Numerical Research on Thermodynamic Properties of a Thermocline in Thermal Energy Storage Tank Based on Modified One-Dimensional Dimensionless Model
Abstract
:1. Introduction
- (1)
- The temperature distribution in the tank is studied by numerical simulation and the thermo-physical properties of the working fluid change with temperature during the simulation.
- (2)
- An adaptive strategy for solving region compartmentalization is introduced based on the features of the thermocline during the solution process to reduce the computing time.
- (3)
- The performance of the system is evaluated using the method of energy and exergy analysis.
2. Model Description and Solution
2.1. Modified One-Dimensional Dimensionless Model of Thermocline TES System
2.2. Adaptive Strategy for Solving Region Compartmentalization
3. System Post-Processing Methodology
3.1. Thermocline Thickness δTC
3.2. Thermocline Position ZTC
3.3. Charging and Discharging Time tend
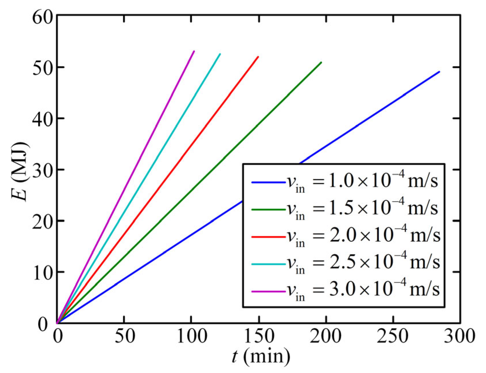
3.4. Ideal Stored Energy Qs,i
3.5. Actual Stored/Delivered Energy
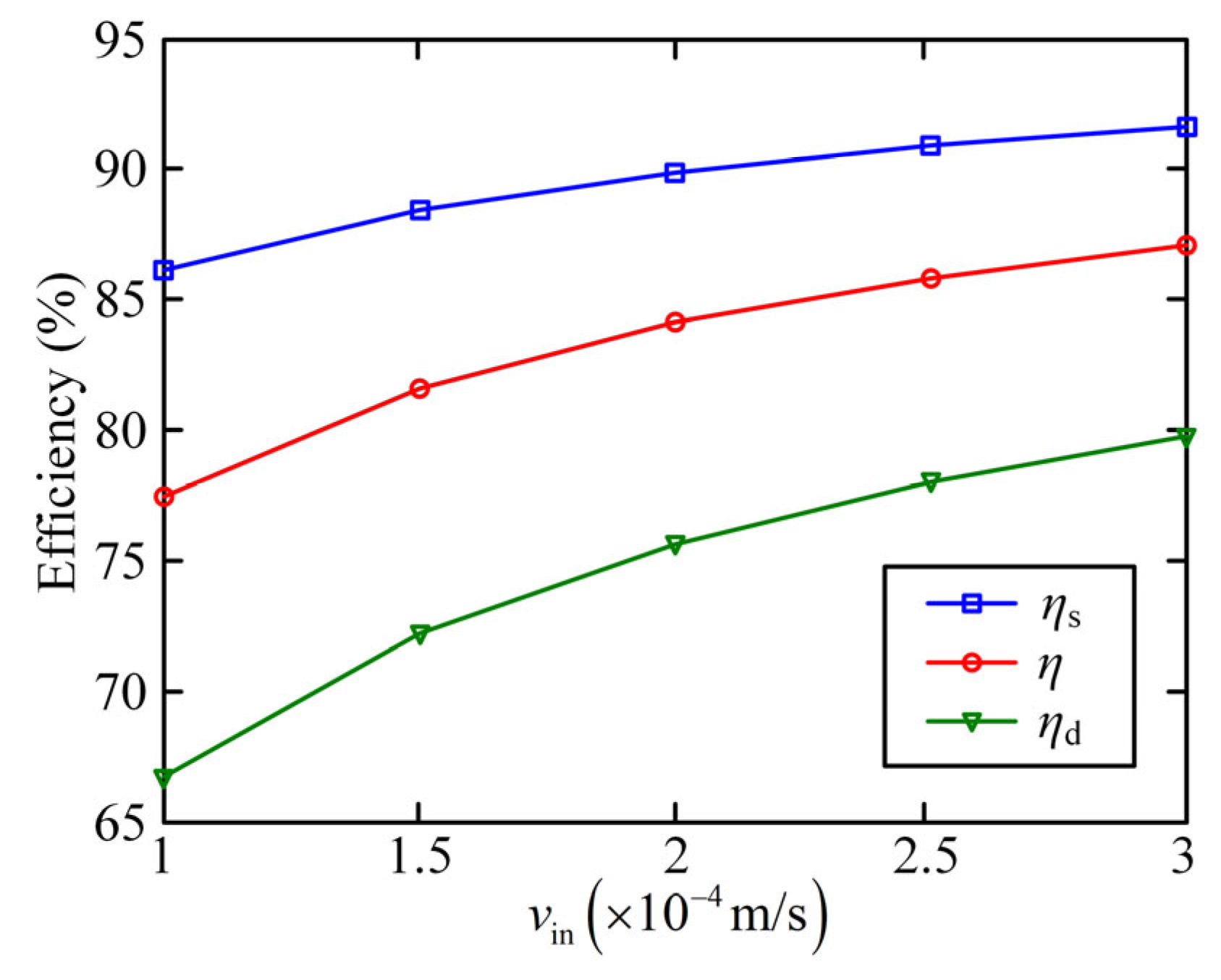
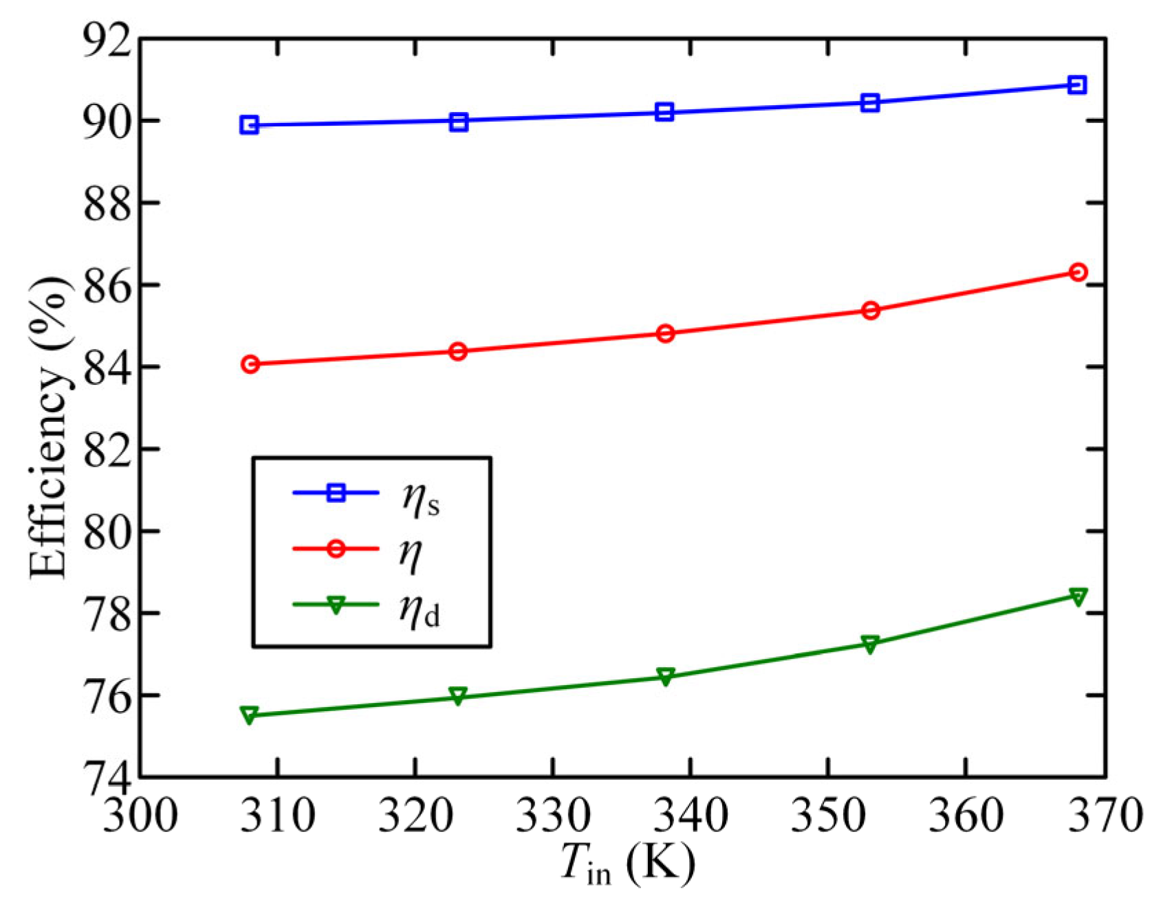
3.6. Stored/Delivered Efficiency and System Efficiency
3.7. Exergy Analysis
4. Results and Discussion
4.1. Model Validation
4.2. Influence Factors Analysis of Tank Behavior
- 1.
- Inlet velocity
- 2.
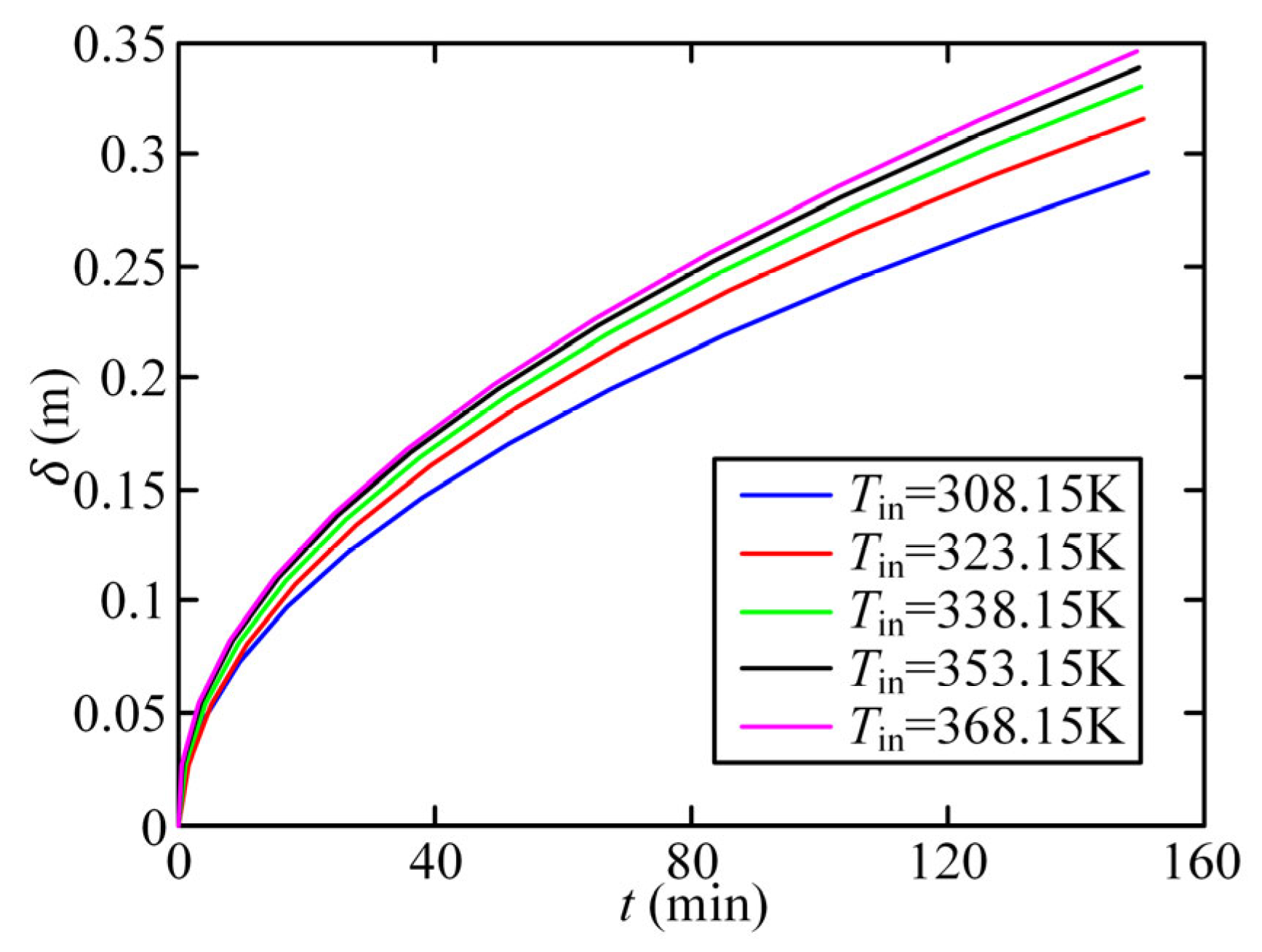
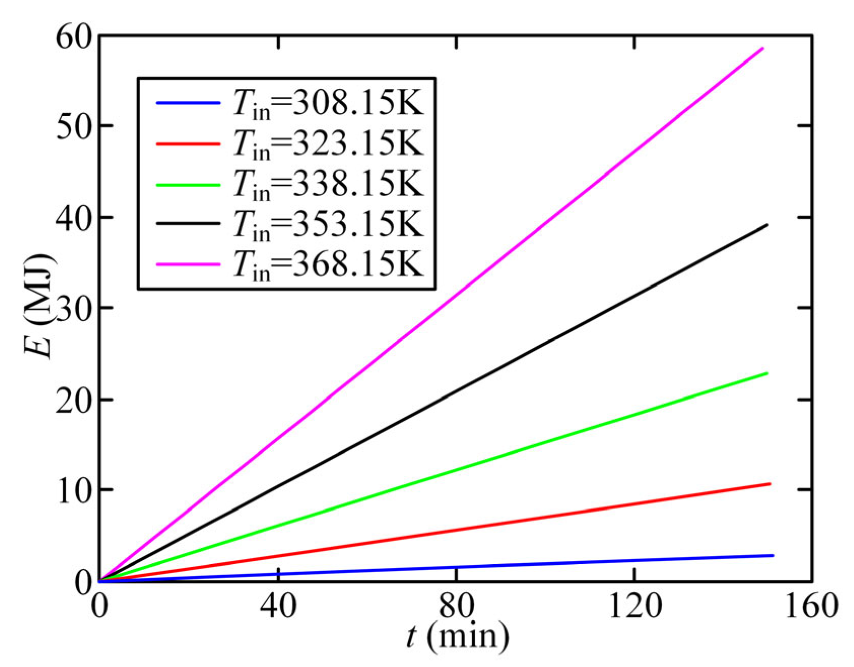
- Inlet temperature
- 3.
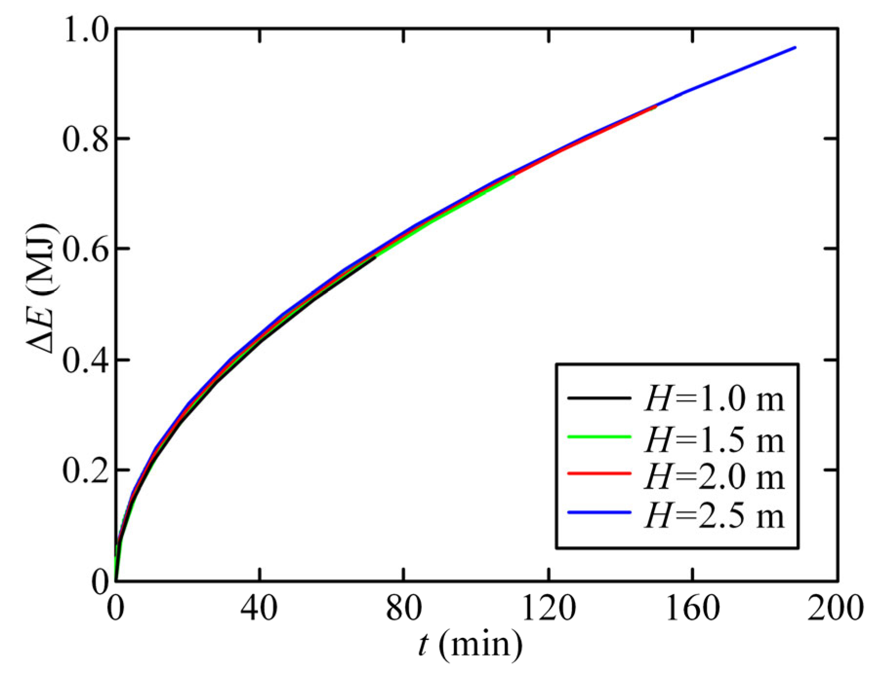
- Tank height
4.3. Simulation of Idle Condition
5. Conclusions
- (1)
- In the modified one-dimensional dimensionless model, the heat storage medium’s thermophysical characteristics are regarded as important. At a certain position, it is dependent on the temperature instead of keeping constant. This modified model is closer to reality. Using the proposed adaptive strategy for solving region compartmentalization, the computing time can be reduced.
- (2)
- The thermocline’s thickness rises with time during a charging process. However, it tends to rise more slowly. With the progression of the charging process, the total amount of energy stored in the storage container rises almost linearly.
- (3)
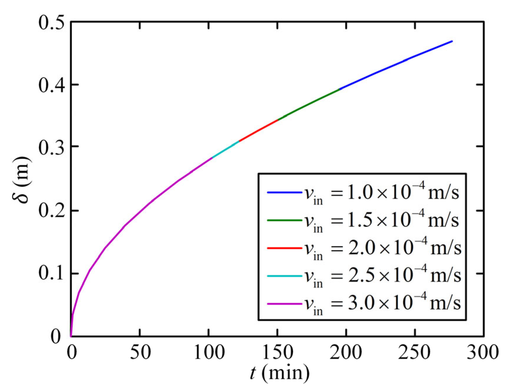
- The degree of thickness of the thermocline reduces from 0.47 m to 0.28 m when the intake velocity increases from 0.0001 m/s to 0.0003 m/s and the productivity of the framework can be increased by increasing the intake velocity.
- (4)
- Expanding the temperature contrast between the hot and cold water from 15 K to 75 K, the thickness of the thermocline increases from 0.29 m to 0.35 m. However, the energy put into the tank is raised. The motion characteristic for the thermocline is unaffected by increasing tank height, although system effectiveness can be improved.
- (5)
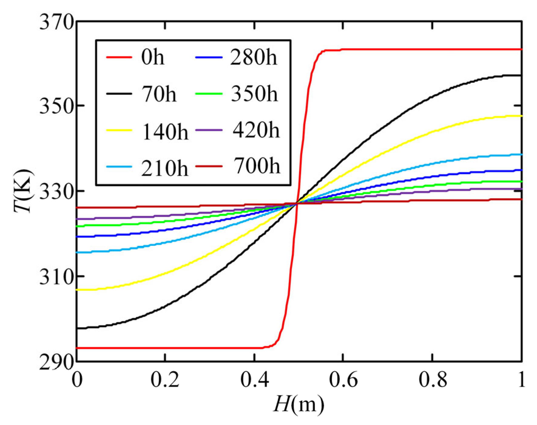
- For the idle condition, the thermocline region fills the whole tank about 19 h later under the given conditions and a consistent tank temperature appears about 700 h later.
Author Contributions
Funding
Data Availability Statement
Conflicts of Interest
References
- De Rosa, M.; Afanaseva, O.; Fedyukhin, A.V.; Bianco, V. Prospects and characteristics of thermal and electrochemical energy storage systems. J. Energy Storage 2021, 44, 103443. [Google Scholar]
- Cui, S.; He, Q.; Shi, X.; Liu, Y.; Du, D. Dynamic characteristics analysis for energy release process of liquid air energy storage system. Renew. Energy 2021, 180, 744–755. [Google Scholar] [CrossRef]
- Selvakumar, R.D.; Wu, J.; Ding, Y.; Alkaabi, A.K. Melting behavior of an organic phase change material in a square thermal energy storage capsule with an array of wire electrodes. Appl. Therm. Eng. 2023, 228, 120492. [Google Scholar] [CrossRef]
- Guédez, R.; Spelling, J.; Laumert, B.; Fransson, T. Optimization of thermal energy storage integration strategies for peak power production by concentrating solar power plants. Energy Procedia 2014, 49, 1642–1651. [Google Scholar] [CrossRef]
- Khan, M.I.; Asfand, F.; Al-Ghamdi, S.G. Progress in research and technological advancements of thermal energy storage systems for concentrated solar power. J. Energy Storage 2022, 55, 105860. [Google Scholar]
- Votyakov, E.V.; Bonanos, A.M. A perturbation model for stratified thermal energy storage tanks. Int. J. Heat Mass Transf. 2014, 75, 218–223. [Google Scholar] [CrossRef]
- Pacheco, J.E.; Showalter, S.K.; Kolb, W.J. Development of a molten-salt thermocline thermal storage system for parabolic trough plants. J. Sol. Energy Eng. 2002, 124, 153–159. [Google Scholar] [CrossRef]
- Rosen, M.A.; Tang, R.; Dincer, I. Effect of stratification on energy and exergy capacities in thermal storage systems. Int. J. Energy Res. 2004, 28, 177–193. [Google Scholar] [CrossRef]
- Kindi, A.A.; Aunedi, M.; Pantaleo, A.M.; Strbac, G.; Markides, C.N. Thermo-economic assessment of flexible nuclear power plants in future low-carbon electricity systems: Role of thermal energy storage. Energy Convers. Manag. 2022, 258, 115484. [Google Scholar]
- Brumleve, T.D. Sensible heat storage in liquids. In NASA STI/Recon Technical Report N; NASA: Washington, DC, USA, 1974. [Google Scholar]
- Solé, C.; Medrano, M.; Castell, A.; Nogués, M.; Mehling, H.; Cabeza, L.F. Energetic and exergetic analysis of a domestic water tank with phase change material. Int. J. Energy Res. 2008, 32, 204–214. [Google Scholar] [CrossRef]
- Jack, M.W.; Wrobel, J. Thermodynamic optimization of a stratified thermal storage device. Appl. Therm. Eng. 2009, 29, 2344–2349. [Google Scholar] [CrossRef]
- Savicki, D.L.; Vielmo, H.A.; Krenzinger, A. Three-dimensional analysis and investigation of the thermal and hydrodynamic behaviors of cylindrical storage tanks. Renew. Energy 2011, 36, 1364–1373. [Google Scholar] [CrossRef]
- Ievers, S.; Lin, W. Numerical simulation of three-dimensional flow dynamics in a hot water storage tank. Appl. Energy 2009, 86, 2604–2614. [Google Scholar] [CrossRef]
- Nelson, J.E.B.; Balakrishnan, A.R.; Murthy, S.S. Transient analysis of energy storage in a thermally stratified water tank. Int. J. Energy Res. 1998, 22, 867–883. [Google Scholar] [CrossRef]
- Schumann, T.E.W. Heat transfer: A liquid flowing through a porous prism. J. Frankl. Inst. 1929, 208, 405–416. [Google Scholar] [CrossRef]
- Vortmeyer, D.; Schaefer, R.J. Equivalence of one and two-phase models for heat transfer processes in packed beds: One dimensional theory. Chem. Eng. Sci. 1974, 29, 485. [Google Scholar] [CrossRef]
- Bayon, R.; Rojas, E. Simulation of thermocline storage for solar thermal power plants: From dimensionless results to prototypes and real-size tanks. Int. J. Heat Mass Transf. 2013, 60, 713–721. [Google Scholar] [CrossRef]
- Oppel, F.J.; Ghajar, A.J.; Moretti, P.M. A numerical and experimental study of stratified thermal storage. ASHRAE Trans. 1986, 92, 293–309. [Google Scholar]
- Zurigat, Y.H.; Liche, P.R.; Ghajar, A.J. Turbulent mixing correlations for a thermocline thermal storage tank. AICHE Symp. Ser. 1988, 84, 160–168. [Google Scholar]
- Ghaddar, N.K.; Al-Maarafie, A.M. Study of charging of stratified storage tanks with finite wall thickness. Int. J. Energy Res. 1997, 21, 411–427. [Google Scholar] [CrossRef]
- Yoo, H.; Pak, E.T. Theoretical model of the charging process for stratified thermal storage tanks. Sol. Energy 1993, 51, 513–519. [Google Scholar] [CrossRef]
- Davidson, J.H.; Adams, D.A.; Miller, J.A. A coefficient to characterize mixing in solar water storage tanks. J. Sol. Energy Eng. 1994, 116, 94–99. [Google Scholar] [CrossRef]
- Andersen, E.; Furbo, S.; Fan, J. Multilayer fabric stratification pipes for solar tanks. Sol. Energy 2007, 81, 1219–1226. [Google Scholar] [CrossRef]
- Yee, C.K.; Lai, F.C. Effects of a porous manifold on thermal stratification in a liquid storage tank. Sol. Energy 2001, 71, 241–254. [Google Scholar] [CrossRef]
- Castell, A.; Medrano, M.; Sole, C.; Cabeza, L.F. Dimensionless numbers used to characterize stratification in water tanks for discharging at low flow rates. Renew. Energy 2010, 35, 2192–2199. [Google Scholar] [CrossRef]
- Fernández-Seara, J.; Uhía, F.J.; Sieres, J. Experimental analysis of a domestic hot water storage tank. Part II: Dynamic mode of operation. Appl. Therm. Eng. 2007, 27, 137–144. [Google Scholar] [CrossRef]
- Rosen, M.A. The exergy of stratified thermal energy storages. Sol. Energy 2001, 71, 173–185. [Google Scholar] [CrossRef]
- Mosaffa, A.H.; Farshi, L.G.; Ferreira, C.A.I.; Rosen, M.A. Advanced exergy analysis of an air conditioning system incorporating thermal energy storage. Energy 2014, 77, 945–952. [Google Scholar] [CrossRef]
- Han, Y.M.; Wang, R.Z.; Dai, Y.J. Thermal stratification within the water tank. Renew. Sustain. Energy Rev. 2009, 13, 1014–1026. [Google Scholar] [CrossRef]
- Cònsul, R.; Rodríguez, I.; Pérez-Segarra, C.D.; Soria, M. Virtual prototyping of storage tanks by means of three-dimensional CFD and heat transfer numerical simulations. Sol. Energy 2004, 77, 179–191. [Google Scholar] [CrossRef]
- Rosen, M.A.; Dincer, I. Exergy methods for assessing and comparing thermal storage systems. Int. J. Energy Res. 2003, 27, 415–430. [Google Scholar] [CrossRef]
- He, Z.; Wang, X.; Du, X.; Amjad, M.; Yang, L.; Xu, C. Experiments on comparative performance of water thermocline storage tank with and without encapsulated paraffin wax packed bed. Appl. Therm. Eng. 2019, 147, 188–197. [Google Scholar] [CrossRef]


















| Design Criteria | Thermocline Storage Tank Type | |
|---|---|---|
| Water Tank | Sandia Lab Prototype | |
| Height (m) | 1.1 | 6 |
| Diameter (m) | 0.9 | 3 |
| Velocity (m/s) | 1.31 × 10−4 | 4.186 × 10−4 |
| Tmax (°C) | 83 | 390 |
| Tmin (°C) | 50 | 290 |
| Porosity, ε | 1 | 0.22 |
| Storage medium | Water | Rock/sand and eu-NaNO3/KNO3 |
| Parameter | Symbol | Unit | Reference Value |
| Temperature sensitivity | k | W/(m·K) | Equation (24) |
| Specific heat capacity | Cp | J/(kg·K) | Equation (25) |
| Density | ρ | kg/m3 | Equation (26) |
| Hot water temperature | Tmax | K | 363.15 |
| Cold water temperature | Tmin | K | 293.15 |
| Prevailing temperature | T0 | K | 293.15 |
| Reference temperature | Tin | K | 363.15 |
| Reference tank height | H | m | 2 |
| Cross-sectional area | A | m2 | 1 |
| Reference velocity | vin | m/s | 2 × 10−4 |
Disclaimer/Publisher’s Note: The statements, opinions and data contained in all publications are solely those of the individual author(s) and contributor(s) and not of MDPI and/or the editor(s). MDPI and/or the editor(s) disclaim responsibility for any injury to people or property resulting from any ideas, methods, instructions or products referred to in the content. |
© 2023 by the authors. Licensee MDPI, Basel, Switzerland. This article is an open access article distributed under the terms and conditions of the Creative Commons Attribution (CC BY) license (https://creativecommons.org/licenses/by/4.0/).
Share and Cite
Ju, H.; Zheng, L.; Zhong, W. Numerical Research on Thermodynamic Properties of a Thermocline in Thermal Energy Storage Tank Based on Modified One-Dimensional Dimensionless Model. Energies 2023, 16, 7499. https://doi.org/10.3390/en16227499
Ju H, Zheng L, Zhong W. Numerical Research on Thermodynamic Properties of a Thermocline in Thermal Energy Storage Tank Based on Modified One-Dimensional Dimensionless Model. Energies. 2023; 16(22):7499. https://doi.org/10.3390/en16227499
Chicago/Turabian StyleJu, Haoran, Lijun Zheng, and Wei Zhong. 2023. "Numerical Research on Thermodynamic Properties of a Thermocline in Thermal Energy Storage Tank Based on Modified One-Dimensional Dimensionless Model" Energies 16, no. 22: 7499. https://doi.org/10.3390/en16227499
APA StyleJu, H., Zheng, L., & Zhong, W. (2023). Numerical Research on Thermodynamic Properties of a Thermocline in Thermal Energy Storage Tank Based on Modified One-Dimensional Dimensionless Model. Energies, 16(22), 7499. https://doi.org/10.3390/en16227499
