Renew. Sustain. Energy Rev. 2012, 16, 1004–1030. [Google Scholar] [CrossRef]
- Berrino, G.; Camacho, A.G. 3D gravity inversion by growing bodies and shaping layers at Mt. Vesuvius (southern Italy). Pure Appl. Geophys. 2008, 165, 1095–1115. [Google Scholar] [CrossRef]
- Woo, J.Y.; Kilburn, C.R. Intrusion and deformation at Campi Flegrei, southern Italy: Sills, dikes, and regional extension. J. Geophys. Res. Solid Earth 2010, 115, 1–21. [Google Scholar] [CrossRef]
- Zollo, A.; Maercklin, N.; Vassallo, M.; Dello Iacono, D.; Virieux, J.; Gasparini, P. Seismic reflections reveal a massive melt layer feeding Campi Flegrei caldera. Geophys. Res. Lett. 2008, 35, L12306. [Google Scholar] [CrossRef]
- Carlino, S. Heat flow and geothermal gradients of the Campania region (Southern Italy) and their relationship to volcanism and tectonics. J. Volcanol. Geotherm. Res. 2018, 365, 23–37. [Google Scholar] [CrossRef]
- Chiodini, G.; Todesco, M.; Caliro, S.; Del Gaudio, C.; Macedonio, G.; Russo, M. Magma degassing as a trigger of bradyseismic events: The case of Phlegrean Fields (Italy). Geophys. Res. Lett. 2003, 30, 1434–1437. [Google Scholar] [CrossRef]
- Chiodini, G.; Caliro, S.; DeMartino, P.; Avino, R.; Gherardi, F. Early signals of new volcanic unrest at Campi Flegrei caldera? Insights from geochemical data and physical simulations. Geology 2012, 40, 943–946. [Google Scholar] [CrossRef]
- Troiano, A.; Di Giuseppe, M.G.; Petrillo, Z.; Troise, C.; De Natale, G. Ground deformation at calderas driven by fluid injection: Modelling unrest episodes at Campi Flegrei (Italy). Geophys. J. Int. 2011, 187, 833–847. [Google Scholar] [CrossRef]
- Petrillo, Z.; Chiodini, G.; Mangiacapra, A.; Caliroa, S.; Capuano, P.; Russo, G.; Cardellini, C.; Avino, R. Defining a 3D physical model for the hydrothermal circulation at Campi Flegrei caldera (Italy). J. Volcanol. Geotherm. Res. 2013, 264, 172–182. [Google Scholar] [CrossRef]
- Alimonti, C.; Conti, P.; Soldo, E. A comprehensive exergy evaluation of a deep borehole heat exchanger coupled with an ORC plant: The case study of Campi Flegrei. Energy 2019, 189, 116100. [Google Scholar] [CrossRef]
- Carlino, S.; Troiano, A.; Di Giuseppe, M.G.; Tramelli, A.; Troise, C.; Somma, R.; De Natale, G. Exploitation of geothermal energy in active volcanic areas: A numerical modelling applied to the high temperature Mofete geothermal field, at Campi Flegrei caldera (Southern Italy). Renew. Energy 2016, 87, 54–66. [Google Scholar] [CrossRef]
- Troise, C.; Castagnolo, D.; Peluso, F.; Gaeta, F.S.; Mastrolorenzo, G.; De Natale, G. A 2D mechanical-thermofluid-dynamical model for geothermal systems at calderas: An application to Campi Flegrei, Italy. J. Vulcanol. Geotherm. Res. 2001, 109, 1–12. [Google Scholar] [CrossRef]
- Beckers, K.F.; Rangel-Jurado, N.; Chandrasekar, H.; Hawkins, A.J.; Fulton, P.M.; Tester, J.W. Techno-Economic Performance of Closed-Loop Geothermal Systems for Heat Production and Electricity Generation. Geothermics 2022, 100, 21. [Google Scholar] [CrossRef]














| DBHE | ULHE | ||||||
|---|---|---|---|---|---|---|---|
| OD (mm) | ID (mm) | OD (mm) | ID (mm) | ||||
| wb | 12″ ¾ | 311.2 | - | wb | 12″ ¾ | 311.2 | - |
| 1 | 9″ 5⁄8 | 244.4 | 226.6 | 1 | 9″ 5⁄8 | 244.4 | 226.6 |
| 3 | 7″ | 177.80 | 150.36 | ||||
| 5 | 3″ ½ | 88.90 | 77.92 | ||||
| Material | Thermal Conductivity (W/m K) |
|---|---|
| Steel | 50 |
| Grout | 1.3 |
| Vacuum | 0.0008 |
| Input Parameter | |
|---|---|
| Working fluid | Water |
| Inlet pressure Pin | 2.5 MPa |
| Inlet temperature Tin | 40 °C |
| Flow rate | 1–20 m3/h |
| Stratigraphy | Layer | Depth Range (m) | Permeability (m2) | Density (kg/m3) |
|---|---|---|---|---|
| Pyroclastic deposits | 1 | 0–500 | 10−15 | 1800 |
| Tuffites | 2 | 500–1000 | 10−14 | 2100 |
| Trachytic lavas | 3 | 1000–1400 | 10−18 | 2400 |
| Tuffites | 4 | 1400–1800 | 10−17 | 2400 |
| Trachytic lavas | 5 | 1800–2000 | 10−15 | 2400 |
| DBHE | ULHE | ||||
|---|---|---|---|---|---|
| Flow Rate (m3/h) | Thermal Power (MW) | Temperature (°C) | Thermal Power (MW) | Temperature (°C) | |
| This study | 20 | 0.5 | 63 | 0.97 | 83 |
| Beckers et al. [36] | 72 | 0.9 | 30 | 4.5 | 75 |
Disclaimer/Publisher’s Note: The statements, opinions and data contained in all publications are solely those of the individual author(s) and contributor(s) and not of MDPI and/or the editor(s). MDPI and/or the editor(s) disclaim responsibility for any injury to people or property resulting from any ideas, methods, instructions or products referred to in the content. |
© 2023 by the author. Licensee MDPI, Basel, Switzerland. This article is an open access article distributed under the terms and conditions of the Creative Commons Attribution (CC BY) license (https://creativecommons.org/licenses/by/4.0/).
Share and Cite
Alimonti, C. Technical Performance Comparison between U-Shaped and Deep Borehole Heat Exchangers. Energies 2023, 16, 1351. https://doi.org/10.3390/en16031351
Alimonti C. Technical Performance Comparison between U-Shaped and Deep Borehole Heat Exchangers. Energies. 2023; 16(3):1351. https://doi.org/10.3390/en16031351
Chicago/Turabian StyleAlimonti, Claudio. 2023. "Technical Performance Comparison between U-Shaped and Deep Borehole Heat Exchangers" Energies 16, no. 3: 1351. https://doi.org/10.3390/en16031351
APA StyleAlimonti, C. (2023). Technical Performance Comparison between U-Shaped and Deep Borehole Heat Exchangers. Energies, 16(3), 1351. https://doi.org/10.3390/en16031351

