Abstract
Nowadays, high-speed permanent magnet synchronous machines (HSPMSMs) are widely used in high-speed direct-drive applications. Moreover, modular multilevel converters (MMCs) have attracted a lot of attention. In this paper, the mathematical model of the MMC for the HSPMSM was built on high- and low-speed regions, respectively, and the control of each model is completely decoupled. Moreover, energy balance control schemes based on the common mode current injection of the MMC with HSPMSM drive applications have been proposed for high- and low-speed cases, respectively. Based on this model, the controller is proposed for high- and low-speed cases, respectively. Simulation and experiment results indicate that the proposed energy balance control method for an MMC in the high-speed PMSM drive application exhibits significant performance, which can ensure the energy balance of the MMC and eliminate the circulating current of the MMC directly.
1. Introduction
In recent years, high-speed permanent magnet synchronous machines (HSPMSMs) have garnered significant interest in high-speed direct-drive applications due to their advantages, such as high power density, small size, high efficiency, and gearbox-free drives [1]. High-power, high-speed permanent magnet motors are widely used in the applications such as high-speed centrifugal compressors, pumps, blowers, and turbo-expanders [2]. However, when a high-power, high-speed permanent magnet synchronous machine is driven by a traditional three-phase six-switch two-level inverter, it adopts pulse width modulation (PWM) control, which has the disadvantages of a large current ripple and high dV/dT, which affect the efficiency and life of the system due to the small stator inductance and high speed. These current ripples typically lead to increased stator and rotor iron losses in high-speed permanent magnet motors. As a result, the increased iron losses also lead to a reduction in the efficiency of the drive system and require additional cooling measures for the rotor.
At present, most researchers are focusing on reducing the iron loss of motors caused by the high switching frequency of inverters, by improving motor design methods [3], and enhancing control methods and drive topologies [4,5]. There is a high demand for the voltage stress of a single device in high-power high-speed motor drive applications, and inverters require very high switching frequencies. In reality, owing to the material technology limitations of a traditional silicon-based IGBT, it is difficult for the inverter to reach a very high switching frequency. With the advent of wide bandgap (WBG) device technologies, for instance, the switching frequency of SiC- and GaN-based devices can be doubled or even increased to over 100 kHz with lower switching losses [6,7,8]. On the other hand, the fast switching frequency of WBG devices brings additional problems to high-speed motor drive applications, which are still being investigated [9]. Moreover, for high-speed motor drive applications, increasing the switching frequency of a traditional inverter can generate a significant common mode current, which is the main source of electromagnetic interference. In addition, the cost of using WBG devices remains high, and it is unacceptable for most high-speed motor drive applications.
Another method involves using an output filter, such as an LC or LCL. However, the stability of the drive system may be affected by the resonance caused by the LC or LCL filters. Thus, Refs. [10,11,12] reported various control methods for eliminating drive system resonance. However, these control methods of eliminating resonance are only suitable for low-speed motor drive applications. Yao et al. [13] developed a discrete-time, dynamic-decoupled current controller for an LCL-equipped, high-speed PMSM application; however, industrial high-power situations were not considered.
Consequently, a multilevel converter composed of traditional Si-based IGBTs is currently the most practical solution for a high-power, high-speed motor drive in an industrial application. Kouro et al. [14] reported that various multilevel converters are used in high-power motor drive applications. Among them, at present, the most researched and commercialized converters are neutral-point-clamped (NPC) multilevel converters [15], flying capacitor (FC) multilevel converters [16], cascaded H-bridge (CHB) multilevel converters [17], and modular multilevel converters (MMCs) [18]. Compared with the NPC converter, the FC converter and the CHB converter, the MMC has the following advantages: (1) It increases the output switching frequency of the converter instead of boosting the switching frequency of an individual Si-based IGBT; (2) It does not require a large number of independent DC voltage sources. Moreover, MMCs have simple structures and flexible configurations, making them more suitable for high-power, high-speed PMSM drive applications than other multilevel converters [19,20,21,22]. However, the submodule capacitor of an MMC may experience significant voltage fluctuations in motor drive applications. The peak-to-peak voltage ripple of a submodule capacitor is , and it is easy to observe that the voltage ripple value of the submodule capacitor is inversely proportional to the fundamental frequency on the AC side. When the motor starts and runs at a low speed, this problem becomes more serious [23].
To overcome this problem, several control methods have been presented [24,25,26,27,28,29,30]. Korn et al. [24] discussed the control method of a high-frequency sinusoidal injection common mode voltage and circulating current, but the circulating current injection resulted in high system power loss. The method is proposed to reduce the circulating current requirements by using the third harmonic of the sine wave and the square wave [25]. On this basis, Debnath et al. [26] combined the sine wave circulating current and the square wave voltage injection to ensure the submodule capacitor voltage balance at a low speed. However, the magnitude of the injected high-frequency common mode voltage is determined according to the magnitude of the output voltage. Song et al. [27] developed a method of using the voltage margin of the bridge arm device to achieve higher voltage injection, but it has higher requirements for the stress of the bridge arm devices. A frequency adaptive control structure based on dual spatial repetition control has been proposed to eliminate the second-harmonic component in the submodule capacitor voltage [28], but it does not consider the start-up of the motor. Kumar et al. [29] presented a back-to-back MMC motor drive for running at a wide speed, but the back-to-back MMC contains many switching devices, which are four times the number of conventional MMC components. Kumar et al. [29] also did not take into account high-speed running above 500 Hz. Samajdar et al. [30] proposed a generalized submodule capacitor energy deviation optimization framework, which avoids a large number of computations using look-up tables, but it does not account for motor startup and operation at low speeds.
To solve the aforementioned problems, an energy balance control scheme based on the common mode current injection of the bridge arm for the MMC with an HSPMSM drive application is proposed, which can ensure the energy balance of the MMC and eliminate the circulating current of the MMC directly. The contributions of this study are as follows.
(1) The bridge arm’s common mode energy model, differential mode energy, submodule capacitor energy, and the voltage of HSPMSM are established, respectively, and the control of each model is completely decoupled.
(2) An energy balance control scheme based on the common mode current injection of the bridge arm is proposed, which can ensure the energy balance of the MMC and eliminate the circulating current of the MMC directly.
(3) Energy controllers for the bridge arm’s common mode energy and differential mode energy, the submodule capacitor voltage controller, the bridge arm’s common mode current controller, and the motor current controller are designed, respectively, for both high- and low-speed cases. The effectiveness of the proposed control scheme is verified by both simulations and experiments.
The rest of this article is organized as follows. In Section 2, the mathematical model of the MMC for HSPMSM is built on high- and low-speed regions respectively, and the control of each model is completely decoupled. Section 3 proposes the controller of each model, respectively, in high- and low-speed occasions. The control objectives of the MMC drive system are accomplished. Section 4 presents a comparative study with simulations and experiments to verify the proposed energy balance control method. Finally, the conclusion of this article is presented in Section 5.
2. Basic Principles of the MMC and Energy Model Analysis
2.1. MMC Topology
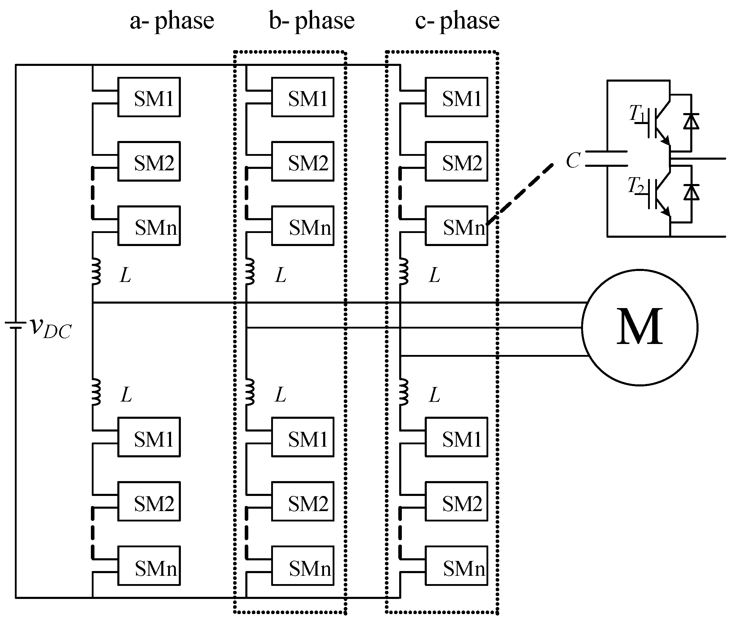
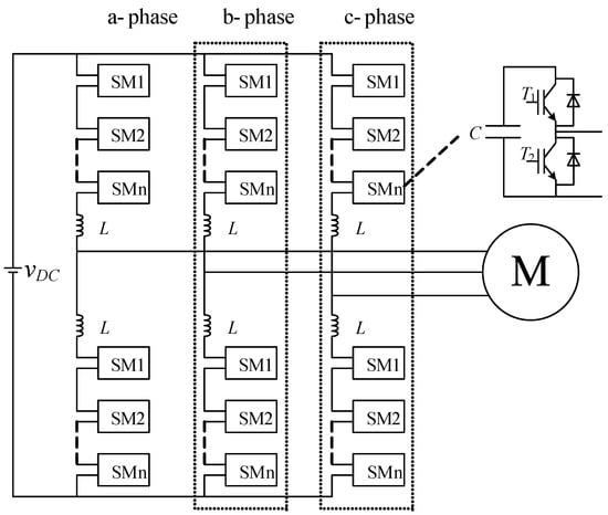
Figure 1 shows the basic topology of the MMC with high-speed motor drive application. Each bridge arm of the topology is composed of N identical submodules (SM) and one bridge arm inductance connected in series. Each SM includes a floating DC capacitor and two IGBTs with anti-parallel diodes. Moreover, the three-phase output ports of the MMCs are connected to the HSPMSM.
Figure 1.
The basic structure of the MMC for HSPMSM.
2.2. Circuit Architecture
Figure 2 shows the a-phase equivalent circuit of the MMC for the HSPMSM drive system. and () are the submodule capacitor voltages of the positive bridge arm and negative bridge arm, and are the positive bridge arm and negative bridge arm currents, and () are the positive bridge arm and negative bridge arm output voltages of the submodule, the bridge arm inductance is defined as L, and the resistance of the bridge arm inductance can be neglected. is the DC bus voltage, is the a-phase output voltage of the MMC, is the a-phase output current of the MMC. The motor stator inductance is defined as , the motor stator resistance is set as , and is the a-phase back EMF of the motor.
Figure 2.
A-phase circuit of the MMC for HSPMSM.
Based on Kirchhoff’s voltage law, the output voltage equation can be written as follows:
Moreover,
Hence, (1) could be rewritten as follows:
Thus,
The output voltage equation is given by
Define , and,
where is the equivalent bridge arm output voltage, is defined as the circulating current.
According to (4) and (5), the output voltage equation and circulating current equation could be written as follows:
Hence, the output current can be controlled by and the circulating current is adjusted by , which are decoupled, respectively.
2.3. Submodule Capacitor Energy Model
As is well known, submodule capacitor energy is unstable when MMC runs in low-frequency occasions. Therefore, the submodule capacitor energy model should be established. The SM capacitor voltage is given by
Thus, the SM capacitor energy change rate equation could be expressed as
Substituting (6) into (9), the SM capacitor energy equation can be presented by the following expression:
Define and , which are the common mode energy and differential mode energy, respectively. Hence, the SM capacitor energy Equation (9) could be written as follows:
2.4. Bridge Arm Energy Balance Control Scheme
Bridge arm energy balance control contains two cases: High-frequency and low-frequency modes, owing to the large voltage fluctuations in the SM capacitors when the motor starts and runs in a low-speed region. Therefore, it is defined as a high-frequency mode when the operating frequency of the motor is above 25 Hz. Moreover, when the motor starts, or the operating frequency of the motor is less than 25 Hz, this stage is defined as a low-frequency mode.
2.4.1. High-Frequency Mode
In a steady state, the output current and voltage can be expressed as follows:
where is the amplitude of the current, is the amplitude of the output voltage, and is the output’s common mode voltage.
The circulating current can be defined as follows:
Thus, the energy change in one electrical period is presented as follows:
Hence, to achieve energy balance control, , , , and should be solved.
Therefore,
According to (15) and (16), the common mode energy change ratio in one electrical period is determined by
Therefore, the common mode energy can be adjusted by the DC component of the circulating current.
Meanwhile,
Hence, the differential mode energy change ratio in one electrical period is determined by
According to (20), the differential mode energy can be adjusted by and . As the arm inductance is quite small, can be neglected. Thus, (20) could be written as follows:
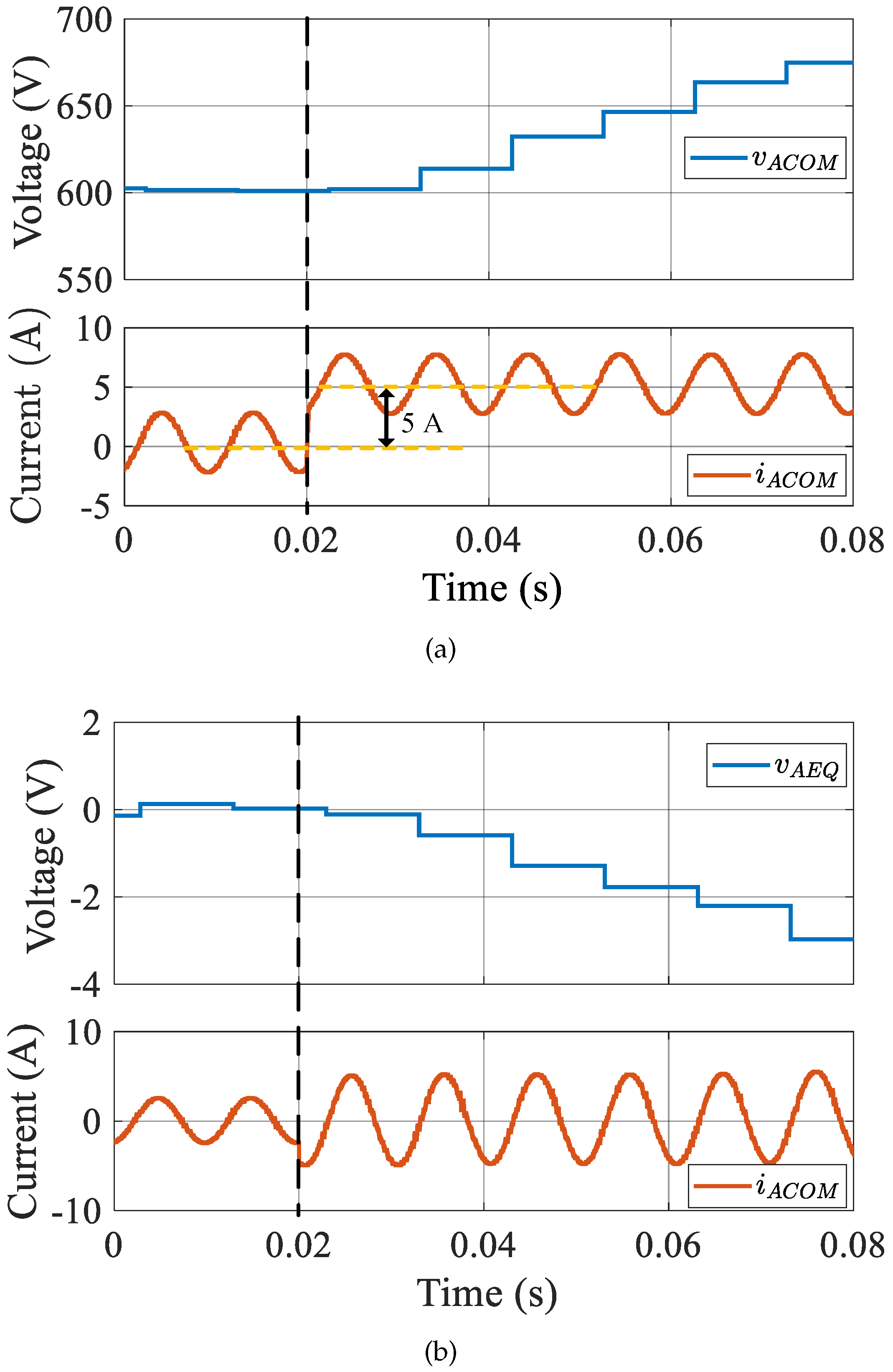
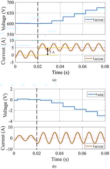
Figure 3 shows the common mode voltage and differential mode voltage waveforms in high-frequency modes. As shown in Figure 3a, when s, the DC component of the circulating current increases by 5 A. According to (13), the circulating current also increases, which results in an increase in the common mode voltage . Therefore, the common mode energy can be adjusted by the DC component of the circulating current in a high-frequency mode.
Figure 3.
High-frequency mode: (a) common mode voltage, and (b) differential mode voltage.
Taking the AC component as an example: When increasing the AC component at s, the circulating current also increases, the differential mode voltage in the balance gradually decreases, which can be observed in Figure 3b. It proves that the differential mode energy can be adjusted by in a high-frequency mode. is the same.
2.4.2. Low-Frequency Mode
When the motor is at a standstill or running at a low frequency, the SM capacitor voltage fluctuation is very high. Therefore, in order to balance the SM capacitor energy, the circulating current injection should be considered. The output current with the circulating current injection is given by
where is the AC amplitude of the injection current, and is the DC component.
The equivalent output voltage equation is presented as follows:
where
Define the circulating current as follows:
Similar to the aforementioned method in the a high-frequency mode,
Hence, the common mode energy change ratio in one electrical period is determined by
Therefore, the common mode energy can be adjusted by .
Meanwhile,
Hence, the differential mode energy change ratio in one electrical period is determined by
According to (31), the differential mode energy can be adjusted by .
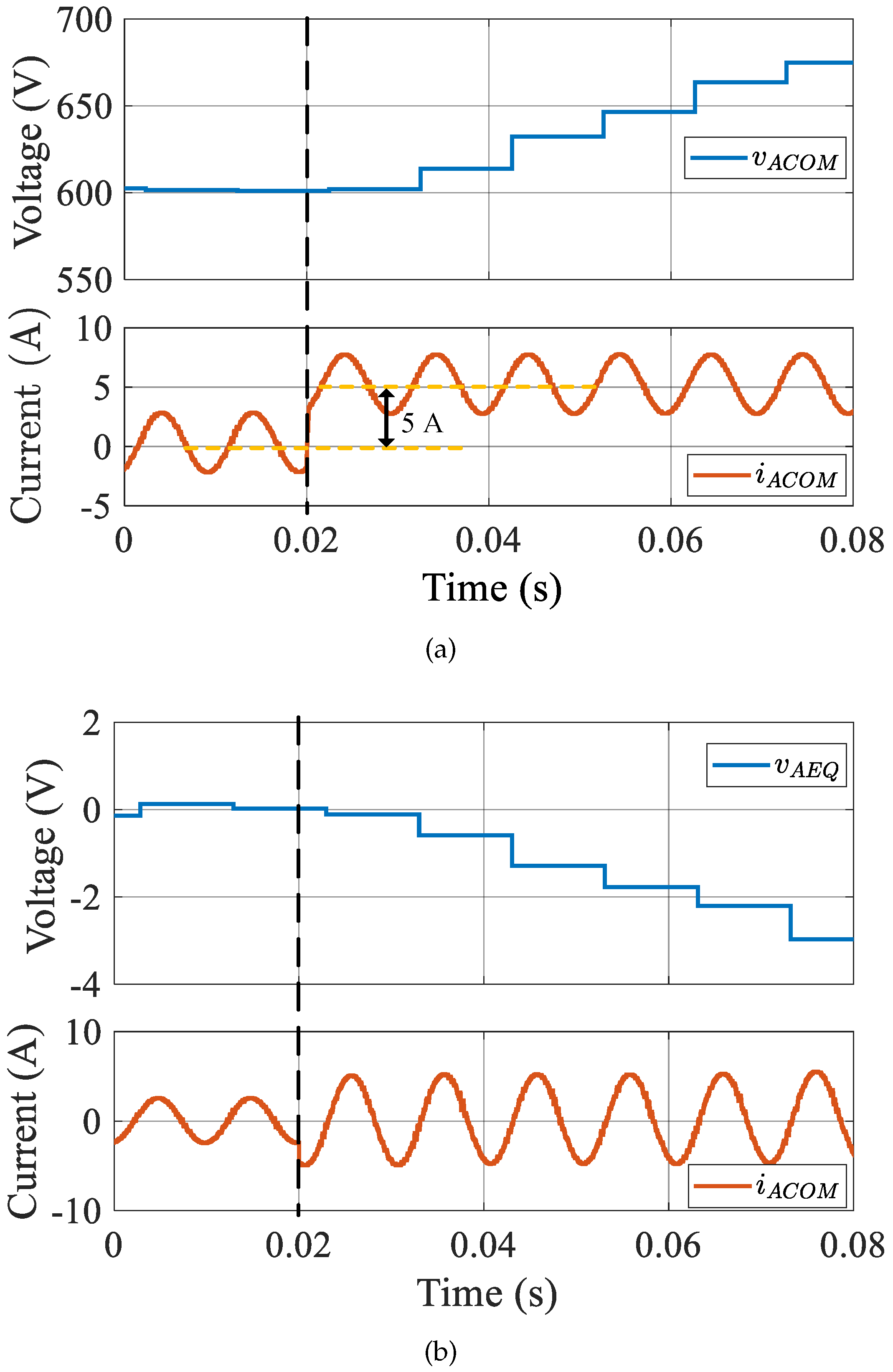
The common mode voltage and differential mode voltage waveforms in low-frequency modes are demonstrated in Figure 4. It can be observed that the DC component of the injection circulating current increases at s from Figure 4a. According to (13), the circulating current also increases, which results in an increase in the common mode voltage . Hence, in the low-frequency mode, the common mode energy is regulated by controlling the DC component of the injection circulating current.
Figure 4.
Low-frequency mode: (a) common mode voltage, and (b) differential mode voltage.
To validate the proposed differential mode energy model, the AC component of the injected circulating current is used as an example for the illustration. As shown in Figure 4b, when increasing the AC component at s, the increases, the circulating current also increases, and the differential mode voltage gradually decreases. It proves that the differential mode energy can be adjusted by in a low-frequency mode.
It can be seen from the above equations that the injection current amplitude required by the output current and circulating current is related to several factors. One is the load inductance, which is the motor stator inductance here. The load inductance is inversely proportional to the amplitude of the injection circulating current. On the other hand, the injection current frequency is inversely proportional to the amplitude of the injection circulating current. For HSPMSM, it is necessary to increase the frequency of the to reduce the amplitude of the injection current due to the small stator inductance of the HSPMSM.
3. Energy Balance Controller Design
Based on the SM capacitor energy and bridge arm energy model in Section 2, the energy balance controllers are designed below. The system structure of the MMC with the proposed method is shown in Figure 5.
Figure 5.
The system diagram of the MMC with the proposed method.
3.1. Bridge Arm Energy Balance and Current Control
In order to ensure the energy balance of the bridge arm, it is necessary to control the common mode energy and differential mode energy, respectively. The control block of the proposed bridge arm energy control is shown in Figure 6. It contains high-frequency and low-frequency modes, each applicable to different states.
Figure 6.
The control block of the bridge arm’s energy control.
3.1.1. Common Mode Energy Control
The common mode energy is regulated by the DC component, or , of the circulating current, , whether the high-frequency signal is injected or not. Therefore, the common mode energy controller can be designed as follows:
where is the reference common energy, .
3.1.2. Differential Mode Energy Control
- High frequency.
The circulating current can be adjusted by ,
According to the circulating current equation (7), the circulating current controller could be written as follows:
- Low frequency.
According to (31), the circulating current proportional controller is given by
Therefore, the common mode voltage is decided by
3.1.3. Current Control
Meanwhile, the circulating current, as well as the high-frequency current in the output current, must be controlled. The injection reference current under the coordinate can be presented by the following expression:
where is the rotor position and is the electrical angle frequency of the HSPMSM.
Being well known, the continuous-time state space equation of the HSPMSM under the coordinate could be written as follows:
The injection reference current under the coordinate is given by
Hence, the HSPMSM current regulator is designed as follows:
3.2. SM Capacitor Energy Balance Control
According to (8), the can be divided into
Thus, in order to ensure the balance of the SM capacitor, should stay at 0.
The SM capacitor voltage controller is designed as follows:
where is the baseline charging power for each SM capacitor. It is assumed that the voltage of each SM capacitor is around , (42) can be simplified as follows:
Figure 7 shows the positive SM capacitor voltage waveforms with energy balance control. In the initial stage, the SM capacitor voltage is in a stable state with the energy controller. After 0.1 s, the energy controller is disabled and the SM capacitor voltage gradually becomes unstable. When s, the SM capacitor energy balance controller restarts, and the SM capacitor voltage quickly returns to a steady state. It proves that the controller can ensure the balance of the SM capacitor.
Figure 7.
SM capacitor energy balance control.
4. Validation and Analysis
In this section, some validations are established to verify the effectiveness of the proposed energy balance control method and common mode current injection by simulations performed in MATLAB/Simulink and experiments. The experimental parameters of the tested HSPMSM and the modular multilevel converter are already been listed in Table 1 and Table 2, respectively. The equivalent output switching frequency of the MMC equals kHz due to the carrier-based phase-shifted PWM (CPS-PWM) technology being applied, which can boost the output switching frequency of the MMC, where N is the submodule quantity in each bridge arm. The experimental setup is shown in Figure 8. The experiment adopts the motor-to-drag method, and the terminal generator is rectified and connected to the resistive load. Based on the established MMC with a high-speed PMSM drive platform, the characteristics of the MMC are verified under load conditions. The control board utilizes the TMS320F28379D microprocessor, a dual-core chip manufactured by TI. The TMS320F28379D has a system clock frequency of up to 200 MHz. Thus, it is sufficient to solve the optimization problem in one sampling period. The control frequency is set at 10 kHz. The proposed energy control method is implemented in MATLAB/Simulink, then C code is automatically generated by the Simulink code generation module and run in DSP through the TI Code Composer Studio (CCS) software. The variables of the algorithm can be recorded on an external RAM and then be transferred to the PC for analysis through the Ethernet module integrated into the control board.
Table 1.
Parameters of the tested HSPMSM.
Table 2.
Parameters of The Tested MMC.
Figure 8.
Schematic diagram of the experimental setup.
4.1. SM Capacitor Voltage Balance Performance
- Simulation results.
To validate the performance on the start-up state, some validations were performed when the MMC for HSPMSM was driven to 50 Hz. Figure 9 shows the simulated performance of the proposed method from 0 Hz to 50 Hz (1500 r/min). The positive bridge arm SM capacitor voltage waveform of the MMC and negative bridge arm SM capacitor voltage waveform of the MMC are demonstrated in Figure 9a and Figure 9b, respectively. From 0 to 25 Hz, the high-frequency current is injected through the energy balance controller of the bridge arm and the SM energy balance controller to balance the capacitor energy. Finally, the SM capacitor voltages of the positive and negative bridge arms achieve the balance state and both pulsate around their rated voltage value of 75 V, and the SM capacitor voltages of the positive and negative bridge arms are highly consistent.
Figure 9.
Simulation results: SM capacitor voltage waveforms of the MMC with HSPMSM: (a) positive bridge arm SM capacitor, and (b) negative bridge arm SM capacitor.
- Experimental results.
Figure 10 shows the experimental performance of the proposed method from 0 to 50 Hz (1500 r/min). The positive bridge arm SM capacitor voltage waveform of the MMC and negative bridge arm SM capacitor voltage waveform of the MMC are demonstrated in Figure 10a and Figure 10b respectively. It can be observed that in the high-frequency current injection stage (MMC fundamental frequency Hz) from Figure 10, the SM capacitor voltage ripple is small, and the SM capacitor voltage contains a large number of high-frequency components. After the high-frequency current injection is disabled, the SM capacitor voltages can be quickly adjusted to a steady state of about 75 V after two or three periods, verifying the effectiveness of the SM capacitor voltage balance control method proposed in this paper. Moreover, with the increase of the MMC fundamental frequency, the SM capacitor voltage ripples will be smaller, which also proves that MMC is more suitable for the HSPMSM drive application.
Figure 10.
Experimental results: SM capacitor voltage waveforms of the MMC with HSPMSM: (a) positive bridge arm SM capacitor, and (b) negative bridge arm SM capacitor.
4.2. Circulating Current Performance
- Simulation results.
Figure 11 shows the simulated circulating current waveform of the MMC from 0 to 50 Hz (1500 r/min). is the reference circulating current, and is the actual circulating current of the MMC, which is composed of the AC component and DC component . The injected current amplitude is 10 A when the MMC starts at a low frequency, and the maximum allowable value of is set to 30 A in the high-frequency injection stage. After the motor runs at a high-speed operation stage, is 2.5 A. It can be seen that can stably follow . When the motor runs at a high-speed operation stage ( Hz), the high-frequency current injection is disabled, and the circulating current decreases rapidly within the range of A. The ripple of the circulating current is quite small and stable under control.
Figure 11.
Simulation results: Circulating current waveforms of the MMC.
- Experimental results.
Figure 12 shows the experimental results of circulating current waveforms of the MMC. When the MMC starts at a low frequency, the amplitude of the injected current is 30 A. It can be observed from Figure 12 that when the motor runs at a high-speed operation stage ( Hz), the high-frequency current injection is disabled, and the circulating current decreases rapidly within the range of A. The ripple of the circulating current is quite small, which verifies the reliability of the proposed energy balance control in this paper.
Figure 12.
Experimental results: Circulating current waveforms of the MMC.
4.3. Common Mode Voltage and Differential Mode Voltage of the MMC Performance
The simulated common mode voltage and differential mode voltage waveforms of the MMC are shown in Figure 13 below. After the system starts, the common mode voltage quickly reaches a stable state of 600 V. When the motor reaches a steady state through acceleration, the differential mode voltage also returns to near 0 V.
Figure 13.
Common mode voltage and differential mode voltage waveforms of the MMC.
- Experimental results.
Figure 14 shows the experimental common mode and differential mode voltage waveforms of the MMC. During the start-up, the common mode voltage of the bridge arm remains stable at about 600 V, and the differential mode voltage ripple reaches 160 V. Through a high-frequency injection, the differential mode voltage ripple gradually decreases. As the fundamental frequency increases, the high-frequency injection is disabled, and the differential mode voltage gradually decreases. The system reaches a steady state, achieving capacitor voltage balance between the positive and negative bridge arm’s SM capacitors. Finally, the differential mode voltage approaches 0 V. The dynamic performance of the bridge arm energy balance controller can be proved by the experimental results of the common mode and differential mode voltage.
Figure 14.
Experimental results: Common mode voltage and differential mode voltage waveforms of MMC.
4.4. Output Current of the MMC Performance
- Simulation results.
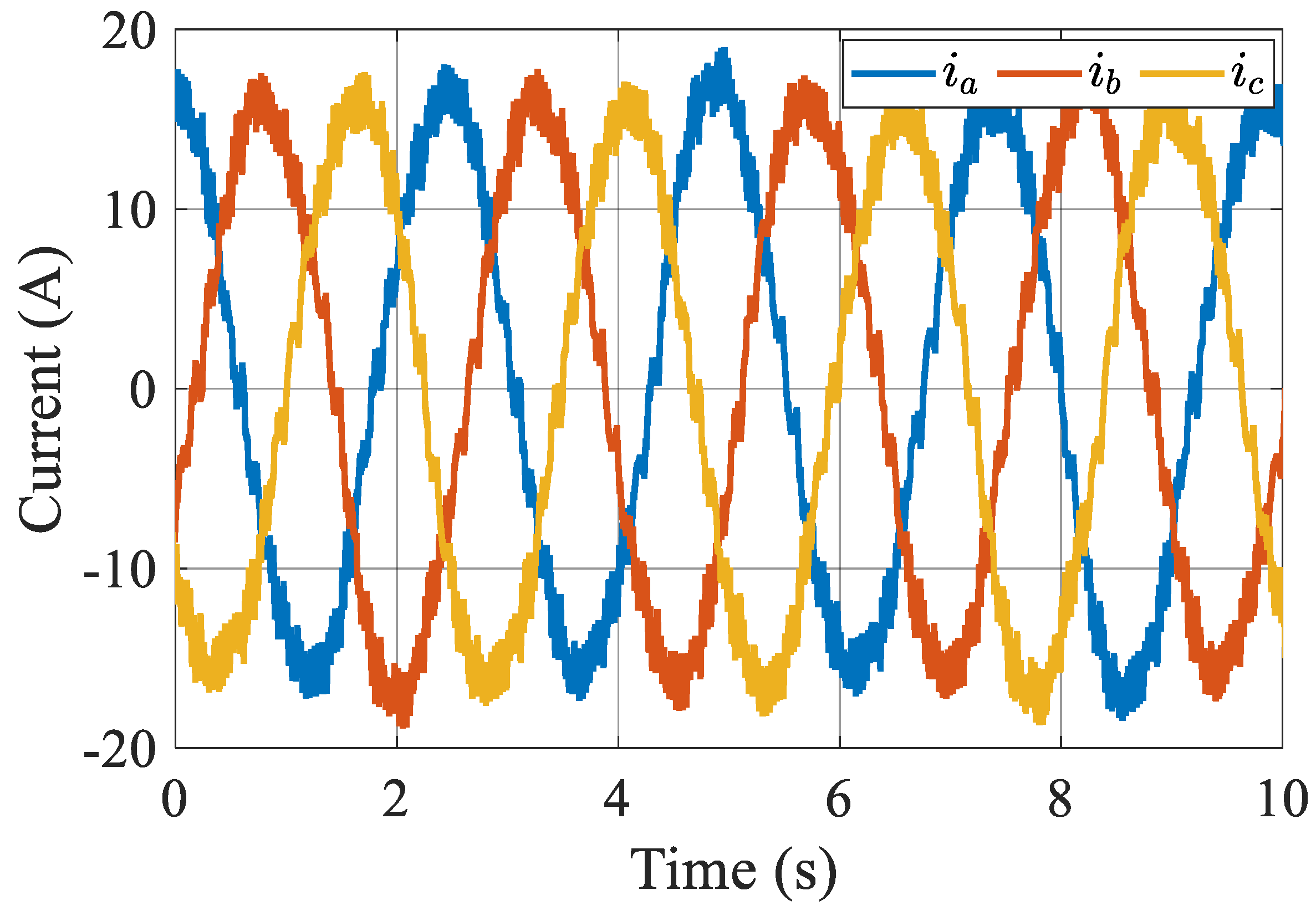
Figure 15 shows the simulated output current waveforms of the MMC. The output current frequency is 500 Hz, and the motor speed is 15,000 r/min at this moment. It is not difficult to see from Figure 15 that the output current of the MMC is stably controlled in a high-frequency region, and the high-speed motor also runs in a high-speed and stable state.
Figure 15.
Simulation results: Output current waveforms of the MMC.
- Experimental results.
Figure 16 shows the experimental output current waveforms of the MMC. When the bridge arm energy of the MMC and the SM capacitor voltage are in balance, the three-phase output current can also maintain stability.
Figure 16.
Experimental results: Output current waveforms of the MMC.
Although MATLAB/Simulink cannot fully simulate the actual operating conditions of the motor, due to the hardware implementation limitations and the motor characteristics, etc., it can be inferred that all of the experimental tests are basically in concordance with the simulation tests and theoretical studies developed in this paper.
5. Conclusions
This paper proposes a novel energy balance control method for an MMC with an HSPMSM drive application, which can ensure the energy balance of the MMC and eliminate the circulating current of the MMC directly. The bridge arm’s common mode energy model, differential mode energy, submodule capacitor energy, and the voltage of HSPMSM were established on high- and low-speed regions, respectively, and the control of each model was completely decoupled. The energy controller of the bridge arm’s common mode energy and differential mode energy, submodule capacitor voltage controller, bridge arm common mode current controller, and motor current controller were designed, respectively, in both high- and low-speed cases.
The simulation was carried out to verify the effectiveness of the proposed energy balance control method. Based on the established MMC with a high-speed PMSM drive platform, the characteristics of the MMC were verified under load conditions. The method was tested under both dynamic and steady states, and the experimental results show that the proposed method for energy balance control achieves significant performance.
The disadvantage of the results presented here is that they would not be applicable for constant torque loads that require the rated torque in a low-speed region. Due to the influence of the common mode current injection, the circulating current will be large, and the motor cannot run at the rated torque during start-up and low-speed stages. It is more suitable for fans, blowers, compressors, and pumps, and the load torque is proportional to a square of the rotating speed.
Future work should include the issue of motors starting at rated torque and running at low speeds with constant torque loads. This research will be able to be extended to other motor drive applications.
Author Contributions
Methodology, T.X.; Writing—original draft, T.X.; Writing—review & editing, F.P.; Supervision, F.P.; Project administration, Y.H. All authors have read and agreed to the published version of the manuscript.
Funding
This research was funded by the National Natural Science Foundation of China under grant number 52277037 and the National Natural Science Foundation of China under grant number 52037002.
Data Availability Statement
Not applicable.
Conflicts of Interest
The authors declare no conflict of interest.
Abbreviations
The following abbreviations are used in this manuscript:
| peak-to-peak submodule capacitor voltage ripple | |
| Submodule capacitor voltages of a-phase positive bridge arm | |
| Submodule capacitor voltages of a-phase negative bridge arm | |
| Positive bridge arm current | |
| Negative bridge arm current | |
| Positive bridge arm output voltages of submodule | |
| Negative bridge arm output voltages of submodule | |
| L | Bridge arm inductance |
| DC bus voltage | |
| A-phase output voltage of the MMC | |
| A-phase output current of the MMC | |
| Motor stator inductance | |
| Motor stator resistance | |
| A-phase back EMF of the motor | |
| Equivalent bridge arm output voltage | |
| Circulating current | |
| Common mode voltage | |
| Positive bridge arm energy | |
| Negative bridge arm energy | |
| Common mode energy | |
| Differential mode energy | |
| Amplitude of current | |
| Amplitude of output voltage | |
| Output common mode voltage | |
| Output current frequency | |
| Power factor angle | |
| DC component of the circulating current | |
| AC component of the circulating current | |
| AC amplitude of injection current | |
| DC component of the output current | |
| DC component of the injection circulating current | |
| AC component of the injection circulating current | |
| Injection current frequency | |
| MMC | Modular multilevel converter |
| HSPMSM | High-speed permanent magnet synchronous machine |
References
- Gerada, D.; Mebarki, A.; Brown, N.; Gerada, C.; Cavagnino, A.; Boglietti, A. High-Speed Electrical Machines: Technologies, Trends, and Developments. IEEE Trans. Ind. Electron. 2014, 61, 2946–2959. [Google Scholar] [CrossRef]
- Lusignani, D.; Barater, D.; Franceschini, G.; Buticchi, G.; Galea, M.; Gerada, C. A high-speed electric drive for the more electric engine. In Proceedings of the 2015 IEEE Energy Conversion Congress and Exposition (ECCE), Montreal, QC, Canada, 20–24 September 2015; pp. 4004–4011. [Google Scholar] [CrossRef]
- Dong, J.; Huang, Y.; Jin, L.; Lin, H. Comparative Study of Surface-Mounted and Interior Permanent-Magnet Motors for High-Speed Applications. IEEE Trans. Appl. Supercond. 2016, 26, 1–4. [Google Scholar] [CrossRef]
- Lian, C.; Xiao, F.; Liu, J.; Gao, S. Analysis and compensation of the rotor position offset error and time delay in field-oriented-controlled PMSM drives. IET Power Electron. 2020, 13, 1911–1918. [Google Scholar] [CrossRef]
- Carfagna, E.; Lorenzani, E.; Debbadi, K.; Pugliese, S.; Liserre, M. Iron Losses Impact on High-Speed Drives. In Proceedings of the 2021 IEEE Energy Conversion Congress and Exposition (ECCE), Virtual Conference, 10–14 October 2021; pp. 5217–5224. [Google Scholar] [CrossRef]
- Narayanasamy, B.; Sathyanarayanan, A.S.; Luo, F.; Chen, C. Reflected Wave Phenomenon in SiC Motor Drives: Consequences, Boundaries, and Mitigation. IEEE Trans. Power Electron. 2020, 35, 10629–10642. [Google Scholar] [CrossRef]
- Langmaack, N.; Balasubramanian, S.; Mallwitz, R.; Henke, M. Comparative Analysis of High Speed Drive Inverter Designs using different Wide-Band-Gap Power Devices. In Proceedings of the 2021 23rd European Conference on Power Electronics and Applications (EPE’21 ECCE Europe), Virtual Conference, 6–10 September 2021; pp. 1–10. [Google Scholar] [CrossRef]
- Chang, L.; Alvi, M.; Lee, W.; Kim, J.; Jahns, T.M. Efficiency Optimization of PWM-Induced Power Losses in Traction Drive Systems With IPM Machines Using Wide Bandgap-Based Inverters. IEEE Trans. Ind. Appl. 2022, 58, 5635–5649. [Google Scholar] [CrossRef]
- Xu, Y.; Yuan, X.; Ye, F.; Wang, Z.; Zhang, Y.; Diab, M.; Zhou, W. Impact of High Switching Speed and High Switching Frequency of Wide-Bandgap Motor Drives on Electric Machines. IEEE Access 2021, 9, 82866–82880. [Google Scholar] [CrossRef]
- Geng, W.; Zhang, Z.; Jiang, K. A new control strategy of ironless stator axial-flux PM motor fed by inverter with output LC filter. In Proceedings of the IECON 2015-41st Annual Conference of the IEEE Industrial Electronics Society, Yokohama, Japan, 9–12 November 2015; pp. 002264–002269. [Google Scholar] [CrossRef]
- Yao, Y.; Peng, F.; Huang, Y. Position and Capacitor Voltage Sensorless Control of High-Speed Surface-Mounted PMSM Drive with Output Filter. In Proceedings of the 2018 IEEE Energy Conversion Congress and Exposition (ECCE), Portland, OR, USA, 23–27 September 2018; pp. 2374–2381. [Google Scholar] [CrossRef]
- Wang, M.; Xu, Y.; Zou, J. Sliding mode control with open-switch fault diagnosis and sensorless estimation based on PI observer for PMSM drive connected with an LC filter. IET Power Electron. 2020, 13, 2334–2341. [Google Scholar] [CrossRef]
- Yao, Y.; Huang, Y.; Peng, F.; Dong, J.; Zhu, Z. Discrete-Time Dynamic-Decoupled Current Control for LCL-Equipped High-Speed Permanent Magnet Synchronous Machines. IEEE Trans. Ind. Electron. 2022, 69, 12414–12425. [Google Scholar] [CrossRef]
- Kouro, S.; Malinowski, M.; Gopakumar, K.; Pou, J.; Franquelo, L.G.; Wu, B.; Rodriguez, J.; Perez, M.A.; Leon, J.I. Recent Advances and Industrial Applications of Multilevel Converters. IEEE Trans. Ind. Electron. 2010, 57, 2553–2580. [Google Scholar] [CrossRef]
- Nabae, A.; Takahashi, I.; Akagi, H. A New Neutral-Point-Clamped PWM Inverter. IEEE Trans. Ind. Appl. 1981, IA-17, 518–523. [Google Scholar] [CrossRef]
- Meynard, T.; Foch, H. Multi-level conversion: High voltage choppers and voltage-source inverters. In Proceedings of the 23rd Annual IEEE Power Electronics Specialists Conference, 1992. PESC ’92 Record, Toledo, Spain, 29 June–3 July 1992; Volume 1, pp. 397–403. [Google Scholar] [CrossRef]
- Corzine, K.; Familiant, Y. A new cascaded multilevel H-bridge drive. IEEE Trans. Power Electron. 2002, 17, 125–131. [Google Scholar] [CrossRef]
- Lesnicar, A.; Marquardt, R. An innovative modular multilevel converter topology suitable for a wide power range. In Proceedings of the Power Tech Conference, Bologna, Italy, 23–26 June 2003; Volume 3, p. 6. [Google Scholar] [CrossRef]
- Xia, T.; Huang, Y.; Peng, F.; Yao, Y.; Cao, Z. Active damping control of modular multilevel converter with output filter for high-speed PM motor drive. In Proceedings of the IECON 2017-43rd Annual Conference of the IEEE Industrial Electronics Society, Beijing, China, 29 October–1 November 2017; pp. 1777–1782. [Google Scholar] [CrossRef]
- Kumar, Y.S.; Poddar, G. Medium-Voltage Vector Control Induction Motor Drive at Zero Frequency Using Modular Multilevel Converter. IEEE Trans. Ind. Electron. 2018, 65, 125–132. [Google Scholar] [CrossRef]
- Zhao, F.; Xiao, G.; Zhu, T.; Zheng, X.; Wu, Z.; Zhao, T. A Coordinated Strategy of Low-Speed and Start-Up Operation for Medium-Voltage Variable-Speed Drives With a Modular Multilevel Converter. IEEE Trans. Power Electron. 2020, 35, 709–724. [Google Scholar] [CrossRef]
- Pan, J.; Ke, Z.; Al Sabbagh, M.; Li, H.; Potty, K.A.; Perdikakis, W.; Na, R.; Zhang, J.; Wang, J.; Xu, L. 7-kV 1-MVA SiC-Based Modular Multilevel Converter Prototype for Medium-Voltage Electric Machine Drives. IEEE Trans. Power Electron. 2020, 35, 10137–10149. [Google Scholar] [CrossRef]
- Hagiwara, M.; Nishimura, K.; Akagi, H. A Medium-Voltage Motor Drive With a Modular Multilevel PWM Inverter. IEEE Trans. Power Electron. 2010, 25, 1786–1799. [Google Scholar] [CrossRef]
- Korn, A.J.; Winkelnkemper, M.; Steimer, P. Low output frequency operation of the Modular Multi-Level Converter. In Proceedings of the 2010 IEEE Energy Conversion Congress and Exposition (ECCE), Atlanta, GA, USA, 12–16 September 2010; pp. 3993–3997. [Google Scholar] [CrossRef]
- Hagiwara, M.; Hasegawa, I.; Akagi, H. Start-Up and Low-Speed Operation of an Electric Motor Driven by a Modular Multilevel Cascade Inverter. IEEE Trans. Ind. Appl. 2013, 49, 1556–1565. [Google Scholar] [CrossRef]
- Debnath, S.; Qin, J.; Saeedifard, M. Control and Stability Analysis of Modular Multilevel Converter Under Low-Frequency Operation. IEEE Trans. Ind. Electron. 2015, 62, 5329–5339. [Google Scholar] [CrossRef]
- Song, S.; Liu, J.; Ouyang, S.; Chen, X. An improved high-frequency common-mode voltage injection method in modular multilevel converter in motor drive application. In Proceedings of the 2018 IEEE Applied Power Electronics Conference and Exposition (APEC), San Antonio, TX, USA, 4–8 March 2018; pp. 2496–2500. [Google Scholar] [CrossRef]
- Kolluri, S.; Gorla, N.B.Y.; Panda, S.K. Capacitor Voltage Ripple Suppression in a Modular Multilevel Converter Using Frequency-Adaptive Spatial Repetitive-Based Circulating Current Controller. IEEE Trans. Power Electron. 2020, 35, 9839–9849. [Google Scholar] [CrossRef]
- Kumar, Y.S.; Poddar, G. Balanced Submodule Operation of Modular Multilevel Converter-Based Induction Motor Drive for Wide-Speed Range. IEEE Trans. Power Electron. 2020, 35, 3918–3927. [Google Scholar] [CrossRef]
- Samajdar, D.; Bhattacharya, T. Capacitor Voltage Ripple Optimization in Modular Multilevel Converter Using Synchronous Reference Frame Energy Ripple Controller. IEEE Trans. Power Electron. 2022, 37, 7883–7895. [Google Scholar] [CrossRef]
Disclaimer/Publisher’s Note: The statements, opinions and data contained in all publications are solely those of the individual author(s) and contributor(s) and not of MDPI and/or the editor(s). MDPI and/or the editor(s) disclaim responsibility for any injury to people or property resulting from any ideas, methods, instructions or products referred to in the content. |
© 2023 by the authors. Licensee MDPI, Basel, Switzerland. This article is an open access article distributed under the terms and conditions of the Creative Commons Attribution (CC BY) license (https://creativecommons.org/licenses/by/4.0/).















