A New Post-Fault Reconfiguration Strategy under Open-Phase Operation Conditions of Asymmetrical Double-Star Induction Machines
Abstract
1. Introduction
2. Asymmetrical Dual Star Induction Motor Modeling
3. Reconfiguration Strategy for Service Continuation
4. Results Analysis and Discussion of the Proposed OPF Reconfiguration Strategy
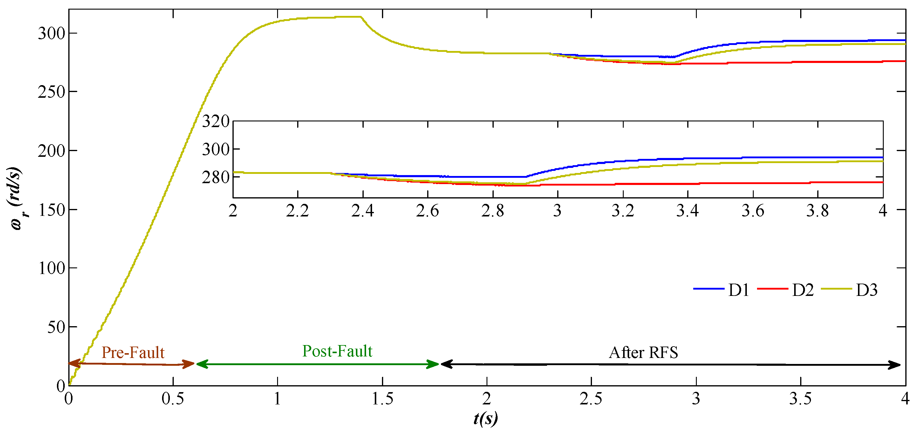
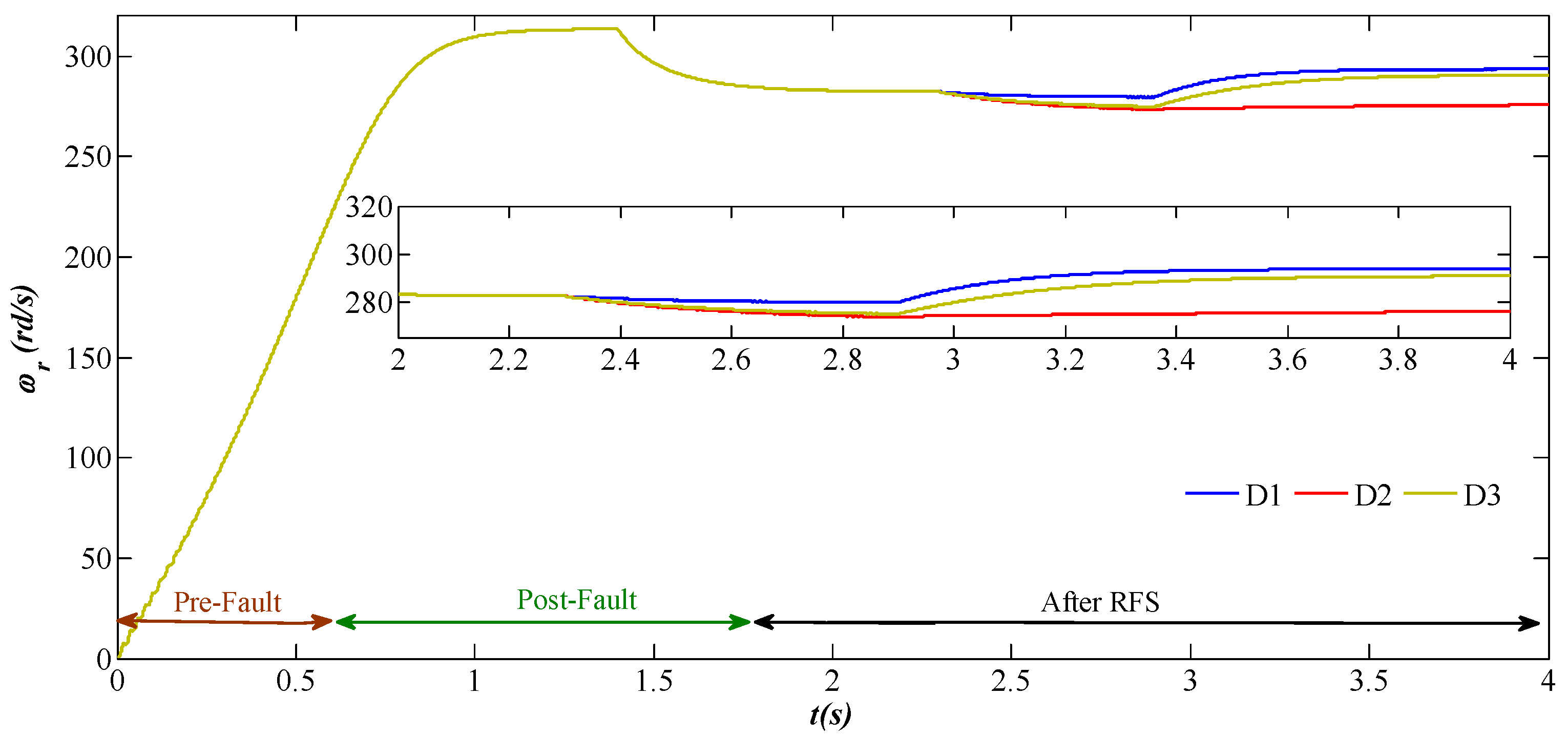
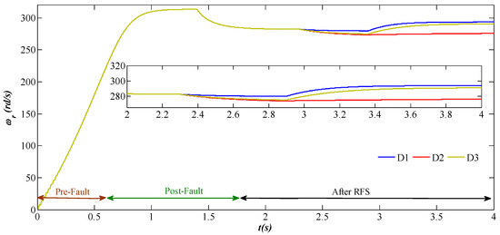
- D1: Opening of a stator phase;
- D2: Opening of two adjacent stator phases (different star);
- D3: Opening of two non-adjacent stator phases (same star).
Results Analysis and Discussion
5. Conclusions
Author Contributions
Funding
Conflicts of Interest
Appendix A
References
- Matsuse, K.; Matsuhashi, D. New Technical Trends on Adjustable Speed AC Motor Drives. Chin. J. Electr. Eng. 2017, 3, 1–9. [Google Scholar]
- Duran, M.J.; Levi, E.; Barrero, F. Multiphase Electric Drives: Introduction. In Wiley Encyclopedia of Electrical and Electronics Engineering; Wiley: Hoboken, NJ, USA, 2017; pp. 1–26. [Google Scholar]
- Barrero, F.; Duran, M. Recent advances in the design, modeling and control of multiphase machines-Part I. IEEE Trans. Ind. Electron. 2016, 63, 449–458. [Google Scholar] [CrossRef]
- Duran, M.; Barrero, F. Recent advances in the design, modeling and control of multiphase machines-Part II. IEEE Trans. Ind. Electron. 2016, 63, 459–468. [Google Scholar] [CrossRef]
- Sarkar, J.; Sun, F.-B.F. Reliability characterization and modeling of solid-state drives. In Proceedings of the 2015 Annual Reliability and Maintainability Symposium (RAMS), Palm Harbor, FL, USA, 26–29 January 2015; pp. 1–6. [Google Scholar]
- Gonçalves, P.; Cruz, S.; Mendes, A. Finite Control Set Model Predictive Control of Six-Phase Asymmetrical Machines—An Overview. Energies 2019, 12, 4693. [Google Scholar] [CrossRef]
- Munim, W.N.W.A.; Che, H.S.; Tousizadeh, M.; Baharom, R.; Muhammad, K.S. Modeling of Six-Phase Induction Machine with Two Isolated Neutrals under One Open Phase Fault. In Proceedings of the 2022 IEEE Industrial Electronics and Applications Conference (IEACon), Kuala Lumpur, Malaysia, 3–4 October 2022; pp. 99–104. [Google Scholar]
- Melo, V.F.M.B.; da Paz, G.F.; de Freitas, I.S. vv-DTC for Healthy and Faulty Operation of an Asymmetrical Six-Phase Induction Machine Drive System With Single Neutral. In Proceedings of the 2021 Brazilian Power Electronics Conference (COBEP), João Pessoa, Brazil, 7–10 November 2021; pp. 1–8. [Google Scholar]
- Munim, W.N.W.A.; Duran, M.J.; Che, H.S.; Bermudez, M.; Gonzalez-Prieto, I.; Rahim, N.A. A unified analysis of the fault tolerance capability in six-phase induction motor drives. IEEE Trans. Power Electron. 2017, 32, 7824–7836. [Google Scholar] [CrossRef]
- Gonzalez-Prieto, I.; Duran, M.J.; Barrero, F.; Bermudez, M.; Guzman, H. Impact of postfault flux adaptation on six-phase induction motor drives with parallel converters. IEEE Trans. Power Electron. 2017, 32, 515–528. [Google Scholar] [CrossRef]
- Baneira, F.; Doval-Gandoy, J.; Yepes, A.G.; López, Ó.; Pérez-Estévez, D. Control strategy for multiphase drives with minimum losses in the full torque operation range under single open-phase fault. IEEE Trans. Power Electron. 2017, 32, 6275–6285. [Google Scholar] [CrossRef]
- Baneira, F.; Doval-Gandoy, J.; Yepes, A.G.; López, Ó.; Pérez-Estévez, D. Comparison of postfault strategies for current reference generation for dual three-phase machines in terms of converter losses. IEEE Trans. Power Electron. 2017, 32, 8243–8246. [Google Scholar] [CrossRef]
- Gonzalez-Prieto, I.; Duran, M.J.; Barrero, F. Fault-tolerant control of six-phase induction motor drives with variable current injection. IEEE Trans. Power Electron. 2017, 32, 7894–7903. [Google Scholar] [CrossRef]
- Che, H.S.; Duran, M.J.; Levi, E.; Jones, M.; Hew, W.P.; Rahim, N.A. Post fault operation of an asymmetrical six-phase induction machine with single and two isolated neutral points. IEEE Trans. Power Electron. 2014, 29, 5406–5416. [Google Scholar] [CrossRef]
- Tani, A.; Mengoni, M.; Zarri, L.; Serra, G.; Casadei, D. Control of multiphase induction motors with an odd number of phases under open-circuit phase faults. IEEE Trans. Power Electron. 2012, 27, 565–577. [Google Scholar] [CrossRef]
- Guzmán, H.; Duran, J.; Barrero, F.; Bogado, B.; Toral, S. Speed control of five-phase induction motors with integrated open-phase fault operation using model-based predictive current control techniques. IEEE Trans. Ind. Electron. 2014, 61, 4474–4484. [Google Scholar] [CrossRef]
- Kianinezhad, R.; Nahid-Mobarakeh, B.; Baghli, L.; Betin, F.; Capolino, G.A. Modeling and control of six-phase symmetrical induction machine under fault condition due to open phases. IEEE Trans. Ind. Electron. 2008, 55, 1966–1977. [Google Scholar] [CrossRef]
- Vukosavic, S.N.; Jones, M.; Levi, E.; Varga, J. Rotor flux oriented control of a symmetrical six-phase induction machine. Electr. Power Syst. Res. 2005, 75, 142–152. [Google Scholar] [CrossRef]
- Hisham, M.E.; Abdel-Khalik, A.S.; Christoph, M.H. Post-fault full torque-speed exploitation of dual three-phase IPMSM drives. IEEE Trans. Ind. Electron. 2019, 66, 6746–6756. [Google Scholar]
- Abdel-Khalik, A.S.; Morsy, A.; Ahmed, S.; Massoud, A. Effect of stator winding connection on performance of five-phase induction machines. IEEE Trans. Ind. Electron. 2014, 61, 3–19. [Google Scholar] [CrossRef]
- Abdel-Khalik, A.S.; Ahmed, S.; Massoud, A. Post fault operation of a nine-phase six terminal induction machine under single open line fault. IEEE Trans. Ind. Electron. 2017, 65, 1084–1096. [Google Scholar] [CrossRef]
- Tamires, S.S.; Rodrigo, R.B.; Braz, J.C. Modeling and control of a nine-phase induction machine with open phase. IEEE Trans. Ind. Appl. 2018, 54, 6576–6585. [Google Scholar]
- Fu, J.R.; Lipo, T.A. Disturbance free operation of a multiphase current regulated motor drive with an opened phase. IEEE Trans. Ind. Appl. 1994, 30, 1267–1274. [Google Scholar]
- Iffouzar, K.; Amrouche, B.; Cherif, T.O.; Benkhoris, M.-F.; Aouzellag, D.; Ghedamsi, K. Improved direct field oriented control of multiphase induction motor used in hybrid electric vehicle application. Int. J. Hydrogen Energy 2017, 42, 19296–19308. [Google Scholar] [CrossRef]









Disclaimer/Publisher’s Note: The statements, opinions and data contained in all publications are solely those of the individual author(s) and contributor(s) and not of MDPI and/or the editor(s). MDPI and/or the editor(s) disclaim responsibility for any injury to people or property resulting from any ideas, methods, instructions or products referred to in the content. |
© 2023 by the authors. Licensee MDPI, Basel, Switzerland. This article is an open access article distributed under the terms and conditions of the Creative Commons Attribution (CC BY) license (https://creativecommons.org/licenses/by/4.0/).
Share and Cite
Iffouzar, K.; Benkhoris, M.-F.; Amrouche, B.; Houari, A.; Ghedamsi, K.; Djerioui, A. A New Post-Fault Reconfiguration Strategy under Open-Phase Operation Conditions of Asymmetrical Double-Star Induction Machines. Energies 2023, 16, 5740. https://doi.org/10.3390/en16155740
Iffouzar K, Benkhoris M-F, Amrouche B, Houari A, Ghedamsi K, Djerioui A. A New Post-Fault Reconfiguration Strategy under Open-Phase Operation Conditions of Asymmetrical Double-Star Induction Machines. Energies. 2023; 16(15):5740. https://doi.org/10.3390/en16155740
Chicago/Turabian StyleIffouzar, Koussaila, Mohamed-Fouad Benkhoris, Bessam Amrouche, Azeddine Houari, Kaci Ghedamsi, and Ali Djerioui. 2023. "A New Post-Fault Reconfiguration Strategy under Open-Phase Operation Conditions of Asymmetrical Double-Star Induction Machines" Energies 16, no. 15: 5740. https://doi.org/10.3390/en16155740
APA StyleIffouzar, K., Benkhoris, M.-F., Amrouche, B., Houari, A., Ghedamsi, K., & Djerioui, A. (2023). A New Post-Fault Reconfiguration Strategy under Open-Phase Operation Conditions of Asymmetrical Double-Star Induction Machines. Energies, 16(15), 5740. https://doi.org/10.3390/en16155740

