Preliminary Design and Study of a Small Modular Chlorine Salt Fast Reactor Cooled by Supercritical Carbon Dioxide
Abstract
1. Introduction
2. Reactor Description and Calculation Tool
2.1. General Description of sm-MCFR
- Reactor power of 10 MW;
- A core life of 20 years;
- The size of the reactor body to meet rail or road transport conditions;
- Small reactivity swing to minimize the complexity of the control system arrangement;
- Modular design: simplify the structure, reduce safety risks, and lower costs.
- A reasonable core structure is proposed, which can satisfy the characteristics of small and transportable, long refueling cycle, and inherent safety;
- Due to the limited reactor space, controlling residual reactivity during the long refueling period is a key issue;
- To demonstrate the inherent safety of the sm-MCFR.
2.2. Calculation Tool
3. Core Design
3.1. Enrichment of Chlorine-37
3.2. Enrichment of Uranium-235
3.3. Coolant Pipe Size
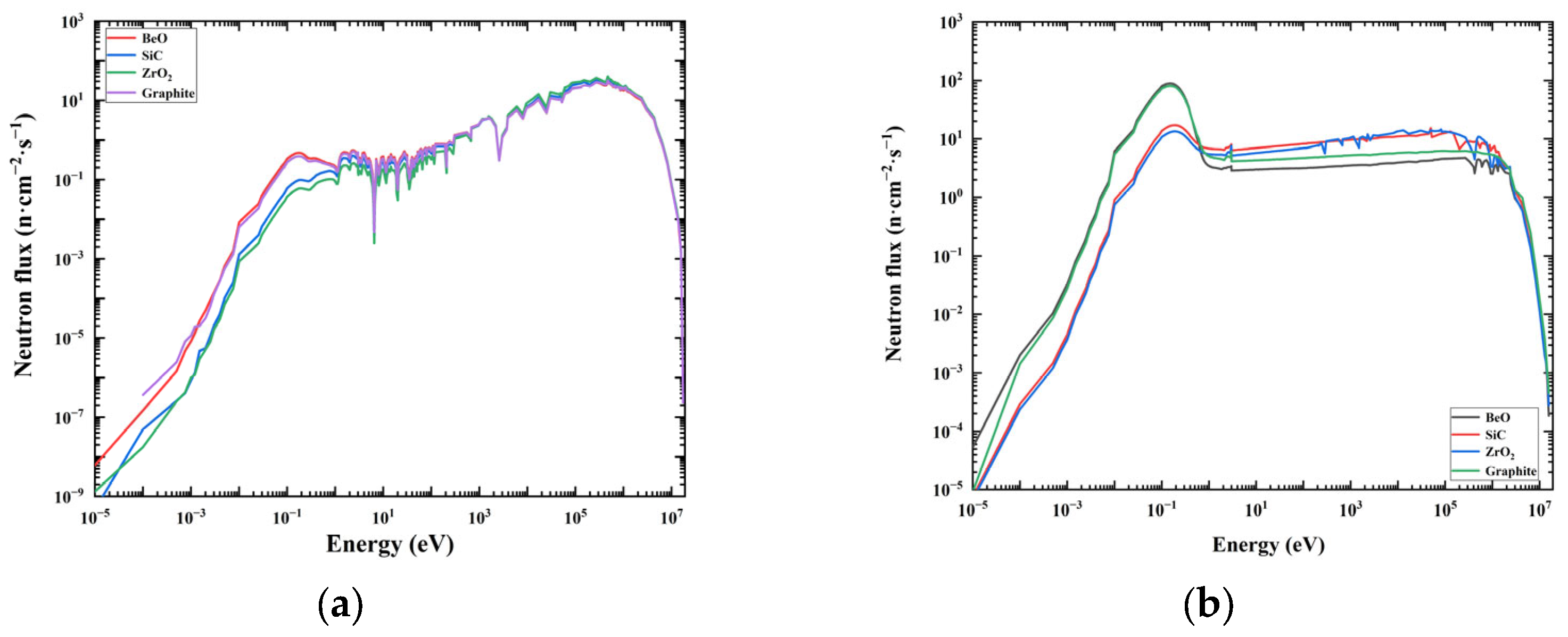
3.4. Materials and Thickness of the Reflector
3.5. Core Size
4. Physical Characteristic Analysis Based on the sm-MCFR
4.1. Control Solution Design
4.2. Burnup Calculation
4.3. Power Distribution
4.4. Reactivity Coefficient
5. Conclusions
Author Contributions
Funding
Data Availability Statement
Conflicts of Interest
References
- Ingersoll, D.T. Deliberately small reactors and the second nuclear era. Prog. Nucl. Energy 2009, 51, 589–603. [Google Scholar] [CrossRef]
- Sabharwall, P.; Mckellar, M.; Kim, E.S.; Patterson, M. Small Modular Molten Salt Reactor (SM-MSR). In Proceedings of the ASME 2011 Small Modular Reactors Symposium, ASME 2011 Small Modular Reactors Symposium, Washington, DC, USA, 28–30 September 2011; pp. 31–39. [Google Scholar]
- Carelli, M.D.; Garrone, P.; Locatelli, G.; Mancini, M.; Mycoff, C.; Trucco, P.; Ricotti, M.E. Economic features of integral, modular, small-to-medium size reactors. Prog. Nucl. Energy 2010, 52, 403–414. [Google Scholar] [CrossRef]
- Todreas, N.E. Small Modular Reactors (SMRs) for Producing Nuclear Energy: An Introduction; Woodhead Publishing: Sawston, UK, 2015. [Google Scholar]
- Kuznetsov, V. Iaea activities for innovative small and medium sized reactors (SMRs). Prog. Nucl. Energy 2005, 47, 61–73. [Google Scholar] [CrossRef]
- Zhu, D.; Xiang, Q.; Zhang, M.; Deng, C.; Deng, J.; Jiang, G.; Yu, H. Evaluation of in-vessel corium retention margin for small modular reactor ACP100. Ann. Nucl. Energy 2016, 94, 684–690. [Google Scholar] [CrossRef]
- Odeh, F.Y.; Yang, W.S. Core design optimization and analysis of the Purdue Novel Modular Reactor (NMR-50). Ann. Nucl. Energy 2016, 94, 288–299. [Google Scholar] [CrossRef]
- Bae, S.J.; Lee, J.; Ahn, Y.; Lee, J.I. Preliminary studies of compact Brayton cycle performance for Small Modular High Temperature Gas-cooled Reactor system. Ann. Nucl. Energy 2015, 75, 11–19. [Google Scholar] [CrossRef]
- Shin, Y.-H.; Choi, S.; Cho, J.; Kim, J.H.; Hwang, I.S. Advanced passive design of small modular reactor cooled by heavy liquid metal natural circulation. Prog. Nucl. Energy 2015, 83, 433–442. [Google Scholar] [CrossRef]
- Chen, H.; Chen, Z.; Chen, C.; Zhang, X.; Zhang, H.; Zhao, P.; Shi, K.; Li, S.; Feng, J.; Zeng, Q. Conceptual design of a small modular natural circulation lead cooled fast reactor SNCLFR-100. Int. J. Hydrogen Energy 2016, 41, 7158–7168. [Google Scholar] [CrossRef]
- El-Genk, M.S.; Palomino, L.M. SLIMM-Scalable LIquid Metal cooled small Modular Reactor: Preliminary design and performance analyses. Prog. Nucl. Energy 2015, 85, 56–70. [Google Scholar] [CrossRef]
- Greene, S.R.; Gehin, J.; Holcomb, D.E.; Carbajo, J.J.; Ilas, D.; Cisneros, A.T.; Varma, V.K.; Corwin, W.R.; Wilson, D.F.; Yoder, G.; et al. Pre-Conceptual Design of a Fluoride-Salt-Cooled Small Modular Advanced High Temperature Reactor (SmAHTR); Oak Ridge National Laboratory: Oak Ridge, TN, USA, 2010. [Google Scholar]
- Pioro, I.L. 2—Introduction: Generation IV International Forum. In Handbook of Generation IV Nuclear Reactors; Pioro, I.L., Ed.; Woodhead Publishing: Sawston, UK, 2016; pp. 37–54. [Google Scholar] [CrossRef]
- Yu, S.-H.; Liu, Y.-F.; Yang, P.; Ji, R.-M.; Zhu, G.-F.; Zhou, B.; Kang, X.-Z.; Yan, R.; Zou, Y.; Dai, Y. Neutronics analysis for MSR cell with different fuel salt channel geometries. Nucl. Sci. Tech. 2021, 32, 9. [Google Scholar] [CrossRef]
- Ignatiev, V.; Feynberg, O.; Merzlyakov, A.; Surenkov, A.; Zagnitko, A.; Afonichkin, V.; Bovet, A.; Khokhlov, V.; Subbotin, V.; Fazilov, R.; et al. Progress in development of MOSART concept with Th support. In Proceedings of the Conference: ICAPP’12: 2012 International Congress on Advances in Nuclear Power Plants, Chicago, IL, USA, 24–28 June 2012. [Google Scholar]
- Furukawa, K.; Arakawa, K.; Erbay, L.B.; Ito, Y.; Kato, Y.; Kiyavitskaya, H.; Lecocq, A.; Mitachi, K.; Moir, R.; Numata, H.; et al. A road map for the realization of global-scale thorium breeding fuel cycle by single molten-fluoride flow. Energy Convers. Manag. 2008, 49, 1832–1848. [Google Scholar] [CrossRef]
- Fiorina, C.; Aufiero, M.; Cammi, A.; Franceschini, F.; Krepel, J.; Luzzi, L.; Mikityuk, K.; Ricotti, M.E. Investigation of the MSFR core physics and fuel cycle characteristics. Prog. Nucl. Energy 2013, 68, 153–168. [Google Scholar] [CrossRef]
- Gehin, J.C.; Holcomb, D.E.; Flanagan, G.F.; Patton, B.W.; Howard, R.L.; Harrison, T.J. Fast Spectrum Molten Salt Reactor Options; ORNL/TM-2011/105; ORNL: Oak Ridge, TN, USA, 2011. [Google Scholar]
- USDOE. A Technology Roadmap for Generation IV Nuclear Energy Systems. In Nuclear Energy Research Advisory Committee and the Generation IV International Forum; USDOE Office of Nuclear Energy; Science and Technology (NE): Washington, DC, USA, 2002. [Google Scholar]
- Pope, M.A. Reactor physics design of supercritical CO₂-cooled fast reactors. Master Thesis, Institute of Technology, Cambridge, MA, USA, 2004. [Google Scholar]
- Dostál, V. A Supercritical Carbon Dioxide Cycle for Next Generation Nuclear Reactors. Ph.D. Thesis, Institute of Technology, Cambridge, MA, USA, 2004. [Google Scholar]
- Yu, H.; Hartanto, D.; Moon, J.; Kim, Y. A Conceptual Study of a Supercritical CO2-Cooled Micro Modular Reactor. Energies 2015, 8, 13938–13952. [Google Scholar] [CrossRef]
- Kim, Y.; Hartanto, D.; Yu, H. Neutronics optimization and characterization of a long-life SCO2-cooled micro modular reactor. Int. J. Energ Res. 2017, 41, 976–984. [Google Scholar] [CrossRef]
- Li, C.Y.; Wei, W.S.; Bin, X.W. Features and Application Analysis of the Small Modular Reactors. Nucl. Electron. Detect. Technol. 2014, 34, 6. [Google Scholar]
- Scott, I.R. Stable Salt Reactor Design Concept. In Proceedings of the Thorium Energy Conference, Mumbai, India, 12–15 October 2015. [Google Scholar]
- Desyatnik, V.N.; Katyshev, S.F.; Raspopin, S.P.; Chervinskii, Y.F. Density, Surface-Tension, and Viscosity of Uranium Trichloride Sodium Chloride Melts. Sov At. Energy 1975, 39, 649–651. [Google Scholar] [CrossRef]
- Mourogov, A.; Bokov, P.M. Potentialities of the fast spectrum molten salt reactor concept: REBUS-3700. Energy Convers. Manag. 2006, 47, 2761–2771. [Google Scholar] [CrossRef]
- Wallenius, J.; Qvist, S.; Mickus, I.; Bortot, S.; Szakalos, P.; Ejenstam, J. Design of SEALER, a very small lead-cooled reactor for commercial power production in off-grid applications. Nucl. Eng. Des. 2018, 338, 23–33. [Google Scholar] [CrossRef]
- El-Genk, M.S.; Tournier, J.-M. A review of refractory metal alloys and mechanically alloyed-oxide dispersion strengthened steels for space nuclear power systems. J. Nucl. Mater. 2005, 340, 93–112. [Google Scholar] [CrossRef]
- Ignatiev, V.; Surenkov, A. Alloys compatibility in molten salt fluorides: Kurchatov Institute related experience. J. Nucl. Mater. 2013, 441, 592–603. [Google Scholar] [CrossRef]
- Chen, R.K.; Seidl, M.; Wang, X. Core design optimization of small modular dual fluid reactor based on NSGA-III in the aspect of reactor physics. Ann. Nucl. Energy 2022, 174, 109194. [Google Scholar] [CrossRef]
- Bowman, S. SCALE 6: Comprehensive Nuclear Safety Analysis Code System. Nucl. Technol. 2011, 174, 126–148. [Google Scholar] [CrossRef]
- Ferraro, D.; García, M.; Valtavirta, V.; Imke, U.; Tuominen, R.; Leppänen, J.; Sanchez-Espinoza, V. Serpent/SUBCHANFLOW pin-by-pin coupled transient calculations for the SPERT-IIIE hot full power tests. Ann. Nucl. Energy 2020, 142, 107387. [Google Scholar] [CrossRef]
- Oettingen, M. Assessment of the Radiotoxicity of Spent Nuclear Fuel from a Fleet of PWR Reactors. Energies 2021, 14, 3094. [Google Scholar] [CrossRef]
- Cetnar, J.; Stanisz, P.; Oettingen, M. Linear Chain Method for Numerical Modelling of Burnup Systems. Energies 2021, 14, 1520. [Google Scholar] [CrossRef]
- Stanisz, P.; Oettingen, M.; Cetnar, J. Development of a Trajectory Period Folding Method for Burnup Calculations. Energies 2022, 15, 2245. [Google Scholar] [CrossRef]
- He, L.-Y.; Li, G.-C.; Xia, S.-P.; Chen, J.-G.; Zou, Y.; Liu, G.-M. Effect of 37Cl enrichment on neutrons in a molten chloride salt fast reactor. Nucl. Sci. Tech. 2020, 31, 27. [Google Scholar] [CrossRef]
- IAEA. IAEA Safeguards Glossary; International Atomic Energy Agency: Vienna, Austria, 2003. [Google Scholar]
- Oettingen, M.; Kim, J. Detection of Numerical Power Shift Anomalies in Burnup Modeling of a PWR Reactor. Sustainability 2023, 15, 3373. [Google Scholar] [CrossRef]














| Composition | Ti | Zr | C | Si | Fe | Ni | N | Mo |
|---|---|---|---|---|---|---|---|---|
| Content/% | 0.5 | 0.08 | 0.01–0.04 | 0.006 | 0.01 | 0.005 | 0.003 | remainder |
| Parameter | Value |
|---|---|
| Power (MW) | 10 |
| Reactor radius/height (cm) | 132/220 |
| Active zone radius/height (cm) | 62/124 |
| Core fuel | NaCl:UCl3 = 55:45 |
| Fuel salt density (g·cm−3) | 3.6 |
| Molten salt temperature (K) | 925 |
| Coolant | S-CO2 |
| S-CO2 pipe material | TZM |
| S-CO2 pipe thickness (cm) | 0.10 |
| Operating life (a) | 20 |
| Parameter | Value |
|---|---|
| CTC (pcm/K) | 0.136 |
| FTC (pcm/K) | −1.8959 |
| TRC (pcm/K) | −1.72 |
| Parameter | Value |
|---|---|
| Power (MW) | 10 |
| Active zone radius/height (cm) | 52/104 |
| Radial reflector thickness (cm) | 60 |
| Axial reflector thickness (cm) | 50 |
| Core fuel | NaCl:UCl3 = 55:45 |
| Fuel salt density (g·cm−3) | 3.6 |
| Molten salt temperature (K) | 925 |
| 37Cl enrichment (%) | 98 |
| 235U enrichment (%) | 19.75 |
| Coolant | S-CO2 |
| Coolant pipe material | TZM |
| Coolant pipe radius (cm) | 0.47 |
| Coolant pipe thickness (cm) | 0.1 |
| Coolant pipe outside radius (cm) | 0.57 |
| Coolant pipe spacing (cm) | 4 |
| Reactivity control system | Control drums |
| Control drum neutron absorber thickness (cm) | 1.5 |
| Control drum neutron absorber angle (°) | 120 |
Disclaimer/Publisher’s Note: The statements, opinions and data contained in all publications are solely those of the individual author(s) and contributor(s) and not of MDPI and/or the editor(s). MDPI and/or the editor(s) disclaim responsibility for any injury to people or property resulting from any ideas, methods, instructions or products referred to in the content. |
© 2023 by the authors. Licensee MDPI, Basel, Switzerland. This article is an open access article distributed under the terms and conditions of the Creative Commons Attribution (CC BY) license (https://creativecommons.org/licenses/by/4.0/).
Share and Cite
Peng, M.; Liu, Y.; Zou, Y.; Dai, Y. Preliminary Design and Study of a Small Modular Chlorine Salt Fast Reactor Cooled by Supercritical Carbon Dioxide. Energies 2023, 16, 4862. https://doi.org/10.3390/en16134862
Peng M, Liu Y, Zou Y, Dai Y. Preliminary Design and Study of a Small Modular Chlorine Salt Fast Reactor Cooled by Supercritical Carbon Dioxide. Energies. 2023; 16(13):4862. https://doi.org/10.3390/en16134862
Chicago/Turabian StylePeng, Minyu, Yafen Liu, Yang Zou, and Ye Dai. 2023. "Preliminary Design and Study of a Small Modular Chlorine Salt Fast Reactor Cooled by Supercritical Carbon Dioxide" Energies 16, no. 13: 4862. https://doi.org/10.3390/en16134862
APA StylePeng, M., Liu, Y., Zou, Y., & Dai, Y. (2023). Preliminary Design and Study of a Small Modular Chlorine Salt Fast Reactor Cooled by Supercritical Carbon Dioxide. Energies, 16(13), 4862. https://doi.org/10.3390/en16134862
