Effects of Boundary Conditions on Performance Prediction of Deep-Buried Ground Heat Exchangers for Geothermal Energy Utilization
Abstract
1. Introduction
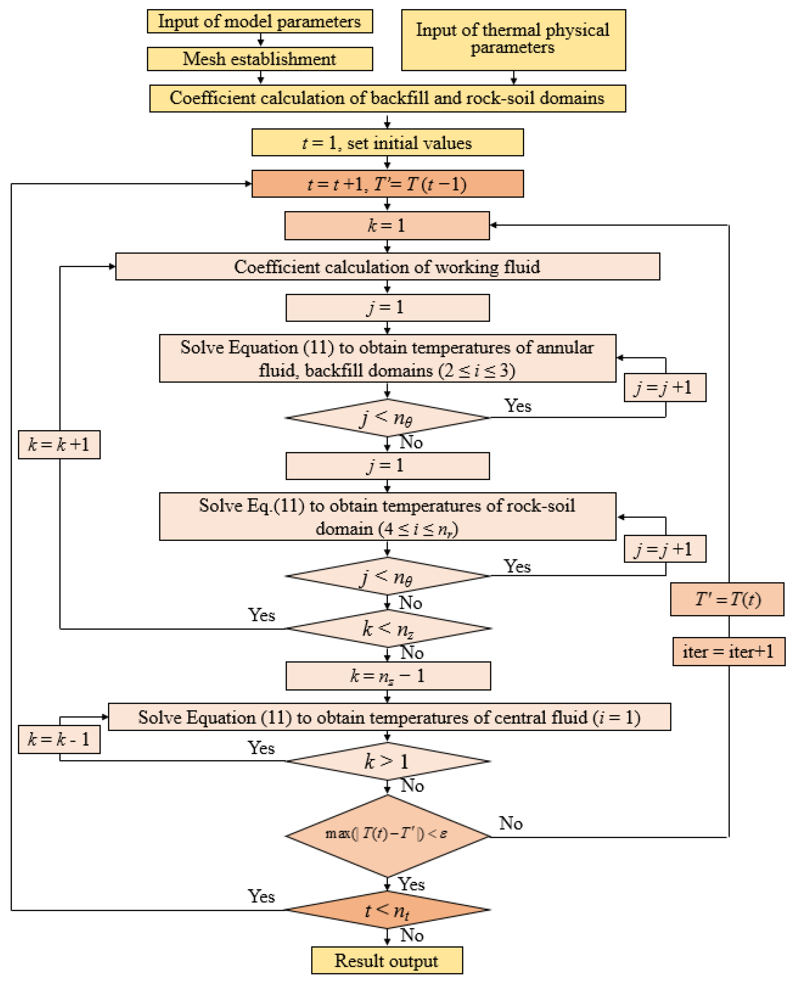
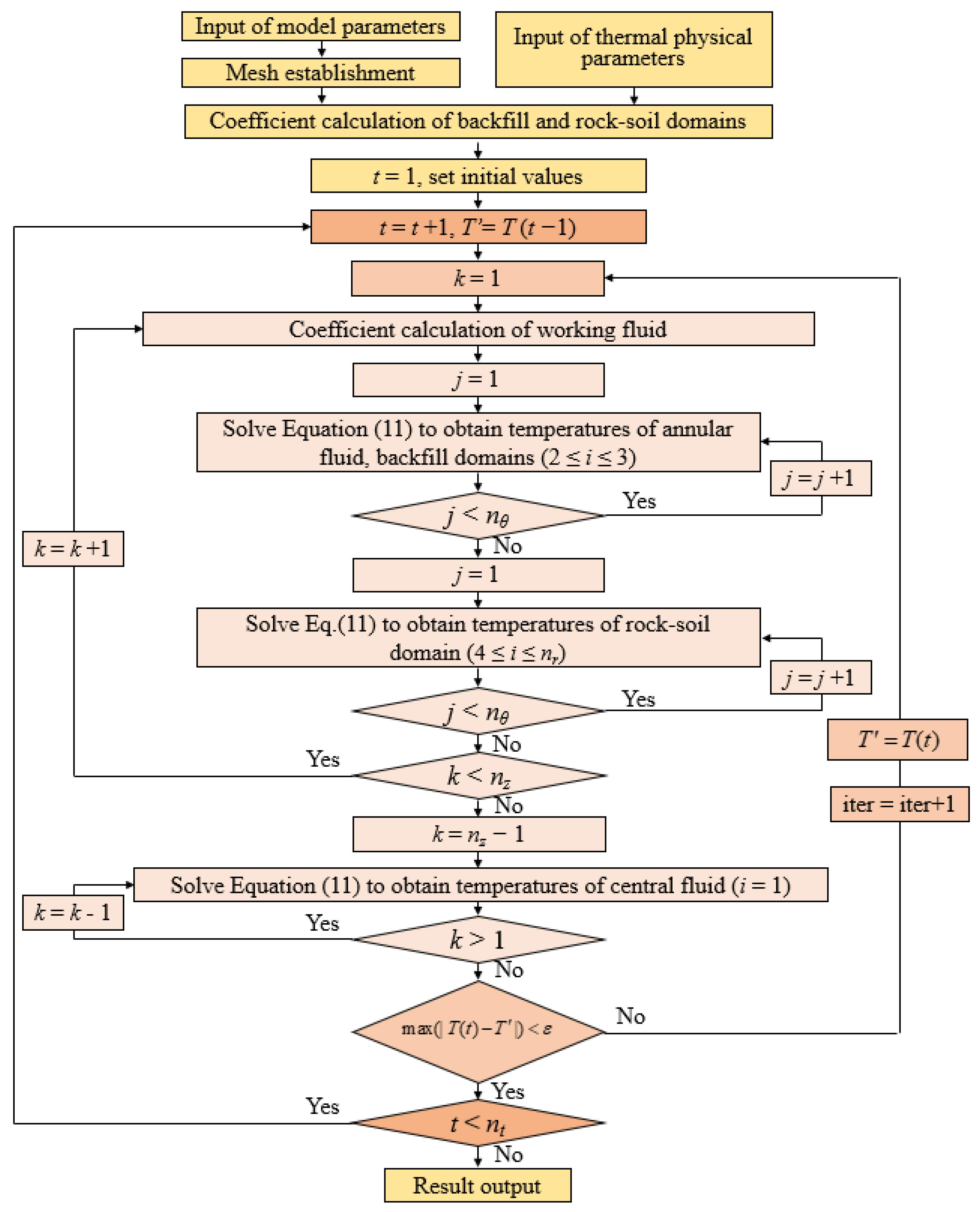
2. Model Development and Solution
2.1. Model Development
2.2. Validation
2.3. Mesh Independence Test
3. Results and Discussion
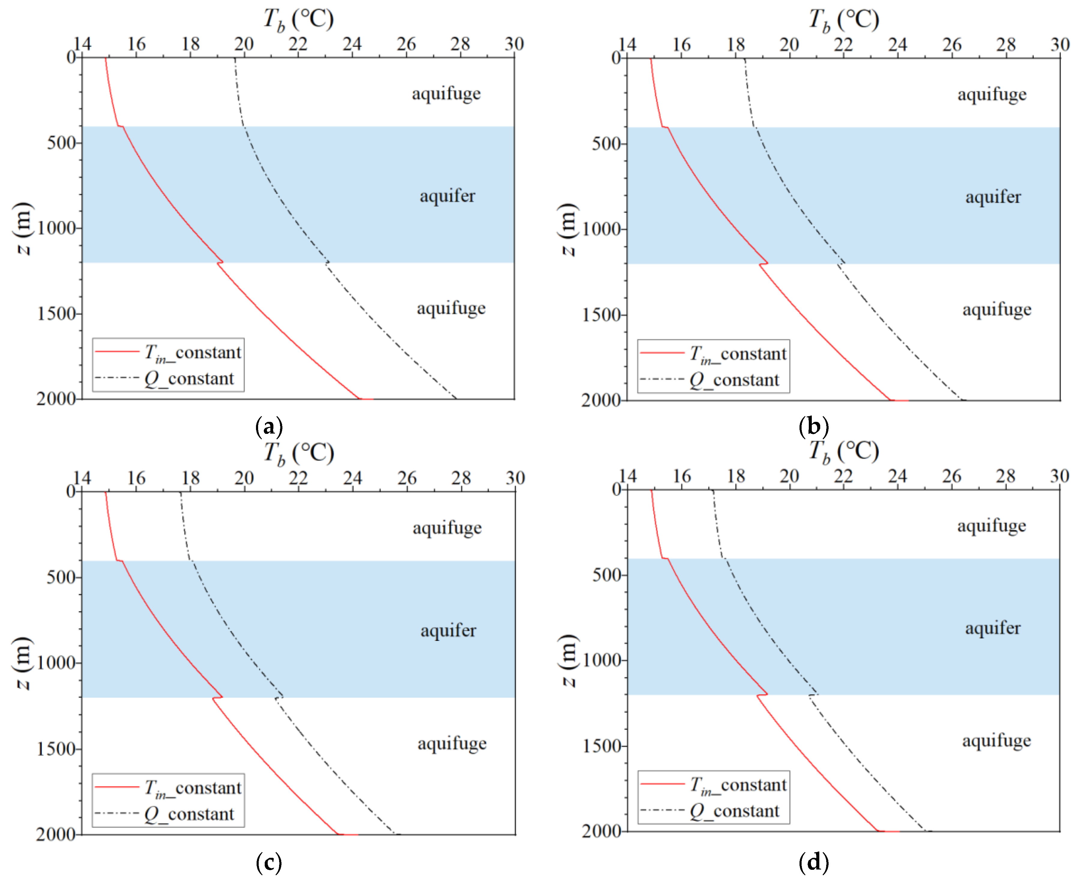
3.1. Effects of Inlet Temperature Conditions of DBGHE
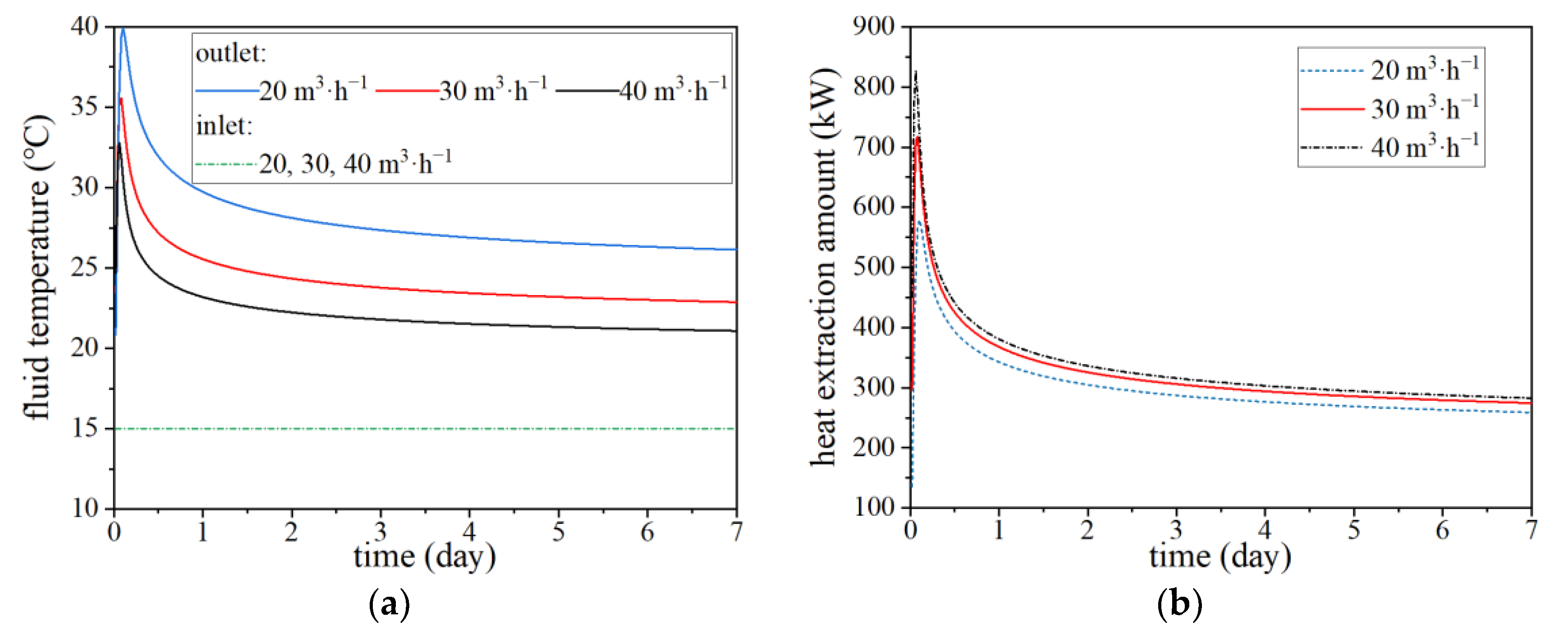
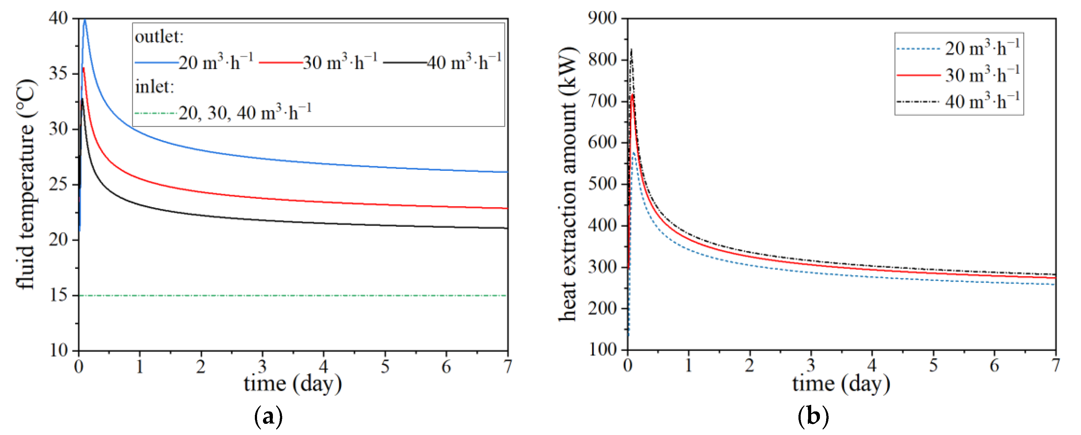
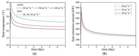
3.1.1. Outlet Temperatures and Heat Extraction Amount
3.1.2. Borehole Temperature
3.1.3. Thermal Influence Radius
3.1.4. Variation with Groundwater Velocities
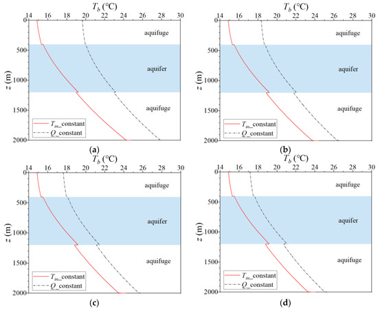
3.2. Effects of Boundary Conditions of Rock-Soil Domain
3.2.1. Outlet Temperatures and Heat Exchange Amount
3.2.2. Borehole Temperature
3.2.3. Thermal Influence Radius
3.2.4. Variation with Groundwater Velocities
4. Conclusions
- The differences in performance predictions caused by different DBGHE inlet boundary conditions are closely related to the system’s operation time. The differences in the DBGHE performance caused by the constant inlet temperature and constant heating power conditions are relatively larger when the operation time of DBGHE is short. At the end of a heating season, the differences in outlet temperature, heat extraction amount, and the average borehole temperature between the two cases decrease to 17 kW and 2.0 °C, respectively. The inlet boundary conditions have little influence on the thermal influence radii.
- As the groundwater velocity changes from 1 × 10−6 m·s−1 to 5 × 10−6 m·s−1, the outlet temperatures under both the constant inlet temperature and the constant heating power increase. However, the heat extraction amount changes only at the constant inlet temperature and does not change at the constant heating power. Thus, the constant inlet temperature boundary is more appropriate to investigate the effects of aquifer effects and other factors on the performance of DBGHE than the constant heating power condition. When the heat extraction amount is determined, the constant heating power boundary can be used to investigate outlet and inlet temperatures and the surrounding rock-soil temperature to design the operation of DBGHE.
- The differences in the performance of DBGHE caused by the surface–bottom temperature and heat flux rock-soil boundary conditions decrease slightly with the increase in the operation time of DBGHE. The differences in the heat extraction amounts of DBGHE, the borehole temperature, and the variations of DBGHE’s performance with groundwater velocity under the two rock-soil boundaries are caused by the rock-soil boundary condition results in the different far-field and initial ground temperatures. Thus, it is necessary to set the far-field and initial ground temperatures closest to the actual situation by the rock-soil boundary conditions.
Author Contributions
Funding
Data Availability Statement
Conflicts of Interest
Nomenclature
| Latin Symbols | |
| a | coefficient |
| A | coefficient matrix |
| B | coefficient matrix |
| cp | specific heat capacity (J·kg−1·°C−1) |
| f | fluid |
| GG | geothermal gradient (°C·m−1) |
| h | convective heat transfer coefficient (W·m−2·°C−1) |
| H | aquifer/aquifuge thickness (m) |
| mass flow rate (kg·s−1) | |
| n | number of nodes |
| q | heat flux (W·m−2) |
| ql | heat transfer per meter (W·m−1) |
| Q | heating power (W) |
| r | radius, coordinate, thermal influence radius (m) |
| R | thermal resistance (K·W−1) |
| S | cross-sectional area (m2) |
| t | time (s) |
| T | temperature (°C) |
| u | groundwater velocity (m·s−1) |
| v | fluid velocity (m·s−1) |
| x | coordinate (m) |
| z | coordinate (m) |
| Greek Symbols | |
| δ | difference of temperature (°C) |
| θ | coordinate |
| λ | thermal conductivity (W·m−1·°C−1) |
| ρ | density (kg·m−3) |
| Subscripts | |
| a | annular |
| b | backfill |
| c | central |
| g | ground |
| in | inlet |
| i | inner pipe, number |
| I | inner surface |
| j | number |
| k | number |
| m | media |
| o | outer pipe |
| O | outer surface |
| out | outlet |
| s | soil |
| sur | surface |
| w | water |
| 0 | initial |
| Abbreviation | |
| DBGHE | deep-buried ground heat exchanger |
| FLS | finite line source |
| FCS | finite cylinder source |
| FVM | finite volume method |
| GHE | ground heat exchanger |
| MFLS | moving finite line source |
| MILS | moving infinite line source |
| SFCS | segmented finite cylinder source |
| SFLS | segmented finite line source |
References
- Alimonti, C. Technical Performance Comparison between U-Shaped and Deep Borehole Heat Exchangers. Energies 2023, 16, 1351. [Google Scholar] [CrossRef]
- Jia, G.S.; Ma, Z.D.; Zhang, Y.P.; Zhao, M.; Meng, X.Z.; Zhang, L.Y.; Jin, L.W. Series-Parallel Resistance Method Based Thermal Conductivity Model for Rock-Soil with Low or High Porosity. Geothermics 2020, 84, 101742. [Google Scholar] [CrossRef]
- Holmberg, H.; Acuña, J.; Næss, E.; Sønju, O.K. Thermal Evaluation of Coaxial Deep Borehole Heat Exchangers. Renew. Energy 2016, 97, 65–76. [Google Scholar] [CrossRef]
- Li, C.; Guan, Y.; Wang, X.; Zhou, C.; Xun, Y.; Gui, L. Experimental and Numerical Studies on Heat Transfer Characteristics of Vertical Deep-Buried U-Bend Pipe in Intermittent Heating Mode. Geothermics 2019, 79, 14–25. [Google Scholar] [CrossRef]
- Renaud, T.; Verdin, P.; Falcone, G. Numerical Simulation of a Deep Borehole Heat Exchanger in the Krafla Geothermal System. Int. J. Heat Mass Transf. 2019, 143, 118496. [Google Scholar] [CrossRef]
- Deng, J.; Wei, Q.; He, S.; Liang, M.; Zhang, H. Simulation Analysis on the Heat Performance of Deep Borehole Heat Exchangers in Medium-Depth Geothermal Heat Pump Systems. Energies 2020, 13, 754. [Google Scholar] [CrossRef]
- Luo, Y.; Guo, H.; Meggers, F.; Zhang, L. Deep Coaxial Borehole Heat Exchanger: Analytical Modeling and Thermal Analysis. Energy 2019, 185, 1298–1313. [Google Scholar] [CrossRef]
- Luo, Y.; Yu, J.; Yan, T.; Zhang, L.; Liu, X. Improved Analytical Modeling and System Performance Evaluation of Deep Coaxial Borehole Heat Exchanger with Segmented Finite Cylinder-Source Method. Energy Build. 2020, 212, 109829. [Google Scholar] [CrossRef]
- Huang, X.; Yao, Z.; Cai, H.; Li, X.; Chen, H. Performance Evaluation of Coaxial Borehole Heat Exchangers Considering Ground Non-Uniformity Based on Analytical Solutions. Int. J. Therm. Sci. 2021, 170, 107162. [Google Scholar] [CrossRef]
- Jia, G.S.; Ma, Z.D.; Xia, Z.H.; Zhang, Y.P.; Xue, Y.Z.; Chai, J.C.; Jin, L.W. A Finite-Volume Method for Full-Scale Simulations of Coaxial Borehole Heat Exchangers with Different Structural Parameters, Geological and Operating Conditions. Renew. Energy 2022, 182, 296–313. [Google Scholar] [CrossRef]
- Morita, K.; Bollmeier, W.S.; Mizogami, H. Analysis of the Results from the Downhole Coaxial Heat Exchanger (DCHE) Experiment in Hawaii. 1992 Annu. Meet. Geotherm. Resour. Counc. 1992, 16, 17–23. [Google Scholar]
- Bu, X.; Ran, Y.; Zhang, D. Experimental and Simulation Studies of Geothermal Single Well for Building Heating. Renew. Energy 2019, 143, 1902–1909. [Google Scholar] [CrossRef]
- Fang, L.; Diao, N.; Shao, Z.; Zhu, K.; Fang, Z. A Computationally Efficient Numerical Model for Heat Transfer Simulation of Deep Borehole Heat Exchangers. Energy Build. 2018, 167, 79–88. [Google Scholar] [CrossRef]
- Liu, J.; Wang, F.; Cai, W.; Wang, Z.; Wei, Q.; Deng, J. Numerical Study on the Effects of Design Parameters on the Heat Transfer Performance of Coaxial Deep Borehole Heat Exchanger. Int. J. Energy Res. 2019, 43, 6337–6352. [Google Scholar] [CrossRef]
- Liu, J.; Wang, F.; Gao, Y.; Zhang, Y.; Cai, W.; Wang, M.; Wang, Z. Influencing Factors Analysis and Operation Optimization for the Long-Term Performance of Medium-Deep Borehole Heat Exchanger Coupled Ground Source Heat Pump System. Energy Build. 2020, 226, 110385. [Google Scholar] [CrossRef]
- Dai, C.; Li, J.; Shi, Y.; Zeng, L.; Lei, H. An Experiment on Heat Extraction from a Deep Geothermal Well Using a Downhole Coaxial Open Loop Design. Appl. Energy 2019, 252, 113447. [Google Scholar] [CrossRef]
- Li, J.; Xu, W.; Li, J.; Huang, S.; Li, Z.; Qiao, B.; Yang, C.; Sun, D.; Zhang, G. Heat Extraction Model and Characteristics of Coaxial Deep Borehole Heat Exchanger. Renew. Energy 2021, 169, 738–751. [Google Scholar] [CrossRef]
- Song, X.; Wang, G.; Shi, Y.; Li, R.; Xu, Z.; Zheng, R.; Wang, Y.; Li, J. Numerical Analysis of Heat Extraction Performance of a Deep Coaxial Borehole Heat Exchanger Geothermal System. Energy 2018, 164, 1298–1310. [Google Scholar] [CrossRef]
- Ma, Z.D.; Jia, G.S.; Cui, X.; Xia, Z.H.; Zhang, Y.P.; Jin, L.W. Analysis on Variations of Ground Temperature Field and Thermal Radius Caused by Ground Heat Exchanger Crossing an Aquifer Layer. Appl. Energy 2020, 276, 115453. [Google Scholar] [CrossRef]
- Ma, Z.D.; Zhang, Y.P.; Saw, L.H.; Cui, X.; Jia, G.S.; Jin, L.W. Investigation on Local Geothermal Energy Attenuation after Long-Term Operation of Ground Heat Exchanger with Considering Aquifer Effect. Geothermics 2023, 107, 102608. [Google Scholar] [CrossRef]
- You, T.; Li, X.; Cao, S.; Yang, H. Soil Thermal Imbalance of Ground Source Heat Pump Systems with Spiral-Coil Energy Pile Groups under Seepage Conditions and Various Influential Factors. Energy Convers. Manag. 2018, 178, 123–136. [Google Scholar] [CrossRef]
- Wang, S.; Gao, J.; Zhang, X.; Wang, Y.; Cai, X. Experimental and Numerical Investigations on the Thermal Behavior of Ground Heat Exchanger in Stratified Soils across Unsaturated and Saturated Layers. Appl. Therm. Eng. 2021, 195, 117163. [Google Scholar] [CrossRef]
- Song, X.; Zheng, R.; Li, G.; Shi, Y.; Wang, G.; Li, J. Heat Extraction Performance of a Downhole Coaxial Heat Exchanger Geothermal System by Considering Fluid Flow in the Reservoir. Geothermics 2018, 76, 190–200. [Google Scholar] [CrossRef]
- Brown, C.S.; Doran, H.; Kolo, I.; Banks, D.; Falcone, G. Investigating the Influence of Groundwater Flow and Charge Cycle Duration on Deep Borehole Heat Exchangers for Heat Extraction and Borehole Thermal Energy Storage. Energies 2023, 16, 2677. [Google Scholar] [CrossRef]
- Nian, Y.L.; Cheng, W.L.; Yang, X.Y.; Xie, K. Simulation of a Novel Deep Ground Source Heat Pump System Using Abandoned Oil Wells with Coaxial BHE. Int. J. Heat Mass Transf. 2019, 137, 400–412. [Google Scholar] [CrossRef]
- Huang, Y.; Zhang, Y.; Xie, Y.; Zhang, Y.; Gao, X.; Ma, J. Long-Term Thermal Performance Analysis of Deep Coaxial Borehole Heat Exchanger Based on Field Test. J. Clean. Prod. 2021, 278, 123396. [Google Scholar] [CrossRef]
- Brown, C.S.; Kolo, I.; Falcone, G.; Banks, D. Investigating Scalability of Deep Borehole Heat Exchangers: Numerical Modelling of Arrays with Varied Modes of Operation. Renew. Energy 2023, 202, 442–452. [Google Scholar] [CrossRef]
- Zhang, Y.; Yang, X.; Liu, J.; Liu, B.; Tang, F.; Nowamooz, H. Long-Term Investigation of a Borehole Heat Exchanger (BHE) Array with the Influence of Same Inlet Temperature (SIT) and Same Heat Load (SHL) Boundaries. Adv. Civ. Eng. 2023, 2023, 3232062. [Google Scholar] [CrossRef]
- Bu, X.; Ma, W.; Li, H. Geothermal Energy Production Utilizing Abandoned Oil and Gas Wells. Renew. Energy 2012, 41, 80–85. [Google Scholar] [CrossRef]
- Bu, X.; Ma, W.; Gong, Y. Electricity Generation from Abandoned Oil and Gas Wells. Energy Sources Part A Recover. Util. Environ. Eff. 2014, 36, 999–1006. [Google Scholar] [CrossRef]
- Galoppi, G.; Biliotti, D.; Ferrara, G.; Carnevale, E.A.; Ferrari, L. Feasibility Study of a Geothermal Power Plant with a Double-Pipe Heat Exchanger. Energy Procedia 2015, 81, 193–204. [Google Scholar] [CrossRef]
- Fang, L.; Diao, N.; Shao, Z.; Wang, Z.; Fang, Z. Study on Thermal Resistance of Coaxial Tube Boreholes in Ground-Coupled Heat Pump Systems. Procedia Eng. 2017, 205, 3735–3742. [Google Scholar] [CrossRef]
- Pan, A.; Lu, L.; Cui, P.; Jia, L. A New Analytical Heat Transfer Model for Deep Borehole Heat Exchangers with Coaxial Tubes. Int. J. Heat Mass Transf. 2019, 141, 1056–1065. [Google Scholar] [CrossRef]
- Zhao, Y. Study on Medium-Deep Geothermal HeatExtraction System and Heat Transfer Model; Hebe University of Engineering: Handan, China, 2019. [Google Scholar]
- Wu, S.; Shao, R. Analysis of the Conditions of Geothermal Resources in Middle and Deep Layers in Gaoling District. Ground Water 2018, 40, 39–77. [Google Scholar] [CrossRef]
- Lin, W.; Cuiling, W.; Jingli, S.; Haonan, G.; Xianfeng, T. Distribution and Exploration of Hot Dry Rock Resources in China:Progress and Inspiration. Acta Geol. Sin. 2021, 95, 1366–1381. [Google Scholar] [CrossRef]
- Angelotti, A.; Alberti, L.; La Licata, I.; Antelmi, M. Energy Performance and Thermal Impact of a Borehole Heat Exchanger in a Sandy Aquifer: Influence of the Groundwater Velocity. Energy Convers. Manag. 2014, 77, 700–708. [Google Scholar] [CrossRef]
- Guan, Y.; Zhao, X.; Wang, G.; Dai, J.; Zhang, H. 3D Dynamic Numerical Programming and Calculation of Vertical Buried Tube Heat Exchanger Performance of Ground-Source Heat Pumps under Coupled Heat Transfer inside and Outside of Tube. Energy Build. 2017, 139, 186–196. [Google Scholar] [CrossRef]
- Chen, C.; Shao, H.; Naumov, D.; Kong, Y.; Tu, K.; Kolditz, O. Numerical Investigation on the Performance, Sustainability, and Efficiency of the Deep Borehole Heat Exchanger System for Building Heating. Geotherm. Energy 2019, 7, 18. [Google Scholar] [CrossRef]
- Tian, X.; Liu, C.; Li, K. Modeling of Geothermal Power Generation from Abandoned Oil Wells Using In-Situ Combustion Technology. In Proceedings of the 43rd Workshop on Geothermal Reservoir Engineering, Stanford, CA, USA, 12–14 February 2018; pp. 1–14. [Google Scholar]
- Cai, W.; Wang, F.; Liu, J.; Wang, Z.; Ma, Z. Experimental and Numerical Investigation of Heat Transfer Performance and Sustainability of Deep Borehole Heat Exchangers Coupled with Ground Source Heat Pump Systems. Appl. Therm. Eng. 2019, 149, 975–986. [Google Scholar] [CrossRef]
- Santa, G.D.; Galgaro, A.; Sassi, R.; Cultrera, M.; Scotton, P.; Mueller, J.; Bertermann, D.; Mendrinos, D.; Pasquali, R.; Perego, R.; et al. An Updated Ground Thermal Properties Database for GSHP Applications. Geothermics 2020, 85, 101758. [Google Scholar] [CrossRef]
- Tao, W. Numerical Heat Transfer, 2nd ed.; Xi’an Jiaotong University Press: Xi’an, China, 2001. [Google Scholar]
- Li, C.; Guan, Y.; Jiang, C.; Wang, J.; Shi, J.; Cao, H. Study on Heat Transfer Characteristics of the Deep-Buried Ground Heat Exchanger under Different Multi-Pipe Layouts. Geothermics 2022, 100, 102343. [Google Scholar] [CrossRef]



























| Parameter | Value |
|---|---|
| inner diameter of inner pipe (2rI,i) | 95.32 mm |
| outer diameter of inner pipe (2rI,o) | 110.00 mm |
| inner diameter of outer pipe (2rO,i) | 166.26 mm |
| outer diameter of outer pipe (2rO,o) | 178.00 mm |
| diameter of backfill (2rb) | 216.00 mm |
| diameter of soil (2rs) | 100 m |
| length (H) | 2000 m |
| Material | λ (W·m−1·K−1) | cp (J·kg−1·K−1) | ρ (kg·m−3) |
|---|---|---|---|
| inner pipe | 0.025 | ||
| outer pipe | 60 | ||
| backfill | 2.00 | 1400 | 2500 |
| clay | 1.59 | 1433 | 1760 |
| sandstone | 2.00 | 1344 | 2124 |
| limestone | 2.88 | 793 | 2800 |
| Case | Inlet Boundary | Rock-Soil Boundary | Groundwater Velocity (m·s−1) | Volumetric Flow Rate (m3·h−1) | Inner Pipe’s Thermal Conductivity (W·m−1·K−1) | Section |
|---|---|---|---|---|---|---|
| 1 | Constant inlet temperature | Surface–bottom temperature | 5 × 10−6 | 20 | 0.025 | 3.1.1 |
| 2 | 5 × 10−6 | 30 | 0.025 | 3.1.1–3.1.4 | ||
| 3 | 5 × 10−6 | 40 | 0.025 | 3.1.1 | ||
| 4 | 5 × 10−6 | 30 | 0.45 | 3.1.1 | ||
| 5 | 1 × 10−6 | 30 | 0.025 | 3.1.4 | ||
| 6 | 1 × 10−8 | 30 | 0.025 | 3.1.4 | ||
| 7 | Constant heating power | Surface–bottom temperature | 5 × 10−6 | 20 | 0.025 | 3.1.1 |
| 8 | 5 × 10−6 | 30 | 0.025 | 3.1.1–3.1.4 | ||
| 9 | 5 × 10−6 | 40 | 0.025 | 3.1.1 | ||
| 10 | 5 × 10−6 | 30 | 0.45 | 3.1.1 | ||
| 11 | 1 × 10−6 | 30 | 0.025 | 3.1.4 | ||
| 12 | 1 × 10−8 | 30 | 0.025 | 3.1.4 |
| Case | Inlet Boundary | Rock-Soil Boundary | Groundwater Velocity (m·s−1) | Volumetric Flow Rate (m3·h−1) | Inner Pipe Thermal Conductivity (W·m−1·K−1) | Section |
|---|---|---|---|---|---|---|
| 1 | Constant inlet temperature | Surface–bottom temperature | 5 × 10−6 | 30 | 0.025 | 3.2.1–3.2.4 |
| 2 | 5 × 10−6 | 30 | 0.45 | 3.2.1 | ||
| 3 | 1 × 10−6 | 30 | 0.025 | 3.2.4 | ||
| 4 | 1 × 10−8 | 30 | 0.025 | 3.2.4 | ||
| 5 | Constant inlet temperature | Heat flux | 5 × 10−6 | 30 | 0.025 | 3.2.1–3.2.4 |
| 6 | 5 × 10−6 | 30 | 0.45 | 3.2.1 | ||
| 7 | 1 × 10−6 | 30 | 0.025 | 3.2.4 | ||
| 8 | 1 × 10−8 | 30 | 0.025 | 3.2.4 |
Disclaimer/Publisher’s Note: The statements, opinions and data contained in all publications are solely those of the individual author(s) and contributor(s) and not of MDPI and/or the editor(s). MDPI and/or the editor(s) disclaim responsibility for any injury to people or property resulting from any ideas, methods, instructions or products referred to in the content. |
© 2023 by the authors. Licensee MDPI, Basel, Switzerland. This article is an open access article distributed under the terms and conditions of the Creative Commons Attribution (CC BY) license (https://creativecommons.org/licenses/by/4.0/).
Share and Cite
Ma, Z.; Qin, S.; Zhang, Y.; Chen, W.-H.; Jia, G.; Cheng, C.; Jin, L. Effects of Boundary Conditions on Performance Prediction of Deep-Buried Ground Heat Exchangers for Geothermal Energy Utilization. Energies 2023, 16, 4874. https://doi.org/10.3390/en16134874
Ma Z, Qin S, Zhang Y, Chen W-H, Jia G, Cheng C, Jin L. Effects of Boundary Conditions on Performance Prediction of Deep-Buried Ground Heat Exchangers for Geothermal Energy Utilization. Energies. 2023; 16(13):4874. https://doi.org/10.3390/en16134874
Chicago/Turabian StyleMa, Zhendi, Siyu Qin, Yuping Zhang, Wei-Hsin Chen, Guosheng Jia, Chonghua Cheng, and Liwen Jin. 2023. "Effects of Boundary Conditions on Performance Prediction of Deep-Buried Ground Heat Exchangers for Geothermal Energy Utilization" Energies 16, no. 13: 4874. https://doi.org/10.3390/en16134874
APA StyleMa, Z., Qin, S., Zhang, Y., Chen, W.-H., Jia, G., Cheng, C., & Jin, L. (2023). Effects of Boundary Conditions on Performance Prediction of Deep-Buried Ground Heat Exchangers for Geothermal Energy Utilization. Energies, 16(13), 4874. https://doi.org/10.3390/en16134874

