Research on the Hybrid Wind–Solar–Energy Storage AC/DC Microgrid System and Its Stability during Smooth State Transitions
Abstract
:1. Introduction
2. Introduction of the Hybrid Wind–Solar–Energy Storage AC/DC Microgrid System
2.1. Typical Topology of the Hybrid Wind–Solar–Energy Storage AC/DC Microgrid System
2.2. The General Control Strategy for a Wind–Solar–Energy Storage Hybrid AC/DC Microgrid
- (a)
- Master–Slave Control: The controller of each distributed power generation unit in the microgrid is set up in a subordinate relationship. Typically, the master controller is chosen to be a unit with high inertia and capacity, responsible for providing voltage magnitude and frequency support to the distributed generation units within the microgrid. The slave controllers, benefiting from this support, generally employ direct P/Q control to adjust the power output. This control strategy offers simplicity and flexibility during normal microgrid operation but may face control breakdown during abnormal microgrid operation.
- (b)
- Peer-to-Peer Control: In contrast to master–slave control, peer-to-peer control treats all the units in the microgrid as equals and often employs droop control. All the micro-sources can adjust their power output by varying the frequency and amplitude of their output voltage. However, droop control also has the disadvantage of causing the bus voltage and frequency to drop.
- (c)
- Hierarchical Control: Hierarchical control typically involves a coordinating controller responsible for harmonizing the operation of local distributed energy sources and loads, ensuring the secure and stable operation of the microgrid. To maximize the consumption of distributed energy and ensure the stable operation of the microgrid, a two-times non-differential voltage regulation and a two-times non-differential frequency regulation of the AC sub-microgrid in the local control layer can be achieved. Based on these advantages, the wind–solar–energy storage hybrid AC/DC microgrid proposed in this paper will employ a hierarchical control approach for overall microgrid control.
2.3. Improved Hybrid Wind–Solar–Energy Storage AC/DC Microgrid System Model
3. Smooth Switching Control Strategy of the Hybrid Wind–Solar–Energy Storage AC/DC Microgrid System in Grid-Connected and Off-Grid States
- (a)
- An adaptive integrated control method for the current, voltage, and frequency based on signal compensation.
- (b)
- An improved pre-synchronization control strategy based on a BP neural network.
3.1. The Adaptive Integrated Control Method for the Current, Voltage, and Frequency Based on Signal Compensation
3.2. Improved Pre-Synchronization Control Method Based on a BP Neural Network
3.2.1. Details of BP Neural Network
3.2.2. Pre-Synchronization Control Method
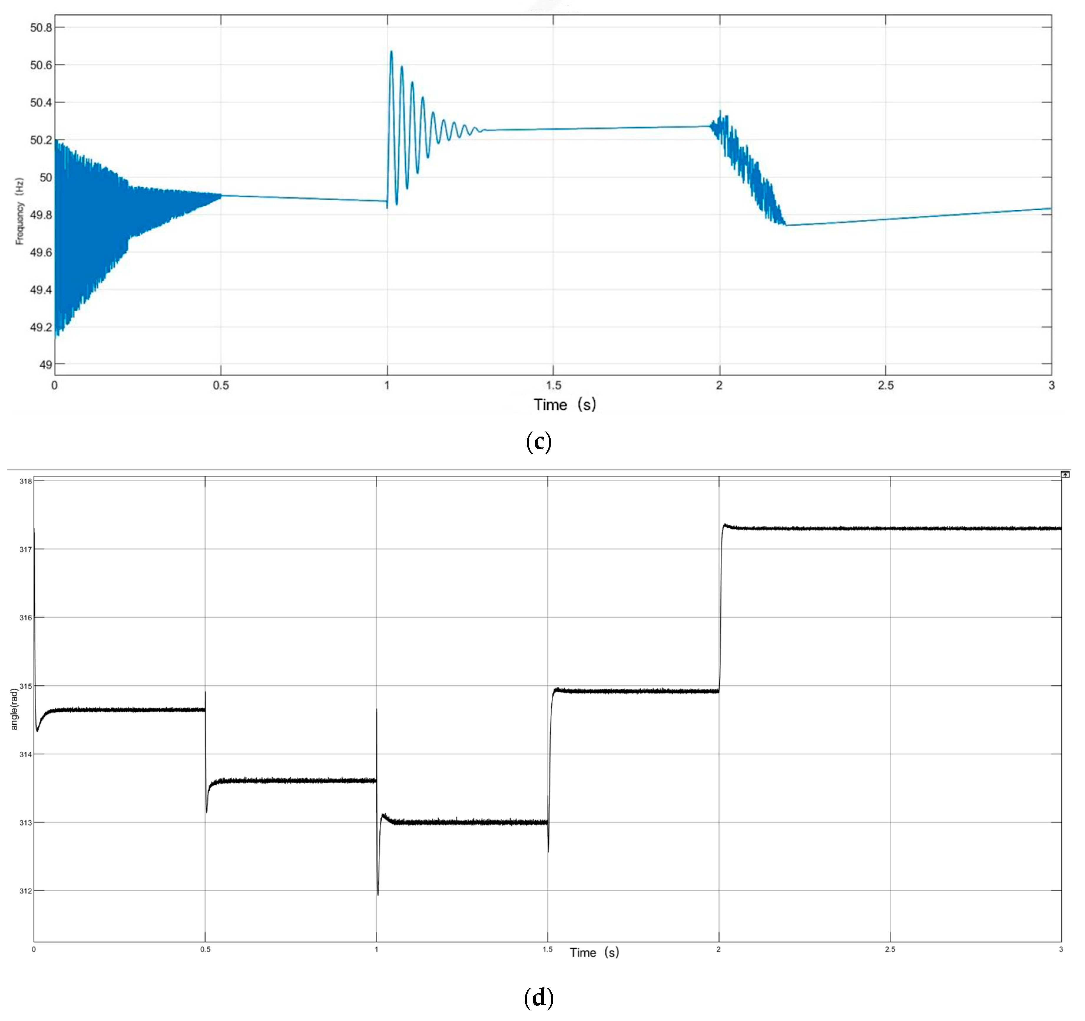
4. Simulation Results and Analysis
5. Conclusions
- Wind–solar storage mixed AC/DC microgrid based on a DFIG. By using the partial power transfer function of the DFIG, when the power grid failed or sudden load fluctuations occurred, the speed and magnetic field of the DFIG rotor could be adjusted to provide additional reactive power, reduce the risk of power failure, and stabilize the microgrid system.
- Smooth transition control method for grid connection and disconnection in wind–solar storage mixed AC/DC microgrids. In view of the large fluctuations of the system voltage, current, and frequency caused by the change in the control strategy and PCC point voltage during the state switching process of the microgrid, a current–voltage–frequency adaptive integrated control method based on signal compensation and an improved pre-synchronization control method based on a BP neural network were proposed to effectively improve the transient stability during the state switching process of the microgrid.
Author Contributions
Funding
Data Availability Statement
Conflicts of Interest
References
- Yang, X.; Su, J.; Lv, Z.; Liu, H.; Li, R. Review on microgrid technology. Proc. CSEE 2014, 1, 57–70. [Google Scholar]
- Zhou, J.H.; Tian, L.G.; Pan, H. Study of planning and design of hybrid AC/DC micro-grid. J. Hefei Univ. Technol. Nat. Sci. 2015, 38, 166–170. [Google Scholar]
- Chen, J.; Chen, X.; Feng, Z.Y.; Gong, C.Y.; Yan, Y.G. A control strategy of seamless transfer between grid-connected and islanding operation for microgrid. Proc. CSEE 2014, 34, 3089–3097. [Google Scholar]
- Chen, J.; Niu, B.W.; Zhang, J.W.; Chen, X.; Gong, C.Y. Hybrid control strategy for the seamless transfer of microgrids. Proc. CSEE 2015, 35, 4379–4387. [Google Scholar]
- Chen, X.; Ji, Q.H.; Liu, F. Smooth transferring control method of microgrids based on master-slave configuration. Trans. China Electrotech. Soc. 2014, 29, 163–170. [Google Scholar]
- Wang, C.S.; Li, X.L.; Guo, L.; Li, Y.W. A seamless operation mode transition control strategy for a microgrid based on master-slave control. Sci. China Technol. Sci. 2012, 55, 1644–1654. [Google Scholar] [CrossRef]
- Qiu, L.; Xu, L.; Zheng, Z.D.; Li, Y.D.; Zheng, Z.X. Control method of microgrid seamless switching. Trans. China Electrotech. Soc. 2014, 29, 171–176. [Google Scholar]
- Zheng, T.W.; Chen, L.J.; Mei, S.W. Smooth transition control in a master-slave micro-grid considering timing-sequence-coordination. Electr. Energy Manag. Technol. 2014, 10, 44–49. [Google Scholar]
- Bi, D.Q.; Zhou, W.; Dai, Y.X.; Li, X.G. Control strategies of seamless switching for energy storage converter in hybrid AC/DC microgrid. Autom. Electr. Power Syst. 2016, 40, 84–89. [Google Scholar]
- Zeng, L.; Jinjun, L. A three-phase inverter control method which can realize smooth switching of distributed power generation system is presented. Trans. China Electrotech. Soc. 2011, 26, 52–61. [Google Scholar]
- Shudong, W.; Wei, D.; Huanyu, W. Research on parallel/Off-grid switching Technology of Microgrid based on improved nonlinear Sag Control. Electr. Meas. Instrum. 2018, 55, 112–118. [Google Scholar]
- Driesen, J.; Katiraei, F. Design for Distributed Energy Resources. IEEE Power Energy Mag. 2008, 6, 30–40. [Google Scholar]
- Wei, T. Research on Operation Control Strategy of Hybrid Microgrid. Ph.D. Thesis, China University of Mining and Technology, Xuzhou, China, 2020. [Google Scholar]
- Han, G. Research on Control Strategy of ACDC Bidirectional Power Converter in ACDC Hybrid Microgrid. Ph.D. Thesis, Taiyuan University of Technology, Taiyuan, China, 2019. [Google Scholar]
- Wenchao, X.; Yongqiang, Z.; Ruihua, X. Power Hierarchical Control of AC-DC Hybrid Microgrid with Multiple interconnected converters Running side-by-side. Shaanxi Electr. Power 2016, 44, 9–13+56. [Google Scholar]
- Yuan, F.; Yi, W.; Xiangyu, Z. Analysis and integrated control of inertia and primary frequency regulation for variable speed wind turbines. Proc. CSEE 2014, 34, 4706–4716. [Google Scholar]
















| Argument | Parameter Value | Title 3 | Parameter Value |
|---|---|---|---|
| Rated voltage of DC bus/V | 220 | ILC switching frequency/kHz | 10 |
| Rated voltage of AC bus/V | 380 | Alternating current load/kW | 20~40 |
| Rated frequency of AC bus/Hz | 50 | DC load/kW | 20~40 |
| Rated power of photovoltaic generation/kW | 60 | Two-way DC/DC converter inductance/mH | 1 |
| Rated wind power/kW | 30 | Two-way DC/DC converter capacitance/μF | 1000 |
| ILC filter inductor/mH | 0.8 | Boost inductance/mH | 1 |
| ILC filter capacitor/μF | 82 | ILC capacity/kVA | 100 |
Disclaimer/Publisher’s Note: The statements, opinions and data contained in all publications are solely those of the individual author(s) and contributor(s) and not of MDPI and/or the editor(s). MDPI and/or the editor(s) disclaim responsibility for any injury to people or property resulting from any ideas, methods, instructions or products referred to in the content. |
© 2023 by the authors. Licensee MDPI, Basel, Switzerland. This article is an open access article distributed under the terms and conditions of the Creative Commons Attribution (CC BY) license (https://creativecommons.org/licenses/by/4.0/).
Share and Cite
Li, Q.; Dong, X.; Yan, M.; Cheng, Z.; Wang, Y. Research on the Hybrid Wind–Solar–Energy Storage AC/DC Microgrid System and Its Stability during Smooth State Transitions. Energies 2023, 16, 7930. https://doi.org/10.3390/en16247930
Li Q, Dong X, Yan M, Cheng Z, Wang Y. Research on the Hybrid Wind–Solar–Energy Storage AC/DC Microgrid System and Its Stability during Smooth State Transitions. Energies. 2023; 16(24):7930. https://doi.org/10.3390/en16247930
Chicago/Turabian StyleLi, Qiushuo, Xinwei Dong, Mengru Yan, Zhao Cheng, and Yu Wang. 2023. "Research on the Hybrid Wind–Solar–Energy Storage AC/DC Microgrid System and Its Stability during Smooth State Transitions" Energies 16, no. 24: 7930. https://doi.org/10.3390/en16247930
APA StyleLi, Q., Dong, X., Yan, M., Cheng, Z., & Wang, Y. (2023). Research on the Hybrid Wind–Solar–Energy Storage AC/DC Microgrid System and Its Stability during Smooth State Transitions. Energies, 16(24), 7930. https://doi.org/10.3390/en16247930
