Abstract
Promoting efficiency of liquid–liquid extraction at a high pH is a main challenge for the recovery of volatile fatty acids (VFAs) from organic wastes. In this study, the extraction efficiency of VFAs from artificial solution and acidification fermentation broth of kitchen wastes using ionic liquids (ILs) was assessed at high pH. The effect of ILs addition ratio in diluent, volumetric solvent to feed ratio (S/F) on extraction efficiency were investigated. The solvent consists of [P666,14][Cl] (IL101) and dodecane was found to be the promising solvent for VFA extraction at pH 6.0, especially for butyric acid. The IL-101 ratio in dodecane and S/F was significant factors for the liquid–liquid extraction of VFAs. In general, a higher IL-101 ratio and S/F can promote the extraction efficiency of single VFAs. As a result, the maximum extraction rate of acetic acid (38.4–49.9%) and butyric acid (66.0–92.1%) from different VFA concentration solutions was observed at 10% IL-101 in dodecane and S/F = 2/1. The solvent was also effective in different types of real fermentation broth of kitchen wastes. The maximum extraction rate and selectivity of butyric acid was 60.2%/70.5% in butyric acid type broth and 74.6%/62.7% in mixture acid type broth.
1. Introduction
Volatile fatty acids (VFAs) refer to short chain carboxylic acids, such as acetic acid, propionic acid, butyric acid, and valeric acid. VFAs can not only be directly extracted and used in food, pharmaceutical, and other industries but also used as an important platform compound, which can be used as raw materials to further prepare biofuels and high value-added chemicals [1]. The potential uses of VFAs are: (1) As a carbon source for removing nutrients, such as N and P in sewage [2]; (2) Further fermentation to prepare medium chain fatty acids [3]; (3) Fermentation to produce biodegradable polymer [4]; (4) As a raw material for microbial hydrogen production [5]; and (5) As raw materials to prepare biodiesel and other biofuels [6,7]. Presently, commercial production of VFAs is mainly achieved through chemical pathways [8]. However, the non-renewable characteristics of petrochemical raw materials and their processing have caused some environmental problems [9]. In response to the environmental problems caused by VFA production, there has been renewed interest in biological VFA production [10,11]. This includes the use of organic waste to produce VFAs through anaerobic fermentation, which is recyclable and sustainable.
To produce VFAs from organic wastes, it is important to improve the production of VFAs through the optimization of fermentation conditions and microorganisms [12,13]. Furthermore, the effective recovery of VFAs from the fermentation broth is a main obstacle for producing VFAs from organic wastes [14]. Owing to the complex composition of the fermentation broth, it is more difficult the VFAs recovery process in the fermentation broth than that in the petrochemical industry [15,16]. The main extraction methods used for anaerobic acid-producing fermentation broth include liquid–liquid extraction, membrane separation, adsorption, electrodialysis, ion exchange, and gas extraction [17,18,19,20]. Liquid–liquid extraction is a common separation method, which has the advantages of good separation efficiency and can separate VFAs in a low concentration fermentation broth [21,22,23,24]. Mostafa used tri-n-octyl phosphine oxide (TOPO, 20%) and kerosene (80%) as extractant and diluent, respectively, to recover VFAs [25]. The extraction rate of VFAs in the fermentation broth reached 75% under the optimum condition. Alkaya used 20% TOPO + kerosene as an organic phase to recover VFAs from the anaerobic acidification solution with beet processing waste as substrate [26]. Owing to less VFAs in the non-dissociated state, a higher pH was unfavorable for extraction. When pH was up to 5.5, the total recovery efficiency drops from 67% (pH = 2.5) to 32%. Reyhanitash et al. used trioctylamine (TOA) and other ionic liquids (ILs) as extractants to recover VFAs [27]. They found that the pH value could significantly affect the extraction rate of VFAs. For liquid–liquid extraction, an undissociated state of VFAs and lower pH than pKa (Acid dissociation constants) of VFAs is required [28]. However, the pH of fermentation broth is often higher than the pKa of VFAs. A main challenge for the recovery of VFAs from fermented broth remains that the pH, which is suitable for acidogenic anaerobic microorganisms function, is typically too high for effective extraction [29]. Finding a method to extract VFAs at relatively high pH values, between 5 and 7, is important [26].
ILs extractant is an environmentally friendly extractant with high thermal stability and low volatilization [30]. Therefore, two kinds of quaternary phosphine ILs ([P666,14][Cl] and [P666,14][Phos]) and three kinds of diluents were selected in this experiment to study the extraction efficiency of VFAs from the anaerobic fermentation broth of kitchen waste. The effects of pH, ratio of ILs addition, volumetric solvent to feed ratio (S/F), and VFA concentration were also studied using artificial solution. The result could find an effective method for liquid–liquid extraction of VFAs from anaerobic fermentation broth at relatively high pH values.
2. Materials and Methods
2.1. Chemicals
Acetic acid (>99.5%), n-butyric acid (>99.0%), trioctylamine (>98.0%), n-octanol (>99.0%), dodecane (>98.0%), mineral oil (25cSt, 40 °C) were purchased from Shanghai Maclin Biochemical Technology Co., Ltd, (Shanghai, China). [P666,14][Cl] (Cyphos® IL101, >95.0%), [P666,14][Phos] (Cyphos® IL104, >90.0%) were purchased from Sigma-Aldrich (Burlington, MA, USA).
2.2. Inoculum and Substrates
Kitchen wastes were obtained from the dining hall of Guangzhou Institute of Energy conversion. The raw materials were crushed by the shredder (DXF-20C, Guangzhou, China) for 1 min after manually removing impurities and then were stored at −20 °C in a refrigerator for future use. The inoculum was obtained from the mesophilic anaerobic reactor which had been acclimated for a long-time using kitchen wastes to produce biogas. The inoculum was heated at 90 °C for 1 h to inhibit methanogenesis activity. The physical and chemical properties of substrate and inoculum are shown in Table 1.
Table 1.
Physicochemical properties of substrate and inoculum.
2.3. Experiment Setup
2.3.1. Extraction of VFAs with Different Extraction Agent
The concentration of acetic acid and butyric acid artificial solution was 10.0 g/L. The pH of the solution was adjusted to 3, 4, 5, and 6 using 4 M KOH before extraction. To extract using different extractants, 20% IL-101 or IL-104 were added to dodecane to be solvents, respectively. In the control group, 20% TOA in n-octanol was used as solvent. In the second experiment, n-octanol, dodecane, and mineral oil were used as different diluents for extraction. No extractant was added to one group, whereas 20% IL-101 was added to the diluent as extractant. Liquid–liquid extraction experiments were performed at the volumetric S/F of 1/1 using 3 mL of the feed. The mixtures were shaken in a constant temperature shaker (30 ± 1 °C, >300 rpm) for 120 min. Then, different phases were separated using a centrifuge (10,000 rpm for 5 min) and sampled for analysis. All treatments were performed in triplicate.
2.3.2. Extraction Efficiencies of Single VFAs at Different Conditions
IL-101 + dodecane was used as solvents to extract acetic acid and butyric acid from the artificial solution, whose concentrations were 2.0, 5.0, and 10.0 g/L. The pH was adjusted to 6.0 before extraction. The addition ratio of IL-101 were 2%, 4%, 6%, 8%, and 10% and S/F were 1/2, 1/1, and 2/1.
2.3.3. Acidification and VFA Production
The fermentation trials were carried out in a 2000 mL glass bottle with an operating volume of 1500 mL at a mesophilic temperature of 37 °C. Substrates of 1200 mL inoculum and 8.0 gVS /100 mL inoculum were added into reactors. The initial pH of the system was adjusted to 5, 7 and 10 using 4 M HCl and 4 M KOH before fermentation. Nitrogen was flushed into flask for 5 min to ensure anaerobic environment. The experiment lasted for 7 days. Before extraction, the broth was separated using a centrifuge (10,000 rpm for 5 min).
2.3.4. Liquid–Liquid Extraction of VFAs from Fermentation Broth
IL101+dodecane was used as solvents to extract VFAs from fermentation broth. The ratio of IL101 in dodecane set as 4% and 8% and S/F was 2/1, respectively. As a comparison, the artificial solution with same acid concentration and pH were also used for extraction experiments. All treatments were performed in triplicate.
2.4. Analytical Methods
TS, VS and pH were determined by previous methods [31]. VFAs and ethanol were determined by gas chromatography (GC9790Plus, FULI INSTRUMENS, Fuli, China) with Agilent DB-FFAP capillary column (30 m × 0.32 mm × 0.25 mm, Santa Clara, CA, USA). The operation conditions of GC were determined by previous methods [32]. VFAs concentrations of solvent phase were determined by mass balance.
Extraction rate (ER) represents the proportion of a certain VFAs extracted from the aqueous phase into the solvent phase when the extraction reaches equilibrium.
where Cin (mg/L) and Vin (mL) represent VFAs concentration and volume of initial feed solution; Csol (mg/L) and Vsol (mL) represent VFAs concentration and volume of solvent after extraction.
3. Results and Discussion
3.1. Extraction of Single VFAs with Different Extraction Agent
The extraction efficiency of the extractant on acetic acid and butyric acid under different pH conditions is shown in Figure 1. The TOA + n-octanol solvent is a common VFA extractant. As shown in Figure 1, the TOA + n-octanol solvent has good extraction efficiency of acetic acid and butyric acid at pH 3 with the extraction rates reaching 83.5 ± 2.5% and 92.7 ± 0.7%, respectively. With the increase in pH, the extraction rate decreased rapidly. When the pH was 6, the extraction rates of acetic acid and butyric acid were only 11.2 ± 3.8% and 27.8 ± 0.4%, respectively. Similarly, the maximum extraction rates of acetic acid and butyric acid were 89.8 ± 0.2% and 90.6 ± 0.1%, respectively, at pH 3 when using IL-104 + dodecane as the solvent. However, the extraction rates of acetic acid and butyric acid decreased to 14.6 ± 3.8% and 11.5 ± 1.8% when pH increased to 6. For these two solvents, VFAs mainly exist in molecular form, which is conducive to the separation in the solution when pH < pKa (4.76 for acetic acid and 4.82 for butyric acid), while the ionic state is dominant, which is not conducive to the extraction of organic solvents when pH > pKa [33]. Compared with the above mentioned two solvents, the extraction efficiency of VFAs using IL-101 + dodecane was less affected by pH, especially butyric acid. Although the extraction rate of acetic acid decreased from 63.2 ± 0.5% to 46.6 ± 3.6% when pH was up to 6, it is still higher than TOA + n-octanol and IL-104 + dodecane. The extraction rate of butyric acid is always above 95%, which is not influenced by the pH. According to Tamada and King (1990), high hydrophobicity may result in this greater efficiency for liquid–liquid extraction of longer chain VFAs [34]. Ion exchange and intermolecular interactions (e.g., hydrogen bonding) may be responsible for extracting VFAs. However, the extraction of VFAs is affected by other parameters, such as functional groups and steric hindrance [26,35]. Under the combined influence of these factors, IL-101 showed better extraction performance than IL-104 for effective extraction at a higher pH and selective extraction of butyric acid.
Figure 1.
Extraction rates of acetic acid (a) and butyric acid (b) using different solvents at different pH.
To determine the influence of different diluents on extraction efficiency, the extraction rate of acetic acid and butyric acid were investigated. As shown in Figure 2a, all diluents could extract acetic acid without IL addition. The extraction rates of acetic acid by n-octanol and dodecane decreased with the increase in pH, and the extraction rate decreased to 27.7 ± 0.3% and 19.8 ± 1.9% at pH 6, respectively. The extraction rate of acetic acid for mineral oil not sensitive to pH is much lower than that of n-octanol and dodecane. After adding IL-101, the extraction rate can be improved at all pH conditions. The extraction using IL-101 + n-octanol became insensitive to the pH. The extraction rate of acetic acid still reached 64.3 ± 2.5% when the pH was 6. The extraction rate for IL-101 + dodecane decreased with the increase in pH. The extraction rate of acetic acid was 46.6 ± 3.6% at pH 6, which was only 70.6% of that at pH 3. The extraction rate of acetic acid by IL-101 + mineral oil was still lower than 40%.
Figure 2.
Extraction rates of acetic acid (a) and butyric acid (b) using IL 101 with different diluents.
As shown in Figure 2b, all diluents could extract butyric acid without IL addition. However, the extraction rate decreased with the increase in pH. The extraction rates for n-octanol, dodecane, and mineral oil decreased from 90.3 ± 0.2%, 52.7 ± 0.2%, and 24.2 ± 5.1% at pH 3 to 29.2 ± 3.0%, 27.3 ± 1.4%, and 2.6 ± 1.9% at pH 6, respectively. After adding IL-101 to the diluent, the effect of pH on extraction efficiency reduced significantly. Particularly at high pH, higher extraction rates were obtained. The extraction rates for IL-101 + n-octanol, IL-101 + dodecane, and IL-101 + mineral oil reached 82.8 ± 0.3%, 94.6 ± 0.5%, and 62.0 ± 3.8%, respectively. The extraction efficiency of VFAs by IL 101+ dodecane in this study was relatively higher than the previous report which using deep eutectic solvents as extractant to extract VFAs at high pH value [36].
At a higher pH, IL-101 + n-octanol and IL-101 + dodecane have great extraction ability and can be used for acetic acid separation. However, IL-101 + dodecane also presented impressive butyric acid extraction. As the value of butyric acid is usually higher than that of acetic acid, butyric acid extraction should always be preferred in the fermentation broth. Therefore, IL-101 + dodecane may be more favorable for hybrid VFAs owing to its selectivity of butyric acid.
3.2. Extraction Efficiencies of Single VFAs at Different Conditions
The effects of different conditions (ratio of IL addition and volumetric S/F) on extraction efficiencies of different concentrations of acetic acid and butyric acid were studied. The extraction efficiency of acetic acid is shown in Figure 3a. Under all acetic acid concentrations, the extraction rate increased with the increase in IL-101 ratio, and a higher S/F was beneficial to obtain a higher extraction rate. At the concentration of 2 g/L acetic acid, the highest extraction rate was only 38.4 ± 0.7% when S/F was 2/1 and the addition ratio of IL-101 was 10%. With the increase in acetic acid concentration, the extraction rate also increased. When the acetic acid concentration was 5 g/L, the extraction rate improved, i.e., 29.8 ± 1.5%–39.8 ± 1.1% (S/F = 1/2), 34.3 ± 0.7%–46.0 ± 4.2% (S/F =1/1), and 33.4 ± 0.3%–46.6 ± 7.4% (S/F = 2/1). Under this condition, there is little difference in extraction rates between S/F = 1/1 and 2/1, and the highest extraction rates can reach more than 46%, which was more than 20% higher than that of low acetic acid concentration. When the acetic acid concentration was up to 10 g/L, the extraction rates were 29.3 ± 1.0%–37.9 ± 1.6% (S/F = 1/2), 34.2 ± 0.7%–44.6 ± 0.2% (S/F = 1/1) and 31.2 ± 0.9%–49.9 ± 2.1% (S/F = 2/1). Under these conditions, the maximum extraction rate was obtained when the addition ratio of IL-101 was 10% and S/F = 2/1, which was slightly higher than that at S/F = 1/1.
Figure 3.
Effect of ratio of IL addition and S/F on extraction efficiency at different VFA concentration (a) acetic acid; (b) butyric acid.
The extraction efficiency of butyric acid at different concentrations is shown in Figure 3b. Similar to acetic acid, the extraction rate increased with the increase in IL-101 ratio, and a higher S/F was beneficial to obtain a higher extraction rate. The extraction efficiency of butyric acid was obviously better than that of acetic acid. When the concentration of butyric acid was 2 g/L and S/F = 2/1, the extraction rate of butyric acid was 53.6 ± 1.8%–92.1 ± 1.1%, and the maximum extraction rate was 1.85 times that of acetic acid. Different from acetic acid, the extraction rate of butyric acid decreased with the increase in butyric acid concentration. When the concentration of butyric acid was 5 g/L, the extraction rates were 35.4 ± 2.9%–64.0 ± 2.4% (S/F = 1/2), 47.6 ± 0.4%–73.0 ± 1.9% (S/F = 1/1), and 62.0 ± 6.4%–81.5 ± 1.5% (S/F = 2/1). The maximum extraction rate decreased by more than 10% compared to the low concentration butyric acid. When the concentration of butyric acid was 10 g/L, the extraction efficiency further decreased at high S/F values of 1/1 and 2/1, and the maximum extraction rates were 62.0 ± 2.2% and 66.0 ± 1.5%, respectively. For high concentration butyric acid extraction, S/F has little influence on the maximum extraction efficiency.
When extracting low concentration butyric acid, adding 10% IL-101 can achieve more than 90% extraction rate. Although the extraction rate decreased when 5 g/L butyric acid was extracted, adding 10% IL-101 could still achieve more than 80% extraction rate. However, when the extraction concentration of butyric acid was higher, the extraction efficiency significantly decreased, and adding 10% IL-101 was not sufficient to obtain a higher extraction rate.
3.3. Extraction Efficiencies of VFAs from Acidification Broth
Adjusting the initial pH value is an effective method to increase VFA production and regulate composition [37]. pH is also an important factor in VFA extraction. The concentrations of VFAs at different pH are shown in Table 2. At the end of fermentation, the concentration of VFAs and ethanol was 2.95 g/L at pHin = 5, which is much lower than pHin = 7 and 10. For this condition, the proportion of acetic acid was 78.3% and butyric acid was not detected. When the initial pH was 7, the concentration of VFAs and ethanol in fermentation broth increased significantly, reaching 9.28 g/L. Additionally, the VFA composition changed. Butyric and acetic acids accounted for 51.39% and 29.89% in total VFA amount, respectively, which is typical for butyric acid fermentation [38]. Under alkaline conditions (pHin = 10), the concentration of VFAs and ethanol in the fermentation broth continued to increase, and the concentration of fermentation products reached 19.52 g/L. The production of VFAs and ethanol was much higher than that in neutral or acidic fermentation broth. In this broth, the proportion of acetic acid and butyric acid was 49.22% and 29.99%, respectively, which is typical for mixture acid fermentation broth [38].
Table 2.
VFAs content in different type fermentation broth.
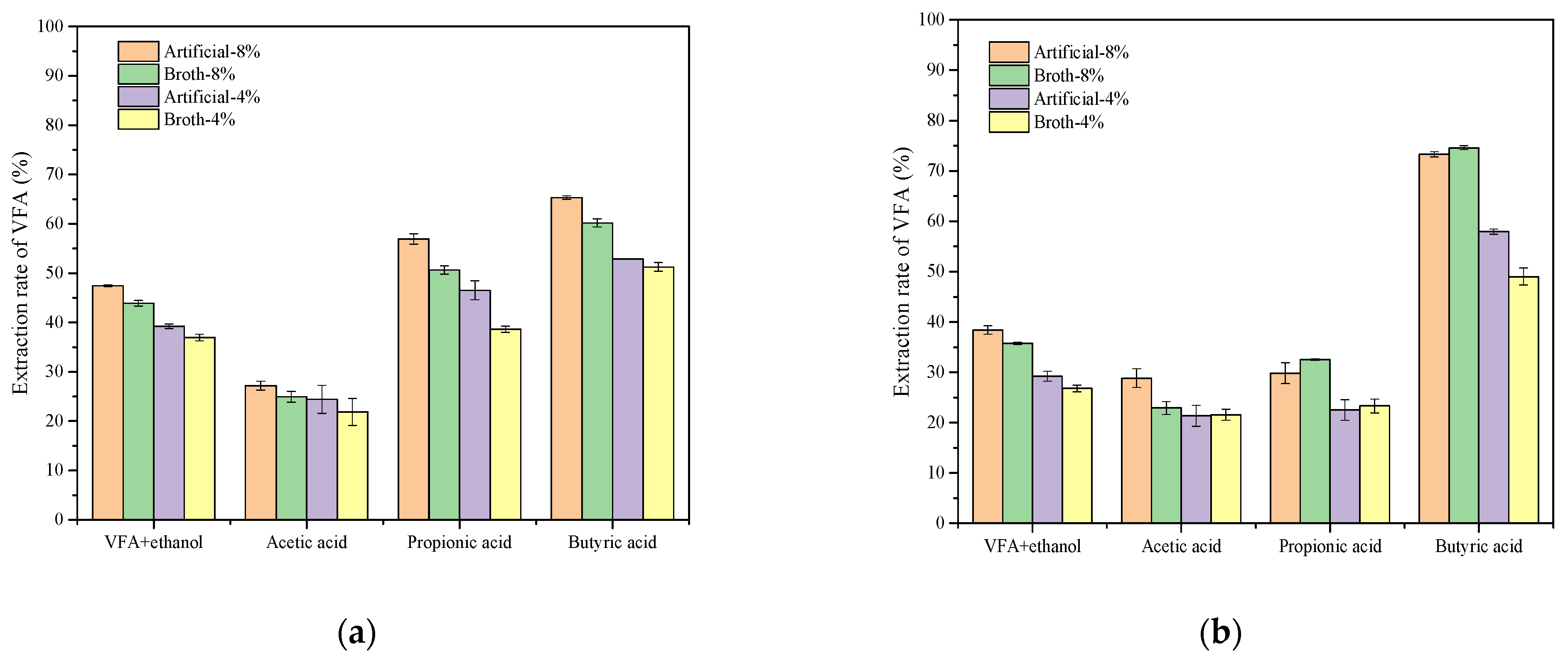
The high butyric acid content was obtained at pH 7 and 10 with different acetic acid proportions. The broth and its corresponding artificial solution, which is called “butyric acid type” (pHin = 7) and “mixture acid type” (pHin = 10), was used for extraction experiments, and the results are shown in Figure 4 and Figure 5. When the butyric acid type artificial solution was extracted using 8% IL-101 solvent in dodecane, the extraction rate of VFAs and ethanol, butyric acid, acetic acid, and propionic acid were 47.5%, 65.3 ± 0.4%, 27.2 ± 0.9%, and 56.9 ± 1.0%, respectively. After extraction, butyric acid, acetic acid, and propionic acid accounted for 70.8%, 17.1%, and 11.8% of total VFA in the solvent phase, respectively. For the butyric acid type fermentation broth, the total extraction rates of VFAs and ethanol, butyric acid, acetic acid, and propionic acid were 43.9%, 60.2 ± 0.8%, 25.0 ± 1.1%, and 50.7 ± 0.9%, respectively. Owing to the complex composition of fermentation broth, which may contain monosaccharides or other acids, the extraction rate of VFAs and butyric acid slightly decreased in the fermentation broth. However, the extraction rate of VFAs was still more than 90% of that in the artificial solution. IL-101 + dodecane could effectively extract VFAs in the real fermentation broth. After extraction. butyric acid, acetic acid, and propionic acid accounted for 70.5%, 17.0%, and 11.4% of total VFA in the solvent phase, respectively. Butyric acid has better extraction selectivity, whereas acetic acid and propionic acid maintain a lower proportion. Emrah Alkaya et al. used TOPO + kerosene to extract Beet-pulp anaerobic acidifying solution at pH 5.5 [26]. They found that butyric acid also has better extraction selectivity, but its extraction rate is lower than 50%, which was lower than this study.
Figure 4.
Extraction rates of VFA from different type fermentation broth and artificial solution ((a) butyric acid type; (b) mixture acid type).
Figure 5.
The composition of VFA in solvent phase after extraction.
When the mixture acid type artificial solution was extracted using 8% IL-101 solvent in dodecane, the extraction rate of VFAs and ethanol, butyric acid, acetic acid, and propionic acid were 38.4%, 73.3 ± 0.5%, 28.8 ± 1.9%, and 29.8 ± 2.1%, respectively. After extraction. butyric acid, acetic acid, and propionic acid accounted for 57.3%, 37.0%, and 3.9% of total VFA in the solvent phase, respectively. For the mixture acid type fermentation broth, the total extraction rate of VFAs and ethanol, butyric acid, acetic acid, and propionic acid were 35.7%, 74.6 ± 0.4%, 22.9 ± 1.3%, and 32.5 ± 0.1%, respectively. There was little loss of extraction efficiency in the fermentation broth. The extraction efficiency of butyric acid from real fermented broth was close to that in a previous report which used octanoic acid as extractant to extract single acid from artificial solution at pH 3 [39].
Compared with the butyric acid type fermentation broth, the extraction rate of total VFAs and ethanol from mixture acid type fermentation broth decreased by 17.9%, which may result from the higher concentration of VFAs and higher pH. However, the extraction rate of butyric acid was 1.4 times of that in butyric acid type fermentation broth. However, the proportion of acetic acid in the solvent phase reached 31.6%, whereas that of butyric acid decreased to 62.7%. This may be due to the higher concentration of acetic acid in broth, which was more than three times of that in the butyric acid fermentation broth. This shows that the concentration and type of VFAs in the fermentation broth can affect the extraction efficiency and selectivity. Both “butyric acid type” and “mixture acid type” broth can obtain a higher extraction efficiency for longer chain VFAs, such as butyric acid.
When the ratio of IL-101 in dodecane was reduced to 4%, the extraction rate of VFAs and ethanol in butyric acid and mixture acid type broth decreased to 37.0% and 26.8%, respectively, which was only 84.3% and 75.1% of that when using 8% IL-101 solvent in dodecane. The extraction rate of butyric acid significantly decreased, i.e., by 14.8% in butyric acid type broth and 34.3% in mixture acid type broth. The extraction rate of butyric acid was significantly affected by reducing the addition of IL-101 in the mixture acid type broth. This may be related to high acetic acid concentration, which may compete with butyric acid when IL-101 was limited. The extraction rate of acetic acid decreased by 12.4% in the butyric acid type broth, but had no significant change in mixture acid type broth extraction. Additionally, with the decrease in IL-101 ratio, there was little change in the butyric acid selectivity for extraction in butyric acid type broth. However, the butyric acid selectivity significantly decreased for extraction in mixture acid type broth, which was unfavorable to extraction of butyric acid.
4. Conclusions
To find an effective extractant to recover VFAs from anaerobic fermentation broth at relatively high pH values, several ILs and organic diluents were used to investigate the effect on extraction efficiency in artificial and real fermentation broth. We observed that the solvent consists of IL-101, and dodecane can extract VFAs effectively at pH 6.0. Particularly, IL-101 + dodecane presented a great performance in butyric acid extraction efficiency, which was above 90%. For acetic acid and butyric acid extraction, the effect of IL-101 ratio in dodecane was as crucial as the effect of S/F on the recovery of VFAs. In general, a higher IL-101 ratio and S/F can promote the extraction efficiency of single VFAs. The solvent was also effective in a hybrid VFA system, and different types of real broth were derived from kitchen wastes acidification fermentation. Furthermore, it showed a favorable selectivity for butyric acid. The maximum extraction rate and selectivity of butyric acid was 60.2%/70.5% in butyric acid type broth and 74.6%/62.7% in mixture acid type broth.
Author Contributions
Conceptualization, T.X. and X.K.; methodology, T.X. and S.Y.; software, J.T.; validation, T.X. and S.Y.; formal analysis, J.T.; investigation, H.L.; resources, F.Z.; data curation, S.Y.; writing—original draft preparation, T.X.; writing—review and editing, T.X. and X.K.; visualization, J.T.; supervision, X.K. and Y.S.; project administration, Y.S.; funding acquisition, F.Z. and X.K. All authors have read and agreed to the published version of the manuscript.
Funding
This research was funded by the National Natural Science Foundation of China, grant number 21978289; Key R & D project of Heilongjiang Province, grant number GY2021ZB0253; and the Technological Project of Heilongjiang Province “the open competition mechanism to select the best candidates”, grant number 2022ZXJ05C01.
Data Availability Statement
The data presented in this study are available on request from the corresponding author.
Acknowledgments
We thank all our colleagues for their recommendations and support during this study.
Conflicts of Interest
The authors declare no conflict of interest. The funders had no role in the design of the study; in the collection, analyses, or interpretation of data; in the writing of the manuscript; or in the decision to publish the results.
References
- Atasoy, M.; Owusu-Agyeman, I.; Plaza, E.; Cetecioglu, Z. Bio-based volatile fatty acid production and recovery from waste streams: Current status and future challenges. Bioresour. Technol. 2018, 268, 773–786. [Google Scholar] [CrossRef] [PubMed]
- Zheng, X.; Chen, Y.; Liu, C. Waste Activated Sludge Alkaline Fermentation Liquid as Carbon Source for Biological Nutrients Removal in Anaerobic Followed by Alternating Aerobic-Anoxic Sequencing Batch Reactors. Chin. J. Chem. Eng. 2010, 18, 478–485. [Google Scholar] [CrossRef]
- Spirito, C.M.; Richter, H.; Rabaey, K.; Stams, A.J.M.; Angenent, L.T. Chain elongation in anaerobic reactor microbiomes to recover resources from waste. Curr. Opin. Biotechnol. 2014, 27, 115–122. [Google Scholar] [CrossRef] [PubMed]
- Akaraonye, E.; Keshavarz, T.; Roy, I. Production of polyhydroxyalkanoates: The future green materials of choice. J. Chem. Technol. Biotechnol. 2010, 85, 732–743. [Google Scholar] [CrossRef]
- Uyar, B.; Eroglu, I.; Yücel, M.; Gündüz, U. Photofermentative hydrogen production from volatile fatty acids present in dark fermentation effluents. Int. J. Hydrog. Energy 2009, 34, 4517–4523. [Google Scholar] [CrossRef]
- Bhatt, A.H.; Ren, Z.J.; Tao, L. Value Proposition of Untapped Wet Wastes: Carboxylic Acid Production through Anaerobic Digestion. iScience 2020, 23, 101221. [Google Scholar] [CrossRef]
- Choi, J.D.; Chang, H.N.; Han, J.I. Performance of microbial fuel cell with volatile fatty acids from food wastes. Biotechnol. Lett. 2011, 33, 705–714. [Google Scholar] [CrossRef]
- Huang, Y.L.; Wu, Z.; Zhang, L.; Ming Cheung, C.; Yang, S.-T. Production of carboxylic acids from hydrolyzed corn meal by immobilized cell fermentation in a fibrous-bed bioreactor. Bioresour. Technol. 2002, 82, 51–59. [Google Scholar] [CrossRef]
- Den Boer, E.; Lukaszewska, A.; Kluczkiewicz, W.; Lewandowska, D.; King, K.; Reijonen, T.; Kuhmonen, T.; Suhonen, A.; Jaaskelainen, A.; Heitto, A.; et al. Volatile fatty acids as an added value from biowaste. Waste Manag. 2016, 58, 62–69. [Google Scholar] [CrossRef]
- Lü, F.; Wang, Z.; Zhang, H.; Shao, L.; He, P. Anaerobic digestion of organic waste: Recovery of value-added and inhibitory compounds from liquid fraction of digestate. Bioresour. Technol. 2021, 333, 125196. [Google Scholar] [CrossRef]
- Lee, W.S.; Chua, A.S.M.; Yeoh, H.K.; Ngoh, G.C. A review of the production and applications of waste-derived volatile fatty acids. Chem. Eng. J. 2014, 235, 83–99. [Google Scholar] [CrossRef]
- Bruni, C.; Foglia, A.; Eusebi, A.L.; Frison, N.; Akyol, Ç.; Fatone, F. Targeted Bio-Based Volatile Fatty Acid Production from Waste Streams through Anaerobic Fermentation: Link between Process Parameters and Operating Scale. ACS Sustain. Chem. Eng. 2021, 9, 9970–9987. [Google Scholar] [CrossRef]
- Arslan, D.; Steinbusch, K.J.J.; Diels, L.; Hamelers, H.V.M.; Strik, D.P.B.T.B.; Buisman, C.J.N.; De Wever, H. Selective short-chain carboxylates production: A review of control mechanisms to direct mixed culture fermentations. Crit. Rev. Environ. Sci. Technol. 2016, 46, 592–634. [Google Scholar] [CrossRef]
- Bhatia, S.K.; Yang, Y.H. Microbial production of volatile fatty acids: Current status and future perspectives. Rev. Environ. Sci. Bio-Technol. 2017, 16, 327–345. [Google Scholar] [CrossRef]
- Begum, S.; Arelli, V.; Anupoju, G.R.; Sridhar, S.; Bhargava, S.K.; Eshtiaghi, N. Optimization of feed and extractant concentration for the liquid–liquid extraction of volatile fatty acids from synthetic solution and landfill leachate. J. Ind. Eng. Chem. 2020, 90, 190–202. [Google Scholar] [CrossRef]
- Zhu, X.; Leininger, A.; Jassby, D.; Tsesmetzis, N.; Ren, Z.J. Will Membranes Break Barriers on Volatile Fatty Acid Recovery from Anaerobic Digestion? ACS ES&T Eng. 2020, 1, 141–153. [Google Scholar] [CrossRef]
- Zacharof, M.-P.; Mandale, S.J.; Williams, P.M.; Lovitt, R.W. Nanofiltration of treated digested agricultural wastewater for recovery of carboxylic acids. J. Clean. Prod. 2016, 112, 4749–4761. [Google Scholar] [CrossRef]
- Edmiston, P.L.; Gilbert, A.R.; Harvey, Z.; Mellor, N. Adsorption of short chain carboxylic acids from aqueous solution by swellable organically modified silica materials. Adsorption 2017, 24, 53–63. [Google Scholar] [CrossRef]
- Fargues, C.; Lewandowski, R.; Lameloise, M.-L. Evaluation of Ion-Exchange and Adsorbent Resins for the Detoxification of Beet Distillery Effluents. Ind. Eng. Chem. Res. 2010, 49, 9248–9257. [Google Scholar] [CrossRef]
- Aghapour Aktij, S.; Zirehpour, A.; Mollahosseini, A.; Taherzadeh, M.J.; Tiraferri, A.; Rahimpour, A. Feasibility of membrane processes for the recovery and purification of bio-based volatile fatty acids: A comprehensive review. J. Ind. Eng. Chem. 2020, 81, 24–40. [Google Scholar] [CrossRef]
- Rodríguez-Llorente, D.; Bengoa, A.; Pascual-Muñoz, G.; Navarro, P.; Águeda, V.I.; Delgado, J.A.; Álvarez-Torrellas, S.; García, J.; Larriba, M. Sustainable Recovery of Volatile Fatty Acids from Aqueous Solutions Using Terpenoids and Eutectic Solvents. ACS Sustain. Chem. Eng. 2019, 7, 16786–16794. [Google Scholar] [CrossRef]
- Van den Bruinhorst, A.; Raes, S.; Maesara, S.A.; Kroon, M.C.; Esteves, A.C.C.; Meuldijk, J. Hydrophobic eutectic mixtures as volatile fatty acid extractants. Sep. Purif. Technol. 2019, 216, 147–157. [Google Scholar] [CrossRef]
- Reyhanitash, E.; Brouwer, T.; Kersten, S.R.A.; van der Ham, A.G.J.; Schuur, B. Liquid–liquid extraction-based process concepts for recovery of carboxylic acids from aqueous streams evaluated for dilute streams. Chem. Eng. Res. Des. 2018, 137, 510–533. [Google Scholar] [CrossRef]
- Antony, F.M.; Pal, D.; Wasewar, K. 4-Separation of bio-products by liquid–liquid extraction. Phys. Sci. Rev. 2021, 6, 20180065. [Google Scholar] [CrossRef]
- Mostafa, N.A. Production and recovery of volatile fatty acids from fermentation broth. Energy Convers. Manag. 1999, 40, 1543–1553. [Google Scholar] [CrossRef]
- Alkaya, E.; Kaptan, S.; Ozkan, L.; Uludag-Demirer, S.; Demirer, G.N. Recovery of acids from anaerobic acidification broth by liquid–liquid extraction. Chemosphere 2009, 77, 1137–1142. [Google Scholar] [CrossRef]
- Reyhanitash, E.; Zaalberg, B.; Kersten, S.R.A.; Schuur, B. Extraction of volatile fatty acids from fermented wastewater. Sep. Purif. Technol. 2016, 161, 61–68. [Google Scholar] [CrossRef]
- Yang, S.; White, S.A.; Hsu, S.T. Extraction of carboxylic acids with tertiary and quaternary amines: Effect of pH. Ind. Eng. Chem. Res. 1991, 30, 1335–1342. [Google Scholar] [CrossRef]
- Elhami, V.; Antunes, E.C.; Temmink, H.; Schuur, B. Recovery Techniques Enabling Circular Chemistry from Wastewater. Molecules 2022, 27, 1389. [Google Scholar] [CrossRef]
- Reyhanitash, E.; Fufachev, E.; van Munster, K.D.; van Beek, M.B.M.; Sprakel, L.M.J.; Edelijn, C.N.; Weckhuysen, B.M.; Kersten, S.R.A.; Bruijnincx, P.C.A.; Schuur, B. Recovery and conversion of acetic acid from a phosphonium phosphinate ionic liquid to enable valorization of fermented wastewater. Green Chem. 2019, 21, 2023–2034. [Google Scholar] [CrossRef]
- Xing, T.; Wang, Z.; Zhen, F.; Liu, H.; Wo, D.; Li, L.; Guo, Y.; Kong, X.; Sun, Y. Initial pH-driven production of volatile fatty acid from hybrid Pennisetum. Bioresour. Technol. 2021, 347, 126426. [Google Scholar] [CrossRef]
- Xing, T.; Wang, Z.; Zhen, F.; Liu, H.L.; Wang, F.; Zhang, Y.; Kong, X.Y.; Sun, Y.M. Methane production of rare earth element-rich Dicranopteris dichotoma and effects of La(III) on anaerobic digestion performance of lignocellulose. J. Chem. Technol. Biotechnol. 2022, 97, 1987–1994. [Google Scholar] [CrossRef]
- Malmary, G.; Albet, J.; Putranto, A.M.H.; Molinier, J. Recovery of carboxylic acids from aqueous solutions by liquid-liquid extraction with a triisooctylamine diluent system. Braz. J. Chem. Eng. 2001, 18, 441–447. [Google Scholar] [CrossRef]
- Tamada, J.A.; Kertes, A.S.; King, C.J. Extraction of carboxylic acids with amine extractants. 1. Equilibria and law of mass action modeling. Ind. Eng. Chem. Res. 1990, 29, 1319–1326. [Google Scholar] [CrossRef]
- Liptaj, T.; Marták, J.; Schlosser, Š. 1-NMR study of structural changes of alkyl-phosphonium decanoate ionic liquid induced by water and butyric acid extraction. J. Mol. Liq. 2020, 302, 112573. [Google Scholar] [CrossRef]
- Van Osch, D.J.G.P.; Zubeir, L.F.; van den Bruinhorst, A.; Rocha, M.A.A.; Kroon, M.C. Hydrophobic deep eutectic solvents as water-immiscible extractants. Green Chem. 2015, 17, 4518–4521. [Google Scholar] [CrossRef]
- Li, L.; Li, Z.; Song, K.; Gu, Y.; Gao, X.; Zhao, X. Short-chain fatty acids resource recovery potential from algal sludge via anaerobic fermentation under various pH values. Chemosphere 2021, 275, 129954. [Google Scholar] [CrossRef]
- Zheng, M.; Zheng, M.; Wu, Y.; Ma, H.; Wang, K. Effect of pH on types of acidogenic fermentation of fruit and vegetable wastes. Biotechnol. Bioprocess Eng. 2015, 20, 298–303. [Google Scholar] [CrossRef]
- Rocha, M.A.A.; Raeissi, S.; Hage, P.; Weggemans, W.M.A.; van Spronsen, J.; Peters, C.J.; Kroon, M.C. Recovery of volatile fatty acids from water using medium-chain fatty acids and a cosolvent. Chem. Eng. Sci. 2017, 165, 74–80. [Google Scholar] [CrossRef]
Disclaimer/Publisher’s Note: The statements, opinions and data contained in all publications are solely those of the individual author(s) and contributor(s) and not of MDPI and/or the editor(s). MDPI and/or the editor(s) disclaim responsibility for any injury to people or property resulting from any ideas, methods, instructions or products referred to in the content. |
© 2023 by the authors. Licensee MDPI, Basel, Switzerland. This article is an open access article distributed under the terms and conditions of the Creative Commons Attribution (CC BY) license (https://creativecommons.org/licenses/by/4.0/).




