Dynamic Performance of Organic Rankine Cycle Driven by Fluctuant Industrial Waste Heat for Building Power Supply
Abstract
1. Introduction
2. System Description
3. Mathematical Model
3.1. Evaporator
- (1)
- The evaporator is defined as a horizontal cylindrical tube with a constant cross-sectional area.
- (2)
- The flow of working fluid and heat source in evaporator is horizontal, without vertical flow.
- (3)
- The pressure drop of the working fluid in the evaporator is negligible and the pressure in the tube is uniform.
- (4)
- The two-phase flow of the working fluid in the evaporator is uniform.
- (5)
- The kinetic energy as well as the gravitational potential energy of the working fluid in the evaporator are neglected.
- (6)
- Axial heat conduction of the working fluid and tube is ignored.
- (1)
- Sub-cooled region model
- (2)
- Two-phase region model
- (3)
- Superheat region model
- (4)
- Heat source model
- (5)
- Heat-transfer coefficient
3.2. Condenser
3.3. Pump and Expander
3.4. Model Solution
4. Validation
5. Results and Discussion
5.1. Influence of Fluctuating Heat-Source Temperature
5.2. Influence of Heat Source Period
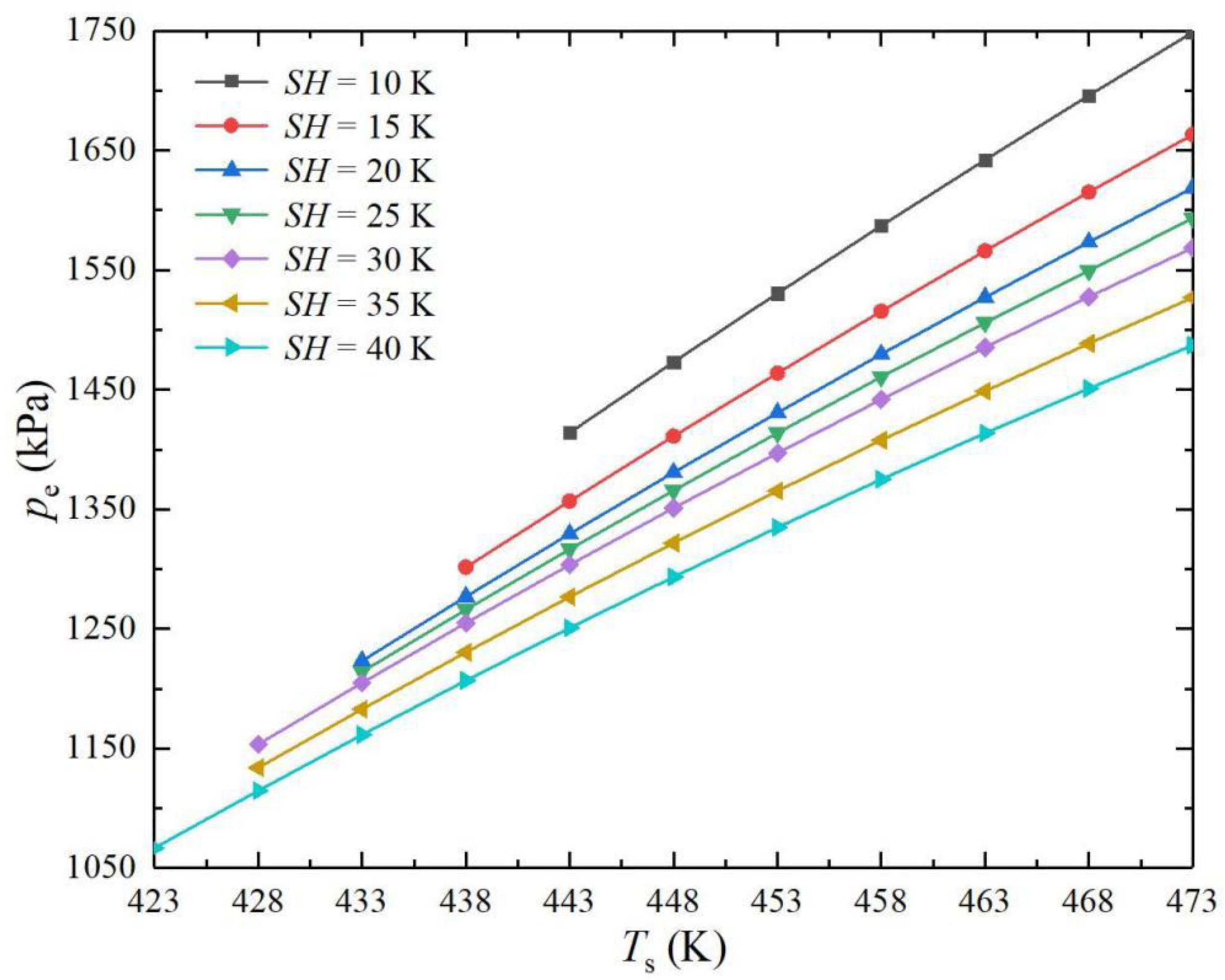
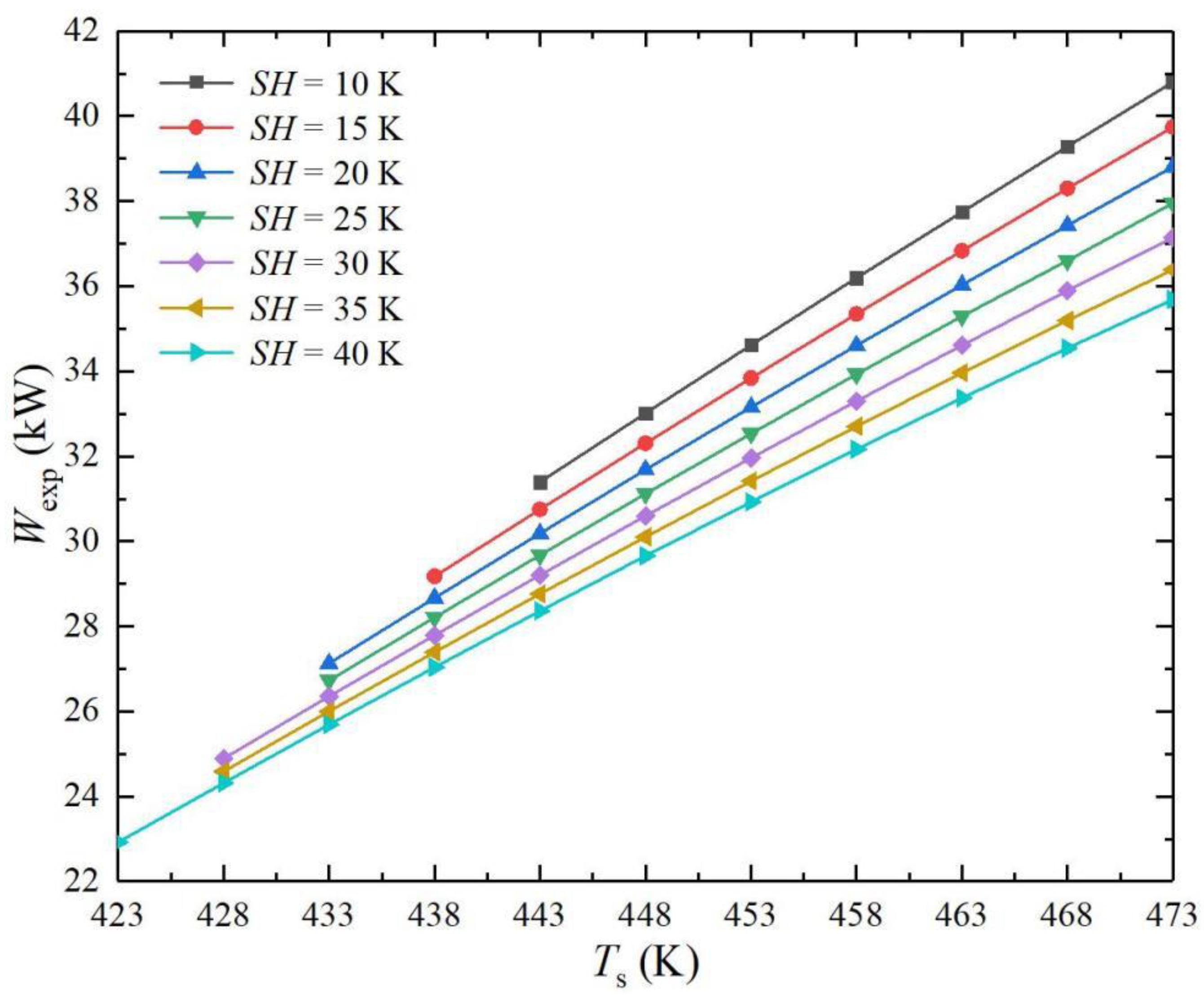
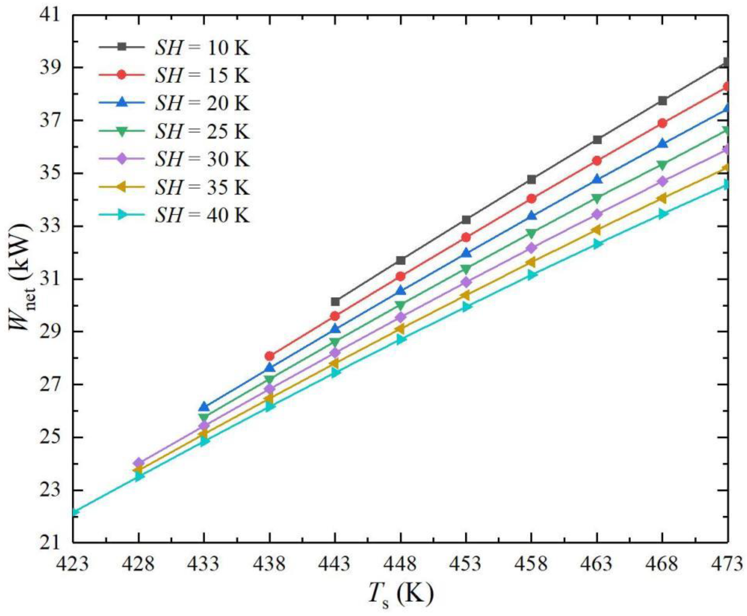
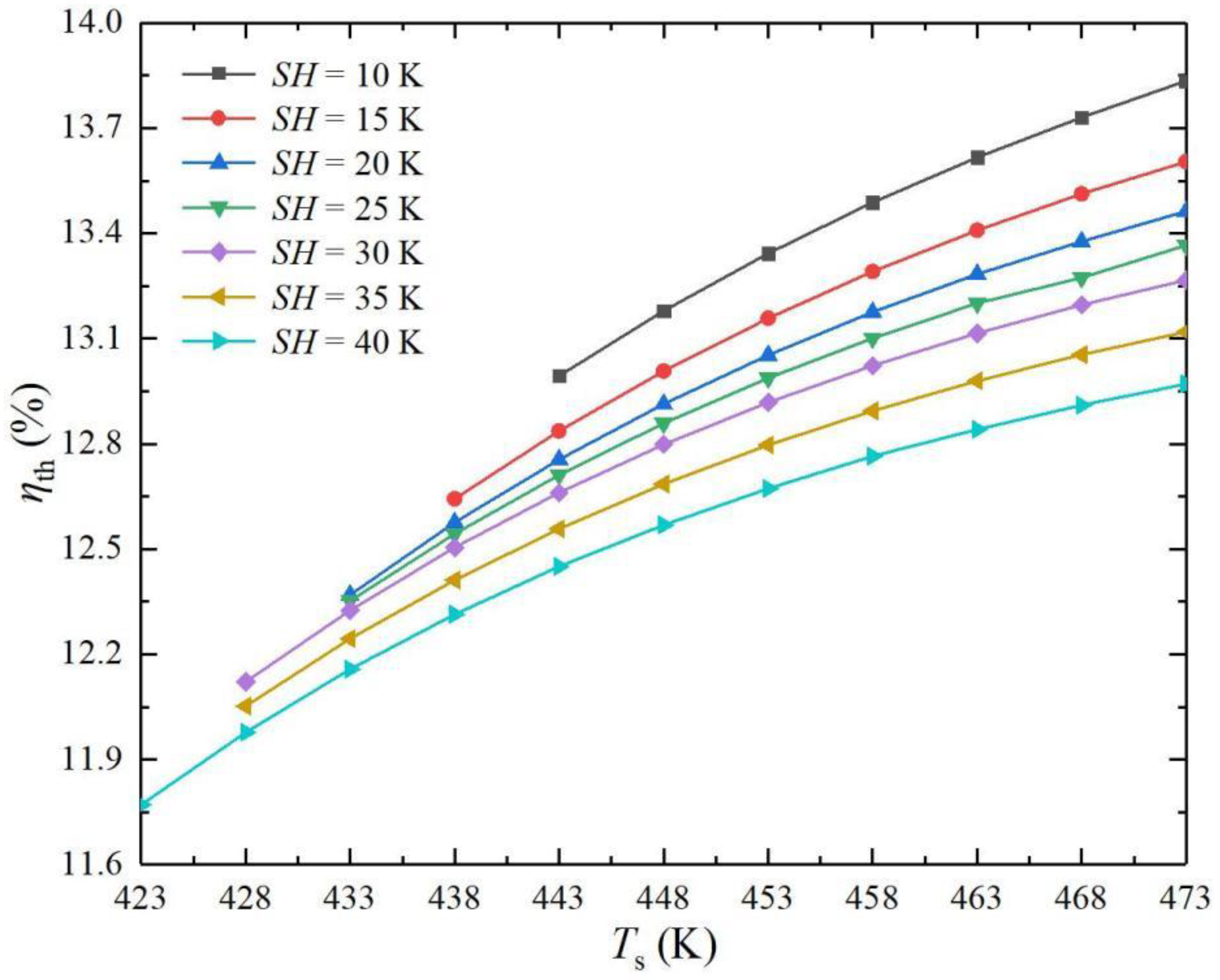
5.3. Influence of Superheat Degree
6. Conclusions
- (1)
- The fluctuation of system operating parameters and generating performance are proportional to the heat source amplitude, and their average is inversely proportional to the amplitude. The fluctuation of heat-source temperature will degrade power-generation performance at any amplitude. The amplitude of heat source has a large influence on the system and reducing it is particularly key in industrial waste-heat pretreatment engineering.
- (2)
- The operating parameters of the system have a certain response time, and that is proportional to the period. The extreme values of the operating parameters and net power output are independent of the period, but the amplitude of the thermal efficiency is inversely proportional to the period. The fluctuating heat source resulted in reduction of the average generation performance with any period.
- (3)
- The maximum allowable range of the amplitude is proportional to the average temperature and superheat degree. The increase of superheat degree will reduce the power-generation performance, but improve the adaptability of the system. Under any superheat degree, the net power output and thermal efficiency are proportional to the heat-source temperature, while the exergy efficiency is inversely proportional to the heat-source temperature.
Author Contributions
Funding
Data Availability Statement
Conflicts of Interest
Nomenclature
| Nomenclature | Subscripts | ||
| A | Area, m2 | avg | average |
| M | Quantity, kg | s | heat source |
| D | Diameter, m | sc | sub-cooled region |
| Q | Heat quantity, J | i | interior |
| L | Length, m | in | input |
| p | Pressure, kPa | out | output |
| K | Heat-transfer coefficient, W/(m2·K) | v | saturated liquid |
| SH | Superheat degree, K | l | saturated vapor |
| V | Volume, m3 | tp | two-phase region |
| c | Specific heat, J/(kg·K) | o | external |
| h | Specific enthalphy, kJ/kg | sh | superheated region |
| T | Temperature, K | w | wall |
| m | Mass flow rate, kg/s | x | expansion |
| t | Time, s | p | pump |
| u | Specific internal energy, kJ/kg | c | condenser |
| x | Gas mass fraction | vol | volume |
| Nu | Nusselt number | e | evaporator |
| Re | Reynolds number | is | isentropy |
| Pr | Planck number | a | amplitude |
| WF | Working fluid | min | minimum |
| Greek letters | th | thermal | |
| density, kg/m3 | ex | exergy | |
| voidage, % | |||
| density ratio, % | |||
| efficiency, % | |||
| rotate speed, rpm | |||
| thermal conductivity, W/(m·K) | |||
References
- Mahmoudi, A.; Fazli, M.; Morad, M.R. A Recent Review of Waste Heat Recovery by Organic Rankine Cycle. Appl. Therm. Eng. 2018, 143, 660–675. [Google Scholar] [CrossRef]
- Woudstra, N.; Woudstra, T.; Pirone, A.; van der Stelt, T. Thermodynamic Evaluation of Combined Cycle Plants. Energy Convers. Manag. 2010, 51, 1099–1110. [Google Scholar] [CrossRef]
- Tchanche, B.F.; Lambrinos, G.; Frangoudakis, A.; Papadakis, G. Low-Grade Heat Conversion into Power Using Organic Rankine Cycles–A Review of Various Applications. Renew. Sustain. Energy Rev. 2011, 15, 3963–3979. [Google Scholar] [CrossRef]
- Wang, T.; Zhang, Y.; Peng, Z.; Shu, G. A Review of Researches on Thermal Exhaust Heat Recovery with Rankine Cycle. Renew. Sustain. Energy Rev. 2011, 15, 2862–2871. [Google Scholar] [CrossRef]
- Wang, J.; Dai, Y.; Gao, L. Exergy Analyses and Parametric Optimizations for Different Cogeneration Power Plants in Cement Industry. Appl. Energy 2009, 86, 941–948. [Google Scholar] [CrossRef]
- Hung, T.C.; Shai, T.Y.; Wang, S.K. A Review of Organic Rankine Cycles (ORCs) for the Recovery of Low-Grade Waste Heat. Energy 1997, 22, 661–667. [Google Scholar] [CrossRef]
- Bahrami, M.; Pourfayaz, F.; Kasaeian, A. Low Global Warming Potential (GWP) Working Fluids (WFs) for Organic Rankine Cycle (ORC) Applications. Energy Rep. 2022, 8, 2976–2988. [Google Scholar] [CrossRef]
- Chen, X.; Liu, C.; Li, Q.; Wang, X.; Xu, X. Dynamic Analysis and Control Strategies of Organic Rankine Cycle System for Waste Heat Recovery Using Zeotropic Mixture as Working Fluid. Energy Convers. Manag. 2019, 192, 321–334. [Google Scholar] [CrossRef]
- Wu, X.; Chen, J.; Xie, L. Fast Economic Nonlinear Model Predictive Control Strategy of Organic Rankine Cycle for Waste Heat Recovery: Simulation-Based Studies. Energy 2019, 180, 520–534. [Google Scholar] [CrossRef]
- Hu, B.; Guo, J.; Yang, Y.; Shao, Y. Selection of Working Fluid for Organic Rankine Cycle Used in Low Temperature Geothermal Power Plant. Energy Rep. 2022, 8, 179–186. [Google Scholar] [CrossRef]
- Tchanche, B.F.; Papadakis, G.; Lambrinos, G.; Frangoudakis, A. Fluid Selection for a Low-Temperature Solar Organic Rankine Cycle. Appl. Therm. Eng. 2009, 29, 2468–2476. [Google Scholar] [CrossRef]
- Li, D.; Zhang, S.; Wang, G. Selection of Organic Rankine Cycle Working Fluids in the Low-Temperature Waste Heat Utilization. J. Hydrodyn. Ser. B 2015, 27, 458–464. [Google Scholar] [CrossRef]
- Liang, Z.; Liang, Y.; Luo, X.; Chen, J.; Yang, Z.; Wang, C.; Chen, Y. Superstructure-Based Mixed-Integer Nonlinear Programming Framework for Hybrid Heat Sources Driven Organic Rankine Cycle Optimization. Appl. Energy 2022, 307, 118277. [Google Scholar] [CrossRef]
- Rad, E.A.; Mohammadi, S.; Tayyeban, E. Simultaneous Optimization of Working Fluid and Boiler Pressure in an Organic Rankine Cycle for Different Heat Source Temperatures. Energy 2020, 194, 116856. [Google Scholar] [CrossRef]
- Wang, Q.; Wang, J.; Li, T.; Meng, N. Techno-Economic Performance of Two-Stage Series Evaporation Organic Rankine Cycle with Dual-Level Heat Sources. Appl. Therm. Eng. 2020, 171, 115078. [Google Scholar] [CrossRef]
- Pili, R.; Jørgensen, S.B.; Haglind, F. Multi-Objective Optimization of Organic Rankine Cycle Systems Considering Their Dynamic Performance. Energy 2022, 246, 123345. [Google Scholar] [CrossRef]
- Yu, X.; Huang, Y.; Li, Z.; Huang, R.; Chang, J.; Wang, L. Characterization Analysis of Dynamic Behavior of Basic ORC under Fluctuating Heat Source. Appl. Therm. Eng. 2021, 189, 116695. [Google Scholar] [CrossRef]
- Shu, G.; Wang, X.; Tian, H.; Liu, P.; Jing, D.; Li, X. Scan of Working Fluids Based on Dynamic Response Characters for Organic Rankine Cycle Using for Engine Waste Heat Recovery. Energy 2017, 133, 609–620. [Google Scholar] [CrossRef]
- Chen, X.; Liu, C.; Li, Q.; Wang, X.; Wang, S. Dynamic Behavior of Supercritical Organic Rankine Cycle Using Zeotropic Mixture Working Fluids. Energy 2020, 191, 116576. [Google Scholar] [CrossRef]
- Li, S.; Ma, H.; Li, W. Dynamic Performance Analysis of Solar Organic Rankine Cycle with Thermal Energy Storage. Appl. Therm. Eng. 2018, 129, 155–164. [Google Scholar] [CrossRef]
- Reis, M.M.L.; Guillen, J.A.V.; Gallo, W.L.R. Off-Design Performance Analysis and Optimization of the Power Production by an Organic Rankine Cycle Coupled with a Gas Turbine in an Offshore Oil Platform. Energy Convers. Manag. 2019, 196, 1037–1050. [Google Scholar] [CrossRef]
- Jiménez-Arreola, M.; Wieland, C.; Romagnoli, A. Direct vs Indirect Evaporation in Organic Rankine Cycle (ORC) Systems: A Comparison of the Dynamic Behavior for Waste Heat Recovery of Engine Exhaust. Appl. Energy 2019, 242, 439–452. [Google Scholar] [CrossRef]
- Chatzopoulou, M.A.; Lecompte, S.; Paepe, M.D.; Markides, C.N. Off-Design Optimisation of Organic Rankine Cycle (ORC) Engines with Different Heat Exchangers and Volumetric Expanders in Waste Heat Recovery Applications. Appl. Energy 2019, 253, 113442. [Google Scholar] [CrossRef]
- Pierobon, L.; Casati, E.; Casella, F.; Haglind, F.; Colonna, P. Design Methodology for Flexible Energy Conversion Systems Accounting for Dynamic Performance. Energy 2014, 68, 667–679. [Google Scholar] [CrossRef]
- Peralez, J.; Nadri, M.; Dufour, P.; Tona, P.; Sciarretta, A. Organic Rankine Cycle for Vehicles: Control Design and Experimental Results. IEEE Trans. Control. Syst. Technol. 2017, 25, 952–965. [Google Scholar] [CrossRef]
- Vaupel, Y.; Schulze, J.C.; Mhamdi, A.; Mitsos, A. Nonlinear Model Predictive Control of Organic Rankine Cycles for Automotive Waste Heat Recovery: Is It Worth the Effort? J. Process Control 2021, 99, 19–27. [Google Scholar] [CrossRef]
- Zhang, J.; Zhang, W.; Hou, G.; Fang, F. Dynamic Modeling and Multivariable Control of Organic Rankine Cycles in Waste Heat Utilizing Processes. Comput. Math. Appl. 2012, 64, 908–921. [Google Scholar] [CrossRef]
- Quoilin, S.; Aumann, R.; Grill, A.; Schuster, A.; Lemort, V.; Spliethoff, H. Dynamic Modeling and Optimal Control Strategy of Waste Heat Recovery Organic Rankine Cycles. Appl. Energy 2011, 88, 2183–2190. [Google Scholar] [CrossRef]
- Wu, X.; Chen, J.; Xie, L. Integrated Operation Design and Control of Organic Rankine Cycle Systems with Disturbances. Energy 2018, 163, 115–129. [Google Scholar] [CrossRef]
- Carraro, G.; Pili, R.; Lazzaretto, A.; Haglind, F. Effect of the Evaporator Design Parameters on the Dynamic Response of Organic Rankine Cycle Units for Waste Heat Recovery on Heavy-Duty Vehicles. Appl. Therm. Eng. 2021, 198, 117496. [Google Scholar] [CrossRef]
- Imran, M.; Pili, R.; Usman, M.; Haglind, F. Dynamic Modeling and Control Strategies of Organic Rankine Cycle Systems: Methods and Challenges. Appl. Energy 2020, 276, 115537. [Google Scholar] [CrossRef]
- Jiménez-Arreola, M.; Pili, R.; Wieland, C.; Romagnoli, A. Analysis and Comparison of Dynamic Behavior of Heat Exchangers for Direct Evaporation in ORC Waste Heat Recovery Applications from Fluctuating Sources. Appl. Energy 2018, 216, 724–740. [Google Scholar] [CrossRef]
- Jensen, J.; Tummescheit, H. Moving Boundary Models for Dynamic Simulations of Two-Phase Flows. In Proceedings of the 2nd International Modelica Conference, Oberpfaffenhofen, Germany, 18–19 March 2002; pp. 235–244. [Google Scholar]
- Bonilla, J.; Dormido, S.; Cellier, F.E. Switching Moving Boundary Models for Two-Phase Flow Evaporators and Condensers. Commun. Nonlinear Sci. Numer. Simul. 2015, 20, 743–768. [Google Scholar] [CrossRef]
- Zhang, X.; Bai, H.; Zhao, X.; Diabat, A.; Zhang, J.; Yuan, H.; Zhang, Z. Multi-Objective Optimisation and Fast Decision-Making Method for Working Fluid Selection in Organic Rankine Cycle with Low-Temperature Waste Heat Source in Industry. Energy Convers. Manag. 2018, 172, 200–211. [Google Scholar] [CrossRef]
- Lin, S.; Zhao, L.; Deng, S.; Ni, J.; Zhang, Y.; Ma, M. Dynamic Performance Investigation for Two Types of ORC System Driven by Waste Heat of Automotive Internal Combustion Engine. Energy 2019, 169, 958–971. [Google Scholar] [CrossRef]
- Cai, J.; Shu, G.; Tian, H.; Wang, X.; Wang, R.; Shi, X. Validation and Analysis of Organic Rankine Cycle Dynamic Model Using Zeotropic Mixture. Energy 2020, 197, 117003. [Google Scholar] [CrossRef]
- Esposito, M.C.; Pompini, N.; Gambarotta, A.; Chandrasekaran, V.; Zhou, J.; Canova, M. Nonlinear Model Predictive Control of an Organic Rankine Cycle for Exhaust Waste Heat Recovery in Automotive Engines. IFAC-PapersOnLine 2015, 48, 411–418. [Google Scholar] [CrossRef]
- Manente, G.; Toffolo, A.; Lazzaretto, A.; Paci, M. An Organic Rankine Cycle Off-Design Model for the Search of the Optimal Control Strategy. Energy 2013, 58, 97–106. [Google Scholar] [CrossRef]
- Thangavel, S.; Verma, V.; Tarodiya, R.; Kaliyaperumal, P. Comparative Analysis and Evaluation of Different Working Fluids for the Organic Rankine Cycle Performance. Mater. Today Proc. 2021, 47, 2580–2584. [Google Scholar] [CrossRef]
- Pili, R.; Romagnoli, A.; Spliethoff, H.; Wieland, C. Techno-Economic Analysis of Waste Heat Recovery with ORC from Fluctuating Industrial Sources. Energy Procedia 2017, 129, 503–510. [Google Scholar] [CrossRef]





















| Parameters | Unit | Value |
|---|---|---|
| Isentropic efficiency of the expander | 0.80 | |
| Wall thickness of the evaporator | m | 0.002 |
| Outside diameter of the evaporator | m | 0.4 |
| Cylinder volume of the pump | m3 | 0.000045 |
| Inside diameter of the evaporator | m | 0.065 |
| Isentropic efficiency of the pump | 0.70 |
| Parameters | Unit | Value |
|---|---|---|
| Heat-source temperature | K | 448.15 |
| Heat source mass-flow rate | kg/s | 0.50 |
| Evaporating pressure | kPa | 1350.99 |
| Working fluid mass-flow rate | kg/s | 0.82 |
| Superheat degree | K | 30.00 |
| Condensing pressure | kPa | 148.25 |
| Net power output | kW | 29.55 |
| Length of the evaporator | m | 102.42 |
| Thermal efficiency | % | 12.80 |
| Exergy efficiency | % | 48.26 |
| Parameters | Working Fluid Flow Rate, kg/s | Evaporating Pressure, kPa |
|---|---|---|
| SH = 10 K | 0.92 | 1473.02 |
| SH = 15 K | 0.90 | 1411.01 |
| SH = 20 K | 0.87 | 1380.78 |
| SH = 25 K | 0.84 | 1365.81 |
| SH = 30 K | 0.82 | 1350.99 |
| SH = 35 K | 0.80 | 1321.72 |
| SH = 40 K | 0.78 | 1293.47 |
Disclaimer/Publisher’s Note: The statements, opinions and data contained in all publications are solely those of the individual author(s) and contributor(s) and not of MDPI and/or the editor(s). MDPI and/or the editor(s) disclaim responsibility for any injury to people or property resulting from any ideas, methods, instructions or products referred to in the content. |
© 2023 by the authors. Licensee MDPI, Basel, Switzerland. This article is an open access article distributed under the terms and conditions of the Creative Commons Attribution (CC BY) license (https://creativecommons.org/licenses/by/4.0/).
Share and Cite
Li, T.; Wang, Z.; Wang, J.; Gao, X. Dynamic Performance of Organic Rankine Cycle Driven by Fluctuant Industrial Waste Heat for Building Power Supply. Energies 2023, 16, 765. https://doi.org/10.3390/en16020765
Li T, Wang Z, Wang J, Gao X. Dynamic Performance of Organic Rankine Cycle Driven by Fluctuant Industrial Waste Heat for Building Power Supply. Energies. 2023; 16(2):765. https://doi.org/10.3390/en16020765
Chicago/Turabian StyleLi, Tailu, Zeyu Wang, Jingyi Wang, and Xiang Gao. 2023. "Dynamic Performance of Organic Rankine Cycle Driven by Fluctuant Industrial Waste Heat for Building Power Supply" Energies 16, no. 2: 765. https://doi.org/10.3390/en16020765
APA StyleLi, T., Wang, Z., Wang, J., & Gao, X. (2023). Dynamic Performance of Organic Rankine Cycle Driven by Fluctuant Industrial Waste Heat for Building Power Supply. Energies, 16(2), 765. https://doi.org/10.3390/en16020765
