Sand-Carrying Law and Influencing Factors in Complex Fractures of Nano-Clean Fracturing Fluid
Abstract
:1. Introduction
2. Simulation Methods and Modeling
2.1. Mathematical Models
2.2. Boundary Conditions
3. Model Verification and Simulation Experiment Scheme
3.1. Model Validation
3.2. Simulation Experiment Scheme of Sand-Carrying Rule of Nano-Clean Fracturing Fluid under Different Factors
3.3. Simulation Experiment Scheme of Sand-Carrying Rule of Nano-Clean Fracturing Fluid in Complex Fracture
3.3.1. Simulation Experiment Scheme of Sand-Carrying Rule for Y-Type Cracks
3.3.2. Simulation Experiment Scheme of Sand-Carrying Rule for Double-Y-Type Cracks
3.3.3. Simulation Experiment Scheme of Sand-Carrying Rule for Well-Type Fracture
4. Results and Discussions
4.1. Influence of Different Factors on the Sand-Carrying Regularity of Nano-Clean Fracturing Fluid
4.1.1. Effect of Pumping Discharge Volume
4.1.2. Effect of Sand Ratio
4.1.3. Effect of Proppant Particle Size
4.1.4. Effect of Proppant Density
4.1.5. Influence of Rheological Parameters
- (1)
- Effect of relaxation time
- (2)
- Effect of rheological index
- (3)
- Effects of zero-shear viscosity
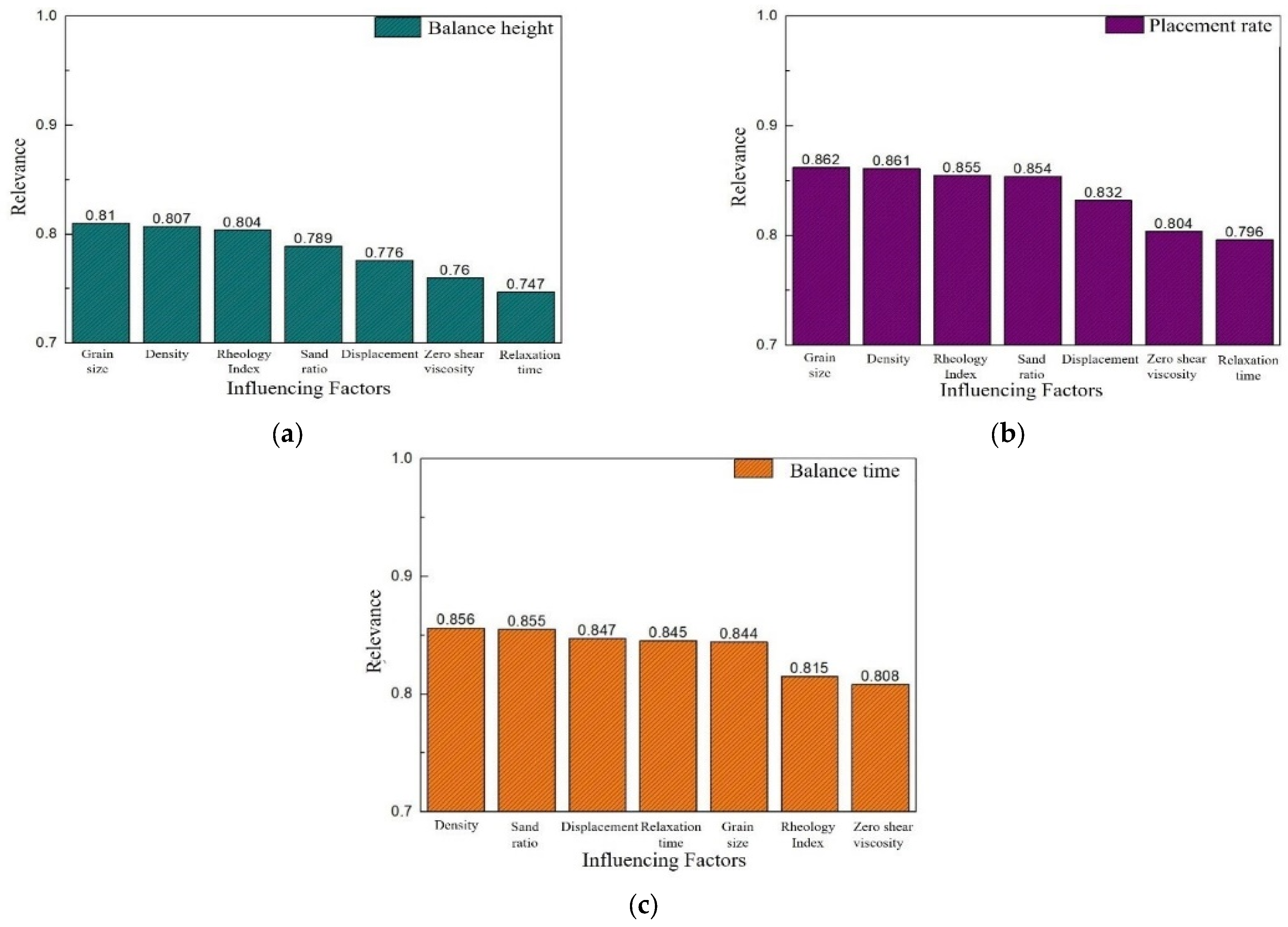
4.1.6. Sensitivity Analysis of Influencing Factors
4.2. Analysis of Sand-Carrying Laws for Complex Cracks
4.2.1. Analysis of Sand-Carrying Laws of Y-Type Cracks
4.2.2. Analysis of Sand-Carrying Laws of Double-Y-Type Cracks
4.2.3. Analysis of Sand-Carrying Laws of Well-Type Cracks
5. Conclusions
Author Contributions
Funding
Data Availability Statement
Conflicts of Interest
References
- Hou, J.; Wang, C.; Liu, P. How to improve the competiveness of natural gas in China with Energy Internet and “The Belt and Road Initiative”. Int. J. Energy Res. 2018, 42, 4562–4583. [Google Scholar] [CrossRef]
- Zhou, Y.; Lin, M. System simulation of air-cooling single effect LiBr absorption refrigerating system driven by solar heat source. Environ. Earth Sci. 2021, 766, 23–25. [Google Scholar] [CrossRef]
- Zheng, C.; Jiang, B.; Xue, S.; Chen, Z.; Li, H. Coalbed methane emissions and drainage methods in underground mining for mining safety and environmental benefits: A review. Process Saf. Environ. Prot. 2019, 127, 103–124. [Google Scholar] [CrossRef]
- Lu, Y.Y.; Zhang, H.D.; Zhou, Z.; Ge, Z.L.; Chen, C.J.; Hou, Y.D.; Ye, M.L. Current Status and Effective Suggestions for Efficient Exploitation of Coalbed Methane in China: A Review. Energy Fuels 2021, 35, 9102–9123. [Google Scholar] [CrossRef]
- Wang, Y.; Lu, Y.; Li, Y.; Wang, X.; Yan, X.; Zang, Z. Progress and application of unconventional reservoir fracturing technology. Acta Pet. Sin. 2012, 33, 149–158. [Google Scholar]
- Huang, Z.; Li, G.; Yang, R.; Li, G. Review and development trends of coalbed methane exploitation technology in China. J. China Coal Soc. 2022, 47, 3212–3238. [Google Scholar]
- Chen, H.; Fan, H.; Guo, J.; He, X. Analysis and prospect of hydraulic fracturing fluids for coalbed methane Wells. Coal Geol. Explor. 2017, 45, 33–40. [Google Scholar]
- Men, X.; Han, Z.; Gong, H.; Wang, Y. Challenges and Opportunities of CBM exploration and development in China under the new situation. Nat. Gas Ind. 2018, 38, 10–16. [Google Scholar]
- Zuo, W.; Zhang, W.; Liu, Y.; Han, H.; Huang, C.; Jiang, W.; Mitri, H. Pore Structure Characteristics and Adsorption and Desorption Capacity of Coal Rock after Exposure to Clean Fracturing Fluid. ACS Omega 2022, 7, 21407–21417. [Google Scholar] [CrossRef]
- Alotaibi, M.A.; Jennifer, L. Slickwater Proppant Transport in Hydraulic Fractures: New Experimental Findings and Scalable Correlation. Miskimins Spe Prod. Oper. 2018, 3, 164–178. [Google Scholar] [CrossRef]
- Zhang, T.; Guo, J.; Liu, W. CFD simulation of proppant transport settlement behavior in clear water fracturing. J. Southwest Pet. Univ. 2014, 36, 74–82. [Google Scholar]
- Shi, F.; Wang, X.; Liu, C.; Liu, H.; Wu, H. A coupled extended finite element approach for modeling hydraulic fracturing in consideration of proppant. J. Nat. Gas Sci. Eng. 2016, 33, 885–897. [Google Scholar] [CrossRef]
- Fredd, C.N.; Olsen, T.N.; Brenize, G. Polymer-Free Fracturing Fluid Exhibits Improved Cleanup for Unconventional Natural Gas Well Applications. In Proceedings of the SPE Eastern Regional Meeting, Charleston, WV, USA, 15–17 September 2004. [Google Scholar]
- Tong, S.; Singh, R.; Mohanty, K.K. A visualization study of proppant transport in foam fracturing fluids. J. Nat. Gas Sci. Eng. 2018, 52, 235–247. [Google Scholar] [CrossRef]
- Luo, Z.; Zhang, N.; Zhao, L.; Pei, Y.; Liu, P.; Li, N. Innovative Encapsulating Acid with Release Dually Controlled by the Concentration of Hydrogen Ions and Temperature. Energy Fuels 2019, 33, 4976–4985. [Google Scholar] [CrossRef]
- Li, T.; Yang, Q.; Feng, W.; Qian, Z.H.N. Indoor research and field application of a new type of clean fracturing fluid for coalbed methane. Sci. Tech. 2012, 12, 9828–9832. [Google Scholar]
- Yang, F.; Ge, Z.; Zheng, J. Viscoelastic surfactant fracturing fluid for underground hydraulic fracturing in soft coal seams. J. Pet. Sci. Eng. 2018, 169, 646–653. [Google Scholar]
- Crews, J.B.; Huang, T.; Wood, W.R. The Future of Fracturing-Fluid Technology and Rates of Hydrocarbon Recovery. In Proceedings of the SPE Annual Technical Conference and Exhibition, Denver, CO, USA, 21–24 September 2008. [Google Scholar]
- Nettesheim, F.; Liberatore, M.W.; Hodgdon, T.K.; Wagner, N.J.; Kaler, E.W.; Vethamuthu, M. Influence of Nanoparticle Addition on the Properties of Wormlike Micellar Solutions. Langmuir 2008, 24, 7718–7726. [Google Scholar] [CrossRef]
- Chen, H.; Fan, H.; Guo, J.; Tang, M.; Ni, F. Evaluation and Prediction of Coalbed Gas Fracturing Fluid. Adv. Mater. Res. 2014, 1008, 257–263. [Google Scholar] [CrossRef]
- Dai, C.; Li, Y.; Xie, Q.; Xu, K.; Hu, Y.; Zhou, Z.; Wu, Y. Reduction of clean fracturing fluid filtration loss by viscosity enhancement using nanoparticles: Is it feasible? Chem. Eng. Res. Des. 2020, 156, 414–424. [Google Scholar] [CrossRef]
- Zhao, M.; Gao, Z.; Dai, C.; Sun, X.; Zhang, Y.; Yang, X.; Wu, Y. Effect of Silica Nanoparticles on Wormlike Micelles with Different Entanglement Degrees. J. Surfactants Deterg. 2019, 22, 587–595. [Google Scholar] [CrossRef]
- Lun, C.K.K.; Savage, S.B.; Jeffrey, D.J.; Chepurniy, N. Kinetic theories for granular flow: Inelastic particles in Couette flow and slightly inelastic particles in a general flow field. J. Fluid. Mech. 1984, 140, 223–256. [Google Scholar] [CrossRef]
- Yao, J.; Yang, Y.; Huang, Z.; Sun, J.; Wang, J.; Yang, Y. Influence of particle viscosity model on the flow behavior of ultra-dense particles simulated by Euler multiphase flow model. CIESC J. 2020, 71, 4945–4956. [Google Scholar]
- Zhang, G.; Li, M.; Geng, K.; Han, R.; Xie, M.; Liao, K. New integrated model of the settling velocity of proppants falling in viscoelastic slick-water fracturing fluids. J. Nat. Gas Sci. Eng. 2016, 33, 518. [Google Scholar] [CrossRef]
- Zhan, Z. Study on the Law of Sand Transport of Slippery Water in Fractured Fracture. Master’s Thesis, Xi’an Shiyou University, Xi’an, China, 2018. [Google Scholar]
- Zhou, D.; Zhang, Z.; Hui, F. Experiment and numerical simulation on transportation laws of proppant in major fracture during slick water fracturing. Pet. Drill. Tech. 2017, 39, 499–508. [Google Scholar]





















| Experimental Number | Discharge Volume/(m3/min) | Proppant Particle Size/(mm) | Density /(kg/m3) | Sand Ratio/(%) | Rheological Parameters |
|---|---|---|---|---|---|
| 1# | 0.084 | 0.45 | 1600 | 10 | |
| 2# | 0.062 | 0.45 | 1600 | 10 | |
| 3# | 0.104 | 0.45 | 1600 | 10 | |
| 4# | 0.084 | 0.67 | 1600 | 10 | |
| 5# | 0.084 | 0.30 | 1600 | 10 | |
| 6# | 0.084 | 0.45 | 1450 | 10 | |
| 7# | 0.084 | 0.45 | 2000 | 10 | |
| 8# | 0.084 | 0.45 | 1600 | 5 | |
| 9# | 0.084 | 0.45 | 1600 | 20 | |
| 10# | 0.084 | 0.45 | 1600 | 10 | |
| 11# | 0.084 | 0.45 | 1600 | 10 | |
| 12# | 0.084 | 0.45 | 1600 | 10 | |
| 13# | 0.084 | 0.45 | 1600 | 10 | |
| 14# | 0.084 | 0.45 | 1600 | 10 | |
| 15# | 0.084 | 0.45 | 1600 | 10 |
| Pumping Discharge Volume/(m3/min) | Balance Time/(min) | Balance Height/(cm) | Sand Dike Placement Rate/(%) |
|---|---|---|---|
| 0.062 | 14.5 | 7.2 | 23.1 |
| 0.084 | 10.4 | 6.7 | 22.4 |
| 0.104 | 5.4 | 3.6 | 13.6 |
| Sand Ratio/(%) | Balance Time/(min) | Balance Height/(cm) | Sand Dike Placement Rate/(%) |
|---|---|---|---|
| 5 | 16.3 | 2.6 | 11.7 |
| 10 | 10.4 | 6.7 | 22.4 |
| 20 | 6.8 | 8.1 | 30.1 |
| Grain Size/(m) | Balance Time/(min) | Balance Height/(cm) | Sand Dike Placement Rate/(%) |
|---|---|---|---|
| 0.0003 | 14.5 | 2.3 | 14.7 |
| 0.00045 | 10.4 | 6.7 | 22.4 |
| 0.00067 | 5.3 | 9.9 | 29.5 |
| Proppant Density/(kg/m3) | Balance Time/(min) | Balance Height/(cm) | Sand Dike Placement Rate/(%) |
|---|---|---|---|
| 1450 | 13.9 | 3.0 | 16.8 |
| 1600 | 10.4 | 6.7 | 22.4 |
| 2000 | 6.2 | 9.7 | 29.1 |
| Relaxation Time/(s) | Balance Time/(min) | Balance Height/(cm) | Sand Dike Placement Rate/(%) |
|---|---|---|---|
| 0.1 | 10.4 | 6.7 | 22.4 |
| 0.3 | 8.2 | 9.6 | 30.3 |
| 0.5 | 4.3 | 12.1 | 32.8 |
| Rheology Index | Balance Time/(min) | Balance Height/(cm) | Sand Dike Placement Rate/(%) |
|---|---|---|---|
| −0.3 | 10.4 | 6.7 | 22.4 |
| −0.4 | 6.8 | 8.4 | 24.7 |
| −0.5 | 5.1 | 14.7 | 55.1 |
| Zero-Shear Viscosity /(Pa·s) | Balance Time/(min) | Balance Height/(cm) | Sand Dike Placement Rate/(%) |
|---|---|---|---|
| 1.0 | 10.4 | 6.7 | 22.4 |
| 2.0 | 11.1 | 1.9 | 16.2 |
| 3.0 | 12.6 | 1.7 | 15.1 |
Disclaimer/Publisher’s Note: The statements, opinions and data contained in all publications are solely those of the individual author(s) and contributor(s) and not of MDPI and/or the editor(s). MDPI and/or the editor(s) disclaim responsibility for any injury to people or property resulting from any ideas, methods, instructions or products referred to in the content. |
© 2023 by the authors. Licensee MDPI, Basel, Switzerland. This article is an open access article distributed under the terms and conditions of the Creative Commons Attribution (CC BY) license (https://creativecommons.org/licenses/by/4.0/).
Share and Cite
Han, H.; Shi, Z.; Zuo, W.; Wu, S.; Liu, Y.; Xie, K.; Long, L.; Mitri, H. Sand-Carrying Law and Influencing Factors in Complex Fractures of Nano-Clean Fracturing Fluid. Energies 2023, 16, 6056. https://doi.org/10.3390/en16166056
Han H, Shi Z, Zuo W, Wu S, Liu Y, Xie K, Long L, Mitri H. Sand-Carrying Law and Influencing Factors in Complex Fractures of Nano-Clean Fracturing Fluid. Energies. 2023; 16(16):6056. https://doi.org/10.3390/en16166056
Chicago/Turabian StyleHan, Hongkai, Zhaoqi Shi, Weiqin Zuo, Shengjie Wu, Yanwei Liu, Kunrong Xie, Liqun Long, and Hani Mitri. 2023. "Sand-Carrying Law and Influencing Factors in Complex Fractures of Nano-Clean Fracturing Fluid" Energies 16, no. 16: 6056. https://doi.org/10.3390/en16166056
APA StyleHan, H., Shi, Z., Zuo, W., Wu, S., Liu, Y., Xie, K., Long, L., & Mitri, H. (2023). Sand-Carrying Law and Influencing Factors in Complex Fractures of Nano-Clean Fracturing Fluid. Energies, 16(16), 6056. https://doi.org/10.3390/en16166056

