The Optimization of a Pipeline Temperature Monitoring Method Based on Non-Local Means with the Black Widow Optimization Algorithm
Abstract
:1. Introduction
1.1. Background
1.2. Related Works
1.3. Organization
2. Problem Description
- The above algorithms have the problem that the denoising effect and local information processing cannot be taken into account simultaneously.
- Focusing on the processing effect of the image visual quality, SNR improvement, and other aspects, it does not consider the role of the structural similarity of the BGS collected by BOTDA in the subsequent BFS (temperature information) extraction engineering after the processing.
3. Materials and Methods
3.1. Field Test
3.1.1. Field Test Plan
- The temperature is controlled at 15 °C (the actual temperature is 14.4 °C) using a constant-temperature water bath.
- At a position of 24,950–24,955 m along the connected fiber, the temperature is increased to 50 °C within 1 min (the actual temperature is 49.4 °C) using a constant-temperature water bath. Subsequently, BGS data can be collected.

3.1.2. BOTDA System Setup
3.2. Data Preprocessing
3.3. Optimize NLM Algorithm
3.3.1. Black Widow Optimization Algorithm
- Initial population
- 2.
- Movement
- 3.
- Pheromone
- 4.
- Cannibalism
3.3.2. BWOA-NLM Algorithm
- Initialization of the spider agents:
- 2.
- Fitness evaluation
- 3.
- Update of individual positions
- 4.
- Iterative optimization
- 5.
- Termination Criteria
- 6.
- Processing
3.4. Algorithm Application and Comparison
4. Results and Discussion
4.1. Visual Quality
4.1.1. 3D BGS
4.1.2. Fixed Frequency and Position
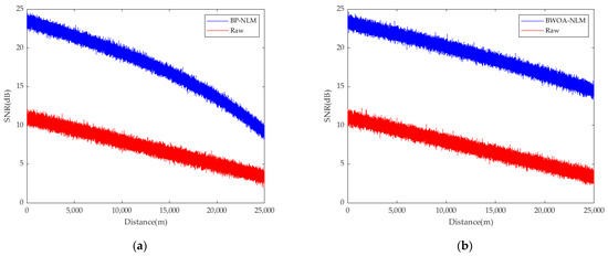
4.2. System SNR
4.3. Structural Similarity and Time
5. Conclusions
- This article proposed a local mean algorithm optimized by the black widow algorithm, which can maintain the detailed information of the Brillouin Gain Spectrum (BGS) while removing noise.
- Through a series of field tests, it was verified that the proposed method had better advantages than the BP-NLM algorithm in terms of detail preservation and noise suppression. The BWOA-NLM algorithm improved the Signal-to-Noise Ratio of the BGS by 11–12.9 dB, and, compared to the BP-NLM algorithm, the BWOA-NLM algorithm still maintained a level of 10.3 dB for the BGS Signal-to-Noise Ratio at the fiber end (25 km), which was about 3 dB higher than that of the BP-NLM algorithm.
- Compared to the BP-NLM algorithm, the BWOA-NLM algorithm improved the Root Mean Square Error (RMSE), Sum of Squared Errors (SSE), and Full Width at Half Maximum (FWHM) data by 9.4%, 12.5%, and 10%, respectively. The processing performance reflected that the BWOA-NLM algorithm could better extract the BFS and improve the reliability of the BOTDA system in pipeline temperature monitoring. However, in terms of the processing time, the BWOA-NLM algorithm took an additional 0.8 s. The difference between the two was significant, and the processing time of the BWOA-NLM algorithm still needs further improvement.
- Future research should aim to accurately fit BGS curve data for temperature detection, create a database for identifying temperature anomalies, and enable the secure monitoring of on-site pipeline systems.
Author Contributions
Funding
Data Availability Statement
Conflicts of Interest
References
- Li, Y.; Kuang, Z.; Fan, Z.; Shuai, J. Evaluation of the safe separation distances of hydrogen-blended natural gas pipelines in a jet fire scenario. Int. J. Hydrogen Energy 2023, 48, 18804–18815. [Google Scholar] [CrossRef]
- Mokhtari, M.; Melchers, R.E. Reliability of the conventional approach for stress/fatigue analysis of pitting corroded pipelines—Development of a safer approach. Struct. Saf. 2020, 85, 101943. [Google Scholar] [CrossRef]
- Li, X.; Liu, R.; Jiang, H.; Yu, P.; Liu, X. Numerical investigation on the melting characteristics of wax for the safe and energy-efficiency transportation of crude oil pipelines. Meas. Sens. 2020, 10, 100022. [Google Scholar] [CrossRef]
- Zha, J.; Meng, Y.; Li, D.; Yin, H.; Wang, D.; Yu, W. Determination of average times for Brillouin optical time domain analysis sensor denoising by non-local means filtering. Opt. Commun. 2018, 426, 648–653. [Google Scholar] [CrossRef]
- Li, Q.; Shi, Y.; Lin, R.; Qiao, W.; Ba, W. A novel oil pipeline leakage detection method based on the sparrow search algorithm and CNN. Measurement 2022, 204, 112122. [Google Scholar] [CrossRef]
- Bao, X.; Chen, L. Recent progress in distributed fiber optic sensors. Sensors 2012, 12, 8601–8639. [Google Scholar] [CrossRef]
- Claus, M. On continuity in risk-averse bilevel stochastic linear programming with random lower level objective function. Oper. Res. Lett. 2021, 49, 412–417. [Google Scholar] [CrossRef]
- Mirzaei, A.; Bahrampour, A.; Taraz, M.; Bahrampour, A.; Bahrampour, M.; Foroushani, S.A. Transient response of buried oil pipelines fiber optic leak detector based on the distributed temperature measurement. Int. J. Heat Mass Transf. 2013, 65, 110–122. [Google Scholar] [CrossRef]
- Wang, F.; Liu, Z.; Zhou, X.; Li, S.; Yuan, X.; Zhang, Y.; Shao, L.; Zhang, X. Oil and gas pipeline leakage recognition based on distributed vibration and temperature information fusion. Results Opt. 2021, 5, 100131. [Google Scholar] [CrossRef]
- Datta, A.; Mamidala, H.; Venkitesh, D.; Srinivasan, B. Reference-free real-time power line monitoring using distributed anti-Stokes Raman thermometry for smart power grids. IEEE Sens. J. 2019, 20, 7044–7052. [Google Scholar] [CrossRef]
- Laarossi, I.; Quintela-Incera, M.Á.; López-Higuera, J.M. Comparative experimental study of a high-temperature raman-based distributed optical fiber sensor with different special fibers. Sensors 2019, 19, 574. [Google Scholar] [CrossRef]
- Li, J.; Zeng, K.; Yang, G.; Wang, L.; Mi, J.; Wan, L.; Tang, M.; Liu, D. High-fidelity denoising for differential pulse-width pair brillouin optical time domain analyzer based on block-matching and 3D filtering. Opt. Commun. 2022, 525, 128866. [Google Scholar] [CrossRef]
- Zhang, M.; Guo, Y.; Xie, Q.; Zhang, Y.; Wang, D.; Chen, J. Defect identification for oil and gas pipeline safety based on autonomous deep learning network. Comput. Commun. 2022, 195, 14–26. [Google Scholar] [CrossRef]
- Xu, Z.; Zhao, L. Accurate and ultra-fast estimation of Brillouin frequency shift for distributed fiber sensors. Sens. Actuators A Phys. 2020, 303, 111822. [Google Scholar] [CrossRef]
- Nikles, M.; Thevenaz, L.; Robert, P.A. Brillouin gain spectrum characterization in single-mode optical fibers. J. Light. Technol. 1997, 15, 1842–1851. [Google Scholar] [CrossRef]
- Ni, Y.; Hua, X.; Fan, K.; Ko, J. Correlating modal properties with temperature using long-term monitoring data and support vector machine technique. Eng. Struct. 2005, 27, 1762–1773. [Google Scholar] [CrossRef]
- Ni, Y.; Zhou, H.; Ko, J. Generalization capability of neural network models for temperature-frequency correlation using monitoring data. J. Struct. Eng. 2009, 135, 1290–1300. [Google Scholar] [CrossRef]
- Tan, X.; Chen, W.; Wang, L.; Yang, J. The impact of uneven temperature distribution on stability of concrete structures using data analysis and numerical approach. Adv. Struct. Eng. 2021, 24, 279–290. [Google Scholar] [CrossRef]
- Tan, X.; Chen, W.; Wu, G.; Wang, L.; Yang, J. A structural health monitoring system for data analysis of segment joint opening in an underwater shield tunnel. Struct. Health Monit. 2020, 19, 1032–1050. [Google Scholar] [CrossRef]
- Zeng, W.; Lu, X. Region-based non-local means algorithm for noise removal. Electron. Lett. 2011, 47, 1125–1127. [Google Scholar] [CrossRef]
- Zhang, Y.; Lu, Y.; Zhang, Z.; Wang, J.; He, C.; Wu, T. Noise reduction by Brillouin spectrum reassembly in Brillouin optical time domain sensors. Opt. Lasers Eng. 2020, 125, 105865. [Google Scholar] [CrossRef]
- Zhao, S.; Cui, J.; Wu, Z.; Tan, J. Accuracy improvement in OFDR-based distributed sensing system by image processing. Opt. Lasers Eng. 2020, 124, 105824. [Google Scholar] [CrossRef]
- Garmire, E. Perspectives on stimulated Brillouin scattering. New J. Phys. 2017, 19, 011003. [Google Scholar] [CrossRef]
- Ruano, P.N.; Zhang, J.; Melati, D.; González-Andrade, D.; Le Roux, X.; Cassan, E.; Marris-Morini, D.; Vivien, L.; Lanzillotti-Kimura, N.D.; Alonso-Ramos, C. Genetic optimization of Brillouin scattering gain in subwavelength-structured silicon membrane waveguides. Opt. Laser Technol. 2023, 161, 109130. [Google Scholar] [CrossRef]
- Zheng, H.; Sun, S.; Qin, Y.; Xiao, F.; Dai, C. Extraction of Brillouin frequency shift from Brillouin gain spectrum in Brillouin distributed fiber sensors using K nearest neighbor algorithm. Opt. Fiber Technol. 2022, 71, 102903. [Google Scholar] [CrossRef]
- Xu, Z.-N.; Zhao, L.-J.; Qin, H. Selection of spectrum model in estimation of Brillouin frequency shift for distributed optical fiber sensor. Optik 2019, 199, 163355. [Google Scholar] [CrossRef]
- Soto, M.A.; Ramírez, J.A.; Thévenaz, L. Optimizing image denoising for long-range Brillouin distributed fiber sensing. J. Light. Technol. 2017, 36, 1168–1177. [Google Scholar] [CrossRef]
- Soto, M.A.; Ramirez, J.A.; Thévenaz, L. Intensifying the response of distributed optical fibre sensors using 2D and 3D image restoration. Nat. Commun. 2016, 7, 10870. [Google Scholar] [CrossRef]
- Chen, Y.; Zhu, P.; Yin, Y.; Wu, M.; Yu, K.; Feng, L.; Chen, W. Objective assessment of IPM denoising quality of φ-OTDR signal. Measurement 2023, 214, 112775. [Google Scholar] [CrossRef]
- Qian, X.; Jia, X.; Wang, Z.; Zhang, B.; Xue, N.; Sun, W.; He, Q.; Wu, H. Noise level estimation of BOTDA for optimal non-local means denoising. Appl. Opt. 2017, 56, 4727–4734. [Google Scholar] [CrossRef]
- Malakzadeh, A.; Didar, M.; Mansoursamaei, M. SNR enhancement of a Raman distributed temperature sensor using partial window-based non local means method. Opt. Quantum Electron. 2021, 53, 147. [Google Scholar] [CrossRef]
- Okamoto, T.; Iida, D.; Oshida, H. Vibration-induced beat frequency offset compensation in distributed acoustic sensing based on optical frequency domain reflectometry. J. Light. Technol. 2019, 37, 4896–4901. [Google Scholar] [CrossRef]
- Wu, M.; Chen, Y.; Zhu, P.; Chen, W. NLM Parameter Optimization for φ-OTDR Signal. J. Light. Technol. 2022, 40, 6045–6051. [Google Scholar] [CrossRef]
- Huang, Q.; Shi, H.; Huang, C.; Sun, J. Improvement of response speed and precision of distributed Brillouin optical fiber sensors using neural networks. Opt. Laser Technol. 2023, 167, 109705. [Google Scholar] [CrossRef]
- Kim, S.H.; Koo, G.; Jeong, J.J.; Kim, S.W. An adjusting-block based convex combination algorithm for identifying block-sparse system. Signal Process. 2018, 143, 1–6. [Google Scholar] [CrossRef]
- Rajakumar, S.; Sreedhar, P.S.S.; Kamatchi, S.; Tamilmani, G. Gray wolf optimization and image enhancement with NLM Algorithm for multimodal medical fusion imaging system. Biomed. Signal Process. Control 2023, 85, 104950. [Google Scholar] [CrossRef]
- Hayyolalam, V.; Kazem, A.A.P. Black widow optimization algorithm: A novel meta-heuristic approach for solving engineering optimization problems. Eng. Appl. Artif. Intell. 2020, 87, 103249. [Google Scholar] [CrossRef]
- Houssein, E.H.; Helmy, B.E.-D.; Oliva, D.; Elngar, A.A.; Shaban, H. A novel black widow optimization algorithm for multilevel thresholding image segmentation. Expert Syst. Appl. 2021, 167, 114159. [Google Scholar] [CrossRef]
- Peña-Delgado, A.F.; Peraza-Vázquez, H.; Almazán-Covarrubias, J.H.; Torres Cruz, N.; García-Vite, P.M.; Morales-Cepeda, A.B.; Ramirez-Arredondo, J.M. A novel bio-inspired algorithm applied to selective harmonic elimination in a three-phase eleven-level inverter. Math. Probl. Eng. 2020, 2020, 8856040. [Google Scholar] [CrossRef]
- Xu, G.; Wang, X. Support vector regression optimized by black widow optimization algorithm combining with feature selection by MARS for mining blast vibration prediction. Measurement 2023, 218, 113106. [Google Scholar] [CrossRef]
- Vijayakumar, S.; Suresh, P. Lean based cycle time reduction in manufacturing companies using black widow based deep belief neural network. Comput. Ind. Eng. 2022, 173, 108735. [Google Scholar] [CrossRef]
- Hu, G.; Du, B.; Wang, X.; Wei, G. An enhanced black widow optimization algorithm for feature selection. Knowl.-Based Syst. 2022, 235, 107638. [Google Scholar] [CrossRef]
- Chauhan, A.; Prakash, S. Comparison and performance analysis of pheromone value and cannibalism based black widow optimisation approaches for modelling and parameter estimation of solar photovoltaic mathematical models. Optik 2022, 259, 168943. [Google Scholar] [CrossRef]
- Kanna, P.R.; Santhi, P. Hybrid intrusion detection using mapreduce based black widow optimized convolutional long short-term memory neural networks. Expert Syst. Appl. 2022, 194, 116545. [Google Scholar] [CrossRef]
- Li, J.; Yan, Y.; Yu, H.; Peng, X.; Zhang, Y.; Hu, W.; Duan, Z.; Wang, X.; Liang, S. Isolation and identification of a sodium channel-inhibiting protein from eggs of black widow spiders. Int. J. Biol. Macromol. 2014, 65, 115–120. [Google Scholar] [CrossRef] [PubMed]
- Fu, Y.; Hou, Y.; Chen, Z.; Pu, X.; Gao, K.; Sadollah, A. Modelling and scheduling integration of distributed production and distribution problems via black widow optimization. Swarm Evol. Comput. 2022, 68, 101015. [Google Scholar] [CrossRef]
- Rodríguez, A.O.; Ruiz, M.G.A.; Bénard-Valle, M.; Neri-Castro, E.; Rodríguez, F.O.; Alagón, A. Neutralization of black widow spider (Latrodectus mactans) venom with rabbit polyclonal serum hyperimmunized with recombinant alpha-latrotoxin fragments. Biochimie 2022, 201, 55–62. [Google Scholar] [CrossRef]
- Sivalinghem, S.; Mason, A.C. Function of structured signalling in the black widow spider Latrodectus hesperus. Anim. Behav. 2021, 179, 279–287. [Google Scholar] [CrossRef]











| Literature | Optimal Method (Based on Non-Local Means) | The Essentials of Optimization Methods | |
|---|---|---|---|
| Better Brillouin Gain Spectrum Denoising Effect | Keep Brillouin Gain Spectrum Detailed Information | ||
| Soto et al. [27] | Noise estimation | √ | |
| Qian et al. [30] | Principal component analysis | √ | |
| Zhao et al. [22] | Modified | √ | |
| Datta et al. [10] | Partial window | √ | |
| Okamoto et al. [32] | Partial window | √ | |
| Malakzadeh et al. [31] | Partial window | √ | |
| Wu et al. [33] | Signal estimation | √ | |
| Rajakumar et al. [36] | Grey Wolf algorithm | √ | |
| Huang et al. [34] | Neural network | √ | |
| Kim et al. [35] | Neural network | √ | |
| Category | Statement |
|---|---|
| Sexual | Female spider eats her husband |
| Sibling | The stronger spider eats the weaker spider |
| Special | The baby spiders eat their mother |
| Algorithm | Important Parameters | Values and Methods |
|---|---|---|
| BP-NLM | Number of neurons | 100 |
| Number of iterations | 300 | |
| Number of layers in neural structure | 4 | |
| Activation function Sigmoid | Sigmoid | |
| Loss function | Mean square error | |
| Optimizer | Adagrad | |
| BWOA-NLM | Spider agent | One-dimensional array |
| Agent size | 100 | |
| Number of array elements | 1000 | |
| Maximum number of iterations | 500 | |
| Fitness function | RMSE, SNR | |
| Tolerance |
| Algorithm | 50 m | 12,500 m | 24,950 m |
|---|---|---|---|
| Raw | 11 dB | 8 dB | 3 dB |
| BP-NLM | 23.8 dB | 18.6 dB | 10.2 dB |
| BWOA-NLM | 23.9 dB | 19.0 dB | 13.3 dB |
| BP-NLM improvement | 12.8 dB | 10.6 dB | 7.2 dB |
| BWOA-NLM improvement | 12.9 dB | 11 dB | 10.3 dB |
| Pulse Width (ns) | Standard FWHW (MHZ) |
|---|---|
| 10 | 100 |
| 20 | 50 |
| 30 | 30 |
| 50 | 20 |
| Algorithm | RMSE | FWHW (MHZ, 20 ns) | SSE | Time (s) |
|---|---|---|---|---|
| BP-NLM | 0.0296 | 58 | 0.0376 | 38.8 |
| BWOA-NLM | 0.0268 | 53 | 0.0309 | 39.6 |
Disclaimer/Publisher’s Note: The statements, opinions and data contained in all publications are solely those of the individual author(s) and contributor(s) and not of MDPI and/or the editor(s). MDPI and/or the editor(s) disclaim responsibility for any injury to people or property resulting from any ideas, methods, instructions or products referred to in the content. |
© 2023 by the authors. Licensee MDPI, Basel, Switzerland. This article is an open access article distributed under the terms and conditions of the Creative Commons Attribution (CC BY) license (https://creativecommons.org/licenses/by/4.0/).
Share and Cite
Lou, F.; Wang, B.; Sima, R.; Chen, Z.; He, W.; Zhu, B.; Hong, B. The Optimization of a Pipeline Temperature Monitoring Method Based on Non-Local Means with the Black Widow Optimization Algorithm. Energies 2023, 16, 7178. https://doi.org/10.3390/en16207178
Lou F, Wang B, Sima R, Chen Z, He W, Zhu B, Hong B. The Optimization of a Pipeline Temperature Monitoring Method Based on Non-Local Means with the Black Widow Optimization Algorithm. Energies. 2023; 16(20):7178. https://doi.org/10.3390/en16207178
Chicago/Turabian StyleLou, Fangwei, Benji Wang, Rui Sima, Zuan Chen, Wei He, Baikang Zhu, and Bingyuan Hong. 2023. "The Optimization of a Pipeline Temperature Monitoring Method Based on Non-Local Means with the Black Widow Optimization Algorithm" Energies 16, no. 20: 7178. https://doi.org/10.3390/en16207178
APA StyleLou, F., Wang, B., Sima, R., Chen, Z., He, W., Zhu, B., & Hong, B. (2023). The Optimization of a Pipeline Temperature Monitoring Method Based on Non-Local Means with the Black Widow Optimization Algorithm. Energies, 16(20), 7178. https://doi.org/10.3390/en16207178

