Wind Turbine Gearbox Diagnosis Based on Stator Current
Abstract
1. Introduction
2. Modeling of the Studied System
2.1. Modeling of Two Stages Gearbox
- mass of the gears 1, 2, 3 and 4, respectively;
- mass moment of inertia of gears 1, 2, 3 and 4, respectively;
- : turbine torque, machine torque;
- : base circle radius of gears 1, 2, 3 and 4, respectively;
- ,: turbine/machine angular displacement;
- ,: angular displacement of gears 1, 2, 3 and 4, respectively;
- , : mass moment of inertia of turbine/machine;
- : time-varying damping coefficient of first and second stage;
- : the radial damping coefficient along the direction of the y-axis of each bearing 1, 2, 3 and 4, respectively;
- : the damping coefficient of input, intermediate and output shafts, respectively;
- : time-varying meshing stiffness of first and second stages;
- : torsional stiffness of input, intermediate and output shafts, respectively.
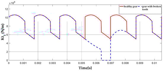
Mesh Stiffness Formulation
- (A)
- Calculation of the mesh stiffness of a healthy gear
- (B)
- Mesh stiffness calculation of gear with a cracked tooth
- (C)
- Mesh stiffness calculation of gear with a broken tooth
2.2. Doubly Fed Induction Generator (DFIG) Modeling
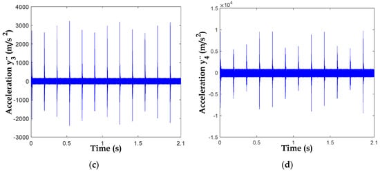
3. Results and Discussion
4. Conclusions
Author Contributions
Funding
Data Availability Statement
Conflicts of Interest
References
- Gao, Z.; Liu, X. An Overview on Fault Diagnosis, Prognosis and Resilient Control for Wind Turbine Systems. Processes 2021, 9, 300. [Google Scholar] [CrossRef]
- Barszcz, T. Vibration-Based Condition Monitoring of Wind Turbines; Springer Nature Switzerland AG: Cham, Switzerland, 2019; ISBN 3-030-05971-5. [Google Scholar]
- Meyer, A. Vibration Fault Diagnosis in Wind Turbines Based on Automated Feature Learning. Energies 2022, 15, 1514. [Google Scholar] [CrossRef]
- Teng, W.; Ding, X.; Tang, S.; Xu, J.; Shi, B.; Liu, Y. Vibration Analysis for Fault Detection of Wind Turbine Drivetrains—A Comprehensive Investigation. Sensors 2021, 21, 1686. [Google Scholar] [CrossRef]
- Dao, C.; Kazemtabrizi, B.; Crabtree, C. Wind Turbine Reliability Data Review and Impacts on Levelised Cost of Energy. Wind Energy 2019, 22, 1848–1871. [Google Scholar]
- Faulstich, S.; Hahn, B.; Tavner, P.J. Wind Turbine Downtime and Its Importance for Offshore Deployment. Wind Energy 2011, 14, 327–337. [Google Scholar] [CrossRef]
- Yin, A.; Yan, Y.; Zhang, Z.; Li, C.; Sánchez, R.-V. Fault Diagnosis of Wind Turbine Gearbox Based on the Optimized LSTM Neural Network with Cosine Loss. Sensors 2020, 20, 2339. [Google Scholar] [CrossRef]
- Zhang, K.; Tang, B.; Deng, L.; Tan, Q.; Yu, H. A Fault Diagnosis Method for Wind Turbines Gearbox Based on Adaptive Loss Weighted Meta-ResNet under Noisy Labels. Mech. Syst. Signal Process. 2021, 161, 107963. [Google Scholar] [CrossRef]
- Tchakoua, P.; Wamkeue, R.; Ouhrouche, M.; Slaoui-Hasnaoui, F.; Tameghe, T.A.; Ekemb, G. Wind Turbine Condition Monitoring: State-of-the-Art Review, New Trends, and Future Challenges. Energies 2014, 7, 2595–2630. [Google Scholar] [CrossRef]
- Spinato, F.; Tavner, P.J.; Van Bussel, G.J.; Koutoulakos, E. Reliability of Wind Turbine Subassemblies. IET Renew. Power Gener. 2009, 3, 387–401. [Google Scholar] [CrossRef]
- Link, H.; LaCava, W.; van Dam, J.; McNiff, B.; Sheng, S.; Wallen, R.; McDade, M.; Lambert, S.; Butterfield, S.; Oyague, F. Gearbox Reliability Collaborative Project Report: Findings from Phase 1 and Phase 2 Testing; National Renewable Energy Lab. (NREL): Golden, CO, USA, 2011. [Google Scholar]
- Kia, S.H.; Henao, H.; Capolino, G.-A. Gear Tooth Surface Damage Fault Detection Using Induction Machine Stator Current Space Vector Analysis. IEEE Trans. Ind. Electron. 2014, 62, 1866–1878. [Google Scholar] [CrossRef]
- Liu, W.; Tang, B.; Han, J.; Lu, X.; Hu, N.; He, Z. The Structure Healthy Condition Monitoring and Fault Diagnosis Methods in Wind Turbines: A Review. Renew. Sustain. Energy Rev. 2015, 44, 466–472. [Google Scholar] [CrossRef]
- Hameed, Z.; Hong, Y.; Cho, Y.; Ahn, S.; Song, C. Condition Monitoring and Fault Detection of Wind Turbines and Related Algorithms: A Review. Renew. Sustain. Energy Rev. 2009, 13, 1–39. [Google Scholar] [CrossRef]
- Salameh, J.P.; Cauet, S.; Etien, E.; Sakout, A.; Rambault, L. Gearbox Condition Monitoring in Wind Turbines: A Review. Mech. Syst. Signal Process. 2018, 111, 251–264. [Google Scholar] [CrossRef]
- Cheng, F.; Peng, Y.; Qu, L.; Qiao, W. Current-Based Fault Detection and Identification for Wind Turbine Drivetrain Gearboxes. IEEE Trans. Ind. Appl. 2016, 53, 878–887. [Google Scholar] [CrossRef]
- Lu, D.; Qiao, W.; Gong, X. Current-Based Gear Fault Detection for Wind Turbine Gearboxes. IEEE Trans. Sustain. Energy 2017, 8, 1453–1462. [Google Scholar] [CrossRef]
- Mohanty, A.R.; Kar, C. Fault Detection in a Multistage Gearbox by Demodulation of Motor Current Waveform. IEEE Trans. Ind. Electron. 2006, 53, 1285–1297. [Google Scholar] [CrossRef]
- Ardakani, H.D.; Liu, Z.; Lee, J.; Bravo-Imaz, I.; Arnaiz, A. Motor Current Signature Analysis for Gearbox Fault Diagnosis in Transient Speed Regimes. In Proceedings of the 2015 IEEE Conference on Prognostics and Health Management (PHM), Austin, TX, USA, 22–25 June 2015; pp. 1–6. [Google Scholar]
- Cheng, F.; Wei, C.; Qu, L.; Qiao, W. Fault Diagnosis of Wind Turbine Gearbox Using DFIG Stator Current Analysis. IEEE Trans. Sustain. Energy 2016, 10, 1044–1053. [Google Scholar] [CrossRef]
- Lu, D.; Gong, X.; Qiao, W. Current-Based Diagnosis for Gear Tooth Breaks in Wind Turbine Gearboxes. In Proceedings of the 2012 IEEE Energy Conversion Congress and Exposition (ECCE), Raleigh, NC, USA, 15–20 September 2012; pp. 3780–3786. [Google Scholar]
- Bravo-Imaz, I.; Ardakani, H.D.; Liu, Z.; García-Arribas, A.; Arnaiz, A.; Lee, J. Motor Current Signature Analysis for Gearbox Condition Monitoring under Transient Speeds Using Wavelet Analysis and Dual-Level Time Synchronous Averaging. Mech. Syst. Signal Process. 2017, 94, 73–84. [Google Scholar] [CrossRef]
- Touti, W.; Salah, M.; Bacha, K.; Chaari, A. Condition Monitoring of a Wind Turbine Drivetrain Based on Generator Stator Current Processing. ISA Trans. 2022, 128, 650–664. [Google Scholar] [CrossRef]
- Jin, X.; Cheng, F.; Peng, Y.; Qiao, W.; Qu, L. Drivetrain Gearbox Fault Diagnosis: Vibration-and Current-Based Approaches. IEEE Ind. Appl. Mag. 2018, 24, 56–66. [Google Scholar] [CrossRef]
- Ma, J.; Li, C.; Luo, Y.; Cui, L. Nonlinear Dynamic Response Analysis of Two-Stage Spur Gear Space Driving Mechanism with Large Inertia Load. J. Vibroeng. 2018, 20, 86–102. [Google Scholar] [CrossRef]
- Elyousfi, B.; Soualhi, A.; Medjaher, K.; Guillet, F. A Model-Based Analysis of Crack Fault in a Two-Stage Spur Gear System. In Proceedings of the 2020 Prognostics and Health Management Conference (PHM-Besançon), Besancon, France, 4–7 May 2020; pp. 60–66. [Google Scholar]
- Lin, H.H.; Liou, C.-H. A Parametric Study of Spur Gear Dynamics; NASA: Washington, DC, USA, 1998. [Google Scholar]
- Chaari, F.; Fakhfakh, T.; Haddar, M. Analytical Modelling of Spur Gear Tooth Crack and Influence on Gearmesh Stiffness. Eur. J. Mech.-A/Solids 2009, 28, 461–468. [Google Scholar] [CrossRef]
- Yang, D.; Lin, J. Hertzian Damping, Tooth Friction and Bending Elasticity in Gear Impact Dynamics. J. Mech. Trans. Automation. 1987, 109, 189–196. [Google Scholar] [CrossRef]
- El Yousfi, B.; Soualhi, A.; Medjaher, K.; Guillet, F. A New Analytical Method for Modeling the Effect of Assembly Errors on a Motor-Gearbox System. Energies 2021, 14, 4993. [Google Scholar] [CrossRef]
- Liang, X.; Zuo, M.J.; Patel, T.H. Evaluating the Time-Varying Mesh Stiffness of a Planetary Gear Set Using the Potential Energy Method. Proc. Inst. Mech. Eng. Part C J. Mech. Eng. Sci. 2014, 228, 535–547. [Google Scholar] [CrossRef]
- Cao, Z.; Shao, Y.; Rao, M.; Yu, W. Effects of the Gear Eccentricities on the Dynamic Performance of a Planetary Gear Set. Nonlinear Dyn. 2018, 91, 1–15. [Google Scholar] [CrossRef]
- Tian, X.; Zuo, M.J.; Fyfe, K.R. Analysis of the Vibration Response of a Gearbox with Gear Tooth Faults. In Proceedings of the ASME International Mechanical Engineering Congress and Exposition, Anaheim, CA, USA, 13–19 November 2004; Volume 47063, pp. 785–793. [Google Scholar]
- Wu, S.; Zuo, M.J.; Parey, A. Simulation of Spur Gear Dynamics and Estimation of Fault Growth. J. Sound Vib. 2008, 317, 608–624. [Google Scholar] [CrossRef]
- Muller, S.; Deicke, M.; De Doncker, R.W. Doubly Fed Induction Generator Systems for Wind Turbines. IEEE Ind. Appl. Mag. 2002, 8, 26–33. [Google Scholar] [CrossRef]
- Abad, G.; Lopez, J.; Rodriguez, M.; Marroyo, L.; Iwanski, G. Doubly Fed Induction Machine: Modeling and Control for Wind Energy Generation; John Wiley & Sons: Hoboken, NJ, USA, 2011; ISBN 1-118-10495-1. [Google Scholar]
- Xu, L.; Wang, Y. Dynamic Modeling and Control of DFIG-Based Wind Turbines under Unbalanced Network Conditions. IEEE Trans. Power Syst. 2007, 22, 314–323. [Google Scholar] [CrossRef]
- Vicatos, M.; Tegopoulos, J. Transient State Analysis of a Doubly-Fed Induction Generator under Three Phase Short Circuit. IEEE Trans. Energy Convers. 1991, 6, 62–68. [Google Scholar] [CrossRef]
- Poitiers, F.; Bouaouiche, T.; Machmoum, M. Advanced Control of a Doubly-Fed Induction Generator for Wind Energy Conversion. Electr. Power Syst. Res. 2009, 79, 1085–1096. [Google Scholar] [CrossRef]
- Fortmann, J. Modeling of Wind Turbines with Doubly Fed Generator System; Springer: Berlin/Heidelberg, Germany, 2014; ISBN 3-658-06882-5. [Google Scholar]
- Keltoum, L.; Leila, B.; Abderrahmen, B. Speed Control of a Doubly-Fed Induction Motor (DFIM) Based on Fuzzy Sliding Mode Controller. Int. J. Intell. Eng. Syst. 2017, 10, 20–29. [Google Scholar] [CrossRef]
- Amrane, F.; Francois, B.; Chaiba, A. Experimental Investigation of Efficient and Simple Wind-Turbine Based on DFIG-Direct Power Control Using LCL-Filter for Stand-Alone Mode. ISA Trans. 2022, 125, 631–664. [Google Scholar] [CrossRef] [PubMed]
- Mensou, S.; Essadki, A.; Nasser, T.; Idrissi, B.B.; Ben Tarla, L. Dspace DS1104 Implementation of a Robust Nonlinear Controller Applied for DFIG Driven by Wind Turbine. Renew. Energy 2020, 147, 1759–1771. [Google Scholar] [CrossRef]





















| Symbol | Quantity | Value | Symbol | Quantity | Value |
|---|---|---|---|---|---|
| E | Young modulus | Pa | Second pinion mass | 0.294 kg | |
| Poisson’s ratio | 0.3 | First gear inertia | |||
| m | Modulus | 1.5 mm | First pinion inertia | ||
| Bearing stiffness | Second gear inertia | ||||
| Bearing damping | Second pinion inertia | ||||
| First gear mass | 1.74 kg | Turbine inertia | |||
| First pinion mass | 0.16 kg | Machine inertia | |||
| Second gear mass | 1.79 kg | F | Turbine friction coefficient |
| Symbol | Quantity | Value | Symbol | Quantity | Value |
|---|---|---|---|---|---|
| Rated Power | Stator Resistance | 1.18 Ω | |||
| Rated Voltage | 220/380 V | Rotor Resistance | 1.66 Ω | ||
| Frequency | 50 Hz | Stator Inductance | 0.20 H | ||
| Rated Speed | 3000 rpm | Rotor Inductance | |||
| p | Number of Pole Pairs | 1 | Mutual Inductance | 0.17 H |
Disclaimer/Publisher’s Note: The statements, opinions and data contained in all publications are solely those of the individual author(s) and contributor(s) and not of MDPI and/or the editor(s). MDPI and/or the editor(s) disclaim responsibility for any injury to people or property resulting from any ideas, methods, instructions or products referred to in the content. |
© 2023 by the authors. Licensee MDPI, Basel, Switzerland. This article is an open access article distributed under the terms and conditions of the Creative Commons Attribution (CC BY) license (https://creativecommons.org/licenses/by/4.0/).
Share and Cite
Issaadi, I.; Hemsas, K.E.; Soualhi, A. Wind Turbine Gearbox Diagnosis Based on Stator Current. Energies 2023, 16, 5286. https://doi.org/10.3390/en16145286
Issaadi I, Hemsas KE, Soualhi A. Wind Turbine Gearbox Diagnosis Based on Stator Current. Energies. 2023; 16(14):5286. https://doi.org/10.3390/en16145286
Chicago/Turabian StyleIssaadi, Idris, Kamel Eddine Hemsas, and Abdenour Soualhi. 2023. "Wind Turbine Gearbox Diagnosis Based on Stator Current" Energies 16, no. 14: 5286. https://doi.org/10.3390/en16145286
APA StyleIssaadi, I., Hemsas, K. E., & Soualhi, A. (2023). Wind Turbine Gearbox Diagnosis Based on Stator Current. Energies, 16(14), 5286. https://doi.org/10.3390/en16145286

