Optimal Selection of Conductors in Distribution System Designs Using Multi-Criteria Decision
Abstract
:1. Introduction
2. Materials and Methods
2.1. Radial Distribution Systems
2.2. Optimum Conductor Selection
2.3. Power Flow in Radial Systems
2.4. CRITIC Method
| Algorithm 1. CRITIC Method. |
| M = Decision matrix Obtaining minimum values Minimum = diag(min(M′)) × ones(size(M)) Obtaining maximum valuesMaximum = diag(max(M′)) × ones(size(M)) Normalization of values Mp = (M − Minimum)/(Maximum − Minimum) Obtaining standard deviation d = std(Mp′) Obtaining correlation coefficients R = corrcoef(Mp′) Weighing Weight = d × sum(1 − R) A = sum(weight) Weighted Matrix Normalization Normp = (weight/A)′ matrix weight for all i:n For everything j:m V = normp(i) × Mp(j,i) Weighted Matrix(j,i) = [v] end to all end to all weighted summation for all i:n V3 = 0 For everything j:m V3 = V3 + weighted matrix(j,i) Weighted Sums(i) = [V3] end to all end to all Best case selection Best case = find(weighted sums == min(weighted sums)) |
3. Results
3.1. Problem Determination
3.2. Conductor Characteristics
3.3. Test System
3.4. Criteria and Cases
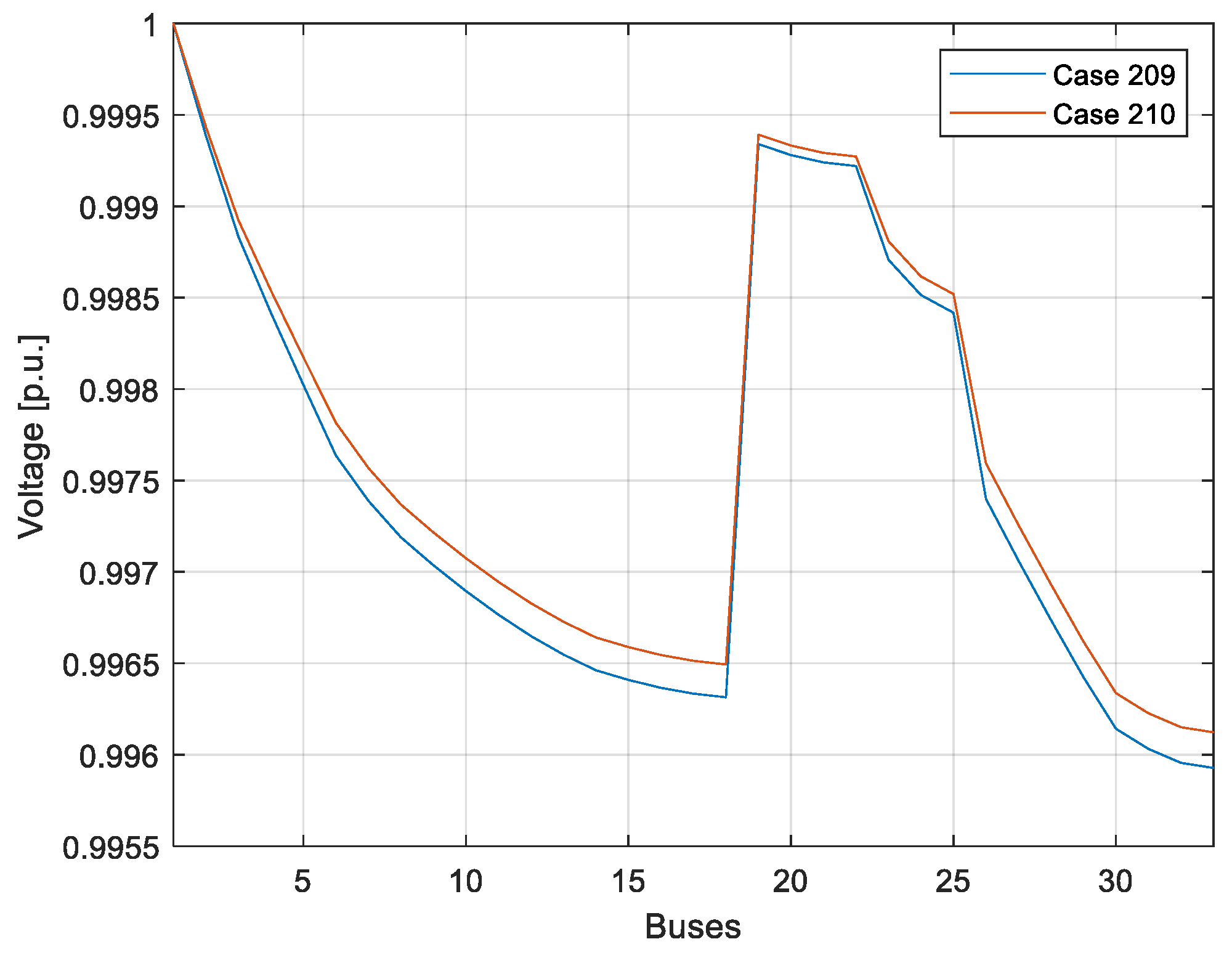
3.5. Analysis of Results
4. Conclusions
Author Contributions
Funding
Data Availability Statement
Conflicts of Interest
References
- Chen, Q.; Hao, W.; Zeng, P. Research on Optimal Planning of Distribution Network with Multi-microgrids Based on the Improved Minimum Spanning Tree Algorithm. In Proceedings of the 2022 Asian Conference on Frontiers of Power and Energy (ACFPE), Shanghai, China, 21–23 October 2022; IEEE: New York, NY, USA, 2022; pp. 7–12. [Google Scholar] [CrossRef]
- Lin, T.; Wu, G.; Zheng, J.; Chen, H.; Song, Q.; Ni, S. A Method for High-voltage Distribution Network Structure Planning Based on the Optimal Division of Power Supply Units. In Proceedings of the 2020 IEEE 4th Conference on Energy Internet and Energy System Integration (EI2), Wuhan, China, 30 October–1 November 2020; IEEE: New York, NY, USA, 2020; pp. 4021–4026. [Google Scholar] [CrossRef]
- Montoya, O.D.; Grajales, A.; Hincapie, R.A.; Granada, M.; Gallego, R.A. Methodology for optimal distribution system planning considering automatic reclosers to improve reliability indices. In Proceedings of the 2014 IEEE PES Transmission and Distribution Conference and Exposition, PES T and D-LA 2014—Conference Proceedings, Medellin, Colombia, 10–13 September 2014; IEEE: New York, NY, USA, 2014; pp. 1–6. [Google Scholar] [CrossRef]
- Macedo, L.H.; Ortega-Vazquez, M.A.; Romero, R. Optimal Distribution Systems Expansion Planning for Improving Service Restoration. In Proceedings of the 2018 IEEE PES Transmission & Distribution Conference and Exhibition—Latin America (T&D-LA), Lima, Peru, 18–21 September 2018; IEEE: New York, NY, USA, 2018; pp. 1–5. [Google Scholar] [CrossRef]
- Karmakar, N.; Bhattacharyya, B. Optimal reactive power planning in power transmission network using sensitivity based bi-level strategy. Sustain. Energy Grids Netw. 2020, 23, 100383. [Google Scholar] [CrossRef]
- Montoya, O.D.; Garces, A.; Castro, C.A. Optimal Conductor Size Selection in Radial Distribution Networks Using a Mixed-Integer Non-Linear Programming Formulation. IEEE Lat. Am. Trans. 2018, 16, 2213–2220. [Google Scholar] [CrossRef]
- Ponce, A.; Águila, A. Análisis Multicriterio Para la Selección Óptima de Conductores en Instalaciones Eléctricas en Medio y Bajo Voltaje Considerando Criterios Económicos, de Calidad y Eficiencia de la Potencia Eléctrica. Bachelor’s Thesis, Universidad Politécnica Salesiana, Cuenca, Ecuador, 2022. [Google Scholar]
- Momoh, I.O.; Jibril, Y.; Jimoh, B.; Abubakar, A.S.; Ajayi, O.; Abubakar, A.; Sulaiman, S.H.; Yusuf, S.S. Effect of an Optimal Conductor Size Selection Scheme for Single Wire Earth Return Power Distribution Networks For Rural Electrification. J. Sci. Technol. Educ. 2019, 3, 286–295. [Google Scholar]
- Jamil, U.; Qayyum, N.; Mahmood, A.; Amin, A. Control Grid Strategies for Reduction of Real and Reactive Line Losses in Radial Power Distribution System. In Proceedings of the 2019 International Conference on Electrical, Communication, and Computer Engineering (ICECCE), Swat, Pakistan, 24–25 July 2019; IEEE: New York, NY, USA, 2019; pp. 1–5. [Google Scholar] [CrossRef]
- Diemuodeke, E.O.; Addo, A.; Oko, C.O.C.; Mulugetta, Y.; Ojapah, M.M. Optimal mapping of hybrid renewable energy systems for locations using multi-criteria decision-making algorithm. Renew. Energy 2019, 134, 461–477. [Google Scholar] [CrossRef]
- Águila, A.; Ortiz, L.; Orizondo, R.; López, G. Optimal location and dimensioning of capacitors in microgrids using a multicriteria decision algorithm. Heliyon 2021, 7, e08061. [Google Scholar] [CrossRef] [PubMed]
- Ortiz-Matos, L.; Aguila-Tellez, A.; Hincapié-Reyes, R.C.; González-Sanchez, J.W. Multi-Criteria Optimization of the Deployment of a Grid for Rural Electrification Based on a Heuristic Method. In IOP Conference Series: Earth and Environmental Science; IOP Publishing: Bristol, England, 2017; Volume 73, p. 012020. [Google Scholar] [CrossRef]
- Youssef, K.H. Optimal Routing and Design of Radial Medium Voltage Power Distribution Networks Considering Cables Short Circuit Withstand-Capacity. IEEE Trans. Power Deliv. 2022, 37, 2429–2439. [Google Scholar] [CrossRef]
- Trpovski, A.; Banerjee, P.; Xu, Y.; Hamacher, T. A Hybrid Optimization Method for Distribution System Expansion Planning with Lithium-ion Battery Energy Storage Systems. In Proceedings of the 2020 IEEE Sustainable Power and Energy Conference (iSPEC), Chengdu, China, 23–25 November 2020; IEEE: New York, NY, USA, 2020; pp. 2015–2021. [Google Scholar] [CrossRef]
- Inga, E.; Campaña, M.; Hincapié, R.; Moscoso-Zea, O. Optimal Dimensioning of Electrical Distribution Networks Considering Stochastic Load Demand and Voltage Levels. In Proceedings of the IEEE Colombian Conference on Applications in Computational Intelligence, Medellín, Colombia, 16–18 May 2018; Springer International Publishing: Cham, Switzerland, 2018; pp. 200–215. [Google Scholar] [CrossRef]
- Farrag, M.A.; Khalil, A.H.; Omran, S. Optimal conductor selection and capacitor placement in radial distribution system using nonlinear AC load flow equations and dynamic load model. Int. Trans. Electr. Energy Syst. 2020, 30, e12316. [Google Scholar] [CrossRef]
- Mohanty, S.; Kasturi, K.; Nayak, M.R. Application of ER-WCA to Determine Conductor Size for Performance Improvement in Distribution System. In Proceedings of the 2021 International Conference on Advances in Electrical, Computing, Communication and Sustainable Technologies (ICAECT), Bhilai, India,, 19–20 February 2021; IEEE: New York, NY, USA, 2021; pp. 1–5. [Google Scholar] [CrossRef]
- Montoya, O.D.; Grajales, A.; Hincapié, R.A. Selección óptima de conductores en sistemas de distribución empleando el algoritmo búsqueda tabú. Ingeniare. Rev. Chil. Ing. 2018, 26, 283–295. [Google Scholar] [CrossRef]
- Sambaiah, K.S.; Jayabarathi, T. Loss minimization techniques for optimal operation and planning of distribution systems: A review of different methodologies. Int. Trans. Electr. Energy Syst. 2020, 30, e12230. [Google Scholar] [CrossRef]
- Ismael, S.M.; Aleem, S.H.E.A.; Abdelaziz, A.Y. Optimal conductor selection in radial distribution systems using whale optimization algorithm. J. Eng. Sci. Technol. 2019, 14, 87–107. [Google Scholar]
- Patel, T.K.; Panda, P.C.; Swain, S.C.; Mohanty, S.K. A fault detection technique in transmission line by using discrete wavelet transform. In Proceedings of the 2017 2nd IEEE International Conference on Electrical, Computer and Communication Technologies, ICECCT 2017, Tamil Nadu, India, 22–24 February 2017; IEEE: New York, NY, USA, 2017; Volume 751024, pp. 1–6. [Google Scholar] [CrossRef]
- Chakavorty, J.; Gupta, M. A New Method of Load−Flow Solution of Radial Distribution Networks. Int. J. Electron. Commun. Eng. 2012, 5, 9–22. [Google Scholar]
- Aguila, A.T.; Ortiz, L.M.; Ruiz, M.; Narayanan, K.; Varela, S. Optimal Location of Reclosers in Electrical Distribution Systems Considering Multicriteria Decision Through the Generation of Scenarios Using the Montecarlo Method. IEEE Access 2023, 11, 68853–68871. [Google Scholar] [CrossRef]
- Guanochanga, E.; Águila, A.; Ortiz, L. Multicriteria analysis for optimal reconfiguration of a distribution network in case of failures. Heliyon 2023, 9, e13723. [Google Scholar] [CrossRef] [PubMed]
- Téllez, A.A. Optimización Multicriterio de Flujos de Potencia Reactiva en Sistemas Eléctricos de Distribución. Ph.D. Thesis, Universidad Pontificia Bolivariana, Medellín, Colombia, 2021. [Google Scholar]
- Téllez, A.Á.; López, G.; Isaac, I.; González, J.W. Optimal reactive power compensation in electrical distribution systems with distributed resources. Review. Heliyon 2018, 4, e00746. [Google Scholar] [CrossRef] [PubMed]














| Calculated Scenario | Voltage Deviation (kV) | Active Losses (kW) | Reactive Losses (kVA) | Cost |
|---|---|---|---|---|
| 147 | 0.0314 | 3.2375 | 14.7975 | 637 |
| 168 | 0.0313 | 3.2242 | 14.7208 | 638 |
| 189 | 0.0307 | 2.9701 | 14.7190 | 639 |
| 210 | 0.0305 | 2.9603 | 14.6563 | 640 |
| Calculated Scenario | Voltage Deviation (kV) | Active Losses (kW) | Reactive Losses (kVA) | Cost |
|---|---|---|---|---|
| 190 | 0.0183 | 0.9261 | 2.0622 | 10.000 |
| 198 | 0.0157 | 0.5771 | 1.9485 | 78.5714 |
| 210 | 0.0120 | 0.2429 | 1.6564 | 181.42 |
Disclaimer/Publisher’s Note: The statements, opinions and data contained in all publications are solely those of the individual author(s) and contributor(s) and not of MDPI and/or the editor(s). MDPI and/or the editor(s) disclaim responsibility for any injury to people or property resulting from any ideas, methods, instructions or products referred to in the content. |
© 2023 by the authors. Licensee MDPI, Basel, Switzerland. This article is an open access article distributed under the terms and conditions of the Creative Commons Attribution (CC BY) license (https://creativecommons.org/licenses/by/4.0/).
Share and Cite
Ponce, D.; Aguila Téllez, A.; Krishnan, N. Optimal Selection of Conductors in Distribution System Designs Using Multi-Criteria Decision. Energies 2023, 16, 7167. https://doi.org/10.3390/en16207167
Ponce D, Aguila Téllez A, Krishnan N. Optimal Selection of Conductors in Distribution System Designs Using Multi-Criteria Decision. Energies. 2023; 16(20):7167. https://doi.org/10.3390/en16207167
Chicago/Turabian StylePonce, Diego, Alexander Aguila Téllez, and Narayanan Krishnan. 2023. "Optimal Selection of Conductors in Distribution System Designs Using Multi-Criteria Decision" Energies 16, no. 20: 7167. https://doi.org/10.3390/en16207167
APA StylePonce, D., Aguila Téllez, A., & Krishnan, N. (2023). Optimal Selection of Conductors in Distribution System Designs Using Multi-Criteria Decision. Energies, 16(20), 7167. https://doi.org/10.3390/en16207167

