Numerical Analysis on the Effect of the Conduction Band Offset in Dion–Jacobson Perovskite Solar Cells
Abstract
:1. Introduction
2. Methods and Materials
2.1. Numerical Research Method
2.2. Model Structure and Material Parameters
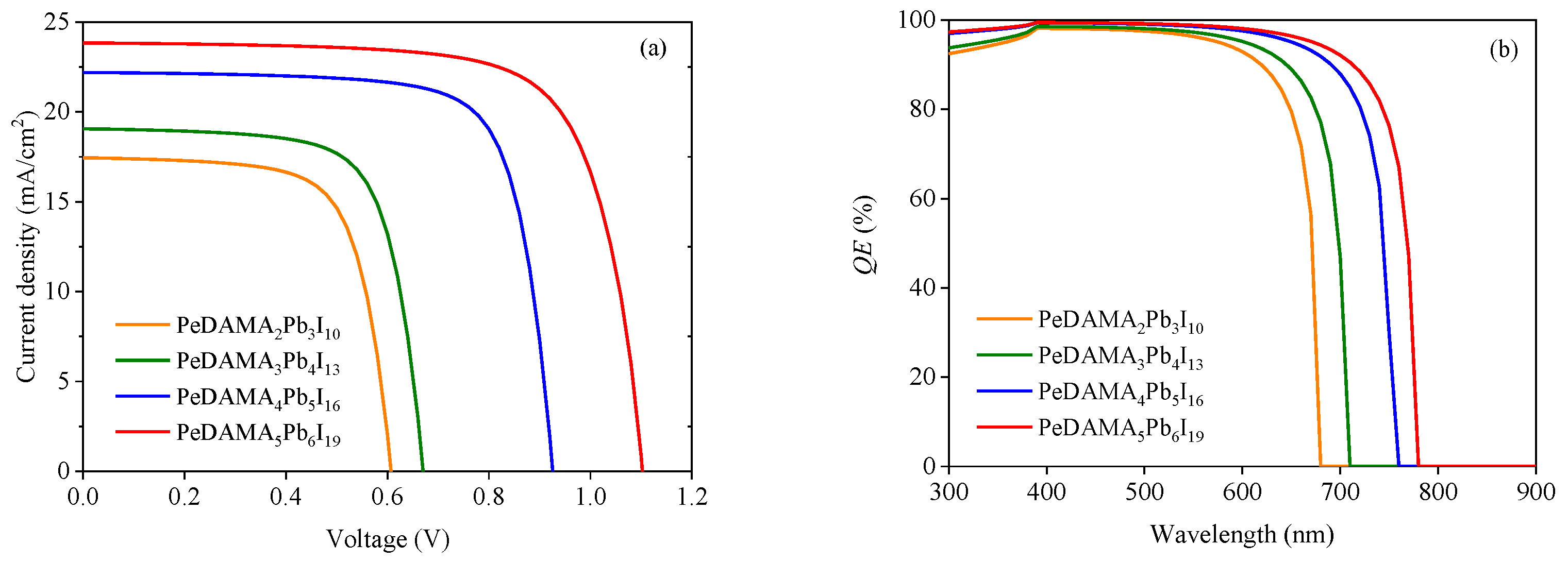
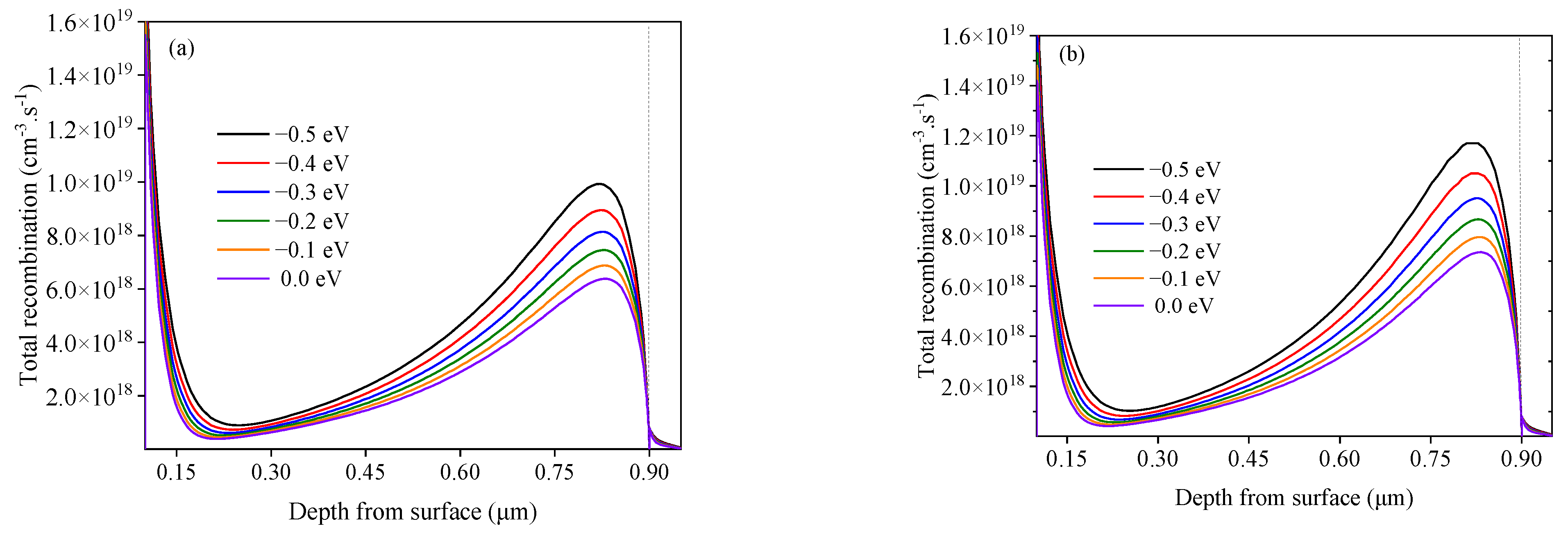
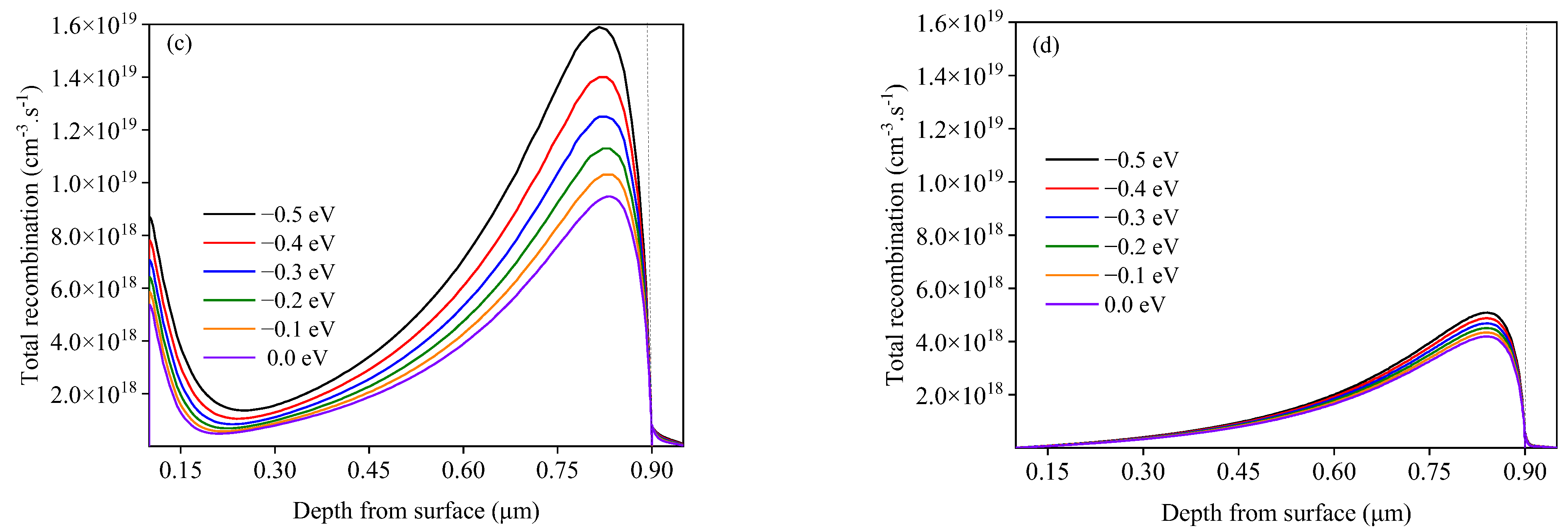
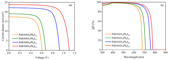
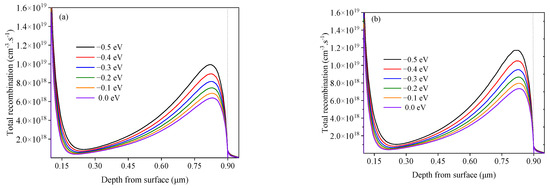
3. Results and Discussion
4. Conclusions
Author Contributions
Funding
Data Availability Statement
Acknowledgments
Conflicts of Interest
References
- Kojima, A.; Teshima, K.; Shirai, Y.; Miyasaka, T. Organometal Halide Perovskites as Visible-Light Sensitizers for Photovoltaic Cells. J. Am. Chem. Soc. 2009, 131, 6050–6051. [Google Scholar] [CrossRef]
- Park, J.; Kim, J.; Yun, H.S.; Paik, M.J.; Noh, E.; Mun, H.J.; Kim, M.G.; Shin, T.J.; Seok, S.I. Controlled Growth of Perovskite Layers with Volatile Alkylammonium Chlorides. Nature 2023, 616, 724–730. [Google Scholar] [CrossRef] [PubMed]
- Gan, Y.-J.; Bi, X.-G.; Liu, Y.-C.; Qin, B.-Y.; Li, Q.-L.; Jiang, Q.-B.; Mo, P. Numerical Investigation Energy Conversion Performance of Tin-Based Perovskite Solar Cells using Cell Capacitance Simulator. Energies 2020, 13, 5907. [Google Scholar] [CrossRef]
- Gan, Y.-J.; Zhao, D.; Qin, B.-Y.; Bi, X.-G.; Liu, Y.-C.; Ning, W.-L.; Yang, R.-Z.; Jiang, Q.-B. Numerical Simulation of High-Performance CsPbI3/FAPbI3 Heterojunction Perovskite Solar Cells. Energies 2022, 15, 7301. [Google Scholar] [CrossRef]
- Shao, M.; Bie, T.; Yang, L.; Gao, Y.; Jin, X.; He, F.; Zheng, N.; Yu, Y.; Zhang, X. Over 21% Efficiency Stable 2D Perovskite Solar Cells. Adv. Mater. 2022, 34, 2107211. [Google Scholar] [CrossRef] [PubMed]
- Chen, J.; Wang, B.; Huang, G.; Cheng, Q.; Li, Y.; Li, X.; Li, S.; Li, K.; Zhu, L.; Zhai, Z.; et al. Thermally Regulated Energy Loss in Dion-Jacobson Perovskite Solar Cells. Sol. RRL 2022, 6, 2200636. [Google Scholar] [CrossRef]
- Huang, G.; Chen, J.; Wang, B.; Cheng, Q.; Li, Y.; Zafar, S.U.; Yue, T.; Yan, Y.; Du, W.; Zhang, H.; et al. Solvent Effect on Film Formation and Trap States of Two Dimensional Dion-Jacobson Perovskite. Nano Lett. 2022, 22, 7545–7553. [Google Scholar] [CrossRef]
- Mao, L.; Ke, W.; Pedesseau, L.; Wu, Y.; Katan, C.; Even, J.; Wasielewski, M.R.; Stoumpos, C.C.; Kanatzidis, M.G. Hybrid DionJacobson 2D Lead Iodide Perovskites. J. Am. Chem. Soc. 2018, 140, 3775–3783. [Google Scholar] [CrossRef]
- Stoumpos, C.C.; Cao, D.H.; Clark, D.J.; Young, J.; Rondinelli, J.M.; Jang, J.I.; Hupp, J.T.; Kanatzidis, M.G. Ruddlesden–Popper hybrid lead iodide perovskite 2Dhomologous semiconductors. Chem. Mater. 2016, 28, 2852–2867. [Google Scholar] [CrossRef]
- Dong, Y.; Dong, X.; Lu, D.; Chen, M.; Zheng, N.; Wang, R.; Li, Q.; Xie, Z.; Liu, Y. Orbitalinteractions between the organic semiconductor spacer and the inorganic layer in dion-jacobson perovskites enable efficient solar cells. Adv. Mater. 2023, 35, 2205258. [Google Scholar] [CrossRef]
- Mohammed, M.K.; Al-Mousoi, A.K.; Kumar, A.; Sabugaa, M.M.; Seemaladinne, R.; Pandey, R.; Al-Kahtani, A.A. Harnessing the potential of Dion-Jacobson perovskite solar cells: Insights from SCAPS simulation techniques. J. Alloys Compd. 2023, 963, 171246. [Google Scholar] [CrossRef]
- Xiang, J.; Li, X.; Gong, S.; Wang, S.; Chen, X.; Zhang, F. Green Antisolvent-Induced Homogeneous Phase Distribution for Efficient and Stable MA-Free 2D Perovskite Solar Cells. Chem. Eng. J. 2023, 460, 141758. [Google Scholar] [CrossRef]
- Chen, Y.; Hu, J.; Xu, Z.; Jiang, Z.; Chen, S.; Xu, B.; Xiao, X.; Liu, X.; Forberich, K.; Brabec, C.J.; et al. Managing Phase Orientation and Crystallinity of Printed Dion-Jacobson 2D Perovskite Layers via Controlling Crystallization Kinetics. Adv. Funct. Mater. 2022, 32, 2112146. [Google Scholar] [CrossRef]
- Wu, H.; Lian, X.; Tian, S.; Zhang, Y.; Qin, M.; Zhang, Y.; Wang, F.; Lu, X.; Wu, G.; Chen, H. Additive-Assisted Hot-Casting Free Fabrication of Dion-Jacobson 2D Perovskite Solar Cell with Efficiency Beyond 16%. Sol. RRL 2020, 4, 2070074. [Google Scholar] [CrossRef]
- Zhang, X.; Yang, T.; Ren, X.; Zhang, L.; Zhao, K.; Liu, S. Film Formation Control for High Performance Dion-Jacobson 2D Perovskite Solar Cells. Adv. Energy Mater. 2021, 11, 2002733. [Google Scholar] [CrossRef]
- Zheng, Y.; Niu, T.; Qiu, J.; Chao, L.; Li, B.; Yang, Y.; Li, Q.; Lin, C.; Gao, X.; Zhang, C. Oriented and uniform distribution of Dion–Jacobson phase perovskites controlled by quantum well barrier thickness. Sol. Rrl 2019, 3, 1900090. [Google Scholar] [CrossRef]
- Su, P.; Bai, L.; Bi, H.; Liu, B.; Chen, S.; Lee, D.; Yang, H.; Chen, C.; Zang, Z.; Chen, J. Interfacial Gradient Energy Band Alignment Modulation via Ion Exchange Reaction toward Efficient and Stable Methylammonium-Free Dion-Jacobson Quasi-2D Perovskite Solar Cells. J. Power Sources 2021, 506, 230213. [Google Scholar] [CrossRef]
- Wu, H.; Lian, X.; Li, J.; Zhang, Y.; Zhou, G.; Wen, X.; Xie, Z.; Zhu, H.; Wu, G.; Chen, H. Merged Interface Construction toward Ultra-Low Voc Loss in Inverted Two-Dimensional Dion-Jacobson Perovskite Solar Cells with Efficiency over 18. J. Mater. Chem. A 2021, 9, 12566–12573. [Google Scholar] [CrossRef]
- Jin, L.; Ren, N.; Wang, P.; Li, R.; Xue, Q.; Huang, F.; Zhang, X.; Zhao, Y.; Zhang, X. Secondary Anti-Solvent Treatment for Efficient 2D Dion-Jacobson Perovskite Solar Cells. Small 2023, 19, 2205088. [Google Scholar] [CrossRef]
- Zhai, Z.; Chen, J.; Liu, Q.; Jiang, S.; Li, Y. Defect Regulation of Efficient Dion–Jacobson Quasi-2D Perovskite Solar Cells via a Polyaspartic Acid Interlayer. ACS Appl. Mater. Interfaces 2023, 15, 38068–38079. [Google Scholar] [CrossRef]
- Burgelman, M.; Nollet, P.; Degrave, S. Modelling polycrystalline semiconductor solar cells. Thin Solid films 2000, 361, 527–532. [Google Scholar] [CrossRef]
- Lee, K.M.; Lin, W.J.; Chen, S.H.; Wu, M.C. Control of TiO2 electron transport layer properties to enhance perovskite photovoltaics performance and stability. Org. Electron. 2020, 77, 105406. [Google Scholar] [CrossRef]
- Wu, M.C.; Chan, S.H.; Lee, K.M.; Chen, S.H.; Jao, M.H.; Chen, Y.F.; Su, W.F. Enhancing the efficiency of perovskite solar cells using mesoscopic zinc-doped TiO2 as the electron extraction layer through band alignment. J. Mater. Chem. A 2018, 6, 16920–16931. [Google Scholar] [CrossRef]
- Mohamad Noh, M.F.; Teh, C.H.; Daik, R.; Lim, E.L.; Yap, C.C.; Ibrahim, M.A.; Ahmad Ludin, N.; Bin Mohd Yusoff, A.R.; Jang, J.; Mat Teridi, M.A. The architecture of the electron transport layer for a perovskite solar cell. J. Mater. Chem. C 2018, 6, 682–712. [Google Scholar] [CrossRef]
- Zhou, H.; Chen, Q.; Li, G.; Luo, S.; Song, T.b.; Duan, H.S.; Hong, Z.; You, J.; Liu, Y.; Yang, Y. Interface engineering of highly efficient perovskite solar cells. Science 2014, 345, 542–546. [Google Scholar] [CrossRef]
- Cha, M.; Da, P.; Wang, J.; Wang, W.; Chen, Z.; Xiu, F.; Zheng, G.; Wang, Z.S. Enhancing Perovskite Solar Cell Performance by Interface Engineering Using CH3NH3PbBr0.9I2.1 Quantum Dots. J. Am. Chem. Soc. 2016, 138, 8581–8587. [Google Scholar] [CrossRef] [PubMed]
- Du, H.J.; Wang, W.C.; Ma, B.; Long, T.; Zhu, J.Z. Band Structure Adjustment of Solar Cells by Gradient Doping. Mat. Sci. Semicon. Proc. 2015, 40, 570–577. [Google Scholar] [CrossRef]
- Li, N.; Yan, J.; Ai, Y.; Jiang, E.; Lin, L.; Shou, C.; Yan, B.; Sheng, J.; Ye, J. A low-temperature tio2 /sno2 electron transport layer for high-performance planar perovskite solar cells. Sci. China Mater. 2020, 63, 207–215. [Google Scholar] [CrossRef]
- Du, H.J.; Wang, W.C.; Zhu, J.Z. Device Simulation of Lead-Free CH3NH3SnI3 Perovskite Solar Cells with High Efficiency. Chin. Phys. B 2016, 25, 108802. [Google Scholar] [CrossRef]
- Al-Mousoi, A.K.; Mohammed, M.K.; Pandey, R.; Madan, J.; Dastan, D.; Ravi, G.; Sakthivel, P. Simulation and analysis of lead-free perovskite solar cells incorporating cerium oxide as electron transporting layer. RSC Adv. 2022, 12, 32365–32373. [Google Scholar] [CrossRef]
- Hossain, M.K.; Arnab, A.; Das, R.C.; Hossain, K.; Rubel, M.; Rahman, M.F.; Bencherif, H.; Emetere, M.; Mohammed, M.K.; Pandey, R. Combined DFT, SCAPS-1D, and wxAMPS frameworks for design optimization of efficient Cs2BiAgI6-based perovskite solar cells with different charge transport layers. RSC Adv. 2022, 12, 35002–35025. [Google Scholar] [CrossRef]
- Gan, Y.-J.; Qiu, G.-X.; Qin, B.-Y.; Bi, X.-G.; Liu, Y.-C.; Nie, G.-C.; Ning, W.-L.; Yang, R.-Z. Numerical Analysis of Stable (FAPbI3)0.85(MAPbBr3)0.15-Based Perovskite Solar Cell with TiO2/ZnO Double Electron Layer. Nanomaterials 2023, 13, 1313. [Google Scholar] [CrossRef]
- Lakhdar, N.; Hima, A. Electron transport material effect on performance of perovskite solar cells based on CH3NH3GeI3. Opt. Mater. 2020, 99, 109517. [Google Scholar] [CrossRef]
- Huang, H.-C.; Yuan, E.-H.; Zhang, D.-S.; Sun, D.-X.; Yang, M.-H.; Zheng, Z.-Y.; Zhang, Z.-L.; Gao, L.; Panezai, S.; Qiu, K.-F. Free field of view infrared digital holography for mineral crystallization. Cryst. Growth Des. 2023, 23, 7992–8008. [Google Scholar] [CrossRef]
- Klenk, R. Characterization and modeling of chalcopyrite solar cells. Thin Solid Films 2001, 387, 135–140. [Google Scholar] [CrossRef]
- Minemoto, T.; Matsui, T.; Takakura, H.; Hamakawa, Y.; Negami, T.; Hashimoto, Y.; Uenoyama, T.; Kitagawa, M. Theoretical analysis of the effect of conduction band offset of window/CIS layers on performance of CIS solar cells using device simulation. Sol. Energy Mater. Sol. Cell 2001, 67, 83–88. [Google Scholar] [CrossRef]
- Gloeckler, M.; Sites, J. Efficiency limitations for wide-band-gap chalcopyrite solar cells. Thin Solid Films 2005, 480, 241–245. [Google Scholar] [CrossRef]
- Minemoto, T.; Hashimoto, Y.; Satoh, T.; Negami, T.; Takakura, H.; Hamakawa, Y. Cu(In,Ga)Se2 solar cells with controlled conduction band offset of window/Cu(In,Ga)Se2 layers. J. Appl. Phys. 2001, 89, 8327–8330. [Google Scholar] [CrossRef]
- Minemoto, T.; Hashimoto, Y.; Satoh, T.; Kolahi, W.S.; Negami, T.; Takakura, H.; Hamakawa, Y. Control in conduction band offset in wide-gap Cu(In,Ga)Se2 solar cells. Sol. Energy Mater. Sol. Cell 2003, 75, 121–126. [Google Scholar] [CrossRef]
- Torndahl, T.; Platzer-Bjorkman, C.; Kessler, J.; Edoff, M. Atomic layer deposition of Zn1−xMgxO buffer layers for Cu(In,Ga)Se2 solar cells. Prog. Appl. 2007, 15, 225–235. [Google Scholar] [CrossRef]
- Turcu, M.; Rau, U. Fermi level pinning at CdS/Cu(In,Ga)(Se,S)2 interfaces: Effect of chalcopyrite alloy composition. J. Phys. Chem. Solids 2003, 64, 1591–1595. [Google Scholar] [CrossRef]
- Tanaka, K.; Minemoto, T.; Takakura, H. Analysis of heterointerface recombina-tion by Zn1−xMgxO for window layer of Cu(In,Ga)Se2 solar cells. Sol. Energy 2009, 83, 477–479. [Google Scholar] [CrossRef]
- Minemoto, T.; Murata, M. Theoretical analysis on effect of band offsets in perovskite solar cells. Sol. Energy Mater. Sol. Cells 2015, 133, 8–14. [Google Scholar] [CrossRef]












| Parameter | NiOx | PeDAMA2Pb3I10 | PeDAMA3Pb4I13 | PeDAMA4Pb5I16 | PeDAMA5Pb6I19 | TiO2 | 
|---|---|---|---|---|---|---|
| Thickness/nm | 100 | 800 | 800 | 800 | 800 | 50 | 
| Band gap/eV | 3.5 | 1.83 | 1.76 | 1.65 | 1.6 | 3.2 | 
| Electron affinity/eV | 1.8 | 3.15 | 3.28 | 3.64 | 3.98 | 3.9 | 
| Dielectric permittivity | 10.7 | 25 | 25 | 25 | 25 | 9 | 
| Electron mobility/cm2/V.s | 12 | 1.4 | 1.4 | 1.4 | 1.4 | 20 | 
| Hole mobility/cm2/V.s | 2.8 | 0.3 | 0.3 | 0.3 | 0.3 | 10 | 
| Acceptor concentration/cm−3 | 3.0 × 1018 | 0 | 0 | 0 | 0 | 0 | 
| Donor concentration/cm−3 | 0 | 0 | 0 | 0 | 0 | 1.0 × 10−16 | 
| CB effective density of states/cm−3 | 2.8 × 1019 | 7.5 × 1017 | 7.5 × 1017 | 7.5 × 1017 | 7.5 × 1017 | 1.0 × 1021 | 
| VB effective density of states/cm−3 | 1.0 × 1018 | 1.8 × 1018 | 1.8 × 1018 | 1.8 × 1018 | 1.8 × 1018 | 2.0 × 1020 | 
| Defect type | Neutral | Neutral | Neutral | Neutral | Neutral | Neutral | 
| Capture cross-section for electrons/cm2 | 1.0 × 10−15 | 1.0 × 10−15 | 1.0 × 10−15 | 1.0 × 10−15 | 1.0 × 10−15 | 1.0 × 10−15 | 
| Capture cross-section for holes/cm2 | 1.0 × 10−15 | 1.0 × 10−15 | 1.0 × 10−15 | 1.0 × 10−15 | 1.0 × 10−15 | 1.0 × 10−15 | 
| Total defect density/cm−3 | 1.0 × 10−15 | 2.5 × 10−14 | 2.5 × 10−14 | 2.5 × 10−14 | 2.5 × 10−14 | 1.0 × 10−16 | 
| Parameter | NiOx/DJ Perovskite | DJ Perovskite/TiO2 | 
|---|---|---|
| Type of Defect | Neutral | Neutral | 
| Cross-Section for Electron Capture/cm2 | 1.0 × 10−15 | 1.0 × 10−15 | 
| Cross-Section for Hole Capture/cm2 | 1.0 × 10−15 | 1.0 × 10−15 | 
| Distribution of Energies | single | single | 
| Reference for Energy Level of Defect | Above the highest Ev | Above the highest Ev | 
| Energy with Respect to Reference/eV | 0.6 | 0.6 | 
| Total Density of Defects/cm−3 | 1.0 × 1010 | 1.0 × 1010 | 
| Disclaimer/Publisher’s Note: The statements, opinions and data contained in all publications are solely those of the individual author(s) and contributor(s) and not of MDPI and/or the editor(s). MDPI and/or the editor(s) disclaim responsibility for any injury to people or property resulting from any ideas, methods, instructions or products referred to in the content. | 
© 2023 by the authors. Licensee MDPI, Basel, Switzerland. This article is an open access article distributed under the terms and conditions of the Creative Commons Attribution (CC BY) license (https://creativecommons.org/licenses/by/4.0/).
Share and Cite
Gan, Y.; Qiu, G.; Yan, C.; Zeng, Z.; Qin, B.; Bi, X.; Liu, Y. Numerical Analysis on the Effect of the Conduction Band Offset in Dion–Jacobson Perovskite Solar Cells. Energies 2023, 16, 7889. https://doi.org/10.3390/en16237889
Gan Y, Qiu G, Yan C, Zeng Z, Qin B, Bi X, Liu Y. Numerical Analysis on the Effect of the Conduction Band Offset in Dion–Jacobson Perovskite Solar Cells. Energies. 2023; 16(23):7889. https://doi.org/10.3390/en16237889
Chicago/Turabian StyleGan, Yongjin, Guixin Qiu, Chenqing Yan, Zhaoxiang Zeng, Binyi Qin, Xueguang Bi, and Yucheng Liu. 2023. "Numerical Analysis on the Effect of the Conduction Band Offset in Dion–Jacobson Perovskite Solar Cells" Energies 16, no. 23: 7889. https://doi.org/10.3390/en16237889
APA StyleGan, Y., Qiu, G., Yan, C., Zeng, Z., Qin, B., Bi, X., & Liu, Y. (2023). Numerical Analysis on the Effect of the Conduction Band Offset in Dion–Jacobson Perovskite Solar Cells. Energies, 16(23), 7889. https://doi.org/10.3390/en16237889
 
        





 
       