Energy Savings in Elevators by Using a Particular Permanent-Magnet Motor Drive †
Abstract
1. Introduction
2. Drive System Control
3. Vector Control of PMSM
4. Structure of the Elevator Velocity-Control System
- Rectifier: The rectifier is the device that converts the three-phase alternating current of the network into direct current (AC/DC). It consists of the simple rectifying bridge and a smoothing filter comprising a capacitor and a coil [18].
- Inverter: The smoothed DC voltage then feeds the inverter. The purpose of the device is to convert the DC voltage into an AC of variable frequency and controlled amplitude. The basic building blocks of the inverter are electronic semiconductor power switches. The choice of these switches is very important and has a decisive influence on the operating characteristics, performance and also the quality of the inverter.
- Control Unit: The control unit is available to formulate a pulse width range of suitable amplitude. In order to achieve control of the fundamental harmonic of the inverter output voltage, it is necessary to vary the pulse width by varying the time intervals where the semiconductor elements are turned on or off. In general, the DC voltage of the inverter is converted into an alternating voltage with a controlled amplitude and frequency. In this way, each pulse is converted into a numerical bit from where it expresses the opening and closing of the three-phase inverter switches (on, off) [19].
5. Operation of VVVF Inverter Control
6. Energy Savings by Using a VVVF Technique
7. Results
7.1. Current Consumption Electrical Motor PMSM and IM
7.2. Pulses for PMSM with VVVF Inverter Driving
7.3. Speed of Electrical Motor for PMSM and IM
7.4. Simulation Scenarios
7.5. Energy Consumption with VVVF and without VVVF
- In the first part of the route and for a length of 0.5 m the elevator performs an accelerated movement and thus the energy consumed is the corresponding power depending on the load served by the lift (empty chamber, half load and full load) over the period of the accelerated movement of the lift.
- During the second part of the route the elevator runs smoothly at a constant speed for the total length of the journey from the ground floor to the corresponding floor but reduced by 1 m, which is the part of the acceleration and deceleration of the chamber. Thus, the energy consumed in this section will have to be adjusted according to the time taken to complete the route. The time is adjusted according to the length of the route path that the elevator performs each time at a constant speed. Therefore, the energy consumed in this section will be the corresponding power depending on the load it serves at any given time and the corresponding adjusted route time at constant speed.
- Finally, in the last part of the route and for a length 0.5 m the elevator performs a deceleration movement and thus the energy consumed is the corresponding power according to the load served by the lift (empty chamber, half load and full load) over the period of the decelerated movement of the lift.
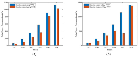
7.6. Daily Energy Consumption with VVVF and without VVVF
7.7. Total Energy Efficiency
7.8. VDI 4707
8. Discussion
- Similarly, returning some of the energy back to the grid using an inverter with a regenerative mechanism would result in energy savings rates of over 50% in Figure 21a,b [24]. Using braking, the electrical motor acts as a generator by converting mechanical energy into electrical energy, which is dissipated as heat through thermal resistance. Through a regenerative mode, this energy is collected and fed into a building or the city’s electricity grid [25]. This arrangement would require to the use of a transformer and more sophisticated power electronics. Thus, in this way energy recovery during braking, replacements of the braking resistors, reduced maintenance of the drive system and additional reduction in heat emissions are achieved. The regenerative mechanism can be applied when the developing motor torque is in the opposite direction to the load torque. This can happen is two cases, either when the load is descending by gravity or in the case of the load rising by parallel braking (the load is rising upwards but the motor is trying to brake (accelerate)) [26]. The brakes are applied so that the electrical motor can maintain its nominal speed. Based on Table A28 and using the motion curves of the elevator in Figure 5, we calculate for each different load the total travel interval of the chamber and the efficiency of the drive system in general to see the potential for additional energy savings using regenerative braking. In the case of ascent with 0 kg load during the constant-speed movement of the lift and in the case of descent with 300 kg with VVVF inverter driving we observe a very low-efficiency system. Moreover, in the cases of ascent and descent with a 300 kg load without a driving VVVF inverter we observe the same effect because the electrical motor works as a generator; therefore, it is possible by using an appropriate regenerative mechanism to save additional energy for the system.
- The elevator consumes energy even when it is stopped and is in standby mode. This consumption is due to the use of the power electronics, the indicator lights that show the status of the lift, the PLC and the sensors of the lift. In order to avoid this particular case, which results in additional energy consumption, the DC power supply can be accomplished using a low-power photovoltaic installation for battery charging, as shown in Figure 22. In this way, a 4–5% additional energy savings in achieved over using VVVF technology. The main advantages are that 80% less energy is required depending on the uses performed by the lift; it is powered by one small system, two photovoltaic panels and two batteries; it can be an integrated building evacuation system (BEMS) in which people cannot be trapped in it, as it is continuously powered by the batteries; and there is the possibility of providing additional 230 VAC electricity. Moreover, it has a longer lifespan, as the power generation is of better quality and gives the possibility of 30 movements per day, providing autonomy for 30 days [27,28,29,30,31].
- This paper illustrated through experimental validation that, by implementing a particular loading pattern in the control of the elevator, energy savings of up to almost 25% can be achieved, corresponding to the highest level attainable in such applications [32], and can be of reference value, offering great services for operators in the field.
9. Conclusions
References
Author Contributions
Funding
Data Availability Statement
Conflicts of Interest
Appendix A
| Acceleration Current (A) | Constant-Speed Current (A) | Deceleration Current (A) |
|---|---|---|
| 2.91 | 1.54 | 2.48 |
| 2.97 | 1.39 | 2.35 |
| 2.94 | 1.49 | 2.36 |
| 3.05 | 1.51 | 2.38 |
| 2.9 | 1.44 | 2.33 |
| 2.99 | 1.55 | 2.49 |
| 2.99 | 1.51 | 2.38 |
| 2.93 | 1.5 | 2.36 |
| 2.91 | 1.52 | 2.39 |
| 2.88 | 1.54 | 2.34 |
| Acceleration Current (A) | Constant-Speed Current (A) | Deceleration Current (A) |
|---|---|---|
| 3.29 | 7.97 | 3.64 |
| 3.08 | 8.18 | 3.66 |
| 3.01 | 8.04 | 3.63 |
| 3.04 | 8.02 | 3.52 |
| 3.11 | 7.97 | 3.44 |
| 2.98 | 7.88 | 3.43 |
| 3.05 | 7.93 | 3.67 |
| 3.03 | 8.10 | 3.44 |
| 3.12 | 7.98 | 3.42 |
| 2.99 | 8.04 | 3.41 |
| Acceleration Current (A) | Constant-Speed Current (A) | Deceleration Current (A) |
|---|---|---|
| 1.40 | 1.82 | 1.49 |
| 1.36 | 1.80 | 1.45 |
| 1.38 | 1.80 | 1.47 |
| 1.44 | 1.88 | 1.49 |
| 1.55 | 1.89 | 1.48 |
| 1.41 | 1.82 | 1.44 |
| 1.50 | 1.86 | 1.46 |
| 1.36 | 1.83 | 1.50 |
| 1.48 | 1.81 | 1.43 |
| 1.49 | 1.90 | 1.44 |
| Acceleration Current (A) | Constant-Speed Current (A) | Deceleration Current (A) |
|---|---|---|
| 1.53 | 2.36 | 1.53 |
| 1.37 | 2.35 | 1.48 |
| 1.37 | 2.26 | 1.54 |
| 1.51 | 2.24 | 1.42 |
| 1.40 | 2.32 | 1.58 |
| 1.51 | 2.62 | 1.48 |
| 1.48 | 2.25 | 1.46 |
| 1.84 | 2.12 | 1.51 |
| 1.50 | 2.31 | 1.48 |
| 1.37 | 2.23 | 1.45 |
| Acceleration Current (A) | Constant-Speed Current (A) | Deceleration Current (A) |
|---|---|---|
| 2.88 | 7.47 | 3.64 |
| 3.00 | 7.32 | 3.61 |
| 2.91 | 7.34 | 3.61 |
| 2.90 | 7.34 | 3.63 |
| 2.86 | 7.47 | 3.53 |
| 2.84 | 7.57 | 3.57 |
| 2.80 | 7.52 | 3.71 |
| 2.85 | 7.36 | 3.55 |
| 2.91 | 7.55 | 3.34 |
| 2.86 | 7.49 | 3.61 |
| Acceleration Current (A) | Constant-Speed Current (A) | Deceleration Current (A) |
|---|---|---|
| 2.69 | 1.47 | 2.28 |
| 2.64 | 1.45 | 2.32 |
| 2.66 | 1.46 | 2.23 |
| 2.71 | 1.44 | 2.33 |
| 2.66 | 1.43 | 2.41 |
| 2.69 | 1.43 | 2.29 |
| 2.66 | 1.43 | 2.18 |
| 2.71 | 1.42 | 2.35 |
| 2.71 | 1.44 | 2.46 |
| 2.66 | 1.41 | 2.40 |
| Acceleration Current (A) | Constant-Speed Current (A) | Deceleration Current (A) |
|---|---|---|
| 4.21 | 2.27 | 3.62 |
| 4.28 | 2.23 | 3.58 |
| 4.14 | 2.29 | 3.76 |
| 4.32 | 2.34 | 3.55 |
| 4.35 | 2.37 | 3.68 |
| 4.30 | 2.30 | 3.72 |
| 4.12 | 2.33 | 3.65 |
| 4.44 | 2.35 | 3.61 |
| 4.48 | 2.22 | 3.59 |
| 4.37 | 2.38 | 3.75 |
| Acceleration Current (A) | Constant-Speed Current (A) | Deceleration Current (A) |
|---|---|---|
| 4.49 | 9.82 | 4.12 |
| 4.58 | 9.77 | 4.18 |
| 4.63 | 9.80 | 4.06 |
| 4.44 | 9.86 | 4.04 |
| 4.43 | 9.83 | 4.10 |
| 4.47 | 9.82 | 4.14 |
| 4.52 | 9.74 | 4.06 |
| 4.54 | 9.75 | 4.09 |
| 4.46 | 9.90 | 4.14 |
| 4.53 | 9.77 | 4.11 |
| Acceleration Current (A) | Constant-Speed Current (A) | Deceleration Current (A) |
|---|---|---|
| 2.28 | 2.87 | 2.19 |
| 2.32 | 2.79 | 2.22 |
| 2.39 | 2.97 | 2.28 |
| 2.19 | 2.91 | 2.14 |
| 2.22 | 2.84 | 2.25 |
| 2.27 | 3.05 | 2.12 |
| 2.27 | 2.75 | 2.21 |
| 2.29 | 3.04 | 2.15 |
| 2.31 | 2.86 | 2.21 |
| 2.32 | 2.97 | 2.17 |
| Acceleration Current (A) | Constant-Speed Current (A) | Deceleration Current (A) |
|---|---|---|
| 1.72 | 2.62 | 1.59 |
| 1.74 | 2.69 | 1.62 |
| 1.68 | 2.55 | 1.66 |
| 1.69 | 2.61 | 1.74 |
| 1.77 | 2.58 | 1.75 |
| 1.62 | 2.52 | 1.68 |
| 1.65 | 2.54 | 1.78 |
| 1.70 | 2.51 | 1.72 |
| 1.65 | 2.66 | 1.69 |
| 1.66 | 2.74 | 1.80 |
| Acceleration Current (A) | Constant-Speed Current (A) | Deceleration Current (A) |
|---|---|---|
| 4.00 | 9.64 | 4.95 |
| 4.08 | 9.48 | 4.97 |
| 4.12 | 9.52 | 4.91 |
| 4.12 | 9.52 | 4.91 |
| 4.04 | 9.51 | 5.02 |
| 3.84 | 9.44 | 4.85 |
| 3.93 | 9.62 | 4.93 |
| 3.91 | 9.48 | 4.87 |
| 4.09 | 9.50 | 4.93 |
| 4.12 | 9.52 | 9.00 |
| Acceleration Current (A) | Constant-Speed Current (A) | Deceleration Current (A) |
|---|---|---|
| 3.23 | 1.58 | 2.54 |
| 3.30 | 1.55 | 2.55 |
| 3.41 | 1.62 | 2.50 |
| 3.32 | 1.65 | 2.52 |
| 3.37 | 1.60 | 2.44 |
| 3.25 | 1.59 | 2.47 |
| 3.28 | 1.55 | 2.51 |
| 3.29 | 1.58 | 2.56 |
| 3.34 | 1.64 | 2.45 |
| 3.29 | 1.66 | 2.48 |
| Acceleration Power (kW) | Constant-Speed Power (kW) | Deceleration Power (kW) |
|---|---|---|
| 2.00 | 0.950 | 1.52 |
| 1.99 | 0.929 | 1.53 |
| 2.00 | 0.909 | 1.54 |
| 2.01 | 0.931 | 1.54 |
| 2.08 | 0.946 | 1.55 |
| 1.99 | 0.938 | 1.58 |
| 2.01 | 0.917 | 1.56 |
| 1.99 | 0.936 | 1.47 |
| 1.98 | 0.929 | 1.44 |
| 2.00 | 0.931 | 1.51 |
| Acceleration Power (kW) | Constant-Speed Power (kW) | Deceleration Power (kW) |
|---|---|---|
| 2.30 | 5.70 | 2.00 |
| 2.11 | 5.29 | 2.45 |
| 2.03 | 5.31 | 2.26 |
| 2.05 | 5.35 | 2.44 |
| 2.04 | 5.3 | 2.38 |
| 2.11 | 5.37 | 2.41 |
| 2.06 | 5.32 | 2.32 |
| 2.07 | 5.52 | 2.17 |
| 2.11 | 5.47 | 2.21 |
| 2.12 | 5.38 | 2.11 |
| Acceleration Power (kW) | Constant-Speed Power (kW) | Deceleration Power (kW) |
|---|---|---|
| 0.941 | 1.28 | 0.931 |
| 0.970 | 1.24 | 0.899 |
| 0.918 | 1.22 | 0.924 |
| 0.927 | 1.26 | 0.894 |
| 0.909 | 1.21 | 0.900 |
| 0.915 | 1.18 | 0.870 |
| 0.953 | 1.25 | 0.910 |
| 0.918 | 1.20 | 0.889 |
| 0.930 | 1.19 | 0.898 |
| 0.900 | 1.22 | 0.907 |
| Acceleration Power (kW) | Constant-Speed Power (kW) | Deceleration Power (kW) |
|---|---|---|
| 0.948 | 1.53 | 0.914 |
| 0.924 | 1.56 | 0.894 |
| 0.930 | 1.51 | 0.89 |
| 0.923 | 1.55 | 0.889 |
| 0.922 | 1.46 | 0.918 |
| 0.915 | 1.54 | 0.873 |
| 0.926 | 1.48 | 0.936 |
| 0.940 | 1.51 | 0.899 |
| 0.941 | 1.53 | 0.897 |
| 0.920 | 1.47 | 0.894 |
| Acceleration Power (kW) | Constant-Speed Power (kW) | Deceleration Power (kW) |
|---|---|---|
| 1.97 | 4.90 | 2.43 |
| 1.95 | 4.84 | 2.38 |
| 1.95 | 4.77 | 2.42 |
| 1.98 | 4.81 | 2.42 |
| 1.97 | 4.88 | 2.46 |
| 1.97 | 4.96 | 2.46 |
| 1.92 | 4.85 | 2.43 |
| 1.97 | 4.92 | 2.47 |
| 2.02 | 4.91 | 2.44 |
| 1.98 | 5.03 | 2.44 |
| Acceleration Power (kW) | Constant-Speed Power (kW) | Deceleration Power (kW) |
|---|---|---|
| 1.84 | 0.878 | 1.46 |
| 1.87 | 0.878 | 1.46 |
| 1.83 | 0.867 | 1.47 |
| 1.83 | 0.858 | 1.48 |
| 1.80 | 0.856 | 1.47 |
| 1.82 | 0.857 | 1.48 |
| 1.83 | 0.861 | 1.49 |
| 1.85 | 0.865 | 1.48 |
| 1.84 | 0.856 | 1.47 |
| 1.83 | 0.858 | 1.46 |
| Acceleration Power (kW) | Constant-Speed Power (kW) | Deceleration Power (kW) |
|---|---|---|
| 2.39 | 1.31 | 2.00 |
| 2.35 | 1.32 | 2.20 |
| 2.42 | 1.36 | 2.15 |
| 2.38 | 1.29 | 2.06 |
| 2.46 | 1.33 | 1.94 |
| 2.32 | 1.30 | 1.99 |
| 2.48 | 1.28 | 2.06 |
| 2.45 | 1.25 | 1.92 |
| 2.36 | 1.29 | 1.96 |
| 2.40 | 1.26 | 1.98 |
| Acceleration Power (kW) | Constant-Speed Power (kW) | Deceleration Power (kW) |
|---|---|---|
| 2.38 | 6.02 | 2.68 |
| 2.45 | 5.94 | 2.75 |
| 2.40 | 5.90 | 2.70 |
| 2.38 | 5.87 | 2.66 |
| 2.47 | 5.79 | 2.52 |
| 2.30 | 5.92 | 2.70 |
| 2.48 | 5.91 | 2.49 |
| 2.40 | 5.87 | 2.55 |
| 2.37 | 5.84 | 2.52 |
| 2.42 | 5.97 | 2.47 |
| Acceleration Power (kW) | Constant-Speed Power (kW) | Deceleration Power (kW) |
|---|---|---|
| 1.25 | 1.50 | 1.22 |
| 1.31 | 1.68 | 1.24 |
| 1.31 | 1.65 | 1.28 |
| 1.26 | 1.62 | 1.16 |
| 1.22 | 1.71 | 1.18 |
| 1.34 | 1.63 | 1.19 |
| 1.18 | 1.52 | 1.23 |
| 1.19 | 1.58 | 1.12 |
| 1.22 | 1.57 | 1.16 |
| 1.22 | 1.60 | 1.26 |
| Acceleration Power (kW) | Constant-Speed Power (kW) | Deceleration Power (kW) |
|---|---|---|
| 1.12 | 1.85 | 1.12 |
| 1.09 | 1.81 | 1.11 |
| 1.16 | 1.87 | 1.15 |
| 1.18 | 1.80 | 1.07 |
| 1.20 | 1.85 | 1.09 |
| 1.16 | 1.73 | 1.10 |
| 1.14 | 1.78 | 1.12 |
| 1.15 | 1.75 | 1.14 |
| 1.17 | 1.86 | 1.07 |
| 1.17 | 1.78 | 1.08 |
| Acceleration Power (kW) | Constant-Speed Power (kW) | Deceleration Power (kW) |
|---|---|---|
| 2.33 | 5.29 | 2.72 |
| 2.24 | 5.25 | 2.78 |
| 2.26 | 5.12 | 2.74 |
| 2.12 | 5.24 | 2.86 |
| 2.20 | 5.19 | 2.81 |
| 2.32 | 5.32 | 2.71 |
| 2.19 | 5.19 | 2.58 |
| 2.06 | 5.08 | 2.64 |
| 2.11 | 5.18 | 2.62 |
| 2.16 | 5.21 | 2.59 |
| Acceleration Power (kW) | Constant-Speed Power (kW) | Deceleration Power (kW) |
|---|---|---|
| 2.22 | 1.06 | 1.77 |
| 2.24 | 1.02 | 1.79 |
| 2.28 | 1.11 | 1.81 |
| 2.19 | 1.04 | 1.75 |
| 2.16 | 0.99 | 1.73 |
| 2.12 | 0.96 | 1.75 |
| 2.23 | 1.04 | 1.65 |
| 2.25 | 0.97 | 1.69 |
| 2.29 | 0.94 | 1.66 |
| 2.18 | 1.02 | 1.71 |
| Ground | Time Ascent (s) | Time Descent (s) |
|---|---|---|
| 1st Floor | 8.60 | 8.35 |
| 2nd Floor | 11.13 | 10.65 |
| 3rd Floor | 15.20 | 13.65 |
| 4th Floor | 17.73 | 16.65 |
| 5th Floor | 21.03 | 19.65 |
| 6th Floor | 24.33 | 26.65 |
| Ground | Time Ascent (s) | Time Descent (s) |
|---|---|---|
| 1st Floor | 9.88 | 9.80 |
| 2nd Floor | 12.48 | 12.40 |
| 3rd Floor | 15.88 | 15.80 |
| 4th Floor | 19.28 | 19.20 |
| 5th Floor | 22.68 | 22.60 |
| 6th Floor | 26.08 | 26.00 |
| Energy Consumption (Wh) | With VVVF Inverter | Without VVVF Inverter |
|---|---|---|
| Scenario 1 | 5336 | 4957.90 |
| Scenario 2 | 5394 | 4992.30 |
| Load (Kg) | Total Area (m) | Efficiency Driving System |
|---|---|---|
| 0 Kg with VVVF during the ascent | 1.18 | 72.92% |
| 3.30 | 30.12% | |
| 1.33 | 96.56% | |
| 300 Kg with VVVF during the ascent | 1.18 | 30.19% |
| 3.30 | 48.24% | |
| 1.33 | 31.06% | |
| 615 Kg with VVVF during the ascent | 1.18 | 88.14% |
| 3.30 | 76.64% | |
| 1.33 | 71.91% | |
| 0 Kg with VVVF during the descent | 1.23 | 69.61% |
| 3.00 | 57.22% | |
| 1.30 | 63.51% | |
| 300 Kg with VVVF during the descent | 1.23 | 30.26% |
| 3.00 | 39.24% | |
| 1.30 | 30.91% | |
| 615 Kg with VVVF during the descent | 1.23 | 95.10% |
| 3.00 | 23.37% | |
| 1.30 | 84.74% | |
| 0 Kg without VVVF during the ascent | 1.05 | 64.37% |
| 3.74 | 38.31% | |
| 2.19 | 77.25% | |
| 300 Kg without VVVF during the ascent | 1.05 | 23.54% |
| 3.74 | 40.46% | |
| 2.19 | 24.52% | |
| 615 Kg without VVVF during the ascent | 1.05 | 83.60% |
| 3.74 | 77.81% | |
| 2.19 | 68.12% | |
| 0 Kg without VVVF during the descent | 1.30 | 76.64% |
| 3.74 | 57.51% | |
| 1.90 | 59.42% | |
| 300 Kg without VVVF during the descent | 1.30 | 25.59% |
| 3.74 | 35.97% | |
| 1.90 | 26.75% | |
| 615 Kg without VVVF during the descent | 1.30 | 83.60% |
| 3.74 | 63.69% | |
| 1.90 | 94.00% |
| Specific Consumption (mWh/mkg) | Category |
|---|---|
| ≤0.8 | A |
| ≤1.2 | B |
| ≤1.8 | C |
| ≤2.7 | D |
| ≤4.0 | E |
| ≤6.0 | F |
| >6.0 | G |
| Efficiency (W) | Category |
|---|---|
| ≤50 | A |
| ≤100 | B |
| ≤200 | C |
| ≤400 | D |
| ≤800 | E |
| ≤1600 | F |
| >1600 | G |
| Use Category | 1 | 2 | 3 | 4 |
|---|---|---|---|---|
| Intensity/Frequency of Use | Low/Rare | Middle/Occasionally | High/Often | Very high/Very Often |
| Average traffic time in hours per day | 0.5 (≤1) | 1.5 (>1–2) | 3 (>2–4.5) | 6 (>4.5) |
| Average waiting time in hours per day | 23.5 | 22.5 | 21.0 | 18.0 |
| Energy-Efficiency Category | Use Category | |||
|---|---|---|---|---|
| 1 | 2 | 3 | 4 | |
| A | ≤1.45 | ≤1.01 | ≤0.90 | ≤0.84 |
| B | ≤2.51 | ≤1.62 | ≤1.39 | ≤1.28 |
| C | ≤4.41 | ≤2.63 | ≤2.19 | ≤1.97 |
| D | ≤7.92 | ≤4.37 | ≤3.48 | ≤3.04 |
| E | ≤14.41 | ≤7.33 | ≤5.56 | ≤4.67 |
| F | ≤26.88 | ≤12.67 | ≤9.11 | ≤7.33 |
| G | >26.88 | >12.67 | >9.11 | >7.33 |
References
- Skrabulakova, E.F.; Ivanova, M.; Rosova, A.; Gresova, E.; Sofranko, M.; Ferencz, V. On Electromobility and the Calculation of the Infrastructural Country Electromobility Coefficient. Energies 2021, 9, 222. [Google Scholar] [CrossRef]
- Osama, M.; Abdul_Azim, O. Implementation and performance analysis of an elevator electric motor drive system. In Proceedings of the 2008 12th International Middle-East Power System Conference, Aswan, Egypt, 12–15 March 2008; pp. 114–118. [Google Scholar]
- Sahu, T.K.; Srivastava, S.; Kushwaha, V.; Aswani, G. Time Optimization of Elevator System using Microcontroller. In Proceedings of the 2020 2nd International Conference on Advances in Computing, Communication Control and Networking (ICACCCN), Greater Noida, India, 18–19 December 2020; pp. 469–471. [Google Scholar]
- Plangklang, B.; Kantawong, S.; Dangeanm, S.; Kumsuwan, Y. Elevator Energy Regenerative Unit (EERU) for energy saving in a Permanent Magnet Motor Elevator system. In Proceedings of the 2014 17th International Conference on Electrical Machines and Systems (ICEMS), Hangzhou, China, 22–25 October 2014; pp. 2120–2124. [Google Scholar]
- Lee, K.; Ahmed, S.; Lukic, S.M. Universal Restart Strategy for High-Inertia Scalar-Controlled PMSM Drives. IEEE Trans. Ind. Appl. 2016, 52, 4001–4009. [Google Scholar] [CrossRef]
- Khalid, M.; Mohan, A.; Binojkumar, A.C. Performance Analysis of Vectror controlled PMSM Drive modulated with Sinusoidal PWM and Space Vector PWM. In Proceedings of the 2020 IEEE International Power and Renewable Energy Conference, Karunagappally, India, 30 October–1 November 2020. [Google Scholar]
- Thu, M.M.; Naing, T.L. α-β Reference Frame Modeling and Implementation of VVVF Three-phase Inverter for Induction Motor Drive. In Proceedings of the 12th National Conference on Science and Engineering (NCSE) 2019, Mandalay, Myanmar, 21 June 2019; pp. 371–376. [Google Scholar]
- Ambhorkar, k.; Rana, A.K.; Tutakne, D.R. Enhancing Power Factor and Efficiency of Three Phase Induction Motor Drive using Single Main PWM Switch and Three Auxiliary Swithes. In Proceedings of the 2018 IEEE International Conference on Power Electronics, Drives and Energy Systems (PEDES), Chennai, India, 18–21 December 2018. [Google Scholar]
- El Shewy, H.M.; Abd Al Kader, F.E.; El Kholy, M.M.; El Shahat, A. Dynamic Model of Permanent Magnet Synchronous Motor Using MATLAB-Simulink. In Proceedings of the International Conference on Electrical Engineering, Cairo, Egypt, 27–29 May 2008; pp. 1–6. [Google Scholar]
- Basera, A.S.; Vora, D.R.; El Kholy, M.M. Variable frequency start of PMSM motor based on STM32f407. In Proceedings of the of 2018 2nd International Conference on Inventive Systems and Control (ICISC), Coimbatore, India, 19–20 January 2018; pp. 191–196. [Google Scholar]
- Wu, C.Z. Design of Electrical Control System Elevator Based on VVVF. In Proceedings of the 2015 International Conference on Computational Intelligence and Communication Networks (CICN), Jabalpur, India, 12–14 December 2015; pp. 1490–1492. [Google Scholar]
- Karakatsanis, T.S. Modeling of elevators as Driving systems. In Proceedings of the International Association of Elevator Engineering (IAEE), Thessaloniki, Greece, 11–13 June 2008. [Google Scholar]
- Bida, V.M.; Samakhvalov, D.V.; Al-Mahturi, F.S. PMSM vector control techniques-A survey. In Proceedings of the 2018 IEEE International Conference of Russian Young Researches in Electrical and Electronic Engineering (EIConRus), Moscow and St. Petersburg, Russia, 29 January–1 February 2018; pp. 577–581. [Google Scholar]
- Apte, A.; Walambe, R.; Joshi, V.; Rathod, K.; Kolhe, J. Simulation of a permanent magnet synchronous motor using Matlab-Simulink. In Proceedings of the 2014 Annual IEEE India Conference (INDICON), Pune, India, 11–13 December 2014. [Google Scholar]
- Petri, A.M.; Petreus, D. Vector Control of Permanent Magnet Synchronous Motor. In Proceedings of the 2020 IEEE 26th International Symposium for Design and Technology in Electronic Packaging (SIITME), Pitesti, Romania, 21–24 October 2020; pp. 390–393. [Google Scholar]
- Sakti, P.S.B.; Riyadi, S. Hardware Implementation of Simplified VVVF Inverter for Induction Motor Based on SVM. In Proceedings of the 2019 International Seminar on Application for Technology of Information and Communication (iSemantic), Semarang, Indonesia, 21–22 September 2019; pp. 487–491. [Google Scholar]
- Al-Sharif, L. Variable Speed Drives in Lift Systems. Elev. Word 2001, 49, 96–106. [Google Scholar]
- Pavlova, Y.V.; Grigorii, B.V. The synthesis of a control system of the active rectifier. In Proceedings of the 2018 IEEE Conference of Russian Young Researches in Electrical and Electronic Engineering (EIConRus), Moscow and St. Petersburg, Russia, 29 January 2018–1 February 2018; pp. 941–944. [Google Scholar]
- Othman, S.A.; Mohammed, J.A.K.; Mahel, F. Variable Speed Drives in Electric Elevator Systems: A Review. J. Phys. Conf. Ser. 2021, 1973, 012028. [Google Scholar] [CrossRef]
- Li, B.; Wang, C. Comparative analysis on PMSM control system based on SPWM and SVPWM. In Proceedings of the Chinese Control and Decision Conference (CCDC), Yinchuan, China, 28–30 May 2016; pp. 5071–5075. [Google Scholar]
- Pechlivanidou, M.S.C.; Kladas, A.G. Winding Structure Impact On High Speed Permanent Magnet Motor Efficiency. In Proceedings of the International Conference on Electrical Machines (ICEM), Valencia, Spain, 5–8 September 2022; pp. 2283–2289. [Google Scholar]
- Kutija, M.; Pravica, L.; Godec, D.; Erica, D. Regenerative Energy Potential of Roped Elevator System-A Case Study. In Proceedings of the 2021 IEEE 19th International Power Electronics and Motion Control Conference (PEMC), Gliwice, Poland, 25–20 April 2021. [Google Scholar]
- Erica, D.; Godec, D.; Kutija, M.; Pravica, L.; Pavlic, I. Analysis of Regenerative Cycles and Energy Efficiency of Regenerative Elevators. In Proceedings of the 2021 International Conference on Electrical Drives & Power Electronics (EDPE), Dubrovnik, Croatia, 22–24 September 2021; pp. 212–219. [Google Scholar]
- Rajy, N.I.; Islam, M.d.S.; Uddin, A.A. Sinusoidal PWM Signal Generation Technique for Three Phase Voltage Source Inverter with Analog Circuit & Simulation of PWM Inverter for Standalone Load & Micro-grid System. Int. J. Renew. Energy Res. 2013, 3, 647–658. [Google Scholar]
- Al-Kodmany, K. Tall Buildings and Elevators: A Review of Recent Technological Advances. Buildings 2015, 5, 1070–1104. [Google Scholar] [CrossRef]
- Lin, K.Y.; Lian, K.Y. Actual measurement on regenerative elevator drive and energy saving benefits. In Proceedings of the International Automatic Control Conference (CACS), Pingtung, Taiwan, 12–15 November 2017. [Google Scholar]
- Pham, T.H.; Prodan, I.; Genon-Catalot, D.; Lefevre, L. Efficient energy management for an elevator system under a constrained optimization framework. In Proceedings of the 2015 9th International Conference on System Theory, Control and Computing (ICSTCC), Cheile Gradistei, Romania, 14–16 October 2015; pp. 613–618. [Google Scholar]
- Ronquillo, D.G.D.; Dadios, E.P. Solar-powered lifting mechanism for handpump systems. In Proceedings of the International Conference on Humanoid, Nanotechnology, Information Technology, Communication and Control, Environment and Management (HNICEM), Palawan, Philippines, 12–16 November 2014. [Google Scholar]
- Manic, M.; Wijayasekara, D.; Amarasinghe, K.; Rodriguez-Andina, J.J. Building Energy Management Systems: The Age of Intelligent and Adaptive Buildings. IEEE Ind. Electr. Mag. 2016, 10, 25–39. [Google Scholar] [CrossRef]
- Kermani, M.; Shirdare, E.; Abbasi, S.; Parise, G.; Martirano, L. Elevator Regenerative Energy Applications with Ultracapacitor and Battery Energy Storage Systems in Complex Buildings. Energies 2021, 14, 3259. [Google Scholar] [CrossRef]
- Pham, T.H.; Lefevre, L.; Genon-Catalot, D.; Pham, V.T. An energy-based control model for autonomous lift. In Proceedings of the IECON 2014—40th Annual Conference of the IEEE Industrial Electronics Society, Dallas, TX, USA, 29 October–1 November 2014; pp. 4286–4292. [Google Scholar]
- Sirsi, R.; Kamath, D. Energy Efficient Elevators and Technologies: An Overview. In Proceedings of the 2017 14th IEEE India Council International Conference (INDICON), Roorkee, India, 15–17 December 2017. [Google Scholar]























| Types of Controllers | Symbols | Equations |
|---|---|---|
| Current along d-axis (P) | ||
| Current along d-axis (I) | ||
| Current along q-axis (P) | ||
| Current along q-axis (I) | ||
| Current controller bandwidth | ≤0.04 | |
| Analog speed controller gain (P) | J | |
| Integral speed controller gain (I) | B | |
| Speed controller bandwidth | ≤0.1 |
| Parameters | Symbol | Values |
|---|---|---|
| Rated Load | Q | 630 kg |
| Weight Chamber | P | 675 kg |
| Counterweight | CW | 990 kg |
| Rated Speed | U | 1 m/s |
| Route | R | 5.2 m |
| Electrical Motor | Gearless PMSM | 7.2 kW |
| Nominal Current | 12.24 A | |
| DC Link Voltage | 380 V | |
| Poles | P | 16 |
| Switching Frequency Inverter | 5 kHz | |
| Inertia | J | 0.0008 kg m2 |
| Inductance | , | 0.00095 H |
| Stator Resistance | 0.085 Ω | |
| Nominal Torque | 458.59 Nm | |
| Flux Linkage | 0.192 Wb | |
| Frequency | f | 20 Hz |
| Rated Speed | N | 150 rpm |
| Parameters | Symbol | Values |
|---|---|---|
| Rated Load | Q | 630 kg |
| Weight Chamber | p | 630 kg |
| Counterweight | CW | 990 kg |
| Rated Speed | U | 1 m/s |
| Route | R | 6.1 m |
| Gear Ratio | K | 1:9 |
| Electrical Motor | Geared IM | 7.3 kW |
| Nominal Current | 12.41 A | |
| Stator Inductance | 0.6780 H | |
| Rotor Inductance | 0.6780 H | |
| Mutual Inductance | 0.6722 H | |
| Poles | P | 16 |
| Rotor Resistance | 1.3950 Ω | |
| Stator Resistance | 1.4050 Ω | |
| Inertia | J | 0.04 kg m2 |
| Frequency | f | 50 Hz |
| Rated Voltage | V | 230/380 Volt |
| Rated Speed | N | 375 Rpm |
Disclaimer/Publisher’s Note: The statements, opinions and data contained in all publications are solely those of the individual author(s) and contributor(s) and not of MDPI and/or the editor(s). MDPI and/or the editor(s) disclaim responsibility for any injury to people or property resulting from any ideas, methods, instructions or products referred to in the content. |
© 2023 by the authors. Licensee MDPI, Basel, Switzerland. This article is an open access article distributed under the terms and conditions of the Creative Commons Attribution (CC BY) license (https://creativecommons.org/licenses/by/4.0/).
Share and Cite
Vlachou, V.I.; Karakatsanis, T.S.; Kladas, A.G. Energy Savings in Elevators by Using a Particular Permanent-Magnet Motor Drive. Energies 2023, 16, 4716. https://doi.org/10.3390/en16124716
Vlachou VI, Karakatsanis TS, Kladas AG. Energy Savings in Elevators by Using a Particular Permanent-Magnet Motor Drive. Energies. 2023; 16(12):4716. https://doi.org/10.3390/en16124716
Chicago/Turabian StyleVlachou, Vasileios I., Theoklitos S. Karakatsanis, and Antonios G. Kladas. 2023. "Energy Savings in Elevators by Using a Particular Permanent-Magnet Motor Drive" Energies 16, no. 12: 4716. https://doi.org/10.3390/en16124716
APA StyleVlachou, V. I., Karakatsanis, T. S., & Kladas, A. G. (2023). Energy Savings in Elevators by Using a Particular Permanent-Magnet Motor Drive. Energies, 16(12), 4716. https://doi.org/10.3390/en16124716
