Next Article in Journal
Expectations for Bioenergy Considering Carbon Neutrality Targets in the EU
Previous Article in Journal
Low Complexity Non-Linear Spectral Features and Wear State Models for Remaining Useful Life Estimation of Bearings
 
 
Font Type:
Arial Georgia Verdana
Font Size:
Aa Aa Aa
Line Spacing:
Column Width:
Background:
Article

Joint State of Charge (SOC) and State of Health (SOH) Estimation for Lithium-Ion Batteries Packs of Electric Vehicles Based on NSSR-LSTM Neural Network

1
School of Science and Technology, Hong Kong Metropolitan University, Hong Kong, China
2
Vocational Training Council-Youth College (Kwai Chung), Hong Kong, China
*
Authors to whom correspondence should be addressed.
Energies 2023, 16(14), 5313; https://doi.org/10.3390/en16145313
Submission received: 14 June 2023 / Revised: 7 July 2023 / Accepted: 8 July 2023 / Published: 11 July 2023
(This article belongs to the Section D2: Electrochem: Batteries, Fuel Cells, Capacitors)

Abstract

Lithium-ion batteries (LIBs) are widely used in electrical vehicles (EVs), but safety issues with LIBs still occur frequently. State of charge (SOC) and state of health (SOH) are two crucial parameters for describing the state of LIBs. However, due to inconsistencies that may occur among hundreds to thousands of battery cells connected in series and parallel in the battery pack, these parameters can be difficult to estimate accurately. To address this problem, this paper proposes a joint SOC and SOH estimation method based on the nonlinear state space reconstruction (NSSR) and long short-term memory (LSTM) neural network. An experiment testbed was set up to measure the SOC and SOH of battery packs under different criteria and configurations, and thousands of charging/discharging cycles were recorded. The joint estimation algorithms were validated using testbed data, and the errors for SOC and SOH estimation were found to be within 2.5% and 1.3%, respectively, which is smaller than the errors obtained using traditional Ah-Integral and LSTM-only algorithms.

1. Introduction

The need to enhance the power and energy systems of vehicles has become more pressing in recent years due to the increasing emphasis on low-carbon targets and the rising cost of fossil fuels. To meet these ambitious targets, it is crucial to explore cutting-edge, environmentally friendly technologies [1,2]. In recent years, research on electric vehicles (EVs) has gained significant momentum. EVs use electricity as the energy source and an electric motor instead of an internal-combustion engine to drive the vehicles. This design has the potential to emit zero carbon emissions, making EVs more environmentally friendly than traditional fossil fuel vehicles in principle. In an EV, the battery is a critical component/subsystem that stores the energy for the vehicle, like the fuel tank of fossil fuel vehicles. However, the battery mechanism is more complicated. In general, electricity is converted into chemical energy and stored inside the batteries. When electric power is required to drive the EVs, this chemical energy is converted back into electric power through a series of chemical processes taking place inside the battery. Moreover, the performance and capacity of batteries degrade with aging and time, unlike fuel tanks that do not have such concerns. This degradation can be caused by various factors, including temperature, charging and discharging cycles, and manufacturing defects. While monitoring the state of the battery is critical for the performance and safety of EVs, it remains a challenging research topic. For example, State of Charge (SOC) and State of Health (SOH) are crucial parameters for assessing the condition of batteries. SOC indicates the remaining available capacity, which determines the possible longest travel distance for an EV. SOH represents the battery’s fading state, or the maximum energy that can be stored in the battery [3]. However, direct measurement of these parameters using sensors is generally not possible, and they are often estimated using prediction algorithms [4]. It is important to note that there are interactions between the estimations of SOC and SOH. Battery fading, or the change of SOH default value, can have a significant impact on SOC estimation, and inaccurate SOC estimation can disturb SOH estimation [5]. Furthermore, the estimation of SOC and SOH will also depend on the structure and type of the battery.
Lithium-ion batteries (LIBs) are widely recognized as one of the most promising candidates for power energy storage in EVs. LIBs offer excellent performance, including high energy density, long cycle life, good safety performance, and a low self-discharge rate [6]. To fulfil the power and capacity demands of electric vehicles (EVs), it is a common practice to connect hundreds to thousands of lithium-ion batteries (LIBs) in series and parallel configurations, which are then integrated into one or more battery pack systems, as depicted in Figure 1. To ensure safe operation of EVs, it is essential to determine the SOC and SOH of the battery packs instead of a single battery cell. It would be much easier to estimate the SOC and SOH of the battery packs if all battery cells were identical. However, manufacturing process precision limitations inevitably result in minor inconsistencies in the characteristics of battery cells [7,8]. In addition, the battery aging process is a nonlinear process that depends on a variety of factors, including time and environmental conditions. While a new EV battery pack may initially consist of battery cells with identical parameter sets, it is not a guarantee that the cells will continue to exhibit uniform characteristics after several charge/discharge cycles during daily EV operation. Given the significance of LIB pack in an EV, it is crucial to develop an accurate and reliable prediction algorithm for estimating SOC and SOH of the battery pack that takes these factors into account.
To address these issues, this paper investigates joint SOC and SOH estimation based on nonlinear state space reconstruction-long short-term memory (NSSR-LSTM) neural networks for battery packs. The impact factors of battery pack inconsistencies in EVs will be analyzed and extracted through experimental methods, and the estimation algorithms will predict SOC values based on these relevant factors. Throughout the estimation process, the nonlinear state space reconstruction (NSSR) will be utilized to construct a new phase state space for input variables’ stability, and the NSSR will be combined with long short-term memory (LSTM) to build the estimation model due to the LSTM’s ability to memorize historical information. This work makes contributions to the SOC and SOH estimation of battery packs by
(1)
An experiment testbed has been set up for measuring the SOC and SOH of battery packs under different criteria and pack configuration. Results of thousands of charging/discharging cycles are recorded.
(2)
We evaluated the appropriate parameters suitable for the inputs of machine learning models using experiments on the testbed. We used different temperatures (40 °C and −10 °C) and charging/discharging patterns (constant current and China light-duty vehicle test cycle (CLTC) [9]) to evaluate the input parameters.
(3)
We developed a machine learning model based on long short-term memory (LSTM) for co-estimating the SOC and SOH. To improve the estimation accuracy, we further integrated a nonlinear state space reconstruction (NSSR) approach into the model for estimating the SOC and SOH of the EV battery pack.
(4)
We verified the accuracy of the proposed NSSR-LSTM co-estimation of SOC and SOH by comparing the results with experimental measurement results on a high voltage battery pack (shown in Figure 1 with x = 4 and n = 112). The comparison showed that the proposed NSSR-LSTM method can significantly improve the accuracy of estimating the SOC and SOH of the EV battery pack.
The rest of the paper is organized as follows: In Section 2, we further discuss the issues related to estimating SOC and SOH of EV batteries and the currently available methods. Section 3 describes the setup of the testbed for measuring the SOC and SOH of EV battery packs under different charge/discharge cycling criteria and pack configurations. In this section, we also present the evaluation procedures used to choose the appropriate parameters suitable for the inputs of the proposed machine learning NSSR-LSTM model. Section 4 describes the proposed NSSR-LSTM model. In Section 5, we compare the results from the proposed NSSR-LSTM model with measured data from the experiment testbed. We also use a SOC/SOH estimation method to evaluate the accuracy of the proposed NSSR-LSTM model. Finally, we provide a conclusion in Section 6.

2. The Performance Evaluation of EV Battery Pack

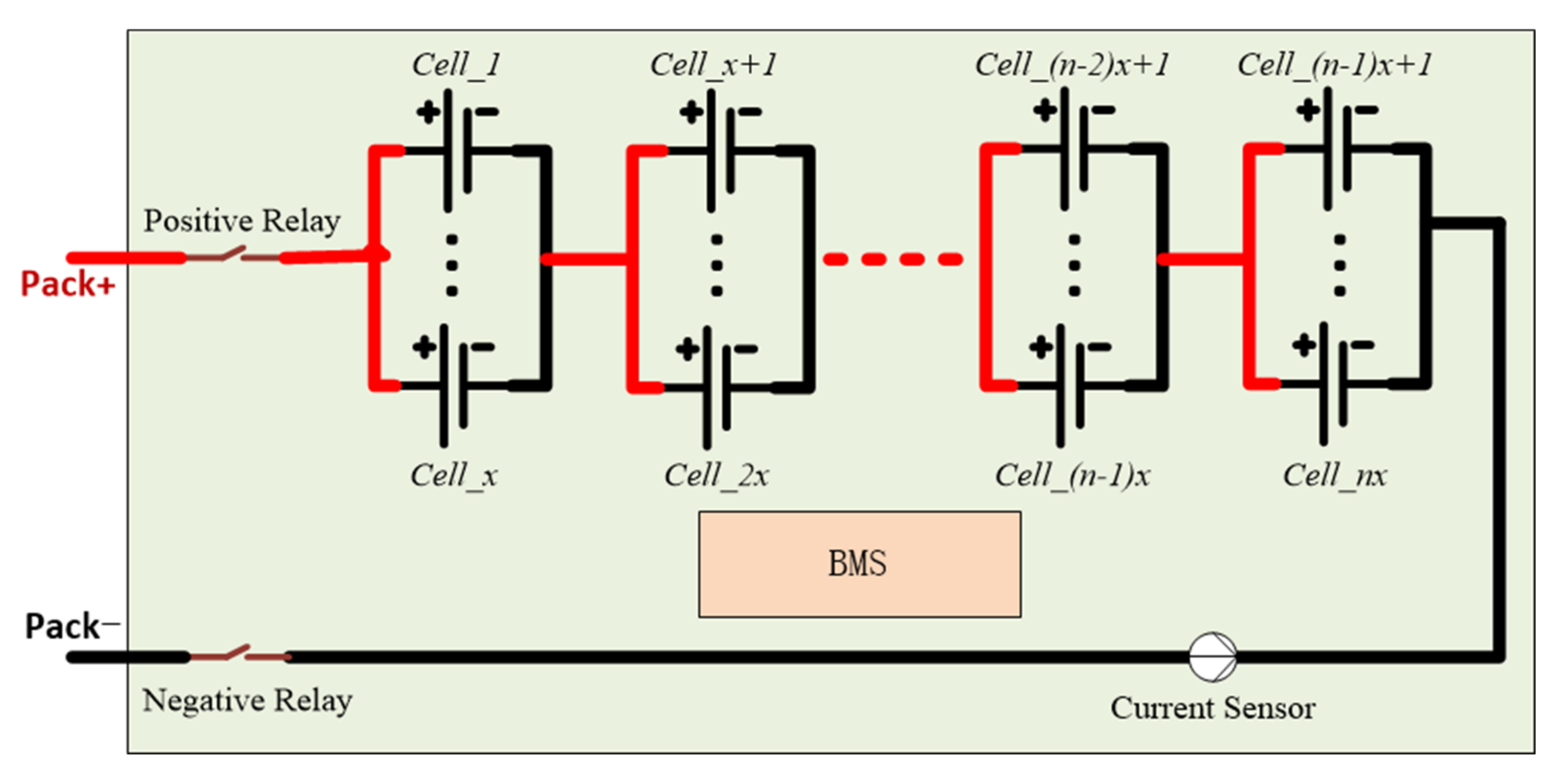
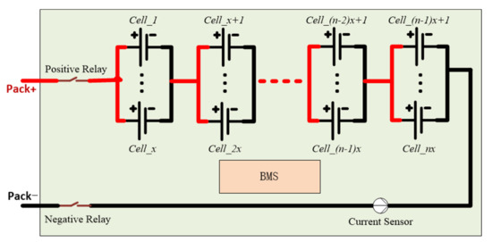
Figure 1 shows a basic structure of an EV battery pack. It consists of nx lithium-ion battery (LIB) cells, where x represents the number of battery cells in a parallel group, and n represents the number of battery groups in the pack. Assuming each battery cell offers a maximum voltage and current capacity of Vc volts and Ac amperes, respectively, the battery pack can support a maximum voltage and current of nVc volts and xAc amperes, respectively. To maintain the voltage, current, and temperature of the battery cells within safe limits, the battery management system (BMS) continuously monitors and manages each individual battery cell. Additionally, the BMS must employ mechanisms for measuring and estimating the SOC and SOH of the battery pack to ensure proper charging and discharging. These mechanisms will be discussed in detail in the following subsections. Moreover, the BMS utilizes a current sensor to measure the charging and discharging currents of the battery pack and report them to the system. In cases where the battery pack is at risk of overload or overcharge, the BMS takes control of the positive and negative relays to disconnect the connection between the battery pack and the outside system to prevent any potential damage.

2.1. Estimation of State of Charge (SOC)

As mentioned earlier, SOC indicates the remaining available capacity of a battery. Typically, the SOC value is expressed as a percentage, which is calculated by dividing the available current capacity by the nominal capacity [10]. The SOC can be mathematically represented using the following relationships between relevant parameters [11].
S O C t 0 + 1 = S O C t 0 + η t 0 t 0 + 1 I t d t C N ,
where SOC(t0+1) reflects the SOC value at the time t0 + 1, SOC(t0) describes the SOC value at the time t0, η represents the efficiency of battery charging and discharging process, I(t) represent current of charge and discharge at the t time, and C(N) represents the nominal capacity of battery packs.
In terms of estimating the SOC of EV battery pack, there are typically four common methods [12,13], which include ampere-hour (Ah) integral methods [14], OCV lookup SOC table methods [15], filter algorithms combined with equivalent circuit models [16], and data-driven algorithms [3]. The ampere-hour (Ah) integral method is commonly used to estimate SOC by integrating current and time over different time intervals. However, the accuracy of this method is subject to errors in current sensor measurements. As errors accumulate in the Ah integrals, the errors in SOC estimation gradually increase during the charge and discharge process [10]. Additionally, this method heavily relies on an accurate initial SOC value, and to address open-loop issues, it needs to be combined with other SOC calibration algorithms. As a result, the Ah-integral method may not be the most suitable for SOC estimation.
Xing et al. [17] proposed an innovative OCV-SOC estimation method, which builds an estimation model based on different temperatures. While this method is an improvement over traditional methods, obtaining an accurate open-circuit voltage (OCV) value requires a static environment for the battery cells [18]. Moreover, it is challenging to ensure the accuracy of OCV estimation throughout the battery pack’s operational life cycle in an EV.
Yang et al. [19] investigated several filter algorithms, including the Extended Kalman Filter (EKF) and the Unscented Kalman Filter (UKF), which combine an equivalent circuit model to estimate the SOC value. These algorithms have demonstrated better accuracy than the Ah integral method. However, ensuring the accuracy of the battery model throughout the battery pack’s entire operational life cycle can be challenging.
In recent years, SOC estimation algorithms based on various neural networks have become increasingly popular for lithium-ion batteries in EVs. Zhang et al. [20] utilized a GWO-BP neural network to predict the SOH value, which was combined with the Ah integral method to estimate the SOC value. However, this method did not address the open-loop issues of the Ah integral method in predicting SOC accurately. Qian et al. [21] investigated a Dual-Input Neural Network to estimate SOC, while Lee and Lee [22] proposed a neural network bank algorithm comprising four layers to estimate SOC and SOH. Fasahat and Manthouri [23] studied a combination of an Auto-encoder and the LSTM neural network to estimate SOC value but did not consider the SOH value due to battery fading. Lee et al. [24] investigated a Multilayer neural network to estimate both SOC and SOH.
The previously mentioned algorithms primarily focus on estimating the SOC of individual battery cells and generalize the results to estimate the SOC of the battery pack. However, due to the inconsistencies that arise from assembling cells, estimating the SOC of the entire battery pack is not common. These inconsistencies mainly stem from the various internal and external parameters of battery cells. The internal parameters primarily consist of individual inconsistencies in capacity, internal resistance, open-circuit voltage (OCV), and SOC, which are mainly generated during the manufacturing and assembly processes of the battery packs. In addition, differences in temperature and current among battery cells are also primary factors that contribute to inconsistencies in battery packs in practical applications [25].

2.2. Estimation of State of Health (SOH)

SOH is an essential feature that can evaluate the health state of LIBs, but there is no standardized definition of this term. There are commonly three types that describe SOH, namely internal resistance, cycle life, and battery capacity [26]. The SOH description type of internal resistance usually adopts the differences between the initial state and the aged state of the internal resistance of batteries. Cycle life is commonly calculated to describe the number of times batteries are charged and discharged through the ratio of the cumulative capacity and the nominal capacity. The type of SOH characterization based on battery capacity is the percentage between the initial state and the aged state of the capacity. As the most popular SOH definition is based on battery capacity, it can be mathematically expressed as:
S O H N = C a p n o w C a p i n i t i a l ,
where Cap(now) presents the current maximum capacity, Cap(initial) presents the initial capacity of the newest battery, and SOH(N) presents the state of health after N cycles. Despite the simplicity of Equation (2), accurately estimating SOH is not an easy task. The theories of lithium-ion battery fading and external working conditions remain elusive, making it even more challenging to estimate the SOH value [27]. However, accurately estimating the SOH is crucial for the safe application of EV batteries, as it can aid in the early detection of battery failure and mitigate safety risks [28].
From a technical perspective, two kinds of methods are usually adopted to estimate SOH: model-based methods and data-driven methods [29]. Model-based methods are commonly established using physical or electrochemical features, while data-driven methods are typically independent of the battery model and mainly estimate the battery state using mathematical relationships of key feature parameters.
So far, some model-based methods have been proposed for SOH estimation. A fused fading model was investigated based on the capacity decaying and internal resistance increasing over time [30]. The voltage drop method based on the unit time was studied to build the SOH estimation model using linear correlation [31]. An enhanced coulomb counting method was explored, which adopted depth-of-discharge (DOD) and SOC to estimate SOH [8]. However, obtaining the DOD and coulomb efficiency of batteries is challenging in practical applications. A 4th-order EKF method [32] and a DEKF method [33] were investigated to estimate SOH by combining equivalent circuit models based on physical descriptions. Nevertheless, accurately expressing the inherent electrochemistry characteristics of LIBs using these equivalent circuit models is difficult.
With the development of computer technologies, machine learning (ML) and deep learning (DL) have become essential data-driven methods that have been widely explored for estimating SOH. Examples include the bidirectional long- and short-term memory (Bi-LSTM) method combined with incremental capacity analysis (ICA) [34], the Probabilistic Neural Network method [35], convolutional neural network methods [36], and recurrent neural network methods [37]. However, these data-driven methods only consider single cells and ignore SOH estimation for battery packs.
To address these problems, a machine learning NSSR-LSTM model has been proposed to estimate SOH, which considers the SOC estimation of battery packs and improves the stability of the estimation methods. A more detailed discussion of this method will be provided in Section 4.

3. Experiment Testbed and Key Features Extraction

To identify the relevant input parameters for the proposed machine learning NSSR-LSTM model detailed in Section 4, an experimental testbed was established as illustrated in Figure 2. The test equipment consisted of a collection of charge and discharge cabinets (as shown in the attached photo), constant temperature equipment (also shown in the attached photo), a personal computer (PC), and a Controller Area Network (CAN) bus tool. The battery pack under test was composed of LiFePO4 (LFP) 52 Ah rectangular aluminum shell batteries, with parameters shown in Table 1. To ensure uniformity and minimize performance variations between battery cells, the battery pack was constructed according to the common practice used in electric vehicles (EVs) by using cells from the same batch. The charge and discharge cabinets were utilized to replicate the charger and vehicle loads, respectively. The constant temperature equipment was employed to generate a range of environmental temperatures, while the PC recorded the measured data (voltage, current, and temperature) from the battery pack. During the experiments, the battery management system (BMS) of the battery pack was powered by a 12 V power supply, enabling the battery cells inside the pack to have the same management and control as those in an electric vehicle. The CAN tool facilitated efficient data transmission between the various components of the testbed, enabling accurate and reliable data handling and processing. In this paper, three different EV batteries charging/discharging scenarios were tested.

3.1. Testing of China Light-Duty Vehicle Test Cycle (CLTC)

The China light-duty vehicle test cycle (CLTC) was designed to simulate actual road conditions for vehicles in China [9]. Due to their excellent cost and safety performance, LiFePO4 (LFP) batteries have been widely adopted. However, the complex nature of measurable parameters in LFP batteries can increase the difficulty of SOC estimation [38]. To analyze the impact of battery pack inconsistencies, a CLTC charging/discharging cycling pattern was adopted to test a battery pack sample at 40 °C and −10 °C. To ensure that all the battery cells are at the desired temperature before testing, it is necessary to keep the entire battery pack in the temperature-controlled chamber for 24 h prior to testing. This will ensure that all the cells reach the same temperature and that any temperature differentials between cells are minimized. The battery pack consisted of 84 individual cells connected in three parallel and twenty-eight series, as depicted in Figure 1 with x = 3 and n = 28. Experimental data were recorded once per second.

3.2. Testing of Cycle Life of a Single Cell

To analyze the cycle life features of a single cell, an experiment was conducted to evaluate its cycle life at three different temperatures: 25 °C, 45 °C, and 0 °C. The test data was recorded once every 30 s and included several parameters such as charge capacity, discharge capacity, state of health (SOH), state of charge (SOC), and the number of cycles. By monitoring these parameters over time, the experiment aimed to gain insight into how the single cell performs under different temperature conditions, and how its cycle life is affected.

3.3. Testing of Cycle Life of Battery Pack

To validate the joint estimation algorithms for the lifetime of battery packs, a cycle life testing of a battery pack system was conducted. Given the longer duration of the cycle life testing, it was important to choose an appropriate temperature that could accommodate a larger output of charge and discharge ratio. The temperature of 25 °C was deemed suitable as it provides a higher rate of charge and discharge for lithium-ion batteries. To test the cycle life, a higher 1 C charge and discharge rate was applied at 25 °C. The battery pack consisted of 448 single cells connected in 4 parallel and 112 series, as depicted in Figure 1 with x = 4 and n = 112. By subjecting the battery pack to this testing regime, the joint estimation algorithms could be validated under realistic conditions.

3.4. Key Features Extraction and Analysis

3.4.1. Charging/Discharge Current

To analyze the practical data of work conditions of electric vehicles (EVs), the CLTC work conditions (see Section 3.1) were adopted to simulate practical applications. The current curves under the CLTC work conditions were separately presented at temperatures of 40 °C and −10 °C in Figure 3a and Figure 3b, respectively. The y-axis of the figures represents the current flowing into or out of the battery pack during charging or discharging, respectively. A positive value indicates charging, while a negative value indicates discharging. It is noticeable that a battery pack at a lower temperature will exhibit a lower charging/discharging current. The reason behind this observation will be discussed in the next section.

3.4.2. Voltage of Battery Cells

Figure 4 shows the relationship between voltage and state of charge (SOC) of the battery pack sample at temperatures of 40 °C and −10 °C, respectively. These voltage curves follow the work conditions (see Section 3.1) of the CLTC for the battery pack sample. The curves labelled ‘MinCellVoltage’ and ‘MaxCellVoltage’ represent the minimum and maximum voltage values, respectively, as the SOC changes, across all the battery cells at each temperature. On the other hand, the curves labelled ‘MeanCellVoltage’ represent the average voltage value across all battery cells at each temperature. Existing literature, such as references [39,40], have established that low temperatures can significantly reduce the activation of lithium-ion in the electrolyte, leading to a decline in the electrochemical performance of the battery. This reduction in performance is due to the decrease in the kinetic energy of the ions, which results in a lower diffusion rate, leading to a reduction in the battery’s capacity and power output. Hence, the battery output voltage at −10 °C on average is lower than that at 40 °C. Furthermore, the battery’s internal resistance can also increase at low temperatures, causing a larger voltage drop when the battery is subjected to high output currents. As a result, the battery’s output voltage at −10 °C can have larger fluctuations than at 40 °C as shown in Figure 4.

3.4.3. Maximum Voltage Difference between Battery Cells

Figure 5 depicts the relationship between voltage differences and SOC of the battery pack sample at temperatures of 40 °C and −10 °C, respectively. These curves also follow the work conditions of the CLTC (see Section 3.1) for the battery pack sample. The voltage differences between cells are important parameters for estimating the SOC and SOH of battery packs. From the curves of voltage differences, the maximum voltage differences reach close to 300 mV and 700 mV at 40 °C and −10 °C, respectively. As we discussed in Section 3.4.2, low temperatures can significantly reduce the activation of lithium-ion in the electrolyte, leading to a decline in the electrochemical performance of the battery. This reduction in performance can vary among battery cells due to inconsistencies in the manufacturing process and other factors. As a result, different battery cells may encounter varying levels of performance decline at low temperatures. Furthermore, during battery testing, the battery cells in a battery pack can experience temperature differences of several degrees Celsius due to various factors, such as differences in cell location and thermal management effectiveness. This temperature difference can lead to further performance variations among the battery cells, especially at low temperatures. Consequently, the voltage difference between the battery cells at −10 °C can be larger than that at 40 °C.

3.4.4. Temperature of Battery Cells

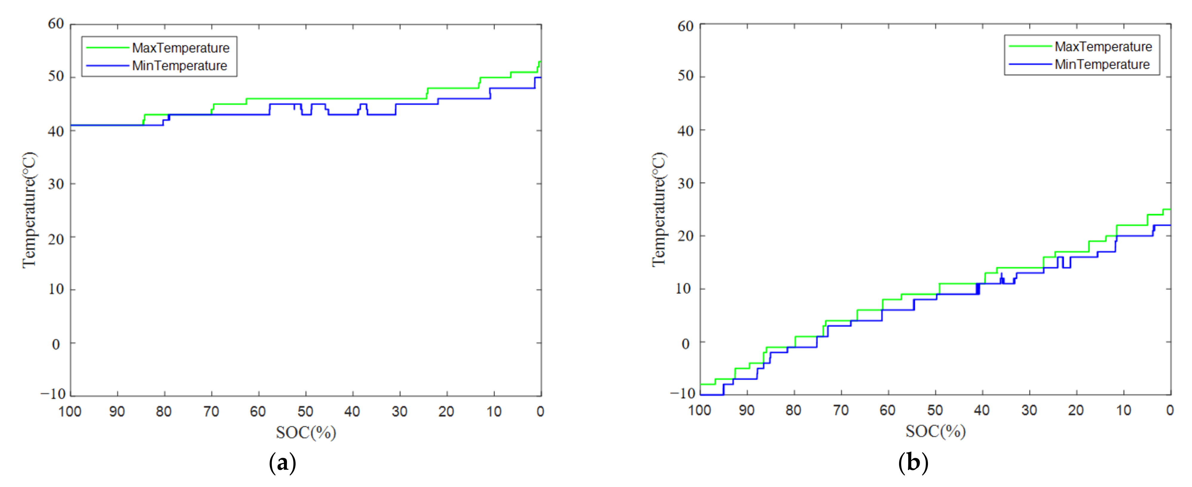
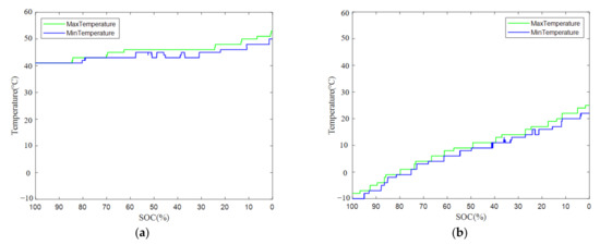
Figure 6 depicts the relationship between temperature and state of charge (SOC) of the battery pack sample at temperatures of 40 °C and −10 °C, respectively. These curves also follow the work conditions of the CLTC (see Section 3.1) for the battery pack sample separately. From the temperature-SOC curves, it is apparent that the temperature between the maximum temperature and minimum temperature is different at the same SOC points. This variation is a consequence of the different work conditions experienced by the battery pack sample at different temperatures.

3.4.5. Capacity and SOH of Battery Cell

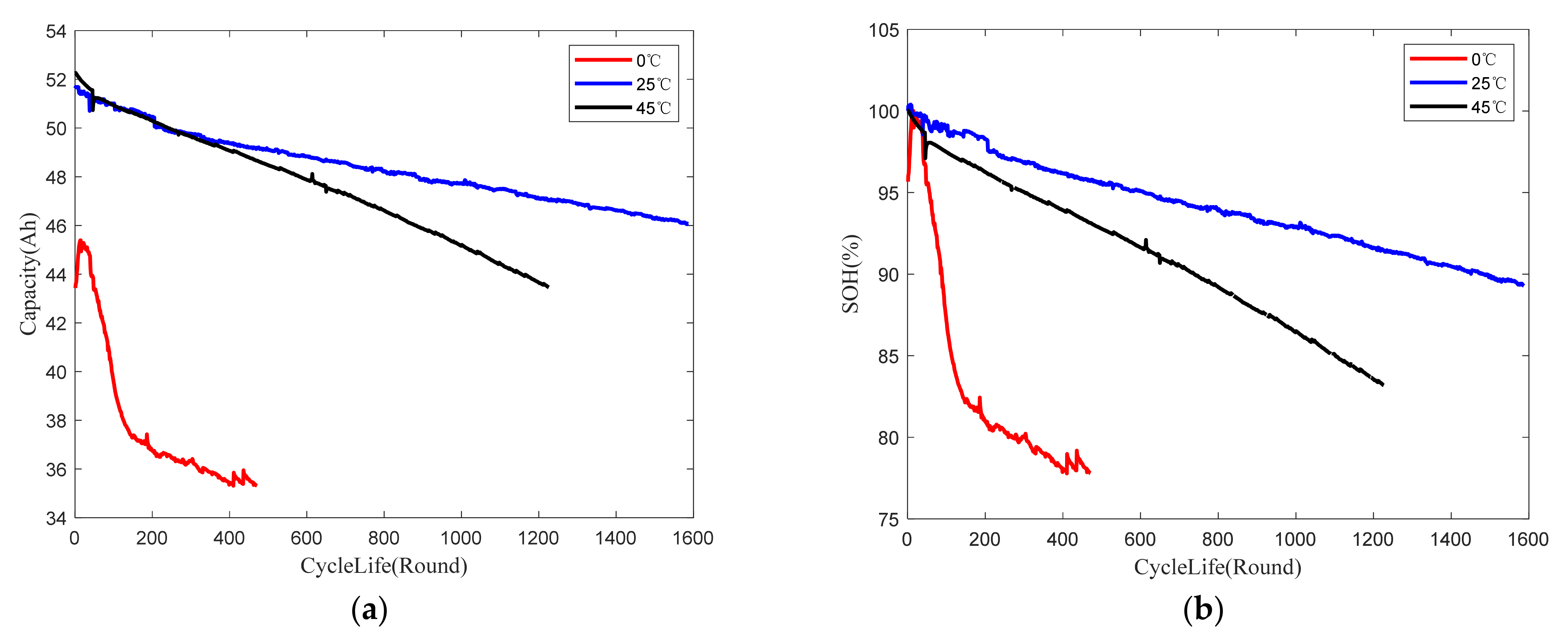
In Figure 7, the cycle life of the single cell (see Section 3.2) is shown at 45 °C, 25 °C and 0 °C separately. SOH will degrade with the increase of cycle life. In the meantime, SOH curve at 0 °C declines faster than that at 25 °C and 45 °C. From the discussion in previous section, the diffusion rate of lithium ions decreases at low temperatures, leading to a reduction in the battery’s capacity and power output, which can impact its SOH [39,40]. Furthermore, low temperatures can cause mechanical stress on the battery, which can lead to structural damage and accelerate the aging process, further reducing the battery’s SOH. The mechanical stress can result from the contraction and expansion of the battery materials due to the temperature change, leading to deformation and cracking of the battery components. Furthermore, SOH at 45 °C also decays faster than that at 25 °C due to impacts of polarization reaction [39,40]. Clearly, the temperature and cycle life will influence SOH estimation.

3.4.6. Difference of Accumulative Discharge Capacity between Time

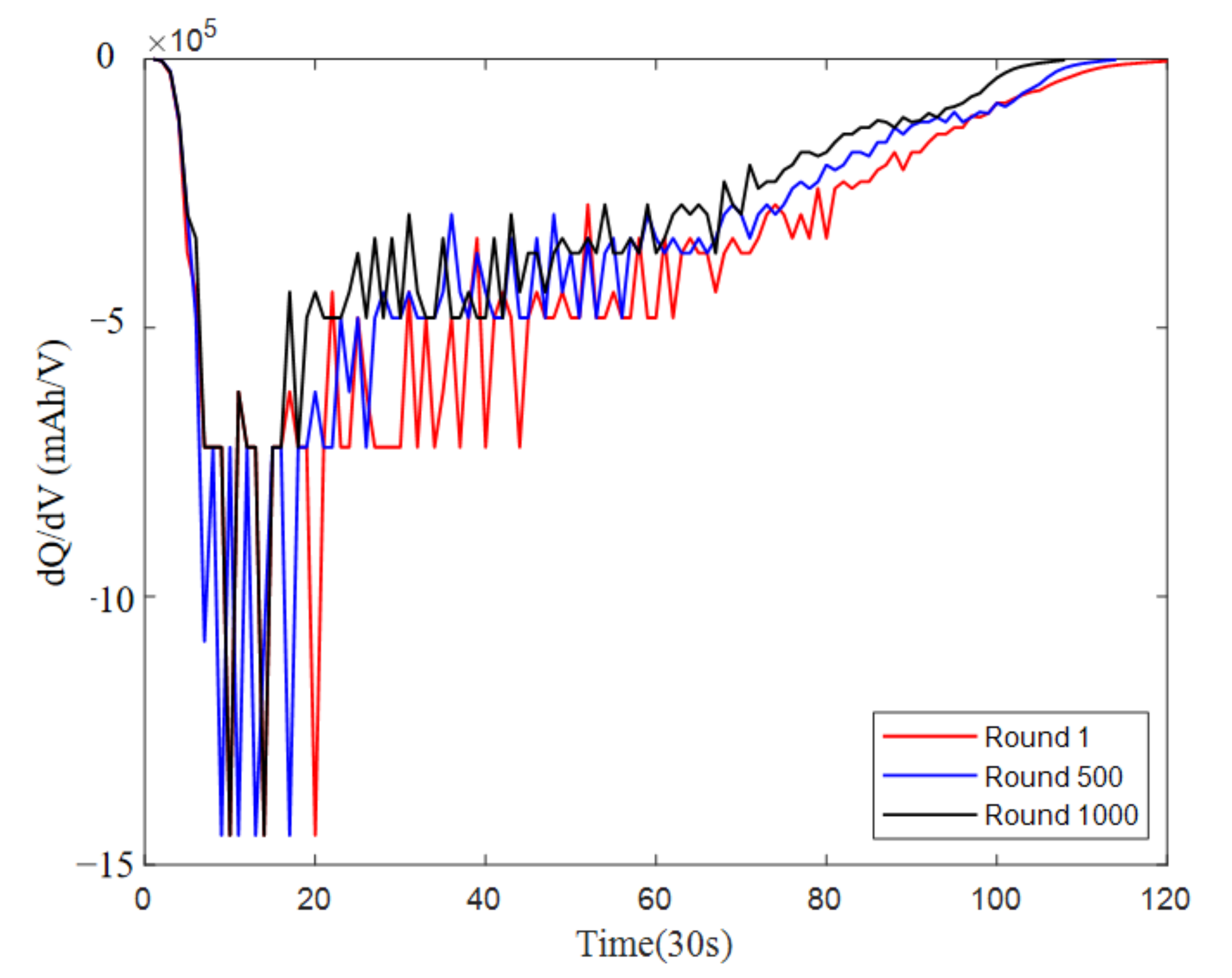
In Figure 8, the dQ/dV curves of the single cell (see Section 3.2) under temperature 25 °C are drawn at round 1, round 500 and round 1000 respectively, and the dQ/dV curves present the difference value of accumulative discharge capacity between the current time and the previous time, the dQ/dV curves express the difference value of voltage between the current time and the previous time. The dQ/dV curves present a gradually increasing trend as the number of cycles increased. Therefore, the changes of dQ/dV curves can also characterize the aging of batteries to a certain extent.

4. The Proposed Machine Learning Models

4.1. LSTM Neural Networks

LSTM (long short-term memory) neural networks are capable of fitting the function relationship between battery parameters using data training, without relying on any previous physical correlation [10]. Figure 9 shows the internal structure of the LSTM neural network. It consists of three gates: the forget gate, input gate, and output gate. Each gate includes several neurons that are trained based on the latest input and historical output. The forget gate determines which information from the previous time step should be discarded, while the input gate decides which new information should be added to the cell state. The output gate, on the other hand, decides which information should be output as the final result. By training the LSTM neural network with input-output pairs of battery parameters, the network can learn the function relationship and predict the output for new inputs. The network can also capture long-term dependencies by considering the historical output and input, which is important for accurate prediction of battery parameters.
The forget gate, typically implemented using a sigmoid function, plays a crucial role in determining which past information to retain and which to discard. It takes as input the previous hidden state, denoted as ht−1, that contains historical information, and the current input, denoted as Xt. The forget gate computes a vector of values between 0 and 1, which determines the extent to which each element of the previous hidden state should be forgotten or retained. The mathematical expression for the forget gate can be written as follows:
f t = σ V f h t 1 + W f X t + B f ,
where Vf presents the weight of ht−1, Wf presents the weight of Xt, and Bf presents the bias. In the meanwhile, σ is used as a sigmoid activation function, which can be expressed as follows:
σ = 1 1 + e x ,
The activation function will limit the output range between 0 and 1. As a result, it can make use of adopting and neglecting some previous information. Subsequently, the reserved information will be stored in the cell state.
The input gate is mainly employed to handle the input information, which consists of two parts. One is it from σ activation function and Ct′ from tanh function. Another is cell state Ct will be refreshed according to the information of the forget gate and input gate. The relevant function relationship can be respectively expressed as follows.
i t = σ V i × h t 1 + W i × X t + B i ,
C t = tan h ( V c × h t 1 + W c × X t + B c ) ,
where tan h can be expressed as follows:
tan h = e x e x e x + e x ,
The Ct state will involve the relevant information of the old cell state Ct−1, forget gate and input gate, which can be expressed as follows:
C t = C t 1 × f t + i t × C t ,
The output gate mainly provides the result of ht according to the Ot and the newest cell state. Where Ot and ht can be respectively expressed as follows.
O t = σ V O × h t 1 + W O × X t + B O ,
h t = O t × tan h ( C t ) ,
Based on the results of Section 3.4, we selected voltage, temperature, number of cycles, and dQ/dV as the input parameters for the LSTM model used to estimate the state of health (SOH) of the battery. Similarly, the LSTM model used to estimate the state of charge (SOC) of the battery employs the voltage, current, temperature, dQ/dV, and SOH as input parameters. To jointly estimate SOC and SOH, we have proposed an LSTM model, which is illustrated in Figure 10. From the simulation results, however, the accuracy of LSTM model is not acceptable. We therefore apply the nonlinear state space reconstruction (NSSR) technique to further improve the model performance.

4.2. Nonlinear State Space Reconstruction (NSSR)

According to Takens theorems, a new phase state space could be reconstructed to stabilize time-series system through the measurable state [41], which could be presented as Equation (11), where x presents the previous phase state space, y presents the reconstructed phase state space, T is adopted to describe the delayed time, and m presents the number of the embedded dimensions [42]. The measurable state variables of LIBs in charge and discharge process also belong to nonlinear time-series system. Therefore, nonlinear state space reconstruction (NSSR) based on Takens theorems is more suitable to apply in state estimation of LIBs. On the one hand, the NSSR can stabilize state space systems of LIBs. On the other hand, the NSSR can reduce the interference of instantaneous noises through a delayed phase state space.
x : x 1 x 2 x n φ   y :   x 1 ( k 1 ) × T x 1 ( k 2 ) × T x 1 ( k 3 ) × T x 1 ( k m ) × T x 2 ( k 1 ) × T x 2 ( k 2 ) × T x 2 ( k 3 ) × T x 2 ( k m ) × T x n ( k 1 ) × T x n ( k 2 ) × T x n ( k 3 ) × T x n ( k m ) × T ,

4.3. Joint SOC and SOH Estimation Based on NSSR-LSTM

In this paper, a co-estimation method of SOC and SOH based on NSSR-LSTM is investigated to address state estimation of batteries pack system. In Figure 11, the structure of joint SOC and SOH estimation algorithm is presented, and state variables of SOC consist of mean voltage ( V ¯ t ), minimum temperature ( T t ), current ( I t ), Ratio of capacity increment to voltage increment d Q t d V t ), and state of health ( S O H N ). The state variables of SOH consist of mean voltage ( V ¯ t ), minimum temperature ( T t ), Ratio of capacity increment to voltage increment ( d Q t d V t ), and number of cycles ( N t 1 ).
In the meanwhile, the state space composed of these state variables will be reconstructed according to NSSR theory. The phase state space reconstruction for SOC and SOH estimation is respectively shown as Equations (12) and (13).
x : V ¯ t T t I t d Q t / d V t S O H ( N ) φ   y :   V ¯ t 7 V ¯ t 6 V ¯ t T t 7 T t 6 T t I t 7 I t 6 I t d Q t 7 / d V t 7 d Q t 6 / d V t 6 d Q t / d V t S O H N ( t 7 ) S O H N ( t 6 ) S O H N ( t ) ,
x : V ¯ t T t I t d Q t / d V t S O H ( N ) φ   y :   V ¯ t 7 V ¯ t 6 V ¯ t T t 7 T t 6 T t d Q t 7 / d V t 7 d Q t 6 / d V t 6 d Q t / d V t N t 7 N t 6 N t ,
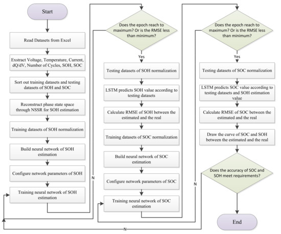
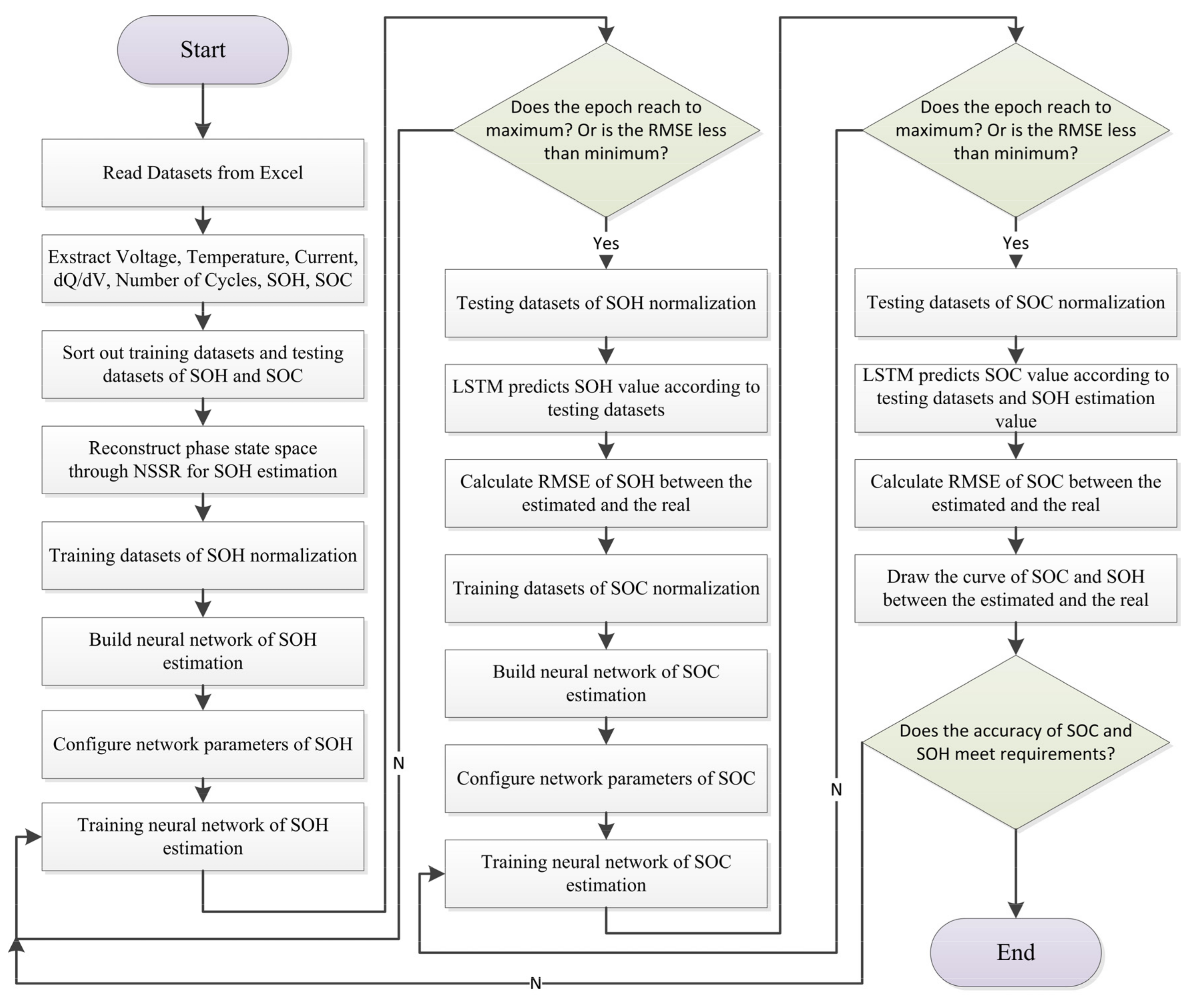
The reconstructed phase state space will be used as input to LSTM neural networks for the SOH and SOC estimation. The estimation process can be divided into three main steps. First, the reconstructed phase state space will be used to train the neural networks, following the training process shown in Figure 12. Second, the trained neural networks will be used for the estimation algorithms. Finally, the testing datasets will be fed into the networks to estimate SOH, which will then be used as an input parameter for SOC estimation. The LSTM models will predict SOC and SOH, and the root mean square error (RMSE) will be calculated to evaluate the accuracy of the estimations using Equation (14). Therefore, experimental data should be collected for voltage, current, temperature, number of cycles, SOH, and SOC to train and test the LSTM models.
R M S E y = 1 n i n ( y i y ¯ i ) 2 ,

5. Estimation Results and Discussion

To further validate the joint estimation algorithms based on NSSR-LSTM, we focused on the middle and late periods of the battery cycle life (see Section 3.3), which are typically challenging for estimation algorithms due to the impact of battery fading factors. We used battery pack data from the 700th and 800th cycles to evaluate the accuracy of the estimations. The hidden layers of the NSSR-LSTM neural networks were set to 150, and the algorithms were implemented using MATLAB 2018b and a single GPU. The training process was stopped when the RMSE of SOH and SOC for the validation datasets no longer significantly decreased.
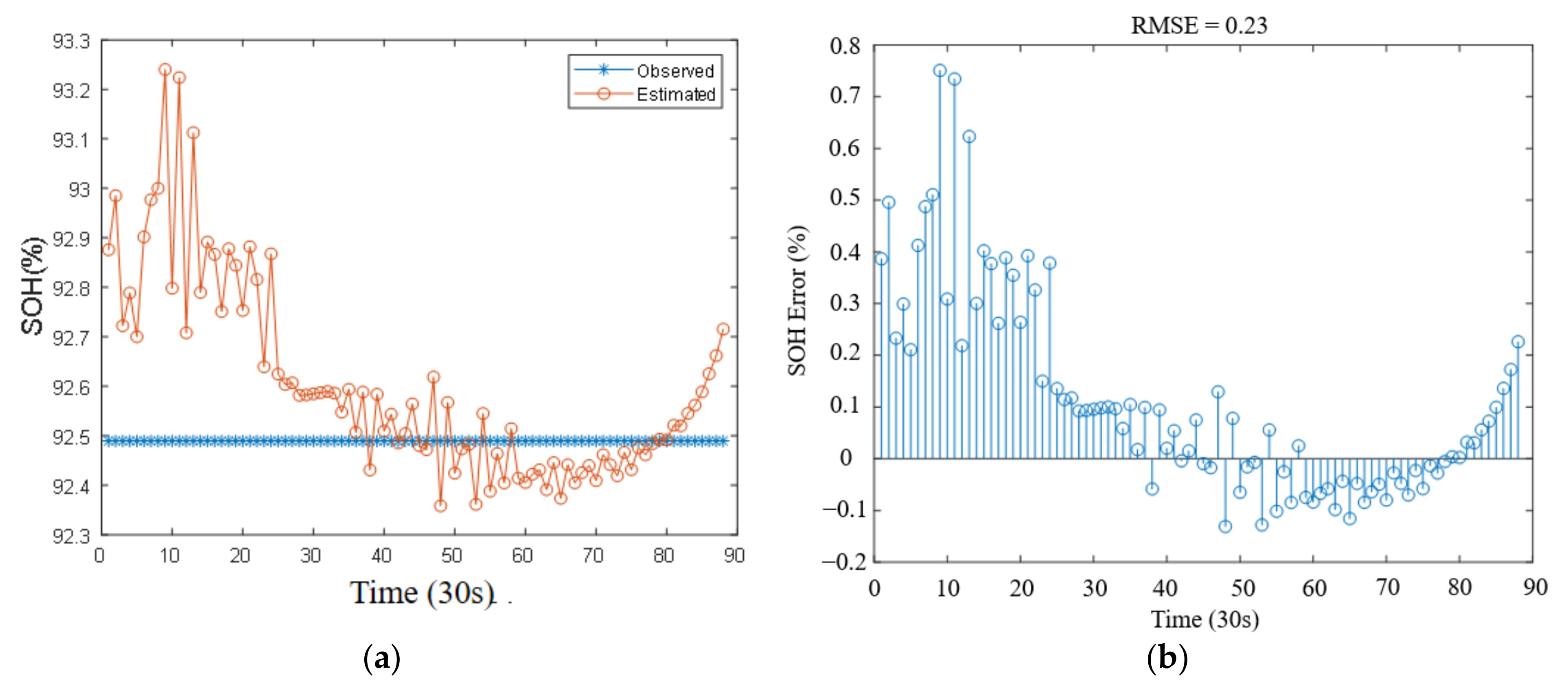
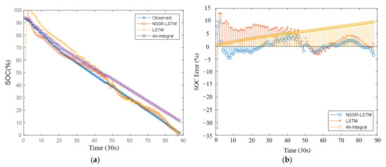
The SOH estimation RMSE for the 700th cycle is 0.23%, as shown in Figure 13. The SOH estimation results remain within 0.8% accuracy across different time points of the 700th cycle. The joint estimation based on NSSR-LSTM (in Figure 11) yields an SOC RMSE of 2.41% for the 700th cycle. In comparison, the Ah-integral method yields an SOC RMSE of 4.57%, and the LSTM only (in Figure 10) method yields an SOC RMSE of 9.13%. The SOC estimation results are shown and compared in Figure 14. The joint estimation based on NSSR-LSTM achieves excellent accuracy in estimating SOC during the aging state of the 700th cycle. The SOH estimation results are used as input parameters to estimate SOC, and the results show that the high accuracy of SOH estimation helps to improve the precision of SOC estimation for battery packs. Moreover, the SOC prediction results obtained using joint estimation based on NSSR-LSTM are more accurate than those obtained using the Ah-integral and LSTM only methods, demonstrating the effectiveness of our proposed method.
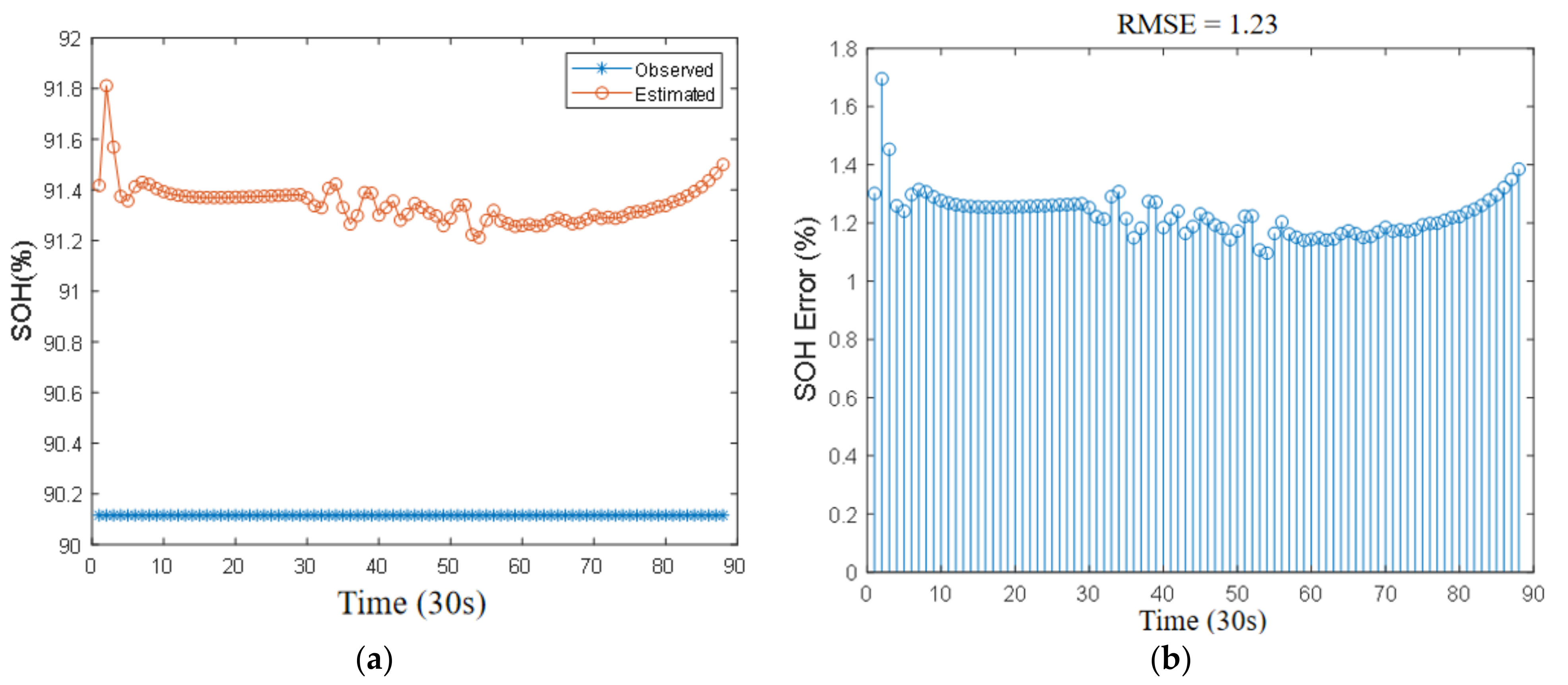
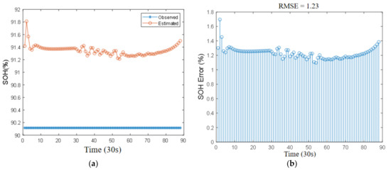
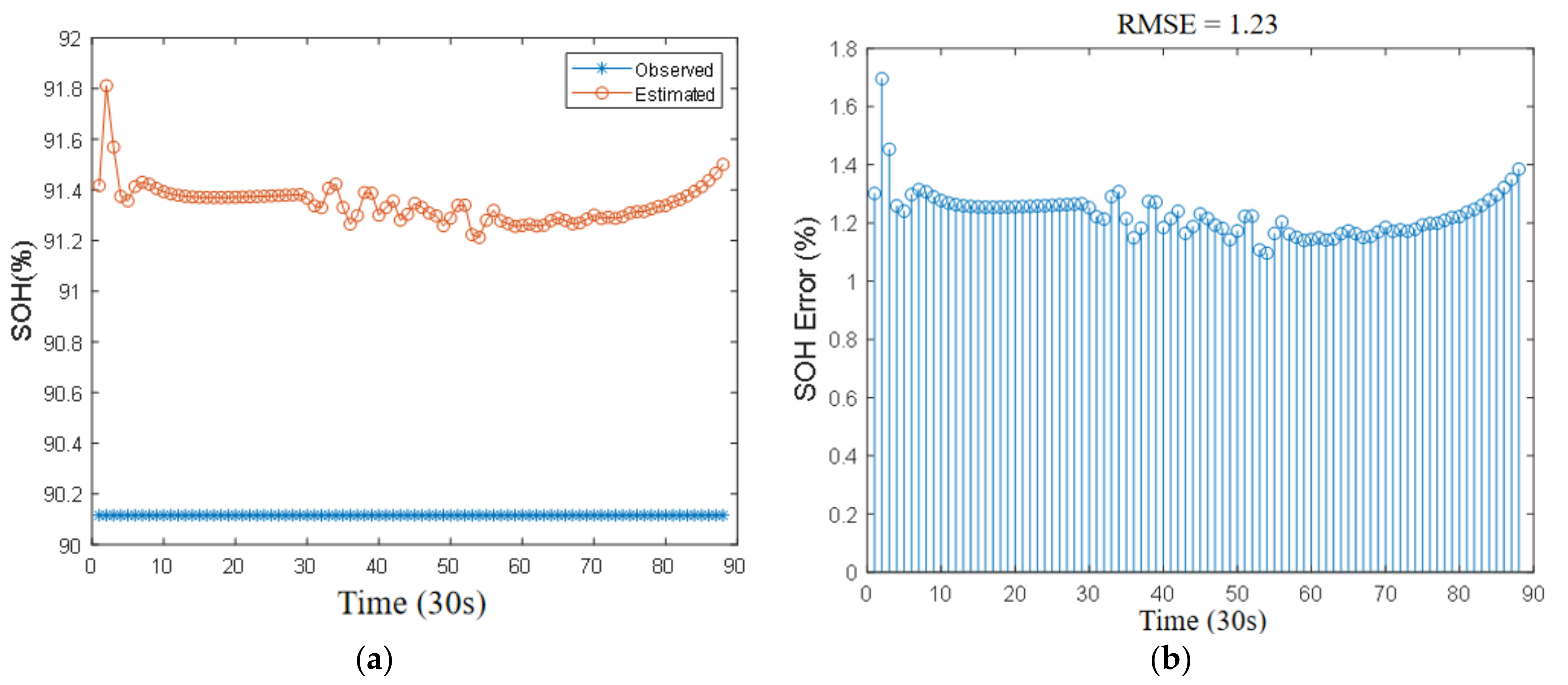
The SOH estimation RMSE for the 800th cycle is 1.23%, as shown in Figure 15. The SOH estimation results remain stable within 1.8% accuracy across different time points of the 800th cycle. The SOH results are used as input parameters to estimate SOC. The joint estimation based on NSSR-LSTM yields an SOC RMSE of 2.43% for the 800th cycle. In comparison, the Ah-integral method yields an SOC RMSE of 6.02%, and the LSTM only method yields an SOC RMSE of 6.69%. These estimation results are shown in Figure 16.
This study focuses on the joint SOH and SOC estimation based on NSSR-LSTM at 25 °C. In practical applications, however, EV batteries may operate under different temperature conditions. Future work may therefore consider the impact of temperature on battery packs of EVs. Furthermore, the joint estimation methods presented in this paper were validated using a constant 1 C rate of charge/discharge, which yields better accuracy. Other rate of charge/discharge may be used in the further work if other experiment results/data are available.

6. Conclusions

This paper reviewed several common methods for SOC and SOH estimation, including the Ah-Integral methods, OCV-SOC methods, filter methods, and data-driven methods. To address the limitations of these methods, we proposed a joint SOC and SOH estimation algorithm based on the NSSR-LSTM neural network. First, the joint estimation methods based on NSSR-LSTM were used to estimate the SOH value. Then, the SOH estimation results were used to estimate the SOC value.
Experimental results from the testbed were used to validate the accuracy of the proposed NSSR-LSTM method, using battery state data from the 700th and 800th cycles of the life cycle test. The SOH and SOC estimation errors of the joint estimation based on NSSR-LSTM were found to be within 1.3% and 2.5%, respectively. The joint estimation errors obtained in this paper are smaller than those obtained using traditional Ah-Integral and LSTM-only methods in Table 2.

Author Contributions

Conceptualization, P.H., W.F.T., C.H.L., S.-L.M., C.Y.L. and C.C.L.; methodology, P.H. and C.Y.L.; software, P.H.; validation, P.H.; formal analysis, P.H. and C.Y.L.; investigation, P.H.; resources, P.H. and C.C.L.; data curation, P.H.; writing—original draft preparation, P.H., and C.Y.L.; writing—review and editing, P.H. and C.Y.L.; visualization, P.H.; supervision, P.H., C.Y.L. and C.C.L.; project administration, P.H., C.Y.L. and C.C.L.; funding acquisition, P.H., W.F.T., C.H.L. and C.C.L. All authors have read and agreed to the published version of the manuscript.

Funding

This research was funded by the Hong Kong SAR, RGC Faculty Development Scheme (Project No. UGC/FDS16/E10/22); and RGC Research Matching Grant Scheme (Project No. 2021/3008).

Data Availability Statement

The data used to support the findings of this study are included within the article.

Conflicts of Interest

The authors declare no conflict of interest.

References

  1. Che, Y.; Liu, Y.; Cheng, Z.; Zhang, J. SOC and SOH Identification Method of Li-Ion Battery Based on SWPSO-DRNN. IEEE J. Emerg. Sel. Top. Power Electron. 2021, 9, 4050–4061. [Google Scholar] [CrossRef]
  2. Lee, C.C.; Lee, W.C.; Cai, H.; Chi, H.R.; Wu, C.K.; Haase, J.; Gidlund, M.; Li, B. Traffic condition monitoring using weighted kernel density for intelligent transportation. In Proceedings of the 2015 IEEE 13th International Conference on Industrial Informatics (INDIN), Cambridge, UK, 22–24 July 2015. [Google Scholar] [CrossRef]
  3. Bonfitto, A. A Method for the Combined Estimation of Battery State of Charge and State of Health Based on Artificial Neural Networks. Energies 2020, 13, 2548. [Google Scholar] [CrossRef]
  4. Kim, T.; Wang, Y.; Fang, H.; Sahinoglu, Z.; Wada, T.; Hara, S.; Qiao, W. Model-based condition monitoring for lithium-ion batteries. J. Power Sources 2015, 295, 16–27. [Google Scholar] [CrossRef]
  5. Zeng, M.; Zhang, P.; Yang, Y.; Xie, C.; Shi, Y. SOC and SOH Joint Estimation of the Power Batteries Based on Fuzzy Unscented Kalman Filtering Algorithm. Energies 2019, 12, 3122. [Google Scholar] [CrossRef]
  6. Ma, Y.; Duan, P.; Sun, Y.; Chen, H. Equalization of Lithium-Ion Battery Pack Based on Fuzzy Logic Control in Electric Vehicle. IEEE Trans. Ind. Electron. 2018, 65, 6762–6771. [Google Scholar] [CrossRef]
  7. Huang, D.; Chen, Z.; Zheng, C.; Li, H. A model-based state-of-charge estimation method for series-connected lithium-ion battery pack considering fast-varying cell temperature. Energy 2019, 185, 847–861. [Google Scholar] [CrossRef]
  8. Ng, K.S.; Moo, C.-S.; Chen, Y.-P.; Hsieh, Y.-C. Enhanced coulomb counting method for estimating state-of-charge and state-of-health of lithium-ion batteries. Appl. Energy 2009, 86, 1506–1511. [Google Scholar] [CrossRef]
  9. Hu, Z.; Lu, Z.; Song, B.; Quan, Y. Impact of test cycle on mass, number and particle size distribution of particulates emitted from gasoline direct injection vehicles. Sci. Total Environ. 2021, 762, 143128. [Google Scholar] [CrossRef]
  10. Almaita, E.; Alshkoor, S.; Abdelsalam, E.; Almomani, F. State of charge estimation for a group of lithium-ion batteries using long short-term memory neural network. J. Energy Storage 2022, 52, 104761. [Google Scholar] [CrossRef]
  11. Zhong, L.; Zhang, C.; He, Y.; Chen, Z. A method for the estimation of the battery pack state of charge based on in-pack cells uniformity analysis. Appl. Energy 2014, 113, 558–564. [Google Scholar] [CrossRef]
  12. Shu, X.; Li, G.; Zhang, Y.; Shen, S.; Chen, Z.; Liu, Y. Stage of Charge Estimation of Lithium-Ion Battery Packs Based on Improved Cubature Kalman Filter with Long Short-Term Memory Model. IEEE Trans. Transp. Electrif. 2021, 7, 1271–1284. [Google Scholar] [CrossRef]
  13. Lee, C.C.; Hu, P.; Li, C.Y.; Wang, S.H. State of Charge Estimation of the Lithium-ion Battery based on Neural Network in Electric Vehicles. In Proceedings of the 2022 IEEE International Symposium on Product Compliance Engineering-Asia (ISPCE-ASIA), Guangzhou, China, 4–6 November 2022. [Google Scholar] [CrossRef]
  14. Zhao, L.; Lin, M.; Chen, Y. Least-squares based coulomb counting method and its application for state-of-charge (SOC) estimation in electric vehicles. Int. J. Energy Res. 2016, 40, 1389–1399. [Google Scholar] [CrossRef]
  15. Gismero, A.; Schaltz, E.; Stroe, D.-I. Recursive State of Charge and State of Health Estimation Method for Lithium-Ion Batteries Based on Coulomb Counting and Open Circuit Voltage. Energies 2020, 13, 1811. [Google Scholar] [CrossRef]
  16. Xu, Y.; Li, C.; Wang, X.; Zhang, H.; Yang, F.; Ma, L.; Wang, Y. Joint Estimation Method with Multi-Innovation Unscented Kalman Filter Based on Fractional-Order Model for State of Charge and State of Health Estimation. Sustainability 2022, 14, 15538. [Google Scholar] [CrossRef]
  17. Xing, Y.; He, W.; Pecht, M.; Tsui, K.L. State of charge estimation of lithium-ion batteries using the open-circuit voltage at various ambient temperatures. Appl. Energy 2014, 113, 106–115. [Google Scholar] [CrossRef]
  18. Yang, F.; Song, X.; Xu, F.; Tsui, K.-L. State-of-Charge Estimation of Lithium-Ion Batteries via Long Short-Term Memory Network. IEEE Access 2019, 7, 53792–53799. [Google Scholar] [CrossRef]
  19. Yang, F.; Xing, Y.; Wang, D.; Tsui, K.-L. A comparative study of three model-based algorithms for estimating state-of-charge of lithium-ion batteries under a new combined dynamic loading profile. Appl. Energy 2016, 164, 387–399. [Google Scholar] [CrossRef]
  20. Zhang, X.; Hou, J.; Wang, Z.; Jiang, Y. Joint SOH-SOC Estimation Model for Lithium-Ion Batteries Based on GWO-BP Neural Network. Energies 2022, 16, 132. [Google Scholar] [CrossRef]
  21. Qian, C.; Xu, B.; Xia, Q.; Ren, Y.; Yang, D.; Wang, Z. A Dual-Input Neural Network for Online State-of-Charge Estimation of the Lithium-Ion Battery throughout Its Lifetime. Materials 2022, 15, 5933. [Google Scholar] [CrossRef]
  22. Lee, J.-H.; Lee, I.-S. Estimation of Online State of Charge and State of Health Based on Neural Network Model Banks Using Lithium Batteries. Sensors 2022, 22, 5536. [Google Scholar] [CrossRef]
  23. Fasahat, M.; Manthouri, M. State of charge estimation of lithium-ion batteries using hybrid autoencoder and Long Short Term Memory neural networks. J. Power Sources 2020, 469, 228375. [Google Scholar] [CrossRef]
  24. Lee, J.-H.; Kim, H.-S.; Lee, I.-S. State of Charge Estimation and State of Health Diagnostic Method Using Multilayer Neural Networks. In Proceedings of the 2021 International Conference on Electronics, Information, and Communication (ICEIC), Jeju, Republic of Korea, 31 January–3 February 2021. [Google Scholar]
  25. Che, Y.; Foley, A.; El-Gindy, M.; Lin, X.; Hu, X.; Pecht, M. Joint Estimation of Inconsistency and State of Health for Series Battery Packs. Automot. Innov. 2021, 4, 103–116. [Google Scholar] [CrossRef]
  26. Yang, D.; Zhang, X.; Pan, R.; Wang, Y.; Chen, Z. A novel Gaussian process regression model for state-of-health estimation of lithium-ion battery using charging curve. J. Power Sources 2018, 384, 387–395. [Google Scholar] [CrossRef]
  27. Yang, J.; Xia, B.; Huang, W.; Fu, Y.; Mi, C. Online state-of-health estimation for lithium-ion batteries using constant-voltage charging current analysis. Appl. Energy 2018, 212, 1589–1600. [Google Scholar] [CrossRef]
  28. Li, X.; Wang, Z.; Zhang, L.; Zou, C.; Dorrell, D.D. State-of-health estimation for Li-ion batteries by combing the incremental capacity analysis method with grey relational analysis. J. Power Sources 2019, 410–411, 106–114. [Google Scholar] [CrossRef]
  29. Qu, J.; Liu, F.; Ma, Y.; Fan, J. A Neural-Network-Based Method for RUL Prediction and SOH Monitoring of Lithium-Ion Battery. IEEE Access 2019, 7, 87178–87191. [Google Scholar] [CrossRef]
  30. Guha, A.; Patra, A. State of Health Estimation of Lithium-Ion Batteries Using Capacity Fade and Internal Resistance Growth Models. IEEE Trans. Transp. Electrif. 2018, 4, 135–146. [Google Scholar] [CrossRef]
  31. Huang, S.-C.; Tseng, K.-H.; Liang, J.-W.; Chang, C.-L.; Pecht, M.G. An Online SOC and SOH Estimation Model for Lithium-Ion Batteries. Energies 2017, 10, 512. [Google Scholar] [CrossRef]
  32. Zou, Y.; Hu, X.; Ma, H.; Li, S.E. Combined State of Charge and State of Health estimation over lithium-ion battery cell cycle lifespan for electric vehicles. J. Power Sources 2015, 273, 793–803. [Google Scholar] [CrossRef]
  33. Fang, L.; Li, J.; Peng, B. Online Estimation and Error Analysis of both SOC and SOH of Lithium-ion Battery based on DEKF Method. Energy Procedia 2019, 158, 3008–3013. [Google Scholar] [CrossRef]
  34. Sun, H.; Sun, J.; Zhao, K.; Wang, L.; Wang, K. Data-Driven ICA-Bi-LSTM-Combined Lithium Battery SOH Estimation. Math. Probl. Eng. 2022, 2022, 9645892. [Google Scholar] [CrossRef]
  35. Lin, H.-T.; Liang, T.-J.; Chen, S.-M. Estimation of Battery State of Health Using Probabilistic Neural Network. IEEE Trans. Ind. Inform. 2013, 9, 679–685. [Google Scholar] [CrossRef]
  36. Yang, N.; Song, Z.; Hofmann, H.; Sun, J. Robust State of Health estimation of lithium-ion batteries using convolutional neural network and random forest. J. Energy Storage 2022, 48, 103857. [Google Scholar] [CrossRef]
  37. Eddahech, A.; Briat, O.; Bertrand, N.; Delétage, J.-Y.; Vinassa, J.-M. Behavior and state-of-health monitoring of Li-ion batteries using impedance spectroscopy and recurrent neural networks. Int. J. Electr. Power Energy Syst. 2012, 42, 487–494. [Google Scholar] [CrossRef]
  38. Rao, K.D.; Chander, A.H.; Ghosh, S. Robust Observer Design for Mitigating the Impact of Unknown Disturbances on State of Charge Estimation of Lithium Iron Phosphate Batteries Using Fractional Calculus. IEEE Trans. Veh. Technol. 2021, 70, 3218–3231. [Google Scholar] [CrossRef]
  39. Zhang, B.; Xu, Y.; Wang, J.; Ma, X.; Hou, W.; Xue, X. Electrochemical performance of LiFePO4/graphene composites at low temperature affected by preparation technology. Electrochim. Acta 2021, 368, 137575. [Google Scholar] [CrossRef]
  40. Rui, X.H.; Jin, Y.; Feng, X.Y.; Zhang, L.C.; Chen, C.H. A comparative study on the low-temperature performance of LiFePO4/C and Li3V2(PO4)3/C cathodes for lithium-ion batteries. J. Power Sources 2011, 196, 2109–2114. [Google Scholar] [CrossRef]
  41. Hajiloo, R.; Salarieh, H.; Alasty, A. Chaos control in delayed phase space constructed by the Takens embedding theory. Commun. Nonlinear Sci. Numer. Simul. 2018, 54, 453–465. [Google Scholar] [CrossRef]
  42. Deyle, E.R.; Sugihara, G. Generalized Theorems for Nonlinear State Space Reconstruction. PLoS ONE 2011, 6, e18295. [Google Scholar] [CrossRef]
Figure 1. The connection schematic diagram of battery packs.
Figure 1. The connection schematic diagram of battery packs.
Energies 16 05313 g001
Figure 2. The connection schematics diagram of Battery pack testing of CLTC work conditions.
Figure 2. The connection schematics diagram of Battery pack testing of CLTC work conditions.
Energies 16 05313 g002
Figure 3. (a) Current of CLTC conditions at 40 °C; (b) Current of CLTC conditions at −10 °C.
Figure 3. (a) Current of CLTC conditions at 40 °C; (b) Current of CLTC conditions at −10 °C.
Energies 16 05313 g003
Figure 4. (a) Voltage-SOC of CLTC and Charge at 40 °C; (b) Voltage-SOC of CLTC at −10 °C.
Figure 4. (a) Voltage-SOC of CLTC and Charge at 40 °C; (b) Voltage-SOC of CLTC at −10 °C.
Energies 16 05313 g004
Figure 5. (a) Voltage Difference-SOC of CLTC at 40 °C; (b) Voltage Difference-SOC of CLTC at −10 °C.
Figure 5. (a) Voltage Difference-SOC of CLTC at 40 °C; (b) Voltage Difference-SOC of CLTC at −10 °C.
Energies 16 05313 g005
Figure 6. (a) Temperature-SOC of CLTC at 40 °C; (b) Temperature-SOC of CLTC at −10 °C.
Figure 6. (a) Temperature-SOC of CLTC at 40 °C; (b) Temperature-SOC of CLTC at −10 °C.
Energies 16 05313 g006
Figure 7. (a) The curve of cycle life and capacity, (b) The curve of cycle life and SOH.
Figure 7. (a) The curve of cycle life and capacity, (b) The curve of cycle life and SOH.
Energies 16 05313 g007
Figure 8. The dQ/dV curve of single cell under 25 °C conditions at the different cycles.
Figure 8. The dQ/dV curve of single cell under 25 °C conditions at the different cycles.
Energies 16 05313 g008
Figure 9. The internal structure of LSTM neural networks.
Figure 9. The internal structure of LSTM neural networks.
Energies 16 05313 g009
Figure 10. The structure of joint SOC and SOH estimation based on LSTM only.
Figure 10. The structure of joint SOC and SOH estimation based on LSTM only.
Energies 16 05313 g010
Figure 11. The structure of joint SOC and SOH estimation based on NSSR-LSTM.
Figure 11. The structure of joint SOC and SOH estimation based on NSSR-LSTM.
Energies 16 05313 g011
Figure 12. The structure of joint SOC and SOH based on NSSR-LSTM.
Figure 12. The structure of joint SOC and SOH based on NSSR-LSTM.
Energies 16 05313 g012
Figure 13. (a) The SOH comparison of the 700th round between the joint estimation of NSSR-LSTM and the measured value, (b) The SOH RMSE of the 700th round of the joint estimation of NSSR-LSTM.
Figure 13. (a) The SOH comparison of the 700th round between the joint estimation of NSSR-LSTM and the measured value, (b) The SOH RMSE of the 700th round of the joint estimation of NSSR-LSTM.
Energies 16 05313 g013
Figure 14. (a) The SOC comparison of the 700th round between the joint estimation of NSSR-LSTM method, the LSTM only method, the Ah-integral method and the measured value, (b) The SOC RMSE comparison of the 700th round between the joint estimation of NSSR-LSTM, the LSTM only method and the Ah-Integral method.
Figure 14. (a) The SOC comparison of the 700th round between the joint estimation of NSSR-LSTM method, the LSTM only method, the Ah-integral method and the measured value, (b) The SOC RMSE comparison of the 700th round between the joint estimation of NSSR-LSTM, the LSTM only method and the Ah-Integral method.
Energies 16 05313 g014
Figure 15. (a) The SOH comparison of the 800th round between the joint estimation of NSSR-LSTM and the measured value, (b) The SOH RMSE of the 800th round of the joint estimation of NSSR-LSTM.
Figure 15. (a) The SOH comparison of the 800th round between the joint estimation of NSSR-LSTM and the measured value, (b) The SOH RMSE of the 800th round of the joint estimation of NSSR-LSTM.
Energies 16 05313 g015
Figure 16. (a) The SOC comparison of the 800th round between the joint estimation of NSSR-LSTM method, the LSTM only method, the Ah-integral method and the measured value, (b) The SOC RMSE comparison of the 800th round between the joint estimation of NSSR-LSTM, the LSTM only method and the Ah-Integral method.
Figure 16. (a) The SOC comparison of the 800th round between the joint estimation of NSSR-LSTM method, the LSTM only method, the Ah-integral method and the measured value, (b) The SOC RMSE comparison of the 800th round between the joint estimation of NSSR-LSTM, the LSTM only method and the Ah-Integral method.
Energies 16 05313 g016
Table 1. Battery cell parameters of LFP 52 AH.
Table 1. Battery cell parameters of LFP 52 AH.
ItemsParameters
Type of CellRectangular aluminum shell
AnodeGraphite
CathodeLiFePO4 (LFP)
Nominal Capacity52 Ah
Charge Cut-off Voltage3.65 V
Discharge Cut-off voltage2.2 V
Weight966 ± 30 g
SizeThickness × Width × Height: 28.2 ± 0.5 mm × 148 ± 0.5 mm × 118.6 ± 0.5 mm
Table 2. Estimation RMSE comparison of the several kinds of algorithms.
Table 2. Estimation RMSE comparison of the several kinds of algorithms.
Estimation Methods700th Round RMSE800th Round RMSE
The joint estimation based on NSSR-LSTM2.41%2.43%
The Ah-Integral methods4.57%6.02%
The LSTM only methods9.13%6.69%
Disclaimer/Publisher’s Note: The statements, opinions and data contained in all publications are solely those of the individual author(s) and contributor(s) and not of MDPI and/or the editor(s). MDPI and/or the editor(s) disclaim responsibility for any injury to people or property resulting from any ideas, methods, instructions or products referred to in the content.

Share and Cite

MDPI and ACS Style

Hu, P.; Tang, W.F.; Li, C.H.; Mak, S.-L.; Li, C.Y.; Lee, C.C. Joint State of Charge (SOC) and State of Health (SOH) Estimation for Lithium-Ion Batteries Packs of Electric Vehicles Based on NSSR-LSTM Neural Network. Energies 2023, 16, 5313. https://doi.org/10.3390/en16145313

AMA Style

Hu P, Tang WF, Li CH, Mak S-L, Li CY, Lee CC. Joint State of Charge (SOC) and State of Health (SOH) Estimation for Lithium-Ion Batteries Packs of Electric Vehicles Based on NSSR-LSTM Neural Network. Energies. 2023; 16(14):5313. https://doi.org/10.3390/en16145313

Chicago/Turabian Style

Hu, Panpan, W. F. Tang, C. H. Li, Shu-Lun Mak, C. Y. Li, and C. C. Lee. 2023. "Joint State of Charge (SOC) and State of Health (SOH) Estimation for Lithium-Ion Batteries Packs of Electric Vehicles Based on NSSR-LSTM Neural Network" Energies 16, no. 14: 5313. https://doi.org/10.3390/en16145313

APA Style

Hu, P., Tang, W. F., Li, C. H., Mak, S.-L., Li, C. Y., & Lee, C. C. (2023). Joint State of Charge (SOC) and State of Health (SOH) Estimation for Lithium-Ion Batteries Packs of Electric Vehicles Based on NSSR-LSTM Neural Network. Energies, 16(14), 5313. https://doi.org/10.3390/en16145313

Note that from the first issue of 2016, this journal uses article numbers instead of page numbers. See further details here.

Article Metrics

Back to TopTop