High-Temperature Materials for Complex Components in Ammonia/Hydrogen Gas Turbines: A Critical Review
Abstract
:1. Introduction
2. Literature Background
2.1. Overview
2.2. Characteristics of Ammonia–Hydrogen Combustion in Gas Turbines
2.2.1. Hydrogen in Gas Turbines
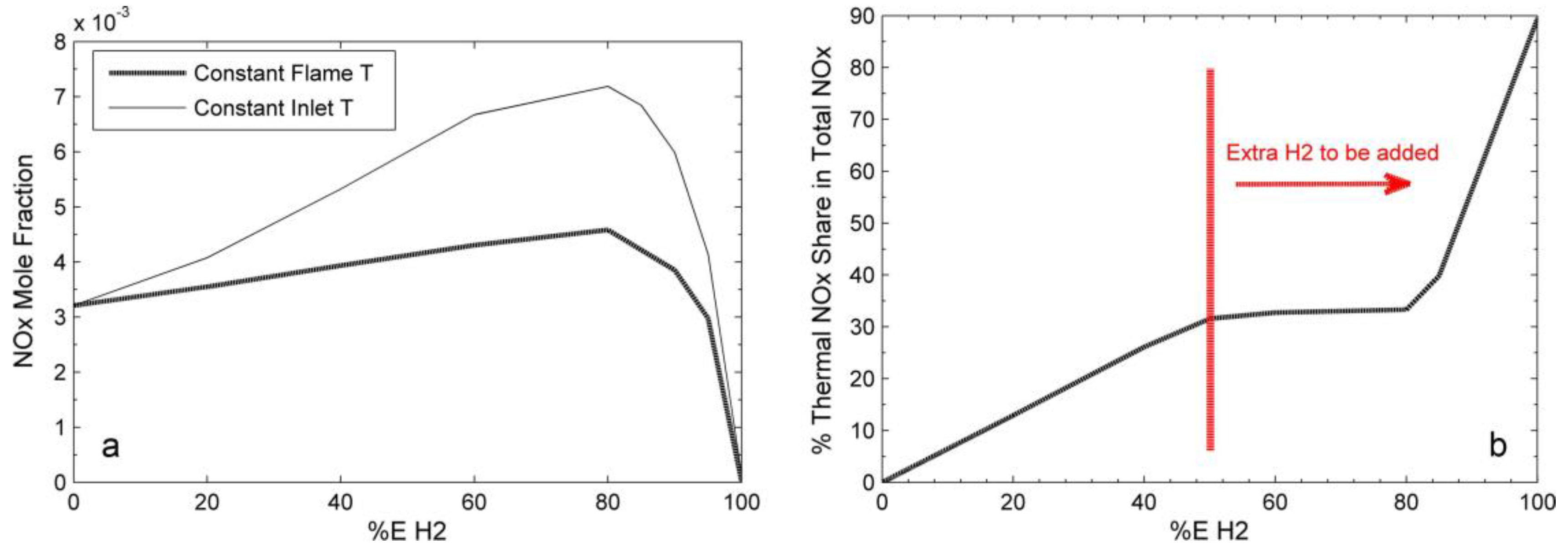
2.2.2. Ammonia in Gas Turbines
2.2.3. Advancements in Ammonia–Hydrogen Co-Firing in Gas Turbines
2.3. Challenges in Design and Material Selection for Gas Turbines
2.3.1. Existing Gas Turbine Technologies
2.3.2. Challenges in Gas Turbines Fired on Ammonia–Hydrogen Fuels
2.3.3. High-Temperature Materials for Complex Components
- Hydrogen embrittlement can occur through different mechanisms, including stress corrosion cracking, hydrogen-induced cracking, or hydrogen embrittlement [188]. The diffusion of hydrogen atoms into a metal can make it more brittle and prone to cracking. This process can cause various metals, especially high-strength steel, to become brittle and fracture following exposure to hydrogen [187].
- Hydrogen embrittlement can cause material degradation and reduced efficiency in gas turbine engines [189]. This phenomenon can lead to cracking, blistering, and other forms of damage to the material [190]. The use of hydrogen as a fuel in gas turbines can also increase the turbine inlet temperature, which can lead to material degradation and reduced efficiency [189].
- To avoid the degradation of turbine performance when using hydrogen in combustion, the system may require some changes, such as varying the mass flow rate, changing the pressure ratio, or the design and structure of the cycle [188]. The use of hydrogen can also require changes in the gas turbine design to avoid material degradation and maintain performance. Materials can also be designed to be more resistant to hydrogen embrittlement [188].
- There is ongoing research being conducted to better understand the effects of hydrogen embrittlement on materials used in gas turbine engines and how to mitigate these effects [189,190]. Studies have investigated the effect of adding hydrogen to natural gas on combustion using numerical simulation [190].
2.3.4. Turbine Blades: Design, Heat Flux, and Cooling Technology
- Determining the operating conditions of the gas turbine such as the air flow rate, temperature, pressure, and Mach number. The Mach number is defined as the ratio of velocity to the acoustic speed of a gas at a given temperature M = V/a, where (V) is the gas velocity and (a) is the acoustic speed. The acoustic speed is the ratio change in pressure of the gas with respect to its density if the entropy is held constant [12].
- Testing and validating the design [12].
2.3.5. Materials Characterisation Techniques
- Optical microscopy is a widely used method for characterising the microstructure of materials. It provides a large field of view and high depth of field, making it ideal for imaging larger features. In the case of gas turbine materials and blades, optical microscopy can be used to assess the quality of the material and identify any defects such as cracks or voids [219].
- Scanning electron microscopy (SEM) is a high-resolution imaging technique that is used to investigate the surface morphology and composition of materials. It is particularly useful for investigating the microstructure of gas turbine materials and blades, as well as identifying any defects or degradation of the blade surfaces [220].
- Atomic force microscopy (AFM) is a technique that provides high-resolution imaging of surfaces at the nanoscale. It is particularly useful for assessing the degradation of the blade surfaces, enabling the identification of any defects such as pitting, cracking or corrosion [221].
- Energy-dispersive X-ray spectroscopy (EDS) is a technique that is used to obtain the chemical composition of materials. In the case of gas turbine materials and blades, EDS analysis can be used to identify the presence of impurities or degradation products, enabling the identification of any defects or degradation mechanisms [222].
- X-ray diffraction (XRD) is a technique that is used to investigate the crystal structure of materials. It is particularly useful for investigating the crystal structure of gas turbine materials and blades, enabling the identification of any defects or degradation mechanisms [223].
- Thermal analysis techniques are used to investigate the thermal properties of materials. This can include assessing the thermal stability of gas turbine materials and blades, as well as identifying any degradation mechanisms that may be induced by high temperatures [224].
3. Summary and Future Directions
Author Contributions
Funding
Data Availability Statement
Acknowledgments
Conflicts of Interest
References
- Sartbaeva, A.; Kuznetsov, V.; Wells, S.A.; Edwards, P. Hydrogen nexus in a sustainable energy future. Energy Environ. Sci. 2008, 1, 79–85. [Google Scholar] [CrossRef]
- Valera-Medina, A.; Xiao, H.; Owen-Jones, M.; David, W.I.; Bowen, P. Ammonia for power. Prog. Energy Combust. Sci. 2018, 69, 63–102. [Google Scholar] [CrossRef]
- Hayakawa, A.; Goto, T.; Mimoto, R.; Arakawa, Y.; Kudo, T.; Kobayashi, H. Laminar burning velocity and Markstein length of ammonia/air premixed flames at various pressures. Fuel 2015, 159, 98–106. [Google Scholar] [CrossRef]
- Chu, H.; Xiang, L.; Nie, X.; Ya, Y.; Gu, M.; Jiaqiang, E. Laminar burning velocity and pollutant emissions of the gasoline components and its surrogate fuels: A review. Fuel 2020, 269, 117451. [Google Scholar] [CrossRef]
- Cardoso, J.S.; Silva, V.; Rocha, R.C.; Hall, M.J.; Costa, M.; Eusébio, D. Ammonia as an energy vector: Current and future prospects for low-carbon fuel applications in internal combustion engines. J. Clean. Prod. 2021, 296, 126562. [Google Scholar] [CrossRef]
- Yapicioglu, A.; Dincer, I. Experimental investigation and evaluation of using ammonia and gasoline fuel blends for power generators. Appl. Therm. Eng. 2019, 154, 1–8. [Google Scholar] [CrossRef]
- Gaffin, W. NASA ECI Programs: Benefits to Pratt & Whitney Engines. In Turbo Expo: Power for Land, Sea, and Air; American Society of Mechanical Engineers: New York, NY, USA, 1982. [Google Scholar]
- Evans, M.J.; Chinnici, A.; Medwell, P.R.; Dally, B.B. Autoignition of Hydrogen/Ammonia Blends at Elevated Pressures and Temperatures. 2019. Available online: https://www.h2knowledgecentre.com/content/conference902 (accessed on 20 August 2023).
- Xiao, H.; Valera-Medina, A.; Bowen, P.J. Modeling combustion of ammonia/hydrogen fuel blends under gas turbine conditions. Energy Fuels 2017, 31, 8631–8642. [Google Scholar] [CrossRef]
- Kobayashi, H.; Hayakawa, A.; Somarathne, K.K.A.; Okafor, E.C. Science and technology of ammonia combustion. Proc. Combust. Inst. 2019, 37, 109–133. [Google Scholar] [CrossRef]
- Valera-Medina, A.; Banares-Alcantara, R. Techno-Economic Challenges of Green Ammonia as an Energy Vector; Academic Press: Cambridge, MA, USA, 2020. [Google Scholar]
- Boyce, M.P. Gas Turbine Engineering Handbook; Elsevier: Amsterdam, The Netherlands, 2011. [Google Scholar]
- Giampaolo, T. Gas Turbine Handbook: Principles and Practice; CRC Press: Boca Raton, FL, USA, 2020. [Google Scholar]
- Jaw, L.; Mattingly, J. Aircraft Engine Controls; American Institute of Aeronautics and Astronautics: New York, NY, USA, 2009. [Google Scholar]
- Kerrebrock, J.L. Aircraft Engines and Gas Turbines; MIT Press: Cambridge, MA, USA, 1992. [Google Scholar]
- Alboshmina, N. Ammonia Cracking with Heat Transfer Improvement Technology; Cardiff University: Cardiff, UK, 2019. [Google Scholar]
- Fubara, T.C. Techno-Economic Modelling of Sustainable Energy Future Scenarios with Natural Gas as a Transition Fuel to a Low Carbon Economy; University of Surrey: Guildford, UK, 2016. [Google Scholar]
- Yang, S.; Zhao, Y.F. Additive manufacturing-enabled design theory and methodology: A critical review. Int. J. Adv. Manuf. Technol. 2015, 80, 327–342. [Google Scholar] [CrossRef]
- Mehla, S.; Gudi, R.D.; Mandaliya, D.; Hisatomi, T.; Domen, K.; Bhargava, S.K. Additive Manufacturing as the Future of Green Chemical Engineering. In Additive Manufacturing for Chemical Sciences and Engineering; Springer: Berlin/Heidelberg, Germany, 2022; pp. 239–307. [Google Scholar]
- Gao, W.; Zhang, Y.; Ramanujan, D.; Ramani, K.; Chen, Y.; Williams, C.B.; Wang, C.C.L.; Shin, Y.C.; Zhang, S.; Zavattieri, P.D. The status, challenges, and future of additive manufacturing in engineering. Comput.-Aided Des. 2015, 69, 65–89. [Google Scholar] [CrossRef]
- Sun, C.; Wang, Y.; McMurtrey, M.D.; Jerred, N.D.; Liou, F.; Li, J. Additive manufacturing for energy: A review. Appl. Energy 2021, 282, 116041. [Google Scholar] [CrossRef]
- Van Eck, N.J.; Waltman, L. VOSviewer Manual. Man; VOSviewer Version 1.6.15; Centre for Science and Technology Studies, Leiden University: Leiden, The Netherlands, 2015; Available online: https://www.vosviewer.com (accessed on 1 April 2020).
- Breeze, P. Gas-Turbine Power Generation; Academic Press: Cambridge, MA, USA, 2016. [Google Scholar]
- Elmanakhly, F. Co-Production of Hydrogen and Ethylene in an Oxygen Permeable Membrane Reactor; University of Waterloo: Waterloo, ON, Canada, 2022. [Google Scholar]
- Taamallah, S.; Vogiatzaki, K.; Alzahrani, F.M.; Mokheimer, E.M.; Habib, M.; Ghoniem, A.F. Fuel flexibility, stability and emissions in premixed hydrogen-rich gas turbine combustion: Technology, fundamentals, and numerical simulations. Appl. Energy 2015, 154, 1020–1047. [Google Scholar] [CrossRef]
- Bothien, M.R.; Ciani, A.; Wood, J.P.; Fruechtel, G. Toward decarbonized power generation with gas turbines by using sequential combustion for burning hydrogen. J. Eng. Gas Turbines Power 2019, 141, 121013. [Google Scholar] [CrossRef]
- Andersson, M.; Larfeldt, J.; Larsson, A. Co-Firing with Hydrogen in Industrial Gas Turbines; Svenskt Gastekniskt Center: Malmö, Sweden, 2013. [Google Scholar]
- Bancalari, E.; Chan, P.; Diakunchak, I.S. Advanced hydrogen gas turbine development program. In Turbo Expo: Power for Land, Sea, and Air; American Society of Mechanical Engineers: New York, NY, USA, 2007. [Google Scholar]
- Wu, J.; Brown, P.; Diakunchak, I.; Gulati, A.; Lenze, M.; Koestlin, B. Advanced gas turbine combustion system development for high hydrogen fuels. In Turbo Expo: Power for Land, Sea, and Air; American Society of Mechanical Engineers: New York, NY, USA, 2007. [Google Scholar]
- Neugebauer, R. Hydrogen Technologies; Springer Nature: Berlin, Germany, 2023. [Google Scholar]
- Ebrahimi, H. Overview of gas turbine augmentor design, operation, and combustion oscillation. In Proceedings of the 42nd AIAA/ASME/SAE/ASEE Joint Propulsion Conference & Exhibit, Sacramento, CA, USA, 9–12 July 2006. [Google Scholar]
- Bohan, K.; Klapdor, E.; Prade, B.; Haeggmark, A.; Bulat, G.; Prasad, N.; Welch, M.; Adamsson, P.; Johnke, T. Hydrogen Power with Siemens Gas Turbines. A Siemens White Paper, 2020 Hydrogen Power with Siemens Gas Turbines. Available online: https://www.siemens-energy.com/csc (accessed on 1 April 2020).
- Jones, R.; Goldmeer, J.; Monetti, B. Addressing gas turbine fuel flexibility. GE Energy 2011, 4601, 1–20. [Google Scholar]
- Rahm, S.; Goldmeer, J.; Molière, M.; Eranki, A. Addressing gas turbine fuel flexibility. In Proceedings of the POWER-GEN Middle East Conference, Manama, Bahrain, 17–19 February 2009. [Google Scholar]
- Ditaranto, M.; Heggset, T.; Berstad, D. Concept of hydrogen fired gas turbine cycle with exhaust gas recirculation: Assessment of process performance. Energy 2020, 192, 116646. [Google Scholar] [CrossRef]
- Hormaza Mejia, N.A. Experimental Investigation of Hydrogen and Hydrogen/Methane Mixture Leakage from Low-Pressure Natural Gas Infrastructure. Master’s Thesis, University of California, Irvine, CA, USA, 2019. [Google Scholar]
- Chiesa, P.; Lozza, G.; Mazzocchi, L. Using hydrogen as gas turbine fuel. J. Eng. Gas Turbines Power 2005, 127, 73–80. [Google Scholar] [CrossRef]
- Mehrpooya, M.; Sharifzadeh, M.M.M.; Katooli, M.H. Thermodynamic analysis of integrated LNG regasification process configurations. Prog. Energy Combust. Sci. 2018, 69, 1–27. [Google Scholar] [CrossRef]
- Chai, W.S.; Bao, Y.; Jin, P.; Tang, G.; Zhou, L. A review on ammonia, ammonia-hydrogen and ammonia-methane fuels. Renew. Sustain. Energy Rev. 2021, 147, 111254. [Google Scholar] [CrossRef]
- Nozari, H.; Karabeyoğlu, A. Numerical study of combustion characteristics of ammonia as a renewable fuel and establishment of reduced reaction mechanisms. Fuel 2015, 159, 223–233. [Google Scholar] [CrossRef]
- Choi, S.; Lee, S.; Kwon, O.C. Extinction limits and structure of counterflow nonpremixed hydrogen-doped ammonia/air flames at elevated temperatures. Energy 2015, 85, 503–510. [Google Scholar] [CrossRef]
- Li, J.; Huang, H.; Deng, L.; He, Z.; Osaka, Y.; Kobayashi, N. Effect of hydrogen addition on combustion and heat release characteristics of ammonia flame. Energy 2019, 175, 604–617. [Google Scholar] [CrossRef]
- Ayed, A.H.; Kusterer, K.; Funke, H.-W.; Keinz, J.; Striegan, C.; Bohn, D. Experimental and numerical investigations of the dry-low-NOx hydrogen micromix combustion chamber of an industrial gas turbine. Propuls. Power Res. 2015, 4, 123–131. [Google Scholar] [CrossRef]
- Goldmeer, J.; Catillaz, J. Hydrogen for Power Generation. General Electric. 2021. Available online: www.ge.com/gas-power/future-of-energies (accessed on 1 March 2022).
- Meziane, S.; Bentebbiche, A. Numerical study of blended fuel natural gas-hydrogen combustion in rich/quench/lean combustor of a micro gas turbine. Int. J. Hydrogen Energy 2019, 44, 15610–15621. [Google Scholar] [CrossRef]
- Park, S.; Kim, U.; Lee, M.; Kim, S.; Cha, D. The effects and characteristics of hydrogen in SNG on gas turbine combustion using a diffusion type combustor. Int. J. Hydrogen Energy 2013, 38, 12847–12855. [Google Scholar] [CrossRef]
- Noble, D.; Wu, D.; Emerson, B.; Sheppard, S.; Lieuwen, T.; Angello, L. Assessment of current capabilities and near-term availability of hydrogen-fired gas turbines considering a low-carbon future. J. Eng. Gas Turbines Power 2021, 143, 041002. [Google Scholar] [CrossRef]
- Pasquariello, R. Gas Turbine Innovation, with or Without Hydrogen. Turbomachinery Magazine. 2020. Available online: https://www.turbomachinerymag.com/view/gas-turbine-innovation-with-or-without-hydrogen (accessed on 21 November 2021).
- Xing, F.; Kumar, A.; Huang, Y.; Chan, S.; Ruan, C.; Gu, S.; Fan, X. Flameless combustion with liquid fuel: A review focusing on fundamentals and gas turbine application. Appl. Energy 2017, 193, 28–51. [Google Scholar] [CrossRef]
- Ishaq, H.; Dincer, I. A comprehensive study on using new hydrogen-natural gas and ammonia-natural gas blends for better performance. J. Nat. Gas Sci. Eng. 2020, 81, 103362. [Google Scholar] [CrossRef]
- Arsalis, A. Thermodynamic modeling and parametric study of a small-scale natural gas/hydrogen-fueled gas turbine system for decentralized applications. Sustain. Energy Technol. Assess. 2019, 36, 100560. [Google Scholar] [CrossRef]
- Koç, Y.; Yağlı, H.; Görgülü, A.; Koc, A. Analysing the performance, fuel cost and emission parameters of the 50 MW simple and recuperative gas turbine cycles using natural gas and hydrogen as fuel. Int. J. Hydrogen Energy 2020, 45, 22138–22147. [Google Scholar] [CrossRef]
- De Robbio, R. Innovative combustion analysis of a micro-gas turbine burner supplied with hydrogen-natural gas mixtures. Energy Procedia 2017, 126, 858–866. [Google Scholar] [CrossRef]
- Ciani, A.; Wood, J.P.; Wickström, A.; Rørtveit, G.J.; Steeneveldt, R.; Pettersen, J.; Wortmann, N.; Bothien, M.R. Sequential combustion in ansaldo energia gas turbines: The technology enabler for co2-free, highly efficient power production based on hydrogen. In Turbo Expo: Power for Land, Sea, and Air; American Society of Mechanical Engineers: New York, NY, USA, 2020. [Google Scholar]
- Power, G.S.L.C.D. Net Zero North West Cluster Plan. 2022. Available online: https://www.ukri.org/who-we-are/how-we-are-doing/research-outcomes-and-impact/innovate-uk/net-zero-north-west-cluster-plan/ (accessed on 20 August 2023).
- Patel, S. GE Secures First HA-Class Hydrogen Gas Power Deal: Long Ridge Energy Terminal. Power. 2020. Available online: https://www.powermag.com/ge-secures-first-ha-class-hydrogen-gas-power-deal-long-ridge-energy-terminal/ (accessed on 13 October 2020).
- Sundén, B. Hydrogen, Batteries and Fuel Cells; Academic Press: Cambridge, MA, USA, 2019. [Google Scholar]
- Langston, L.S. Generating a Greener Future: Combined cycle gas turbines are advancing electrical energy production. Am. Sci. 2021, 109, 80–84. [Google Scholar]
- Mati, A.; Ademollo, A.; Carcasci, C. Assessment of paper industry decarbonization potential via hydrogen in a multi-energy system scenario: A case study. Smart Energy 2023, 11, 100114. [Google Scholar] [CrossRef]
- Erdener, B.C.; Sergi, B.; Guerra, O.J.; Chueca, A.L.; Pambour, K.; Brancucci, C.; Hodge, B.-M. A review of technical and regulatory limits for hydrogen blending in natural gas pipelines. Int. J. Hydrogen Energy 2023, 48, 5595–5617. [Google Scholar] [CrossRef]
- Rahman, M.N.; Wahid, M.A. Renewable-based zero-carbon fuels for the use of power generation: A case study in Malaysia supported by updated developments worldwide. Energy Rep. 2021, 7, 1986–2020. [Google Scholar] [CrossRef]
- Engstam, L. Power-to-X-to-Power in Combined Cycle Power Plants: A Techno-Economic Feasibility Study. 2021. Available online: http://kth.diva-portal.org/smash/record.jsf?pid=diva2%3A1605535&dswid=-9534 (accessed on 20 August 2023).
- Valera-Medina, A.; Amer-Hatem, F.; Azad, A.; Dedoussi, I.; De Joannon, M.; Fernandes, R.; Glarborg, P.; Hashemi, H.; He, X.; Mashruk, S. Review on ammonia as a potential fuel: From synthesis to economics. Energy Fuels 2021, 35, 6964–7029. [Google Scholar] [CrossRef]
- Statista. Production Capacity of Ammonia Worldwide from 2018 to 2021, with a Forecast for 2026 and 2030. Available online: https://www.statista.com/statistics/1065865/ammonia-production-capacity-globally/ (accessed on 20 August 2023).
- Aziz, M.; TriWijayanta, A.; Nandiyanto, A.B.D. Ammonia as effective hydrogen storage: A review on production, storage and utilization. Energies 2020, 13, 3062. [Google Scholar] [CrossRef]
- Chavando, J.A.M.; Silva, V.B.; da Cruz Tarelho, L.A.; Cardoso, J.S.; Hall, M.J.; Eusébio, D. Chapter 7—Ammonia as an alternative. In Combustion Chemistry and the Carbon Neutral Future; Brezinsky, K., Ed.; Elsevier: Amsterdam, The Netherlands, 2023; pp. 179–208. [Google Scholar]
- Lim, D.; Moon, J.A.; Yoon, C.W.; Lim, H. Feasibility of electricity generation based on an ammonia-to-hydrogen-to-power system. Green Chem. 2023, 25, 3888–3895. [Google Scholar] [CrossRef]
- Otto, M.; Vesely, L.; Kapat, J.; Stoia, M.; Applegate, N.D.; Natsui, G. Ammonia as an Aircraft Fuel: A Critical Assessment From Airport to Wake. ASME Open J. Eng. 2023, 2, 021033. [Google Scholar] [CrossRef]
- Chorowski, M.; Lepszy, M.; Machaj, K.; Malecha, Z.; Porwisiak, D.; Porwisiak, P.; Rogala, Z.; Stanclik, M. Challenges of Application of Green Ammonia as Fuel in Onshore Transportation. Energies 2023, 16, 4898. [Google Scholar] [CrossRef]
- Takahashi, T.T. Maneuvering Capabilities of Hypersonic Airframes. In Proceedings of the AIAA SCITECH 2023 Forum, Online, 23–27 January 2023. [Google Scholar]
- Hewlett, S.G.; Pugh, D.G.; Valera-Medina, A.; Giles, A.; Runyon, J.; Goktepe, B.; Bowen, P.J. Industrial wastewater as an enabler of green ammonia to power via gas turbine technology. In Proceedings of the ASME Turbo Expo, Online, 21–25 September 2020. [Google Scholar]
- Hewlett, S.G.; Valera-Medina, A.; Pugh, D.G.; Bowen, P.J. Gas turbine co-firing of steelworks ammonia with coke oven gas or methane: A fundamental and cycle analysis. In Proceedings of the ASME Turbo Expo, Phoenix, AZ, USA, 17–21 June 2019. [Google Scholar]
- Giddey, S.; Badwal, S.P.S.; Munnings, C.; Dolan, M. Ammonia as a Renewable Energy Transportation Media. ACS Sustain. Chem. Eng. 2017, 5, 10231–10239. [Google Scholar] [CrossRef]
- Valera-Medina, A.; Pugh, D.G.; Marsh, P.; Bulat, G.; Bowen, P. Preliminary study on lean premixed combustion of ammonia-hydrogen for swirling gas turbine combustors. Int. J. Hydrogen Energy 2017, 42, 24495–24503. [Google Scholar] [CrossRef]
- Park, Y.-K.; Kim, B.-S. Catalytic removal of nitrogen oxides (NO, NO2, N2O) from ammonia-fueled combustion exhaust: A review of applicable technologies. Chem. Eng. J. 2023, 461, 141958. [Google Scholar] [CrossRef]
- Kohse-Höinghaus, K. Combustion, Chemistry, and Carbon Neutrality. Chem. Rev. 2023, 123, 5139–5219. [Google Scholar] [CrossRef] [PubMed]
- Shchepakina, E.A.; Zubrilin, I.A.; Kuznetsov, A.Y.; Tsapenkov, K.D.; Antonov, D.V.; Strizhak, P.A.; Yakushkin, D.V.; Ulitichev, A.G.; Dolinskiy, V.A.; Hernandez Morales, M. Physical and Chemical Features of Hydrogen Combustion and Their Influence on the Characteristics of Gas Turbine Combustion Chambers. Appl. Sci. 2023, 13, 3754. [Google Scholar] [CrossRef]
- Mathieu, O.; Petersen, E.L. Carbon-Free Fuels; American Chemical Society: Washington, DC, USA, 2023. [Google Scholar]
- Shah, Z.A.; Mehdi, G.; Congedo, P.M.; Mazzeo, D.; De Giorgi, M.G. A review of recent studies and emerging trends in plasma-assisted combustion of ammonia as an effective hydrogen carrier. Int. J. Hydrogen Energy, 2023, in press. [CrossRef]
- Zhai, L.; Liu, S.; Xiang, Z. Ammonia as a carbon-free hydrogen carrier for fuel cells: A perspective. Ind. Chem. Mater. 2023, 1, 332–342. [Google Scholar] [CrossRef]
- Zhang, J.; Li, X.; Zheng, J.; Du, M.; Wu, X.; Song, J.; Cheng, C.; Li, T.; Yang, W. Non-thermal plasma-assisted ammonia production: A review. Energy Convers. Manag. 2023, 293, 117482. [Google Scholar] [CrossRef]
- Aalrebei, O.F.; Al Assaf, A.H.; Amhamed, A.; Swaminathan, N.; Hewlett, S. Ammonia-hydrogen-air gas turbine cycle and control analyses. Int. J. Hydrogen Energy 2022, 47, 8603–8620. [Google Scholar] [CrossRef]
- Bozo, M.G.; Vigueras-Zuniga, M.O.; Buffi, M.; Seljak, T.; Valera-Medina, A. Fuel rich ammonia-hydrogen injection for humidified gas turbines. Appl. Energy 2019, 251, 113334. [Google Scholar] [CrossRef]
- Kang, L.; Pan, W.; Zhang, J.; Wang, W.; Tang, C. A review on ammonia blends combustion for industrial applications. Fuel 2023, 332, 126150. [Google Scholar] [CrossRef]
- Kumuk, O.; Ilbas, M. Comparative analysis of ammonia/hydrogen fuel blends combustion in a high swirl gas turbine combustor with different cooling angles. Int. J. Hydrogen Energy, 2023, in press. [CrossRef]
- Valera-Medina, A.; Goktepe, B.; Santhosh, R.; Runyon, J.; Giles, A.; Pugh, D.; Marsh, R.; Bowen, P. Ammonia gas turbines (AGT): Review. European Turbine Network (ETN) Proc. In Proceedings of the Future of Gas Turbine Technology 9th International Gas Turbine Conference, Brussels, Belgium, 10–11 October 2018. [Google Scholar]
- Kohansal, M.; Kiani, M.; Masoumi, S.; Nourinejad, S.; Ashjaee, M.; Houshfar, E. Experimental and Numerical Investigation of NH3/CH4 Mixture Combustion Properties under Elevated Initial Pressure and Temperature. Energy Fuels 2023, 37, 10681–10696. [Google Scholar] [CrossRef]
- Xiao, H.; Valera-Medina, A. Chemical Kinetic Mechanism Study on Premixed Combustion of Ammonia/Hydrogen Fuels for Gas Turbine Use. J. Eng. Gas Turbines Power-Trans. Asme 2017, 139, 081504. [Google Scholar] [CrossRef]
- Valera-Medina, A.; Morris, S.; Runyon, J.; Pugh, D.G.; Marsh, R.; Beasley, P.; Hughes, T. Ammonia, methane and hydrogen for gas turbines. Energy Procedia 2015, 75, 118–123. [Google Scholar] [CrossRef]
- Lindfors, J. Performance of Cracked Ammonia Combustion in a Gas Turbine Engine-Evaluation through CFD and Chemical Reactor Network Modeling. Master’s Thesis, Chalmers University of Technology, Gothenburg, Sweden, 2022. [Google Scholar]
- Tyler, C. Ammonia as a source of hydrogen for hardening oils. Oil Soap 1934, 11, 231. [Google Scholar] [CrossRef]
- Ikäheimo, J.; Kiviluoma, J.; Weiss, R.; Holttinen, H. Power-to-ammonia in future North European 100% renewable power and heat system. Int. J. Hydrogen Energy 2018, 43, 17295–17308. [Google Scholar] [CrossRef]
- Lewis, B.; Von Elbe, G. Combustion, Flames and Explosions of Gases; Elsevier: Amsterdam, The Netherlands, 2012. [Google Scholar]
- Verkamp, F.J.; Hardin, M.C.; Williams, J.R. Ammonia combustion properties and performance in gas-turbine burners. Symp. (Int.) Combust. 1967, 11, 985–992. [Google Scholar] [CrossRef]
- Brohi, E. Ammonia as Fuel for Internal Combustion Engines? Master’s Thesis, Chalmers University of Technology, Gothenburg, Sweden, 2014. [Google Scholar]
- Lhuillier, C.; Brequigny, P.; Contino, F.; Mounaïm-Rousselle, C. Experimental study on ammonia/hydrogen/air combustion in spark ignition engine conditions. Fuel 2020, 269, 117448. [Google Scholar] [CrossRef]
- Avery, W. A role for ammonia in the hydrogen economy. Int. J. Hydrogen Energy 1988, 13, 761–773. [Google Scholar] [CrossRef]
- Dimitriou, P.; Javaid, R. A review of ammonia as a compression ignition engine fuel. Int. J. Hydrogen Energy 2020, 45, 7098–7118. [Google Scholar] [CrossRef]
- Mathieu, O.; Petersen, E.L. Experimental and modeling study on the high-temperature oxidation of Ammonia and related NOx chemistry. Combust. Flame 2015, 162, 554–570. [Google Scholar] [CrossRef]
- Valera-Medina, A.; Marsh, R.; Runyon, J.; Pugh, D.; Beasley, P.; Hughes, T.; Bowen, P. Ammonia–methane combustion in tangential swirl burners for gas turbine power generation. Appl. Energy 2017, 185, 1362–1371. [Google Scholar] [CrossRef]
- Xiao, H.; Valera-Medina, A.; Marsh, R.; Bowen, P.J. Numerical study assessing various ammonia/methane reaction models for use under gas turbine conditions. Fuel 2017, 196, 344–351. [Google Scholar] [CrossRef]
- Duynslaegher, C.; Jeanmart, H.; Vandooren, J. Flame structure studies of premixed ammonia/hydrogen/oxygen/argon flames: Experimental and numerical investigation. Proc. Combust. Inst. 2009, 32, 1277–1284. [Google Scholar] [CrossRef]
- Dayma, G.; Dagaut, P. Effects of air contamination on the combustion of hydrogen—Effect of NO and NO2 addition on hydrogen ignition and oxidation kinetics. Combust. Sci. Technol. 2006, 178, 1999–2024. [Google Scholar] [CrossRef]
- Pugh, D.; Bowen, P.; Valera-Medina, A.; Giles, A.; Runyon, J.; Marsh, R. Influence of steam addition and elevated ambient conditions on NOx reduction in a staged premixed swirling NH3/H2 flame. Proc. Combust. Inst. 2019, 37, 5401–5409. [Google Scholar] [CrossRef]
- Mao, C.; Wang, P.; Wang, Y.; Valera Medina, A.; Cheng, K. Effects of equivalence ratio, inlet temperature and pressure on NO emissions for two stage combustion of NH3/H2 fuel mixture. In Proceedings of the 13th Asia-Pacific Conference on Combustion (ASPACC 2021), Abu Dhabi, United Arab Emirates, 5–9 December 2021. [Google Scholar]
- Shariff, S.W.M.; Sulaiman, S.; Azizul, M.A. Simulation and Modelling. The Spray Behaviour of Ammonia-Biodiesel Fuel Blends and Injector Characteristics in Micro-Gas Turbine. Prog. Eng. Appl. Technol. 2022, 3, 621–629. [Google Scholar]
- Kurata, O.; Iki, N.; Matsunuma, T.; Inoue, T.; Tsujimura, T.; Furutani, H.; Kobayashi, H.; Hayakawa, A. Performances and emission characteristics of NH3–air and NH3CH4–air combustion gas-turbine power generations. Proc. Combust. Inst. 2017, 36, 3351–3359. [Google Scholar] [CrossRef]
- Iki, N.; Kurata, O.; Matsunuma, T.; Inoue, T.; Suzuki, M.; Tsujimura, T.; Furutani, H. Micro gas turbine firing kerosene and ammonia. In Turbo Expo: Power for Land, Sea, and Air; American Society of Mechanical Engineers: New York, NY, USA, 2015. [Google Scholar]
- Shmakov, A.; Korobeinichev, O.; Rybitskaya, I.; Chernov, A.; Knyazkov, D.; Bolshova, T.; Konnov, A. Formation and consumption of NO in H2 + O2 + N2 flames doped with NO or NH3 at atmospheric pressure. Combust. Flame 2010, 157, 556–565. [Google Scholar] [CrossRef]
- Kumar, P.; Meyer, T.R. Experimental and modeling study of chemical-kinetics mechanisms for H2–NH3–air mixtures in laminar premixed jet flames. Fuel 2013, 108, 166–176. [Google Scholar] [CrossRef]
- Powell, O.; Papas, P.; Dreyer, C. Flame structure measurements of NO in premixed hydrogen–nitrous oxide flames. Proc. Combust. Inst. 2011, 33, 1053–1062. [Google Scholar] [CrossRef]
- Zhao, H.; Zhao, D.; Becker, S.; Zhang, Y. NO emission and enhanced thermal performances studies on Counter-flow Double-channel Hydrogen/Ammonia-fuelled microcombustors with Oval-shaped internal threads. Fuel 2023, 341, 127665. [Google Scholar] [CrossRef]
- Lee, H.; Lee, M.J. Recent Advances in Ammonia Combustion Technology in Thermal Power Generation System for Carbon Emission Reduction. Energies 2021, 14, 5604. [Google Scholar] [CrossRef]
- Somarathne, K.D.K.A.; Okafor, E.C.; Hayakawa, A.; Kudo, T.; Kurata, O.; Iki, N.; Kobayashi, H. Emission characteristics of turbulent non-premixed ammonia/air and methane/air swirl flames through a rich-lean combustor under various wall thermal boundary conditions at high pressure. Combust. Flame 2019, 210, 247–261. [Google Scholar] [CrossRef]
- Hayakawa, A.; Arakawa, Y.; Mimoto, R.; Somarathne, K.D.K.A.; Kudo, T.; Kobayashi, H. Experimental investigation of stabilization and emission characteristics of ammonia/air premixed flames in a swirl combustor. Int. J. Hydrogen Energy 2017, 42, 14010–14018. [Google Scholar] [CrossRef]
- Okafor, E.C.; Tsukamoto, M.; Hayakawa, A.; Somarathne, K.D.K.A.; Kudo, T.; Tsujimura, T.; Kobayashi, H. Influence of wall heat loss on the emission characteristics of premixed ammonia-air swirling flames interacting with the combustor wall. Proc. Combust. Inst. 2021, 38, 5139–5146. [Google Scholar] [CrossRef]
- Pacheco, G.P.; Rocha, R.C.; Franco, M.C.; Mendes, M.A.A.; Fernandes, E.C.; Coelho, P.J.; Bai, X.S. Experimental and kinetic investigation of stoichiometric to rich NH3/H2/Air flames in a swirl and bluff-body stabilized burner. Energy Fuels 2021, 35, 7201–7216. [Google Scholar] [CrossRef]
- Rocha, R.C.; Costa, M.; Bai, X.S. Combustion and Emission Characteristics of Ammonia under Conditions Relevant to Modern Gas Turbines. Combust. Sci. Technol. 2021, 193, 2514–2533. [Google Scholar] [CrossRef]
- Kurata, O.; Iki, N.; Inoue, T.; Matsunuma, T.; Tsujimura, T.; Furutani, H.; Kawano, M.; Arai, K.; Okafor, E.C.; Hayakawa, A.; et al. Development of a wide range-operable, rich-lean low-NOx combustor for NH3 fuel gas-turbine power generation. Proc. Combust. Inst. 2019, 37, 4587–4595. [Google Scholar] [CrossRef]
- Li, Z.X.; Li, S.H. Effects of inter-stage mixing on the NOx emission of staged ammonia combustion. Int. J. Hydrogen Energy 2022, 47, 9791–9799. [Google Scholar] [CrossRef]
- Somarathne, K.D.K.A.; Okafor, E.C.; Sugawara, D.; Hayakawa, A.; Kobayashi, H. Effects of OH concentration and temperature on NO emission characteristics of turbulent non-premixed CH4/NH3/air flames in a two-stage gas turbine like combustor at high pressure. Proc. Combust. Inst. 2021, 38, 5163–5170. [Google Scholar] [CrossRef]
- Somarathne, K.; Hatakeyama, S.; Hayakawa, A.; Kobayashi, H. Numerical study of a low emission gas turbine like combustor for turbulent ammonia/air premixed swirl flames with a secondary air injection at high pressure. Int. J. Hydrogen Energy 2017, 42, 27388–27399. [Google Scholar] [CrossRef]
- Sun, Y.; Cai, T.; Shahsavari, M.; Sun, D.; Sun, X.; Zhao, D.; Wang, B. RANS simulations on combustion and emission characteristics of a premixed NH3/H2 swirling flame with reduced chemical kinetic model. Chin. J. Aeronaut. 2021, 34, 17–27. [Google Scholar] [CrossRef]
- Duan, L.; Li, T. Research progress of ammonia combustion characteristic and stable-combustion technology. Huazhong Keji Daxue Xuebao (Ziran Kexue Ban)/J. Huazhong Univ. Sci. Technol. (Nat. Sci. Ed.) 2022, 50, 41–54. [Google Scholar] [CrossRef]
- Miller, J.A.; Bowman, C.T. Mechanism and modeling of nitrogen chemistry in combustion. Prog. Energy Combust. Sci. 1989, 15, 287–338. [Google Scholar] [CrossRef]
- Lindstedt, R.; Lockwood, F.; Selim, M. Detailed kinetic modelling of chemistry and temperature effects on ammonia oxidation. Combust. Sci. Technol. 1994, 99, 253–276. [Google Scholar] [CrossRef]
- Duynslaegher, C.; Contino, F.; Vandooren, J.; Jeanmart, H. Modeling of ammonia combustion at low pressure. Combust. Flame 2012, 159, 2799–2805. [Google Scholar] [CrossRef]
- Tian, Z.; Li, Y.; Zhang, L.; Glarborg, P.; Qi, F. An experimental and kinetic modeling study of premixed NH3/CH4/O2/Ar flames at low pressure. Combust. Flame 2009, 156, 1413–1426. [Google Scholar] [CrossRef]
- Li, J.; Huang, H.; Kobayashi, N.; Wang, C.; Yuan, H. Numerical study on laminar burning velocity and ignition delay time of ammonia flame with hydrogen addition. Energy 2017, 126, 796–809. [Google Scholar] [CrossRef]
- Dagaut, P.; Nicolle, A. Experimental and kinetic modeling study of the effect of SO2 on the reduction of NO by ammonia. Proc. Combust. Inst. 2005, 30, 1211–1218. [Google Scholar] [CrossRef]
- Kéromnès, A.; Metcalfe, W.K.; Heufer, K.A.; Donohoe, N.; Das, A.K.; Sung, C.-J.; Herzler, J.; Naumann, C.; Griebel, P.; Mathieu, O. An experimental and detailed chemical kinetic modeling study of hydrogen and syngas mixture oxidation at elevated pressures. Combust. Flame 2013, 160, 995–1011. [Google Scholar] [CrossRef]
- Xiao, H.; Chen, A.; Zhang, M.; Guo, Y.; Ying, W. Using Ammonia as Future Energy: Modelling of Reaction Mechanism for Ammonia/Hydrogen Blends. J. Phys. Conf. Ser. 2022, 2361, 012012. [Google Scholar] [CrossRef]
- Cai, T.; Zhao, D.; Gutmark, E. Overview of fundamental kinetic mechanisms and emission mitigation in ammonia combustion. Chem. Eng. J. 2023, 458, 141391. [Google Scholar] [CrossRef]
- Wang, Z.; Yu, Z.; Chen, C.; He, Y.; Zhu, Y. Research progress on combustion characteristics of new zero carbon ammonia fuel. J. Huazhong Univ. Sci. Technol. (Nat. Sci. Ed.) 2022, 50, 27–40+78. [Google Scholar] [CrossRef]
- Okafor, E.C.; Naito, Y.; Colson, S.; Ichikawa, A.; Kudo, T.; Hayakawa, A.; Kobayashi, H. Experimental and numerical study of the laminar burning velocity of CH4-NH3-air premixed flames. Combust. Flame 2018, 187, 185–198. [Google Scholar] [CrossRef]
- Fenimore, C.; Jones, G. Oxidation of ammonia in flames. J. Phys. Chem. 1961, 65, 298–303. [Google Scholar] [CrossRef]
- Miller, J.A.; Smooke, M.D.; Green, R.M.; Kee, R.J. Kinetic modeling of the oxidation of ammonia in flames. Combust. Sci. Technol. 1983, 34, 149–176. [Google Scholar] [CrossRef]
- Skreiberg, Ø.; Kilpinen, P.; Glarborg, P. Ammonia chemistry below 1400 K under fuel-rich conditions in a flow reactor. Combust. Flame 2004, 136, 501–518. [Google Scholar] [CrossRef]
- Han, X.; Wang, Z.; He, Y.; Zhu, Y.; Cen, K. Experimental and kinetic modeling study of laminar burning velocities of NH3/syngas/air premixed flames. Combust. Flame 2020, 213, 1–13. [Google Scholar] [CrossRef]
- Alnasif, A.; Mashruk, S.; Shi, H.; Alnajideen, M.; Wang, P.; Pugh, D.; Valera-Medina, A. Evolution of ammonia reaction mechanisms and modeling parameters: A review. Appl. Energy Combust. Sci. 2023, 15, 100175. [Google Scholar]
- Nakamura, H.; Hasegawa, S.; Tezuka, T. Kinetic modeling of ammonia/air weak flames in a micro flow reactor with a controlled temperature profile. Combust. Flame 2017, 185, 16–27. [Google Scholar] [CrossRef]
- Glarborg, P.; Miller, J.A.; Ruscic, B.; Klippenstein, S.J. Modeling nitrogen chemistry in combustion. Prog. Energy Combust. Sci. 2018, 67, 31–68. [Google Scholar] [CrossRef]
- Wang, S.; Wang, Z.; Elbaz, A.M.; Han, X.; He, Y.; Costa, M.; Konnov, A.A.; Roberts, W.L. Experimental study and kinetic analysis of the laminar burning velocity of NH3/syngas/air, NH3/CO/air and NH3/H2/air premixed flames at elevated pressures. Combust. Flame 2020, 221, 270–287. [Google Scholar] [CrossRef]
- Okafor, E.C.; Somarathne, K.K.A.; Hayakawa, A.; Kudo, T.; Kurata, O.; Iki, N.; Kobayashi, H. Towards the development of an efficient low-NOx ammonia combustor for a micro gas turbine. Proc. Combust. Inst. 2019, 37, 4597–4606. [Google Scholar] [CrossRef]
- Sorrentino, G.; Sabia, P.; Bozza, P.; Ragucci, R.; de Joannon, M. Low-NOx conversion of pure ammonia in a cyclonic burner under locally diluted and preheated conditions. Appl. Energy 2019, 254, 113676. [Google Scholar] [CrossRef]
- Božo, M.G.; Valera-Medina, A. Prediction of Novel Humified Gas Turbine Cycle Parameters for Ammonia/Hydrogen Fuels. Energies 2020, 13, 5749. [Google Scholar] [CrossRef]
- Okafor, E.C.; Kurata, O.; Yamashita, H.; Inoue, T.; Tsujimura, T.; Iki, N.; Hayakawa, A.; Ito, S.; Uchida, M.; Kobayashi, H. Liquid ammonia spray combustion in two-stage micro gas turbine combustors at 0.25 MPa; Relevance of combustion enhancement to flame stability and NOx control. Appl. Energy Combust. Sci. 2021, 7, 100038. [Google Scholar] [CrossRef]
- Hussein, N.A.; Valera-Medina, A.; Alsaegh, A.S. Ammonia-hydrogen combustion in a swirl burner with reduction of NOx emissions. Energy Procedia 2019, 158, 2305–2310. [Google Scholar] [CrossRef]
- Mashruk, S.; Kovaleva, M.; Tung Chong, C.; Hayakawa, A.; Okafor, E.C.; Valera-Medina, A. Nitrogen oxides as a by-product of ammonia/hydrogen combustion regimes. Chem. Eng. Trans. 2021, 89, 613–618. [Google Scholar]
- Ammonia-Powered Gas Turbines. Available online: https://www.ge.com/gas-power/future-of-energy/ammonia-powered-gas-turbines (accessed on 10 August 2023).
- Wu, B. Keppel Breaks Ground for Singapore’s First Hydrogen Ready Cogeneration Plant. Company in the News 2023. Available online: https://www.theedgesingapore.com/news/company-news/keppel-breaks-ground-singapores-first-hydrogen-ready-cogeneration-plant (accessed on 10 August 2023).
- Bailey, M. Johnson Matthey and Doosan Enerbility Jointly Developing Integrated Ammonia-Cracking Projects. Sustainabilit 2023. Available online: https://www.chemengonline.com/johnson-matthey-and-doosan-enerbility-jointly-developing-integrated-ammonia-cracking-projects/ (accessed on 10 August 2023).
- Young-sil, Y. Korea Expediting Creation of World’s First Hydrogen Power Tender Market. Power Generation Avenues 2023. Available online: http://www.businesskorea.co.kr/news/articleView.html?idxno=120138 (accessed on 10 August 2023).
- Park, H.-S. Hanwha Impact Develops 50% Hydrogen Gas Turbine Technology. Energy 2023. Available online: https://www.kedglobal.com/energy/newsView/ked202306220011 (accessed on 10 August 2023).
- Čučuk, A. MHI Launches Operations at Nagasaki Carbon Neutral Park. Business Developments & Projects 2023. Available online: https://www.offshore-energy.biz/mhi-launches-operations-at-nagasaki-carbon-neutral-park/ (accessed on 10 August 2023).
- Smith, M. Australia Fuels Japan’s Big Bet on Ammonia. North Asia Correspondent 2023. Available online: https://www.afr.com/world/asia/australia-fuels-japan-s-big-bet-on-ammonia-20230709-p5dmux (accessed on 10 August 2023).
- Otto, M.; Chagoya, K.L.; Blair, R.G.; Hick, S.M.; Kapat, J.S. Optimal hydrogen carrier: Holistic evaluation of hydrogen storage and transportation concepts for power generation, aviation, and transportation. J. Energy Storage 2022, 55, 105714. [Google Scholar] [CrossRef]
- Langston, L. The Adaptable Gas Turbine. 2013. Available online: https://www.americanscientist.org/article/the-adaptable-gas-turbine (accessed on 19 March 2023).
- Poullikkas, A. An overview of current and future sustainable gas turbine technologies. Renew. Sustain. Energy Rev. 2005, 9, 409–443. [Google Scholar] [CrossRef]
- Yee, S.K.; Milanovic, J.V.; Hughes, F.M. Overview and comparative analysis of gas turbine models for system stability studies. IEEE Trans. Power Syst. 2008, 23, 108–118. [Google Scholar] [CrossRef]
- Thitakamol, B.; Veawab, A.; Aroonwilas, A. Environmental impacts of absorption-based CO2 capture unit for post-combustion treatment of flue gas from coal-fired power plant. Int. J. Greenh. Gas Control 2007, 1, 318–342. [Google Scholar] [CrossRef]
- Singer, R. New materials for industrial gas turbines. Mater. Sci. Technol. 1987, 3, 726–732. [Google Scholar] [CrossRef]
- Glenny, R.; Northwood, J.; Smith, A.B. Materials for gas turbines. Int. Metall. Rev. 1975, 20, 1–28. [Google Scholar] [CrossRef]
- Schilke, P.; Foster, A.; Pepe, J. Advanced Gas Turbine Materials and Coatings; General Electric Company: New York, NY, USA, 1991. [Google Scholar]
- Singh, K. Advanced materials for land based gas turbines. Trans. Indian Inst. Met. 2014, 67, 601–615. [Google Scholar] [CrossRef]
- Biswas, S.; Ramachandra, S.; Hans, P.; Kumar, S.S. Materials for Gas Turbine Engines: Present Status, Future Trends and Indigenous Efforts. J. Indian Inst. Sci. 2022, 102, 297–309. [Google Scholar] [CrossRef]
- Bakan, E.; Mack, D.E.; Mauer, G.; Vaßen, R.; Lamon, J.; Padture, N.P. High-temperature materials for power generation in gas turbines. In Advanced Ceramics for Energy Conversion and Storage; Elsevier: Amsterdam, The Netherlands, 2020; pp. 3–62. [Google Scholar]
- Stefan, E.; Talic, B.; Larring, Y.; Gruber, A.; Peters, T.A. Materials challenges in hydrogen-fuelled gas turbines. Int. Mater. Rev. 2022, 67, 461–486. [Google Scholar] [CrossRef]
- Nathan, S. Jewel in the Crown: Rolls-Royce’s Single-Crystal Turbine Blade Casting Foundry. The Engineer Online. Available online: https://go.gale.com/ps/i.do?id=GALE%7CA417139592&sid=sitemap&v=2.1&it=r&p=AONE&sw=w&userGroupName=anon%7E37650ece&aty=open-web-entry2015 (accessed on 20 August 2023).
- Valera-Medina, A.; Gutesa, M.; Xiao, H.; Pugh, D.; Giles, A.; Goktepe, B.; Marsh, R.; Bowen, P. Premixed ammonia/hydrogen swirl combustion under rich fuel conditions for gas turbines operation. Int. J. Hydrogen Energy 2019, 44, 8615–8626. [Google Scholar] [CrossRef]
- Zamfirescu, C.; Dincer, I. Using ammonia as a sustainable fuel. J. Power Sources 2008, 185, 459–465. [Google Scholar] [CrossRef]
- Cornelius, W.; Huellmantel, L.W.; Mitchell, H.R. Ammonia as an engine fuel. SAE Trans. 1966, 300–326. Available online: https://www.sae.org/publications/technical-papers/content/650052/ (accessed on 20 August 2023).
- Westlye, F.R.; Ivarsson, A.; Schramm, J. Experimental investigation of nitrogen based emissions from an ammonia fueled SI-engine. Fuel 2013, 111, 239–247. [Google Scholar] [CrossRef]
- Xu, X.; Liu, E.; Zhu, N.; Liu, F.; Qian, F. Review of the Current Status of Ammonia-Blended Hydrogen Fuel Engine Development. Energies 2022, 15, 1023. [Google Scholar] [CrossRef]
- Lee, J.; Kim, J.; Park, J.; Kwon, O. Studies on properties of laminar premixed hydrogen-added ammonia/air flames for hydrogen production. Int. J. Hydrogen Energy 2010, 35, 1054–1064. [Google Scholar] [CrossRef]
- Božo, M.G.; Mashruk, S.; Zitouni, S.; Valera-Medina, A. Humidified ammonia/hydrogen RQL combustion in a trigeneration gas turbine cycle. Energy Convers. Manag. 2021, 227, 113625. [Google Scholar] [CrossRef]
- Lefebvre, A.H.; Ballal, D.R. Gas Turbine Combustion: Alternative Fuels and Emissions; CRC Press: Boca Raton, FL, USA, 2010. [Google Scholar]
- Feitelberg, A.S.; Jackson, M.R.; Lacey, M.A.; Manning, K.S.; Ritter, A.M. Design and Performance of a Low Btu Fuel Rich-Quench-Lean Gas Turbine Combustor; USDOE Morgantown Energy Technology Center (METC): Morgantown, WV, USA, 1996.
- Okafor, E.C.; Somarathne, K.K.A.; Ratthanan, R.; Hayakawa, A.; Kudo, T.; Kurata, O.; Iki, N.; Tsujimura, T.; Furutani, H.; Kobayashi, H. Control of NOx and other emissions in micro gas turbine combustors fuelled with mixtures of methane and ammonia. Combust. Flame 2020, 211, 406–416. [Google Scholar] [CrossRef]
- De Paepe, W.; Carrero, M.M.; Bram, S.; Contino, F.; Parente, A. Waste heat recovery optimization in micro gas turbine applications using advanced humidified gas turbine cycle concepts. Appl. Energy 2017, 207, 218–229. [Google Scholar] [CrossRef]
- Huang, Z.; Yang, C.; Yang, H.; Ma, X. Off-design heating/power flexibility for steam injected gas turbine based CCHP considering variable geometry operation. Energy 2018, 165, 1048–1060. [Google Scholar] [CrossRef]
- Zhang, C.; Wang, X.; Yang, C.; Yang, Z. Control strategies of steam-injected gas turbine in CCHP system. Energy Procedia 2017, 105, 1520–1525. [Google Scholar] [CrossRef]
- Larson, E.D.; Williams, R.H. Steam-injected gas turbines. J. Eng. Gas Turbines Power 1987, 109, 55–63. [Google Scholar] [CrossRef]
- Jones, J.; Flynn, B.; Strother, J. Operating Flexibility and Economic Benefits of a Dual-Fluid Cycle 501-KB Gas Turbine Engine in Cogeneration Applications. In Turbo Expo: Power for Land, Sea, and Air; American Society of Mechanical Engineers: New York, NY, USA, 1982. [Google Scholar]
- Huzel, D.K.; Huang, D.H. Modern engineering for design of liquid-propellant rocket engines (Revised and enlarged edition). In Progress in Astronautics and Aeronautics; American Institute of Aeronautics & Astronautics: Reston, VA, USA, 1992; Volume 147. [Google Scholar]
- Pollock, T.M. Alloy design for aircraft engines. Nat. Mater. 2016, 15, 809–815. [Google Scholar] [CrossRef] [PubMed]
- Lee, J.A.; Woods, S. Hydrogen Embrittlement; NASA: Washington, DC, USA, 2016.
- González, M.S.; Rojas-Hernández, I. Hydrogen embrittlement of metals and alloys in combustion engines. Tecnol. Marcha 2018, 31, 3–13. [Google Scholar]
- Alhuyi Nazari, M.; Fahim Alavi, M.; Salem, M.; Assad, M.E.H. Utilization of hydrogen in gas turbines: A comprehensive review. Int. J. Low-Carbon Technol. 2022, 17, 513–519. [Google Scholar] [CrossRef]
- Stuen, T.H. Influence of Hydrogen Use As a Fuel on Aeroderivative Gas Turbine Performance; NTNU: Trondheim, Norway, 2021. [Google Scholar]
- Duarte, M.J.; Fang, X.; Rao, J.; Krieger, W.; Brinckmann, S.; Dehm, G. In situ nanoindentation during electrochemical hydrogen charging: A comparison between front-side and a novel back-side charging approach. J. Mater. Sci. 2021, 56, 8732–8744. [Google Scholar] [CrossRef]
- Lagow, B.W. Materials selection in gas turbine engine design and the role of low thermal expansion materials. JOM 2016, 68, 2770–2775. [Google Scholar] [CrossRef]
- Kıymaz, T.B.; Böncü, E.; Güleryüz, D.; Karaca, M.; Yılmaz, B.; Allouis, C.; Gökalp, İ. Numerical investigations on flashback dynamics of premixed methane-hydrogen-air laminar flames. Int. J. Hydrogen Energy 2022, 47, 25022–25033. [Google Scholar] [CrossRef]
- Davies, M. Corrosion by Ammonia. ASM Handb. 2006, 13, 727–735. Available online: https://www.osti.gov/biblio/6371012 (accessed on 20 August 2023).
- Loginow, A. A review of stress corrosion cracking of steel in liquefied ammonia service. Mater. Perform. 1986, 25, 8–22. [Google Scholar]
- Davalos-Monteiro, R. Observations of corrosion product formation and stress corrosion cracking on brass samples exposed to ammonia environments. Mater. Res. 2018, 22, e20180077. [Google Scholar] [CrossRef]
- Bordenet, B.; Singheiser, L. High Temperature Corrosion in Gas Turbines: Thermodynamic Modelling and Experimental Results; Fakultät für Maschinenwesen: Aachen, Germany, 2004. [Google Scholar]
- Wu, W.; Wei, B.; Li, G.; Chen, L.; Wang, J.; Ma, J. Study on ammonia gas high temperature corrosion coupled erosion wear characteristics of circulating fluidized bed boiler. Eng. Fail. Anal. 2022, 132, 105896. [Google Scholar] [CrossRef]
- Fathyunes, L.; Mohtadi-Bonab, M. A Review on the Corrosion and Fatigue Failure of Gas Turbines. Metals 2023, 13, 701. [Google Scholar] [CrossRef]
- Ma, D. Novel casting processes for single-crystal turbine blades of superalloys. Front. Mech. Eng. 2018, 13, 3–16. [Google Scholar] [CrossRef]
- Wee, S.; Do, J.; Kim, K.; Lee, C.; Seok, C.; Choi, B.-G.; Choi, Y.; Kim, W. Review on mechanical thermal properties of superalloys and thermal barrier coating used in gas turbines. Appl. Sci. 2020, 10, 5476. [Google Scholar] [CrossRef]
- Smialek, J.L.; Miller, R.A. Revisiting the birth of 7YSZ thermal barrier coatings: Stephan Stecura. Coatings 2018, 8, 255. [Google Scholar] [CrossRef]
- Han, J.-C. Fundamental gas turbine heat transfer. J. Therm. Sci. Eng. Appl. 2013, 5, 021007. [Google Scholar] [CrossRef]
- Gok, M.G.; Goller, G. State of the art of gadolinium zirconate based thermal barrier coatings: Design, processing and characterization. In Methods for Film Synthesis and Coating Procedures; IntechOpen: London, UK, 2019. [Google Scholar]
- Alexeev, R.; Tishchenko, V.; Gribin, V.; Gavrilov, I.Y. Turbine blade profile design method based on Bezier curves. J. Phys. Conf. Ser. 2017, 891, 012254. [Google Scholar] [CrossRef]
- Gribin, V.; Tishchenko, V.; Alexeev, R. Turbine blade profile design using bezier curves. In Proceedings of the 12th European Conference on Turbomachinery Fluid Dynamics and Thermodynamics, ETC 2017, Stockholm, Sweden, 3–7 April 2017. [Google Scholar]
- Blazek, J. Computational fluid dynamics: Principles and applications; Butterworth-Heinemann: Oxford, UK, 2015. [Google Scholar]
- Singh, M.P.; PE, G.M.L. Blade Design and Analysis for Steam Turbines; McGraw-Hill Education: New York, NY, USA, 2011. [Google Scholar]
- Halls, G. Air Cooling of Turbine Blades and Vanes: An account of the history and development of gas turbine cooling. Aircr. Eng. Aerosp. Technol. 1967, 39, 4–14. [Google Scholar] [CrossRef]
- Wright, L.M.; Han, J.-C. Enhanced internal cooling of turbine blades and vanes. Gas Turbine Handb. 2006, 4, 1–5. [Google Scholar]
- Han, J.-C.; Rallabandi, A. Turbine blade film cooling using PSP technique. Front. Heat Mass Transf. 2010, 1, 013001. [Google Scholar] [CrossRef]
- Sanz, W. Design of Thermal Turbomachinery; Ankara, Institute for Thermal Turbomachinery and Machine Dynamics, Graz University of Technology: Graz, Austria, 2008. [Google Scholar]
- Soares, C. Gas turbines in simple cycle & combined cycle applications. In The Gas Turbine Handbook; NETL: Morgantown, WV, USA, 1998. [Google Scholar]
- Latcovich, J.A., Jr.; Bach, C.S. Field Evaluation and Operating Experience of the Allison 501-KB5 Industrial Gas Turbine. In Turbo Expo: Power for Land, Sea, and Air; American Society of Mechanical Engineers: New York, NY, USA, 1986. [Google Scholar]
- Bloch, H.P.; Soares, C. Process Plant Machinery; Elsevier: Amsterdam, The Netherlands, 1998. [Google Scholar]
- Royce, R. Rolls Royce; Rolls Royce: Derby, UK, 2018. [Google Scholar]
- Alkebsi, E.A.A.; Ameddah, H.; Outtas, T.; Almutawakel, A. Design of graded lattice structures in turbine blades using topology optimization. Int. J. Comput. Integr. Manuf. 2021, 34, 370–384. [Google Scholar] [CrossRef]
- Yvon, P.; Carré, F. Structural materials challenges for advanced reactor systems. J. Nucl. Mater. 2009, 385, 217–222. [Google Scholar] [CrossRef]
- Walter, K.; Greaves, W. Life assessment of gas turbine components using nondestructive inspection techniques. In Turbo Expo: Power for Land, Sea, and Air; American Society of Mechanical Engineers: New York, NY, USA, 1997. [Google Scholar]
- Ramakrishnan, A.; Dinda, G. Direct laser metal deposition of Inconel 738. Mater. Sci. Eng. A 2019, 740, 1–13. [Google Scholar] [CrossRef]
- Fanijo, E.O.; Thomas, J.G.; Zhu, Y.; Cai, W.; Brand, A.S. Surface Characterization Techniques: A Systematic Review of their Principles, Applications, and Perspectives in Corrosion Studies. J. Electrochem. Soc. 2022. Available online: https://iopscience.iop.org/article/10.1149/1945-7111/ac9b9b/meta (accessed on 20 August 2023). [CrossRef]
- Bogdan, M.; Błachnio, J.; Kułaszka, A.; Zasada, D. Investigation of the Relationship between Degradation of the Coating of Gas Turbine Blades and Its Surface Color. Materials 2021, 14, 7843. [Google Scholar] [CrossRef] [PubMed]
- Livings, R.; Smith, N.; Biedermann, E.; Scheibel, J. Process Compensated Resonance Testing for Qualifying the Metallurgical Aspects and Manufacturing Defects of Turbine Blades. In Turbo Expo: Power for Land, Sea, and Air; American Society of Mechanical Engineers: New York, NY, USA, 2020. [Google Scholar]
- Karaoglanli, A.C.; Ogawa, K.; Turk, A.; Ozdemir, I. Thermal shock and cycling behavior of thermal barrier coatings (TBCs) used in gas turbines. Prog. Gas Turbine Perform. 2013, 2013, 237–260. [Google Scholar]
- Laguna-Camacho, J.; Villagrán-Villegas, L.; Martínez-García, H.; Juárez-Morales, G.; Cruz-Orduña, M.; Vite-Torres, M.; Ríos-Velasco, L.; Hernández-Romero, I. A study of the wear damage on gas turbine blades. Eng. Fail. Anal. 2016, 61, 88–99. [Google Scholar] [CrossRef]
- Gallardo, J.; Rodríguez, J.; Herrera, E. Failure of gas turbine blades. Wear 2002, 252, 264–268. [Google Scholar] [CrossRef]
- Choudhary, O.; Kalita, P.; Doley, P.; Kalita, A. 1. Scanning Electron Microscope-Advantages and Disadvantages in Imaging Components by OP Choudhary, PC Kalita, PJ Doley and A. Kalita. Life Sci. Leafl. 2017, 85, 1–7. [Google Scholar]
- Hodoroaba, V.-D. Energy-dispersive X-ray spectroscopy (EDS). In Characterization of Nanoparticles; Elsevier: Amsterdam, The Netherlands, 2020; pp. 397–417. [Google Scholar]
- Teixeira, Ó.; Silva, F.J.; Atzeni, E. Residual stresses and heat treatments of Inconel 718 parts manufactured via metal laser beam powder bed fusion: An overview. Int. J. Adv. Manuf. Technol. 2021, 113, 3139–3162. [Google Scholar] [CrossRef]
- Sun, F.; Tong, J.; Feng, Q.; Zhang, J. Microstructural evolution and deformation features in gas turbine blades operated in-service. J. Alloys Compd. 2015, 618, 728–733. [Google Scholar] [CrossRef]
- Kalita, O.C.P.; Doley, P.; Kalita, A. 2. Uses of Transmission Electron Microscope in Microscopy and Its Advantages and Disadvantages by OP Choudhary, PC Kalita, PJ Doley and A. Kalita. Life Sci. Leafl. 2017, 85, 8–13. [Google Scholar]
- Gadegaard, N. Atomic force microscopy in biology: Technology and techniques. Biotech. Histochem. 2006, 81, 87–97. [Google Scholar] [CrossRef] [PubMed]
- Shinato, K.W.; Huang, F.; Jin, Y. Principle and application of atomic force microscopy (AFM) for nanoscale investigation of metal corrosion. Corros. Rev. 2020, 38, 423–432. [Google Scholar] [CrossRef]
- Lee, D.W.; Cho, S.S.; Hong, S.H.; Joo, W.S. Failure analysis of turbine blade in atomic power plant. J. Mech. Sci. Technol. 2008, 22, 864–870. [Google Scholar] [CrossRef]
- Kovalev, A.; Tishchenko, L.; Shashurin, V.; Galinovskii, A. Application of X-ray diffraction methods to studying materials. Russ. Metall. (Met.) 2017, 2017, 1186–1193. [Google Scholar] [CrossRef]
- Nakai, I.; Abe, Y. Portable X-ray powder diffractometer for the analysis of art and archaeological materials. Appl. Phys. A 2012, 106, 279–293. [Google Scholar] [CrossRef]
- Wilson, T. Scanning optical microscopy. Scanning 1985, 7, 79–87. [Google Scholar] [CrossRef]
- Kiran Attota, R. Through-focus scanning optical microscopy applications. In Unconventional Optical Imaging; SPIE: Gaithersburg, MD, USA, 2018. [Google Scholar]
- Nellist, P.D. Scanning transmission electron microscopy. In Springer Handbook of Microscopy; Springer: Berlin/Heidelberg, Germany, 2019; pp. 49–99. [Google Scholar]
- Τawancy, H.; Al-Hadhrami, L.M. Degradation of turbine blades and vanes by overheating in a power station. Eng. Fail. Anal. 2009, 16, 273–280. [Google Scholar] [CrossRef]
- Hovis, D.; Heuer, A. The use of laser scanning confocal microscopy (LSCM) in materials science. J. Microsc. 2010, 240, 173–180. [Google Scholar] [CrossRef]
- Paddock, S.W. Principles and practices of laser scanning confocal microscopy. Mol. Biotechnol. 2000, 16, 127–149. [Google Scholar] [CrossRef]
- Jiao, J.; Xu, Z.; Zan, S.; Zhang, W.; Sheng, L. Research on microstructure properties of the TiC/Ni-Fe-Al coating prepared by laser cladding technology. In Proceedings of the AOPC 2017: Laser Components, Systems, and Applications, Beijing, China, 4–6 June 2017. [Google Scholar]


















| Technology | Fuel System | Power | Emissions | Advantages | Disadvantages | Ref. |
|---|---|---|---|---|---|---|
| Swirl burner | NH3-Air | 13.2 kW | φ = 0.9, NO max: 2000 ppm; φ = 1.2, H2 max: 5% | Enhance flame stability | Higher emissions | [115] |
| Rich-quick-lean-graded combustion | NH3-Air | 31.4 kW | φ = 1.1, NOx min: 42 ppm | Reduce thermal and fuel NOx emissions | [144] | |
| MILD combustion | NH3-Air | 10.0 kW | φ > 1, NOx min: 100 ppm; φ > 1.1, ammonia > 1000 ppm | Effective NOx emissions control and broadening of combustible limits | High level dilution difficulty | [145] |
| Humidification | NH3-H2 | 39.3 kW | NOx min: 10 ppm | Improve system efficiency and reduce emissions | Unstable combustion | [146] |
| DLE combustion | NH3-H2 | 31.5 kW | φ: 0.43–0.52, NOx:100–2500 ppm | Reduce emissions | Hydrogen is easily tempered, narrowing the operable range | [74] |
| Liquid ammonia injection | NH3-CH4 | 230 kW | φ = 1.1, NO: 1000 ppm, NO2: 70 ppm, N2O: 8 ppm, NH3: Extremely low | Reduce gas turbine cost and size | Flame stabilisation difficulty | [147] |
| Ref. | Material | Examples | Applications | Temp. Range | Remarks |
|---|---|---|---|---|---|
| [185,192] | Austenitic stainless steels | 316, 321, 347, 21-6-9, 16-25-6 | Nozzle tubing, ducts, bolts, bellows, hydraulic tubing, washers, shims, turbine discs, injectors, compressor | −423 °F to 600 °F | Susceptible to pitting and stress corrosion, low cost, and high strength |
| [185,192] | Martensitic stainless steels | 440c | Bearings–balls, races | −423 °F to 300 °F | Susceptible to all forms of corrosion and low cost |
| [185] | PH stainless steels | 17-4 PH, 17-7 PH, 15-5 PH | Valve parts–stems, poppets | 110 °F to 200 °F | Susceptible to H2 embrittlement., stress corrodes in high-strength temperatures, marginal for cryogenic applications |
| [168,185,186,192] | Nickle-based superalloys | 718, 625, WASPALOV®®, MAR-M-246 and 247®®, HASTELLOY-C®® Incoloy®® 783, Haynes®® 242®® | Impellers, inducers, pump housings, valves, ducts, manifolds, bolts, turbine blades, turbine discs, shafts, bellows, stators, injectors, combustors, vanes | −423 °F to 1500 °F | Susceptible to hydrogen environment embrittlement, high strength, high cost, creep at high temperature and dimensional stability (for some alloys) |
| [185,192] | Iron-based superalloys | 903, 909, A286 | Struts, ducts, bellows, bolts, turbine discs | −423 °F to 1100 °F | Resistant to hydrogen environment, embrittlement, high strength, limited oxidation resistance |
| [185] | Aluminium alloys | A356, A357, 6061, 7075, T73, 2219 | Pump housings, impellers, injectors, gear cases, brackets, valve bodies | −423 °F to 200 °F | Often used as castings |
| [185] | Copper alloys | OFHC Cu, NARLloy-Z, NARloy-A | Thrust chambers, injector rings, baffles | −423 °F to 1000 °F | High oxygen grades, susceptible to hydrogen reaction embrittlement |
| [168,185,192] | Titanium alloys | Ti-5AI-2.5 Sn ELI, Ti-6AI-4V ELI, Ti-6AI-6V-2Sn, Ti-10Y-2Fe-3AI | Impellers, inducers, pump housings, valve bodies, ducts, gimbal blocks, pressure bottles, hydraulic tubing compressor | −423 °F to 600 °F | Pyrophoric reaction in LOX, pure GOX, red fuming nitric acid, may absorb hydrogen above -110 °F, low density, high strength, high stiffness, high cost, poor ductility, and excellent oxidation resistance |
| [185] | Beryllium | Be-98, BeO-1.5 | Small thrust chambers | 70 °F to 1200 °F | Brittle, avoid all notches in design, hazardous material, not weldable |
| [185] | Cobalt alloys | HAYNES 188, L-605, ELGILOY, MP 3Sn, STELLITE 21 | Injector posts, ducts, springs, turbine blades, combustor | 320 °F to 2100 °F | Vary in susceptibility to hydrogen environment embrittlement |
| [185] | Low-alloy steels | 4130, 4340, 9310, 52,100 | Thrust mounts, frames, reinforcing bands, gears, shafts, bolts, bearings | 70 °F to 300 °F | Susceptible to corrosion, marginal for cryogenic applications |
| [185] | Fluorocarbon polymers | Kel-F, PTFE, FEP | Seals, coatings, rub rings, electrical insulation | −423 °F to 200 °F | Generally compatible with liquid oxygen |
| [185] | Elastomers | Nitrile rubber, silicone rubber, chloroprene rubber, butyl rubber, fluorocarbon rubber | O-rings, gaskets, sealants, electrical insulation, adhesives | 70 °F to 300 °F | Not compatible with liquid oxygen |
| [185] | Carbon | P5N, P692 | Combustion chamber throat inserts, dynamic turbine seals | −423 °F to 600 °F | Brittle material |
| [163,167,168,185,186,192] | Ceramics | Al2O3, Zro, WC, Sio2 | Protective coatings on turbine blades, nozzles, thrust chambers, thermal insulation, valve seat, Poppet coatings | −423 °F to 1500 °F | High temperatures, brittle materials, low density, high specific strength, poor fracture toughness and poor ductility |
| Class | Alloy | Compositions (wt.%) | |||||||||||||||
|---|---|---|---|---|---|---|---|---|---|---|---|---|---|---|---|---|---|
| Cr | Co | Mo | W | Al | Ti | Ta | Nb | Re | Ru | Hf | C | B | Zr | Ni | |||
| Conventional Cast (CC) | IN-713LC | 12 | - | 4.5 | - | 5.9 | 0.6 | - | 2 | - | - | - | 0.05 | 0.01 | 0.1 | Bal | |
| IN-738LC | 16 | 8.5 | 1.75 | 2.6 | 3.4 | 3.4 | 1.75 | 0.9 | - | - | - | 0.11 | 0.01 | 0.04 | Bal | ||
| René 80 | 14 | 9 | 4 | 4 | 3 | 4.7 | - | - | - | - | 0.8 | 0.16 | 0.015 | 0.01 | Bal | ||
| Mar-M247 | 8 | 10 | 0.6 | 10 | 5.5 | 1 | 3 | - | - | - | 1.5 | 0.15 | 0.015 | 0.03 | Bal | ||
| DS | 1st | Mar- M200Hf | 8 | 9 | - | 12 | 5 | 1.9 | - | 1 | - | - | 2 | 0.13 | 0.015 | 0.03 | Bal |
| CM247LC | 8.1 | 9.2 | 0.5 | 9.5 | 5.6 | 0.7 | 3.2 | - | - | - | 1.4 | 0.07 | 0.015 | 0.007 | Bal | ||
| 2nd | CM186LC | 6 | 9.3 | 0.5 | 8.4 | 5.7 | 0.7 | 3.4 | - | 3.0 | - | 1.4 | 0.07 | 0.015 | 0.005 | Bal | |
| PWA1426 | 6.5 | 10 | 1.7 | 6.5 | 6 | - | 4 | - | 3.0 | - | 1.5 | 0.1 | 0.015 | 0.1 | Bal | ||
| SC | 1st | CMSX-2 | 8 | 5 | 0.6 | 8 | 5.6 | 1 | 6 | - | - | - | - | - | - | - | Bal |
| PWA1480 | 10 | 5 | - | 4 | 5 | 1.5 | 12 | - | - | - | - | - | - | - | Bal | ||
| René N4 | 9 | 8 | 2 | 6 | 3.7 | 4.2 | 4 | 0.5 | - | - | - | - | - | - | Bal | ||
| AM1 | 7 | 8 | 2 | 5 | 5 | 1.8 | 8 | 1 | - | - | - | - | - | - | Bal | ||
| RR2000 | 10 | 15 | 3 | - | 5.5 | 4 | - | - | - | - | - | - | - | - | Bal | ||
| 2nd | CMSX-4 | 6.5 | 9.6 | 0.6 | 6.4 | 5.6 | 1 | 6.5 | - | 3 | - | 0.1 | - | - | - | Bal | |
| PWA1484 | 5 | 10 | 2 | 6 | 5.6 | - | 9 | - | 3 | - | 0.1 | - | - | - | Bal | ||
| René N5 | 7 | 8 | 2 | 5 | 6.2 | - | 7 | - | 3 | - | 0.2 | - | - | - | Bal | ||
| 3rd | CMSX-10 | 2 | 3 | 0.4 | 5 | 5.7 | 0.2 | 8 | - | 6 | - | 0.03 | - | - | - | Bal | |
| 4th | TMS-138 | 2.9 | 5.9 | 2.9 | 5.9 | 5.9 | - | 5.6 | - | 4.9 | 2 | 0.1 | - | - | - | Bal | |
| 5th | TMS-162 | 2.9 | 5.8 | 3.9 | 5.8 | 5.8 | - | 5.6 | - | 4.9 | 6 | 0.09 | - | - | - | Bal | |
| Re-free | CMSX-7 | 6 | 10 | 0.6 | 9 | 5.7 | 0.8 | 9 | - | - | - | 0.2 | - | - | - | Bal | |
| Low Re | CMSX-8 | 5.4 | 10 | 0.6 | 8 | 5.7 | 0.7 | 8 | - | 1.5 | - | 0.1 | - | - | - | Bal | |
| Ref. | Year | Research Type | Turbine Type | Working Fuel | TIT (°C) | Power Capacity | Cycle Efficiency | GT Materials | Remarks |
|---|---|---|---|---|---|---|---|---|---|
| [212,213] | 1989 | Exp. | Alstom’s GT24 | N. G | 1093 °C (1999 °F) | 188 MW | 36.9% | Combustor—Ni-based superalloy + coating. Blades—Single crystal alloy + coating. | Superior part load efficiencies. Low emissions from 40% to 100% load. High fuel flexibility (natural gas composition; oil). Very low combined cycle start-up times. |
| [183,214] | 1987 | Calc. | Allison 501-KB | Air | 982 °C (1800 °F) | 3.4 MW | 24.0% | Combustor—Hastelloy X (AMS.5536). Blades—Inconel 738+ coating | The study found that supplying extra air at the required temperature increased the mass flow through the turbine, resulting in increased efficiency and power output. However, creating steam for injection by heating it in the combustor reduced the efficiency. The characteristics of the working fuel were found to be one of the most important factors in increasing output. |
| [212,214] | 1982 | Exp. | Allison 501-KB5 | N. G | 1035 °C (1895 °F) | 3.9 MW | 29.5% | Combustor—Hastelloy X (AMS.5536). Blades—Mar-M-246, AEP 32 coating | The 501-KB engine was upgraded by increasing the engine speed, modifying the exhaust diffuser, and increasing the firing temperature by a specific amount. The vane and blade materials were changed, and the coating was modified to ensure consistent structural life without any changes to the aerofoil design. |
| [7,212] | 1971 | Exp. | Pratt & Whitney JT8D-15A | Kerosene | 1004 °C (1839 °F) | 25 MW | 40% | The combustor section and blades are made from nickel-based superalloys | Compared with other gas turbines, the JTBD-15A has a high bypass ratio, resulting in a greater amount of air being directed through the engine to produce thrust rather than being lost as waste heat. |
| [215,216] | 1950 | Exp. | Rolls-Royce Avon 200 | Kerosene | 1700 °C/1150 °C (3092 °F/2102 °F) | 17 MW | 27.6% | Blades are made from single-crystal alloy + coating | In 2007, the gas turbine was improved by upgrading and coating the material used for the turbine blades, as well as changing the blade material to a single crystal and redesigning them to improve thermal efficiency and cycle performance. Swirler burner technology was also implemented in the combustion system to reduce combustion instability and emissions. |
| [212] | 1998 | Exp. | GE 9H | N. G | 1430 °C (2606 °F) | 480 MW | 60% | Blades are made from single-crystal alloy + coating | The turbine blades are cooled using steam instead of air for better cooling effectiveness and higher heat capacity. There are no detrimental effects of steam on the properties of the coated single-crystal alloy, and there are no mechanical or thermal effects. The machine will be highly instrumented and stripped down. |
| Techniques | Advantage | Disadvantage | Remarks |
|---|---|---|---|
| Scanning electron microscopy (SEM) | The ability to capture high-resolution images of the surface and subsurface characteristics of materials, identification of crystallographic orientation and grain boundaries, and analysis of elemental composition and chemical bonding. Additionally, SEM is user-friendly and easy to operate with proper training and advances in computer technology and associated software [225,226,227]. | It is expensive and requires a vacuum environment, which can limit the analysis of certain materials. Additionally, SEM can be sensitive to charging effects, which can affect image quality. Sample preparation for SEM can be time-consuming and requires specialised equipment [227,228]. | This technique can be used to analyse the microstructure of gas turbine blade materials, including the crystallographic orientation and grain boundaries. It can also be utilised to study the surface characteristics of the material such as wear, corrosion, and cracks [225,226,229,230]. |
| Transmission electron microscopy (TEM) | It provides high-resolution imaging of the microstructure and crystal defects. It can be used to identify the crystallographic orientation and grain boundaries. Also, it can be used to analyse the elemental composition and chemical bonding of materials [231]. | It requires a vacuum environment, which can limit the analysis of certain materials. TEM is sensitive to radiation, which can affect image quality. Sample preparation can be time-consuming and require specialised equipment [231]. | TEM can be used to examine the crystal structure and defects within turbine blade materials, such as dislocations, vacancies, and interstitials [230]. |
| Atomic force microscopy (AFM) | It provides high-resolution imaging of surface topography and features. Used to analyse surface roughness, wear, and corrosion and measure mechanical properties such as surface adhesion and elasticity [225,232,233]. | Limited to analysing surfaces in air or liquid environments, which may not be representative of operating conditions. It can be affected by tip wear and contamination, which can affect image quality and accuracy. A limited depth penetration makes it less useful for analysing subsurface features [232,233]. | AFM can be used to examine the surface roughness and mechanical properties of turbine blade materials, including hardness, elasticity, and adhesion. It can provide information on the topography and morphology of materials at the nanoscale [225,234]. |
| X-Ray diffraction (XRD) | It provides information about the crystal structure and phase composition of materials. Used to analyse the degree of crystallographic orientation in polycrystalline materials. The non-destructive technique can be used on bulk samples [235,236]. | It is sensitive to sample size and homogeneity, which can affect analysis accuracy. Requires knowledge of the crystal structure and phase composition of the material being analysed. Difficulties in providing detailed information about microstructure or surface features [235,236]. | XRD can be used to examine the crystal structure of turbine blade materials and identify the presence of different phases or crystallographic defects [226]. |
| Optical microscopy | It is relatively inexpensive compared with other imaging techniques. Easy to use. Has a larger field of view compared with LSCM, which allows larger samples to be imaged without the need for stitching. Widely used in biological research and can also be used to study materials, such as metals and polymers [237,238]. | It provides lower-resolution images compared with LSCM, which can make it difficult to see fine details. It can be destructive, especially if the sample needs to be stained or sectioned. It has a limited depth of field, which can make it difficult to image samples with a large height or depth [238]. | Optical microscopy can be used to examine the surface and subsurface features of turbine blade materials, including surface roughness, grain size, and cracks [225,226]. |
| Scanning transmission electron microscopy (STEM) | It provides high-resolution imaging of surface topography and features. Used to analyse crystal structure, defects, and chemical composition at the atomic level. Also used to analyse thin films and bulk materials [239]. | Requires a vacuum environment, which can limit the analysis of certain materials. High-resolution imaging requires careful sample preparation and may damage the sample. Limited field of view, making it less useful for analysing large areas or volumes [239]. | STEM can be used to examine the crystal structure and chemical composition of turbine blade materials at an atomic resolution [240]. |
| Energy-dispersive X-Ray spectroscopy (EDS) | It provides information about the elemental composition and distribution of materials. Used to analyse small sample volumes or areas. Used in conjunction with other microscopy techniques to provide additional information [226,228]. | Affected by variations in sample thickness, crystal structure and beam penetration depth. Spectral interference can occur when multiple elements have overlapping X-ray spectra. May not provide detailed information about microstructure or surface features [228]. | EDS can be used to analyse the chemical composition and elemental distribution of turbine blade materials [225,226]. |
| Laser scanning confocal microscopy (LSCM) | It provides high-resolution images compared with optical microscopy. LSCM is a non-destructive imaging technique, which means it can be used to study samples without altering or damaging them. Used to create three-dimensional images of samples, which is useful for studying the structure and morphology of biological specimens. LSCM can be used to study a wide range of materials, including metals, ceramics, and polymers, as well as biological samples [241,242]. | It can be expensive to purchase and maintain, which can be a limitation for smaller labs or research groups. Requires careful sample preparation and staining, which can be time-consuming and may affect the quality of the image. LSCM has a limited field of view, which means that larger samples may need to be imaged in multiple parts and stitched together, which can introduce errors [242]. | LSCM can be used to examine the surface topography and roughness of turbine blade materials at high resolution [243]. |
Disclaimer/Publisher’s Note: The statements, opinions and data contained in all publications are solely those of the individual author(s) and contributor(s) and not of MDPI and/or the editor(s). MDPI and/or the editor(s) disclaim responsibility for any injury to people or property resulting from any ideas, methods, instructions or products referred to in the content. |
© 2023 by the authors. Licensee MDPI, Basel, Switzerland. This article is an open access article distributed under the terms and conditions of the Creative Commons Attribution (CC BY) license (https://creativecommons.org/licenses/by/4.0/).
Share and Cite
Alnaeli, M.; Alnajideen, M.; Navaratne, R.; Shi, H.; Czyzewski, P.; Wang, P.; Eckart, S.; Alsaegh, A.; Alnasif, A.; Mashruk, S.; et al. High-Temperature Materials for Complex Components in Ammonia/Hydrogen Gas Turbines: A Critical Review. Energies 2023, 16, 6973. https://doi.org/10.3390/en16196973
Alnaeli M, Alnajideen M, Navaratne R, Shi H, Czyzewski P, Wang P, Eckart S, Alsaegh A, Alnasif A, Mashruk S, et al. High-Temperature Materials for Complex Components in Ammonia/Hydrogen Gas Turbines: A Critical Review. Energies. 2023; 16(19):6973. https://doi.org/10.3390/en16196973
Chicago/Turabian StyleAlnaeli, Mustafa, Mohammad Alnajideen, Rukshan Navaratne, Hao Shi, Pawel Czyzewski, Ping Wang, Sven Eckart, Ali Alsaegh, Ali Alnasif, Syed Mashruk, and et al. 2023. "High-Temperature Materials for Complex Components in Ammonia/Hydrogen Gas Turbines: A Critical Review" Energies 16, no. 19: 6973. https://doi.org/10.3390/en16196973
APA StyleAlnaeli, M., Alnajideen, M., Navaratne, R., Shi, H., Czyzewski, P., Wang, P., Eckart, S., Alsaegh, A., Alnasif, A., Mashruk, S., Valera Medina, A., & Bowen, P. J. (2023). High-Temperature Materials for Complex Components in Ammonia/Hydrogen Gas Turbines: A Critical Review. Energies, 16(19), 6973. https://doi.org/10.3390/en16196973

