Experimental and Kinetic Study on Laminar Burning Velocities of High Ratio Hydrogen Addition to CH4+O2+N2 and NG+O2+N2 Flames
Abstract
1. Introduction
2. Materials and Methods
2.1. Experimental Setup
2.2. Modeling Details
3. Results and Discussion
3.1. Experimental Results of Methane and Hydrocarbon Mixtures at 298 K
3.1.1. Effect of H2 Mole Fraction on Laminar Burning Velocity
3.1.2. Effect of CH4/C2H6/C3H8 Mole Fraction on Laminar Burning Velocity
3.2. Kinetic Analysis
4. Conclusions
- The SL measured by the heat flux method fits well with GRI 3.0 and San Diego mechanism simulations at various conditions. Furthermore, SL has much more consistency with simulated lines in the case of large proportions of hydrogen doping. At the same time, combustion stability weakens the manifestation in jumping flames as well as irregular flame shapes for the conditions of large H2 volumetric fraction. The constant and regular beeps accompanying combustion on heat flux could be explained by thermoacoustic oscillation instability.
- The significant factor, SL enhancement, has been observed to reach peak values when fuel-rich in contrast to lean and stoichiometric fuel blends. The equivalence ratio of peak SL enhancement achieved around ϕ = 1.4 and continued to increase with hydrogen addition, where the could reach from 37.99% to 114.71%, respectively.
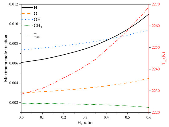
- With H2 addition growing, the analysis revealed that the maximum mole fractions of these species predominantly concentrate in the upstream region of the flame, presenting an increasing trend. This suggests that these radicals substantially impact combustion within the preheating zone. (0.05–0.1 cm). On the other hand, in hydrogen blended mixtures, the chemical effect outweighs the thermal effect arising from increased temperature.
- When varied from 0.3 to 0.6, the peak SL enhancement achieved around ϕ = 1.4 and, while at this condition, EINOx descended. Blending with a H2 ratio beyond 0.7 is not recommended because of the intense thermoacoustic oscillation instability, especially for natural gas mainly composed of CH4 and C3H8. These phenomena could inform the amount of H2 volumetric fraction (recommended range is 0.3–0.6) used in hydrocarbon blends to achieve high efficiency combustion and low emission and avoid unstable and dangerous conditions.
Supplementary Materials
Author Contributions
Funding
Data Availability Statement
Conflicts of Interest
References
- IEA. Global Energy Review 2021; IEA: Paris, France, 2021; Available online: https://www.iea.org/reports/global-energy-review-2021 (accessed on 1 May 2021).
- Xiang, L.; Jiang, H.; Ren, F.; Chu, H.; Wang, P. Numerical study of the physical and chemical effects of hydrogen addition on laminar premixed combustion characteristics of methane and ethane. Int. J. Hydrogen Energy 2020, 45, 20501–20514. [Google Scholar] [CrossRef]
- Lamioni, R.; Bronzoni, C.; Folli, M.; Tognotti, L.; Galletti, C. Impact of H2-enriched natural gas on pollutant emissions from domestic condensing boilers: Numerical simulations of the combustion chamber. Int. J. Hydrogen Energy 2023, 48, 19686–19699. [Google Scholar] [CrossRef]
- Nilsson, E.J.K.; van Sprang, A.; Larfeldt, J.; Konnov, A.A. The comparative and combined effects of hydrogen addition on the laminar burning velocities of methane and its blends with ethane and propane. Fuel 2017, 189, 369–376. [Google Scholar] [CrossRef]
- Fruzza, F.; Lamioni, R.; Tognotti, L.; Galletti, C. Flashback of H2-enriched premixed flames in perforated burners: Numerical prediction of critical velocity. Int. J. Hydrogen Energy, 2023; in press. [Google Scholar] [CrossRef]
- Berwal, P.; Shawnam; Kumar, S. Laminar burning velocity measurement of CH4/H2/NH3-air premixed flames at high mixture temperatures. Fuel 2023, 331, 125809. [Google Scholar] [CrossRef]
- De Goey, L.P.H.; Hermanns, R.T.E.; Bastiaans, R.J.M. Analysis of the asymptotic structure of stoichiometric premixed CH4–H2–air flames. Proc. Combust. Inst. 2007, 31, 1031–1038. [Google Scholar] [CrossRef]
- Halter, F.; Chauveau, C.; Djebaïli-Chaumeix, N.; Gökalp, I. Characterization of the effects of pressure and hydrogen concentration on laminar burning velocities of methane–hydrogen–air mixtures. Proc. Combust. Inst. 2005, 30, 201–208. [Google Scholar] [CrossRef]
- Hermanns, R.T.E.; Konnov, A.A.; Bastiaans, R.J.M.; de Goey, L.P.H.; Lucka, K.; Köhne, H. Effects of temperature and composition on the laminar burning velocity of CH4+H2+O2+N2 flames. Fuel 2010, 89, 114–121. [Google Scholar] [CrossRef]
- Hu, E.; Huang, Z.; He, J.; Jin, C.; Zheng, J. Experimental and numerical study on laminar burning characteristics of premixed methane–hydrogen–air flames. Int. J. Hydrogen Energy 2009, 34, 4876–4888. [Google Scholar] [CrossRef]
- Hu, E.; Huang, Z.; He, J.; Zheng, J.; Miao, H. Measurements of laminar burning velocities and onset of cellular instabilities of methane–hydrogen–air flames at elevated pressures and temperatures. Int. J. Hydrogen Energy 2009, 34, 5574–5584. [Google Scholar] [CrossRef]
- Huang, Z.; Zhang, Y.; Zeng, K.; Liu, B.; Wang, Q.; Jiang, D. Measurements of laminar burning velocities for natural gas–hydrogen–air mixtures. Combust. Flame 2006, 146, 302–311. [Google Scholar] [CrossRef]
- Askar, E.; Schröder, V.; Seemann, A.; Schuetz, S. Power-to-Gas: Safety Characteristics of Hydrogen/NaturalGas-Mixtures. Chem. Eng. Trans. 2016, 48, 397–402. [Google Scholar]
- Brower, M.; Petersen, E.L.; Metcalfe, W.; Curran, H.J.; Füri, M.; Bourque, G.; Aluri, N.; Güthe, F. Ignition Delay Time and Laminar Flame Speed Calculations for Natural Gas/Hydrogen Blends at Elevated Pressures. J. Eng. Gas Turbines Power 2013, 135, 4007763. [Google Scholar] [CrossRef]
- Kuppa, K.; Goldmann, A.; Schöffler, T.; Dinkelacker, F. Laminar flame properties of C1-C3 alkanes/hydrogen blends at gas engine conditions. Fuel 2018, 224, 32–46. [Google Scholar] [CrossRef]
- Mosisa Wako, F.; Pio, G.; Salzano, E. The Effect of Hydrogen Addition on Low-Temperature Combustion of Light Hydrocarbons and Alcohols. Energies 2020, 13, 3808. [Google Scholar] [CrossRef]
- Molnarne, M.; Schroeder, V. Hazardous properties of hydrogen and hydrogen containing fuel gases. Process Saf. Environ. Prot. 2019, 130, 1–5. [Google Scholar] [CrossRef]
- Wang, T.; Zhou, Y.; Luo, Z.; Wen, H.; Zhao, J.; Su, B.; Cheng, F.; Deng, J. Flammability limit behavior of methane with the addition of gaseous fuel at various relative humidities. Process Saf. Environ. Prot. 2020, 140, 178–189. [Google Scholar] [CrossRef]
- Donohoe, N.; Heufer, A.; Metcalfe, W.K.; Curran, H.J.; Davis, M.L.; Mathieu, O.; Plichta, D.; Morones, A.; Petersen, E.L.; Güthe, F. Ignition delay times, laminar flame speeds, and mechanism validation for natural gas/hydrogen blends at elevated pressures. Combust. Flame 2014, 161, 1432–1443. [Google Scholar] [CrossRef]
- Hu, G.; Zhang, S.; Li, Q.F.; Pan, X.B.; Liao, S.Y.; Wang, H.Q.; Yang, C.; Wei, S. Experimental investigation on the effects of hydrogen addition on thermal characteristics of methane/air premixed flames. Fuel 2014, 115, 232–240. [Google Scholar] [CrossRef]
- Jithin, E.V.; Varghese, R.J.; Velamati, R.K. Experimental and numerical investigation on the effect of hydrogen addition and N2/CO2 dilution on laminar burning velocity of methane/oxygen mixtures. Int. J. Hydrogen Energy 2020, 45, 16838–16850. [Google Scholar] [CrossRef]
- Tang, C.L.; Huang, Z.H.; Law, C.K. Determination, correlation, and mechanistic interpretation of effects of hydrogen addition on laminar flame speeds of hydrocarbon–air mixtures. Proc. Combust. Inst. 2011, 33, 921–928. [Google Scholar] [CrossRef]
- Matsuyama, S.; Hori, D.; Shimizu, T.; Tachibana, S.; Yoshida, S.; Mizobuchi, Y. Large-Eddy Simulation of High-Frequency Combustion Instability in a Single-Element Atmospheric Combustor. J. Propuls. Power 2016, 32, 628–645. [Google Scholar] [CrossRef]
- Hemchandra, S.; Shanbhogue, S.; Hong, S.; Ghoniem, A.F. Role of hydrodynamic shear layer stability in driving combustion instability in a premixed propane-air backward-facing step combustor. Phys. Rev. Fluids 2018, 3, 063201. [Google Scholar] [CrossRef]
- Huang, B.; Peng, T.; Xia, C.; Zhai, Y.; Shi, J.; Sun, Z.; Zheng, F.; Wu, Y. Identification of Natural Gas Components Using the Support Vector Machine Model. Chem. Technol. Fuels Oils 2021, 57, 713–723. [Google Scholar] [CrossRef]
- Alekseev, V.A.; Naucler, J.D.; Christensen, M.; Nilsson, E.J.K.; Volkov, E.N.; de Goey, L.P.H.; Konnov, A.A. Experimental Uncertainties of the Heat Flux Method for Measuring Burning Velocities. Combust. Sci. Technol. 2016, 188, 853–894. [Google Scholar] [CrossRef]
- Chen, C.; Wang, Z.; Yu, Z.; Han, X.; He, Y.; Zhu, Y.; Konnov, A.A. Experimental and kinetic modeling study of laminar burning velocity enhancement by ozone additive in NH3+O2+N2 and NH3+CH4/C2H6/C3H8+air flames. Proc. Combust. Inst. 2023, 39, 4237–4246. [Google Scholar] [CrossRef]
- Han, X.; Wang, Z.; Wang, S.; Whiddon, R.; He, Y.; Lv, Y.; Konnov, A.A. Parametrization of the temperature dependence of laminar burning velocity for methane and ethane flames. Fuel 2019, 239, 1028–1037. [Google Scholar] [CrossRef]
- Wang, S.; Wang, Z.; Elbaz, A.M.; Han, X.; He, Y.; Costa, M.; Konnov, A.A.; Roberts, W.L. Experimental study and kinetic analysis of the laminar burning velocity of NH3/syngas/air, NH3/CO/air and NH3/H2/air premixed flames at elevated pressures. Combust. Flame 2020, 221, 270–287. [Google Scholar] [CrossRef]
- Zhu, R.; Han, X.; Zhang, Z.; He, Y.; Wang, Z. Experimental and kinetic study on laminar burning velocities of NH3/CH4/H2S/air flames. Fuel 2023, 332, 126174. [Google Scholar] [CrossRef]
- Smith, G.P.; Frenklach, M.; Moriarty, N.W.; Eiteneer, B.; Goldenberg, M.; Bowman, C.T.; Hanson, R.K.; Song, S.; Gardiner, W.C., Jr.; Lissianski, V.V.; et al. Available online: http://combustion.berkeley.edu/gri-mech/version30/text30.html (accessed on 1 December 1998).
- Chemical-Kinetic Mechanisms for Combustion Applications, Mechanical and Aerospace Engineering (Combustion Research), University of California at San Diego. Available online: http://combustion.ucsd.edu (accessed on 1 May 2001).
- Wang, H.; You, X.; Joshi, A.V.; Davis, S.G.; Laskin, A.; Egolfopoulos, F.; Law, C.K.; USC Mech Version II. USC Mech Version II, High-Temperature Combustion Reaction Model of H2/CO/C1-C4 Compounds. Available online: https://ignis.usc.edu:80/Mechanisms/USC-Mech%20II/USC_Mech%20II.htm (accessed on 1 May 2007).
- Li, Y.; Zhou, C.-W.; Somers, K.P.; Zhang, K.; Curran, H.J. The oxidation of 2-butene: A high pressure ignition delay, kinetic modeling study and reactivity comparison with isobutene and 1-butene. Proc. Combust. Inst. 2017, 36, 403–411. [Google Scholar] [CrossRef]
- Ranzi, E.; Frassoldati, A.; Stagni, A.; Pelucchi, M.; Cuoci, A.; Faravelli, T. Reduced Kinetic Schemes of Complex Reaction Systems: Fossil and Biomass-Derived Transportation Fuels. Int. J. Chem. Kinet. 2014, 46, 512–542. [Google Scholar] [CrossRef]
- Ranzi, E.; Frassoldati, A.; Grana, R.; Cuoci, A.; Faravelli, T.; Kelley, A.P.; Law, C.K. Hierarchical and comparative kinetic modeling of laminar flame speeds of hydrocarbon and oxygenated fuels. Prog. Energy Combust. Sci. 2012, 38, 468–501. [Google Scholar] [CrossRef]













| Types of Natural Gas | Methane (%) | Ethane (%) | Propane (%) |
|---|---|---|---|
| NGOne | 98 | 1.53 | 0.47 |
| NGTwo | 98.47 | 1.53 | 0 |
| NGThree | 99.53 | 0 | 0.47 |
| Case | Mole Fraction of Fuel Components | Helium | Equivalence | Unburnt Gas Temperature Tu (K) | |
|---|---|---|---|---|---|
| H2 | Natural Gas * | ||||
| a1/b1/c1/d1 | 0 | 1 | No | 0.6–1.4 | 298 |
| a2/b2/c2/d2 | 0.2 | 0.8 | No | 0.6–1.4 | 298 |
| a3/b3/c3/d3 | 0.4 | 0.6 | No | 0.6–1.4 | 298 |
| a4/b4/c4/d4 | 0.6 | 0.4 | No | 0.6–1.4 | 298 |
| a5/b5/c5/d5 | 0.7 | 0.3 | Yes | 0.6–1.25 | 298 |
| a6/b6/c6/d6 | 0.8 | 0.2 | Yes | 0.6–1.3 | 298 |
| Mole Fraction of H2 (%) | Natural Gas Type | Beeps Occurrence Conditions |
|---|---|---|
| 0.6 | NGThree | = 1.4 |
| 0.7 | CH4, NGThree | = 1.3 |
| 0.7 | NGOne, NGTwo | = 1.25 |
| 0.8 | CH4, NGOne, NGTwo, NGThree | = 1.35 |
Disclaimer/Publisher’s Note: The statements, opinions and data contained in all publications are solely those of the individual author(s) and contributor(s) and not of MDPI and/or the editor(s). MDPI and/or the editor(s) disclaim responsibility for any injury to people or property resulting from any ideas, methods, instructions or products referred to in the content. |
© 2023 by the authors. Licensee MDPI, Basel, Switzerland. This article is an open access article distributed under the terms and conditions of the Creative Commons Attribution (CC BY) license (https://creativecommons.org/licenses/by/4.0/).
Share and Cite
Zhang, Z.; Zhu, R.; Zhu, Y.; Weng, W.; He, Y.; Wang, Z. Experimental and Kinetic Study on Laminar Burning Velocities of High Ratio Hydrogen Addition to CH4+O2+N2 and NG+O2+N2 Flames. Energies 2023, 16, 5265. https://doi.org/10.3390/en16145265
Zhang Z, Zhu R, Zhu Y, Weng W, He Y, Wang Z. Experimental and Kinetic Study on Laminar Burning Velocities of High Ratio Hydrogen Addition to CH4+O2+N2 and NG+O2+N2 Flames. Energies. 2023; 16(14):5265. https://doi.org/10.3390/en16145265
Chicago/Turabian StyleZhang, Ziyue, Runfan Zhu, Yanqun Zhu, Wubin Weng, Yong He, and Zhihua Wang. 2023. "Experimental and Kinetic Study on Laminar Burning Velocities of High Ratio Hydrogen Addition to CH4+O2+N2 and NG+O2+N2 Flames" Energies 16, no. 14: 5265. https://doi.org/10.3390/en16145265
APA StyleZhang, Z., Zhu, R., Zhu, Y., Weng, W., He, Y., & Wang, Z. (2023). Experimental and Kinetic Study on Laminar Burning Velocities of High Ratio Hydrogen Addition to CH4+O2+N2 and NG+O2+N2 Flames. Energies, 16(14), 5265. https://doi.org/10.3390/en16145265

