Abstract
The use of electric vehicles (EVs) for household uninterruptible power supplies (UPSs), particularly in rural areas, can greatly improve household power reliability. However, because EVs are mobile, the evaluation of backup capacity for EV-UPS systems is completely different when compared to traditional UPSs. As a result, the focus of this paper is on the evaluation and improvement of backup capacity for EV-UPS systems. The architectures for EV-UPS systems are presented first. The methodology for calculating backup capacity for EV-UPS systems is then presented, followed by four detailed cases based on different grid failure times. Furthermore, the impact of system operating parameters on backup capacity, such as different load power, EV mobility pattern parameters, and grid outage durations, is investigated. The results of backup capacity in cases of different operating parameters are detailed using an EV mobility model. An improved strategy for increasing backup capacity is proposed, in which more backup energy can be released during a power outage. Meanwhile, the next trip requirement is unaffected. The backup capacity with the improved strategy is then calculated and compared to the results with the traditional strategy. Finally, a 5 kW EV-UPS experimental platform is constructed, and the experimental results are presented to validate the proposed method.
1. Introduction
Greenhouse gas emissions and global warming currently pose a serious threat to our environment. It is widely acknowledged that using electricity instead of gasoline to power transportation can significantly reduce greenhouse gas emissions and combat climate change [1]. As a result, the development of electric vehicles is becoming a global trend. Furthermore, EVs with bidirectional capabilities can serve multiple functions in smart power systems [2]. Bidirectional EV systems are currently available in three configurations: vehicle to home (V2H), vehicle to vehicle (V2V), and vehicle to grid (V2G) [3].
Power flows between EVs and homes in V2H applications. The system configuration is relatively simple and straightforward in practice. In [4], EVs are used as energy storage to smooth household loads in V2H applications, particularly when renewables are used. In addition, to optimize home power consumption with EVs, optimal centralized scheduling has been proposed [5]. Furthermore, Nissan proposed the scenario of building smart homes using “LEAF to Home” systems. Reference [6] extends bidirectional EV systems to function as UPSs to improve household power reliability. It is well known that current household power is not as reliable as expected, particularly in remote areas. Using British Columbia as an example, the average number of power outages in the province is two per year, with each outage lasting an average of three hours [7]. Furthermore, in rural areas, these figures are even worse. In Valemount, British Columbia, for example, power outages occur eight times per year and last an average of 4.5 h. As a result, by using EVs as UPSs for households, particularly in rural areas, the reliability of household power can be greatly improved. Furthermore, when EVs are parked at home, the stored energy can be fully utilized in EV-UPS systems. EVs also have a much faster response time and lower operating costs when compared to home backup generators [8]. As a result of these benefits, EV-UPS systems have gained a lot of attention from researchers and industries.
Traditionally, UPS architectures are classified into three types: online, offline, and line-interactive [9]. Among the three configurations, the offline structure is suitable for household EV-UPS systems due to its simple design, low cost, and high density. As a result, offline EV-UPS system architectures have been investigated, and numerous on-board and off-board bidirectional topologies have been proposed. The two-stage architecture, consisting of a front-end ac/dc followed by an isolated dc/dc, is typically chosen for on-board bidirectional converters [10]. Interleaved boost, bridgeless/dual boost, and bridgeless interleaved boost are some of the popular front-end ac/dc converters [10]. The typical topologies for isolated dc/dc converters include full-bridge LLC resonant converters, interleaved ZVS FB converters with voltage doublers, and zero-voltage switching (ZVS) FB converters with capacitive output filters [10,11].
Another area of study for researchers is the operating modes and transition between different modes for offline EV-UPS systems. Reference [6] details two cases for the transition to backup mode, which are the EV only plugged in at home and the EV plugged in and also charging. The results, however, are only verified with linear loads, which is deemed unrealistic. As a result, [12] includes a more detailed analysis and experimental validation for nonlinear electrical appliances. A fast grid failure detection with bidirectional converters is critical during the transition. Reference [12] examines and compares two grid failure detection algorithms: rms voltage calculation for half-cycle grid and rms voltage estimation using a Kalman filter. A sliding window rms calculation is typically used for grid failure detection in order to reduce detection time [13].
The significant difference between EV-UPS systems and traditional UPSs is that the EV battery is mobile, and the system can only back up the grid when the EV is plugged in [8]. Furthermore, when the grid fails, the EV battery is not always full, and the stored energy is dependent on the EV mobility pattern and charging scheduling. As a result, the backup capacity of EV-UPS systems differs significantly from that of traditional UPSs. However, there have been few papers that discuss how to evaluate backup capacity for EV-UPS systems. There are two important criteria for evaluating backup capacity in UPS systems: (1) the backup energy that UPSs can provide, and (2) the backup time that UPSs can cover [13]. These two criteria are closely related in EV-UPS systems to the EV mobility pattern and charging scheduling. It is difficult to precisely model driving habits and battery state of charge (SOC) for EV mobility. Most existing studies predict EV availability using historical data and model EV behavior as an arrival and departure process. The Gaussian distribution, Poisson process, and Markov chain [14] are used to model the arrival and departure time. Furthermore, the EVs have varying SOCs, which are also modeled as normal or lognormal distributions. Numerous strategies for EV charging scheduling have been proposed, which basically fall into three categories [15]. The first category is from the perspective of the grid, and the optimization goals include minimizing power variances, minimizing power losses, and maximizing grid reliability. The second category is from the perspective of users, and the optimization objectives include minimizing charging costs, increasing EV average SOCs, and increasing user convenience [16]. Furthermore, a few papers [15] jointly optimize the benefits of both grid-side and EV-side benefits. A variety of smart charging/discharging algorithms, such as convex optimization, linear programming, game theory, swarm particle optimization, and heuristic methods, are proposed to implement these functions. Reference [17] proposes a methodology for managing smart home appliances alongside EVs, taking into account demand rebound and consumer convenience indices, in order to reduce network stress, congestion, and demand rebound. Reference [18] develops a model to forecast maximum demand based on the increasing penetration of EV consumers. Reference [19] proposes a frequency regulation strategy with support for electric vehicles based on a novel fuzzy-based dual-stage controller and a modified dragonfly algorithm.
In general, no papers have been reported to develop strategies to improve backup performance for EV-UPS systems. As a result, the purpose of this paper is to evaluate and improve the backup capacity of household EV-UPS systems. The main contributions of this paper are listed below.
- (1)
- Based on the EV mobility pattern, a methodology for calculating backup capacity for EV-UPS systems is proposed.
- (2)
- The effect of system operating parameters on backup capacity for EV-UPS systems is thoroughly examined. Load power, EV mobility pattern parameters, and grid outage duration are among the operating parameters.
- (3)
- An improved strategy is proposed to maximize backup capacity while maintaining the need for next-day trips.
2. EV-UPS Architecture
2.1. Single-EV UPS Architecture
Figure 1a depicts the original household architecture, with the load supplied by the grid. Refrigerators, air conditioners, lights, cooking stoves, washers and dryers, and other major appliances are included. If there is only one EV, the simplest architecture for the EV-UPS system is as shown in Figure 1b, which includes a bi-dc/ac converter.
Figure 1.
Single-EV UPS architecture: (a) Original household architecture; (b) Single-EV UPS architecture.
The EV-UPS system has three operating modes, as illustrated in Figure 2. The EV-UPS system differs significantly from traditional UPS systems in that it is mobile. The EV cannot charge or discharge itself when it is traveling and not at home (see Figure 2a). When the EV is plugged in and the grid is normal, it can be charged using the bi-dc/ac converter, as illustrated in Figure 2b. In the event that the grid fails, the EV discharges power to supply the load, as shown in Figure 2c.
Figure 2.
Three operating modes: (a) EV not at home; (b) EV charging; (c) EV discharging when the grid fails.
2.2. Multiple-EV UPS Architecture
The number of EVs in a large household or apartment complex is usually greater than one. Figure 3 depicts two different types of multiple-EV UPS architectures. To achieve modular design, all EV connections to the grid or to the load must be the same. There are no dc-buses in this architecture, and each EV is connected to the grid via a bi-dc/ac converter, as shown in Figure 3a. A dc-bus is added in Figure 3b, and each EV is connected to it via a bi-dc/dc converter. The dc-bus is then linked to the grid via a dc/ac inverter. However, the dc/ac inverter’s reliability is critical. If the dc/ac inverter fails, neither EV will be able to charge or discharge.
Figure 3.
Multiple-EV UPS architectures: (a) Architecture 1; (b) Architecture 2.
The sections that follow will concentrate on EV-UPS backup capacity evaluation. The calculation will be demonstrated using a single household EV UPS system, but the concept can also be applied to multiple-EV UPS systems.
3. Backup Capacity Calculation
The most important backup criteria in UPS systems are (1) the backup energy that UPSs can provide and (2) the backup time that UPSs can cover. The evaluation of these two criteria for EV-UPS systems, however, differs because the EV-UPS systems have different features.
- (1)
- The EV-UPS system’s battery is mobile, and the system can only support the grid when the EV is plugged in.
- (2)
- When the grid fails, the EV battery is not always full, and the stored energy is dependent on the EV mobility pattern and charging scheduling.
Using a single household EV system as an example, Figure 4 depicts a typical EV mobility pattern in which the EV is only connected to the grid during home charging (after tHA and before tHD). The following will calculate the backup energy and backup time that the EV-UPS system can provide based on the EV mobility pattern.
Figure 4.
EV daily mobility pattern.
The backup energy EBU and backup time TBU that the EV-UPS can provide vary depending on the grid failure time. Figure 5 depicts four cases based on different grid failure times tf. The duration of the grid’s outage is assumed here as TD.
Figure 5.
Four cases for backup capacity calculation.
3.1. Case A (tf < tHA−TD)
In Case A, the EV is disconnected from the grid for the duration of TD after the grid fails. As a result, the EV battery’s stored energy cannot be discharged to the grid. Both the backup energy EBU and backup time TBU are zero.
3.2. Case C (tHA ≤ tf ≤ tHD−TD)
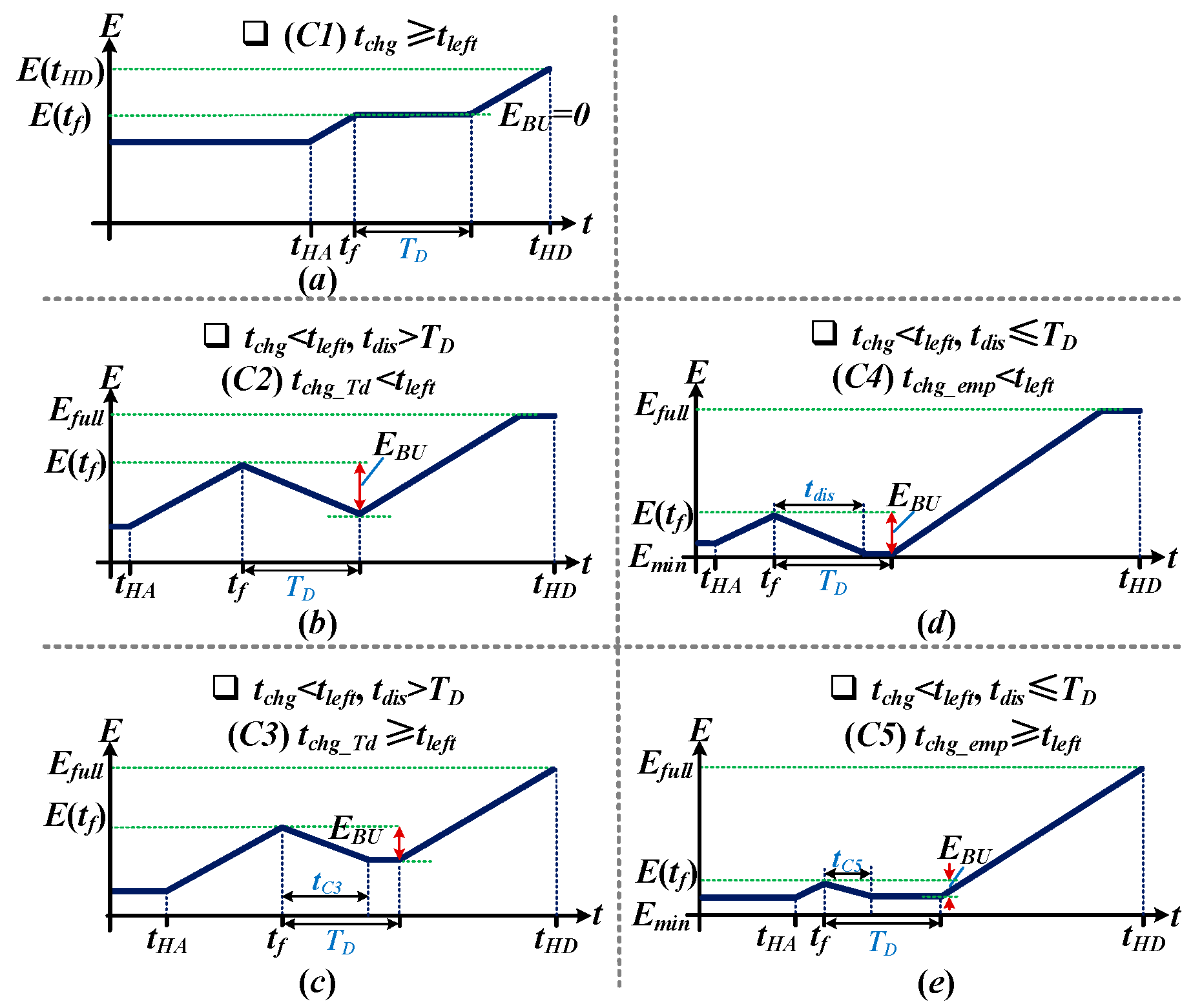
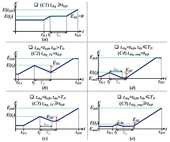
Cases B and D are special cases of Case C, which is examined first. Five parameters are first defined in Figure 6 to describe various situations in Case C. Figure 6 shows the charging time tchg which is from the energy E(tf) to the fully charged EV. tdis is the time required to discharge the energy E(tf) to the allowed minimum energy Emin. The EV charging time from the minimum charge to the full charge is represented by tchg_emp. If the energy E(tf) can withstand a continuous discharging of TD, the charging time to fully charge the EV after this discharging is tchg_Td. The remaining time to tHD after TD is denoted by tleft. It is worth noting that the discharging rate is not constant in practice, and changes in real time.
Figure 6.
Symbol description for Case C.
The values of the five above parameters are calculated for various grid failing times tf. Then, using the relationship between these five parameters, five subcases for Case C are obtained, as shown in Figure 7.
Figure 7.
Five subcases for Case C: (a) Case C1; (b) Case C2; (c) Case C3; (d) Case C4; (e) Case C5.
Here, two assumptions are made.
- (1)
- The EV battery should be fully charged before departure to ensure the daily trip requirement. This strategy is commonly used in practice and is known as the full charge before departure (FCBD) strategy in this context.
- (2)
- During the power outage, the EV cannot be charged.
In Case C1, tchg is greater than tleft. This means that the EV cannot discharge energy during the power outage period TD in order to seek full charge before departure. As a result, as shown in (2), the backup energy EBU is zero in this case. In contrast, tchg is less than tleft in other cases (C2~C5). This means that in Cases C2~C5, the EV can discharge energy during TD.
In Cases C2 and C3, tdis is greater than TD, indicating that the EV has enough energy to discharge for a period of TD. In Case C2, tchg_Td is less than tleft, indicating that there is still enough time for the EV to be fully charged before departure after discharging for the duration of TD. As a result, the EV can discharge continuously throughout the TD. In Case C2, the backup energy EBU and backup time TBU are expressed as shown in (3).
where Pdis is the discharging power of the EV battery, PL is the load power, and ηdis is the discharging efficiency.
In Case C3, tchg_Td is greater than tleft. This means that if the discharging lasts the duration of TD, the EV battery will not be fully charged before departure. As a result, the EV is only permitted to discharge for a portion of the TD. Figure 7c shows the backup energy EBU and backup time TBU in Case C3 in (4).
where Pchg is the EV charging power.
In Cases C4 and C5, tdis is less than TD, implying that the energy stored in the EV can be fully discharged during TD. In Case C4, tchg_emp is less than tleft, indicating that there is sufficient time for the EV battery to be fully charged after being fully discharged during TD. As a result, the stored energy can be fully released. The associated backup energy EBU and backup time TBU are shown in (5).
where Emin is the allowed minimum energy, which is normally set by EV manufacturers.
In Case C5, tchg_emp is greater than tleft, which indicates that there is insufficient time for the EV battery to be fully charged after being fully discharged during TD. As a result, the EV is only permitted to discharge a portion of the stored energy. The backup energy EBU and backup time TBU for Case C5 are shown in (6) based on Figure 7e.
The expression of EBU for Case C is shown in (7) by combining (1)–(6). Similarly, the TBU expression for Case C can be obtained.
3.3. Case B (tHA−TD ≤ tf < tHA)
Case B is a subset of Case C. As shown in Figure 5, the EV in Case B is not connected to the grid until the time of tHA, which is unlikely in Case C. As a result, the starting time for providing backup power in Case B is tHA rather than tf. Using the same method as in Case C, redefine the parameters in Figure 6, as shown in Figure 8.
Figure 8.
Symbol description for Case B.
Recalculate these five parameters to obtain five subcases for Case B. Equation (8) expresses the corresponding expression for EBU in Case B. The expression for TBU can be obtained in the same way.
3.4. Case D (tHD−TD < tf ≤ tHD)
Case D is also a subset of Case C. The duration from the grid failure to the EV departure is less than TD in this case, as shown in Figure 5, indicating that the power outage lasts until the EV departure. In order to fully charge before departure, the EV cannot discharge backup energy (see Figure 9). As a result, as shown in (9), EBU and TBU are both zero.
Figure 9.
Case D.
As a result, the backup energy EBU and backup time TBU can be calculated for various scenarios. Another criterion, the load downtime percentage , is also introduced here. The load downtime percentage over the grid outage duration can be calculated using the backup time TBU, as described in (10). The downtime percentage of the load can be reduced by increasing the backup time TBU from (10). The downtime percentage can also indicate load reliability.
4. Impact of System Parameters on Backup Capacity
Based on the previous section, this section will present case studies and calculate the backup energy and backup time, as well as the load downtime percentages, for various grid failure times. As mentioned in the previous section, these backup performance criteria (, , and ) are closely related to a number of system operating parameters: (1) load power PL, (2) EV travel pattern parameters (e.g., tHD, tHA, and E(tHA)), and (3) grid outage duration TD. As a result, the impact of these parameters will be examined as well. The following is the methodology used in this case. To begin, obtain system parameters such as charging power Pchg, discharging power Pdis, travel distance L, home departure time tHD, home arrival time tHA, and power outage duration TD. Then, determine which case with these parameters is located, and the detailed analysis is provided in Section 2. The backup energy EBU and backup time TBU can then be calculated using the equations in Section 2 for various cases. Finally, with (10), the load downtime percentage is calculated.
4.1. Constant Maximum Load
To begin, the load is assumed to be constant. Table 1 shows the parameters for the case study assuming that the load is the maximum power of the EV-UPS system.
Table 1.
System parameters.
Given an EV battery energy consumption rate of 40 kWh per 150 miles, the EV remaining energy when returning home is as shown in (11).
where L is the traveling distance.
Obtain the system parameters at the time of the grid failure for various grid failure times. Then, determine which case the system is in and apply the parameters to the corresponding expression to obtain the backup energy (EBU) and backup time (TBU).
The case study results are shown in Figure 10 based on Table 1 and the analysis in Section 2. According to Figure 10a, the EV-UPS is often used in Case C, where the backup energy can reach 6.6 kWh, when the grid fails during the home charging time (after tHA and before tHD). The associated backup time can reach an hour according to Figure 10b. As a result, the EV-UPS can completely cover the grid loss and reduce the load downtime to zero, as shown in Figure 10c. Additionally, Figure 10a shows that the EV-UPS is primarily in Case A when the grid fails during non-charging time, and the backup energy and backup time are both zero. Therefore, as illustrated in Figure 10c, the load downtime percentage can reach 100%.
Figure 10.
Results of EBU, , and for the case study: (a) Backup energy EBU; (b) Backup time ; (c) Load downtime percentage .
4.1.1. Uncertainty of Daily Traveling Parameters
The EV traveling parameters (e.g., tHD, tHA, and E(tHA)) are fixed in the preceding case study. A Monte Carlo simulation is performed to account for the uncertainty of the daily travel parameters. The average daily trip distance is assumed to be a lognormal distribution with a standard deviation of 0.5. Equation (12) depicts the relevant probability density distribution.
where = 3.22 and = 0.5.
The EV home arrival time and home departure time are assumed to be normal distributions, and the related probability density functions are illustrated in (13) and (14), where is 3.4 and is 3.24.
where = 18, 8, = 3.4, and = 3.24.
Figure 11.
Probability density functions: (a) fL; (b) fHD; (c) fHA.
The Monte Carlo simulation is run for 10,000 times. The expected backup energy (), expected backup time (), and expected load downtime percentage () for these ten thousand tests can then be computed using (15).
where and are the backup energy and time for the ith time of the Monte Carlo simulation, respectively; N denotes the number of tests.
Figure 12 shows the findings of and for the case study. According to Figure 12, when the grid fails during the day, the backup period that the EV-UPS can provide is quite short, resulting in a higher proportion of load downtime. The main reason for this is that the likelihood of the EV being connected to the grid is low throughout the day. When the grid fails during the night, the probability of EVs connected to the grid is greater, resulting in longer backup time and a lower percentage of load downtime. The proportion of load outage can be brought below 20%, particularly if the grid breakdown happens between 00:00 and 04:00. Thus, the EV-UPS system can significantly improve load dependability.
Figure 12.
Results of and for the Monte Carlo simulation: (a) Expected backup time ; (b) Expected load downtime percentage .
4.1.2. Different Grid Outage Duration TD
In the analysis above, the grid outage length TD is fixed as one hour. Figure 13 shows the outcomes using the same methodology for various grid outage lengths. According to Figure 13a, the backup time () normally increases as the grid outage length increases. In contrast, if TD exceeds 5 h and the grid failure occurs at night (i.e., after 18:00), the backup duration actually reduces as TD rises. An electric vehicle (EV) will not have enough time to recharge after discharging to support the grid if the duration of the power loss is too long. As a result, to ensure full charge before departure, the EV-UPS chooses to provide less backup energy to the grid, resulting in a decrease in backup time, as shown in Figure 13a. According to Figure 13b, the load downtime percentage increases as the TD increases, resulting in lower load reliability. Especially if the TD is 8 h, the load downtime percentage is greater than 60%, implying that the load downtime lasts longer than 4.8 h.
Figure 13.
and for different power outage durations: (a) Expected backup time .
The results of for various TD can also be plotted in 3D, as shown in Figure 14. The color in the figure represents the value of . According to the graph, as TD increases, so does the range of the red area. This means that as TD increases, so does the percentage of load downtime. When TD is low, the blue area’s range is relatively large, indicating that the corresponding load downtime percentage is low and load reliability is high. Furthermore, the red area is closer to the center of the tf-axis, indicating that the load downtime percentage is higher if the grid failure occurs during the day.
Figure 14.
for different power outage durations.
4.2. Variable Load Condition
Figure 15 depicts a daily typical household load with varying values for load power over time. Refrigeration, heating and cooling, lighting, cooking, and washing and drying are the most common types of appliances. It should also be noted that the load power after work is relatively high, especially between 18:00 and 22:00. It is worth noting that the peculiarities of a particular household’s consumption cyclogram are not taken into account.
Figure 15.
Typical household load.
The results of and for the typical household load in Figure 15 are obtained using the same method as for the constant load conditions, and are shown in Figure 16. It is worth noting that the grid failure duration is set to one hour. According to Figure 16, when the grid fails during the day, the backup time and energy are both relatively low. When the grid fails during the night, the backup time and energy are relatively long. The backup energy is highest between 18:00 and 22:00, because the load power is high during this time period.
Figure 16.
Results of and for typical household load.
Figure 17 displays the results of for various grid outage durations TD. The color in the graph represents the value of . Figure 17 shows that as the grid outage duration TD increases, the color begins to turn yellow, indicating that the backup time increases. Moreover, when the grid fails during the day, the blue color appears more frequently, indicating that the corresponding backup time is short.
Figure 17.
Results of backup time .
The results of for various TD can also be plotted in 3D, as shown in Figure 18. The color in the figure represents the value of . According to the graph, as TD increases, so does the range of the red area. This means that as TD increases, so does the percentage of load downtime. When TD is low, the blue area’s range is relatively large, indicating that the corresponding load downtime is low and the load reliability is high.
Figure 18.
Results of load downtime percentage .
Figure 18 shows that the red area remains large, and thus, the load downtime percentage remains high. An improvement strategy is investigated in the following section to further reduce load downtime and increase load reliability.
5. Improvement of Backup Capacity
5.1. Concept of the Improved Strategy
Figure 19a depicts the previous FCBD strategy concept. According to the above analysis, backup capability is relatively low. The main reason is that EVs attempt to be fully charged before departure, limiting the amount of backup energy available. Another disadvantage of the previous strategy is that the duration of the grid outage must be known in advance in order to implement the algorithm. However, the length of a grid outage is difficult to predict in practice.

Figure 19.
Proposed strategy: (a) Previous strategy; (b) Proposed strategy; (c) Load power reduction during grid outage.
As a result, an improved strategy is proposed in Figure 19b. Even when the grid is normal, EVs try to be fully charged before leaving. During the duration of the grid outage, however, the battery energy requirement is modified to maintain only above the minimum energy Emin plus the next trip energy requirement Etrip. More energy can thus be released during the power outage. Furthermore, the next trip will be unaffected. It should be noted that the value of Etrip can utilize the data from the previous trip. Another advantage of this strategy is that the duration of the grid outage is not required by the algorithm.
Furthermore, the load can be reduced during the duration of the grid outage, as shown in Figure 19c, by only powering the essentials, such as cooking, lighting, and heating and cooling. As a result, during the grid outage, power cannot be used for washing and drying or refrigeration. This way, backup capacity can be increased even further. Here is a solution for implementation. When the power outage occurs, the control system can automatically turn off the power for the washing, drying, and refrigeration. During a grid outage, power is cut off for washing and drying as well as refrigeration. When the grid recovers, the control system can automatically activate the power breaker for the washing and drying and refrigeration systems.
The block scheme for both strategies is presented in Figure 20.
Figure 20.
Block scheme for the previous strategy and proposed strategy: (a) Previous strategy; (b) Proposed strategy.
5.2. Backup Capacity Calculation
The backup capacity using the improved strategy can be calculated using the same method as in Section 2. Similarly, four cases are presented based on various grid failure times tf (see Figure 5). Using Case C as an example, three subcases can be obtained, as shown in Figure 21.
Figure 21.
Three subcases for Case C: (a) Case C1; (b) Case C2; (c) Case C3.
In Case C1, E(tf) is less than Emin plus Etrip. Therefore, the EV cannot release the backup energy. EBU and TBU are both zero in this case, as shown in (16).
In Cases C2 and C3, E(tf) equals Emin plus Etrip, allowing the stored energy to be released for backup. In Case C2, the stored energy cannot last the entire duration of TD. As a result, the EV energy reaches its limit in the middle of the TD. In (17), the backup energy EBU and backup time tBU in Case C2 are as shown in Figure 21b.
In Case C3, the stored energy can last the entire duration of TD. As a result, the EV can discharge continuously throughout the TD. In Case C3, the backup energy EBU and backup time TBU are expressed as shown in (18).
The backup energy EBU and backup time TBU for other cases can be calculated using the same method, which will not be discussed further here.
5.3. Backup Capacity Results
Figure 22 shows the results of the backup time () using the previous strategy and the improved strategy, with the grid failure duration set to 8 h. Figure 22 shows that the improved strategy significantly increases backup time. With the improved strategy, backup time can be increased by two hours when the grid fails during the night. However, if the grid fails during the day, the backup time is nearly identical to that of the old strategy.
Figure 22.
Results of with two different strategies.
Figure 23 depicts the results of for various TD after using the improved strategy. The color in the figure represents the value of . When compared to the previous strategy’s results (see Figure 18), the red area is reduced to yellow. This means that the improved strategy reduces load downtime by approximately 20%. In addition, the improved strategy expands the blue area. As a result of the improved strategy, load downtime is reduced and load reliability is increased.
Figure 23.
Results of with the improved strategies.
6. Experimental Verifications
The setup for a 5 kW EV-UPS experimental platform is shown in Figure 24a, where the battery is used to simulate the EV. Figure 24b depicts the system’s topology as well. Every five minutes, the system’s data are sent to users via Ethernet cable.
Figure 24.
Experimental platform: (a) Experimental setup; (b) Topology.
The parameters of the system are presented in Table 2.
Table 2.
Parameters of the system.
In the first case, the grid outage lasts three hours. Furthermore, the grid failure is assumed to begin at 05:00 and last until the departure at 08:00. Figure 25 and Figure 26 show the experimental results after using the old strategy and the improved strategy, respectively. It is worth noting that the data are collected every 5 min and then plotted using MATLAB. According to the data, when the EV arrives home at 18:00 h, the battery begins to charge itself, and the battery is fully charged before the grid goes down. If the old strategy is used (see Figure 25), the battery will be unable to discharge energy in order to ensure full charge before departure. As a result, the backup time is 0 and the load downtime percentage is 100%. If the improved strategy is used, the battery can discharge energy to support the load after the grid fails, and the discharging time can be extended to three hours. As a result, the duration of the grid outage can be fully covered, and the load downtime percentage is 0%. Furthermore, before departure, the battery SOC is 0.65. As a result, the trip requirement can also be met.
Figure 25.
Results using the old strategy (Case 1).
Figure 26.
Results using the improved strategy (Case 1).
The grid outage duration is set to 5 h in the second case. It is assumed that the grid failure begins at 02:30 and ends at 07:30. Figure 27 and Figure 28 show the experimental results after using the old strategy and the improved strategy, respectively. According to the data, when the EV arrives home at 18:00 h, the battery begins to charge itself, and the battery is fully charged before the grid goes down. The battery can discharge and support the load for 2.5 h if the old strategy is used (see Figure 27). The full charge can thus be guaranteed prior to departure. As a result, the backup time is 2.5 h and the load downtime is 50%. If the improved strategy is used, the charging time can be increased to five hours. As a result, the duration of the grid outage can be fully covered, and the load downtime percentage is 0%. Moreover, before departure, the battery SOC is 0.65, and the trip requirement can be met.
Figure 27.
Results using the old strategy (Case 2).
Figure 28.
Results using the improved strategy (Case 2).
Figure 29 depicts the backup time results for the two preceding cases. It can be seen that the improved strategy significantly increases backup time.
Figure 29.
Results of the backup time for the above two cases.
7. Conclusions
The use of EVs as UPSs for households, particularly in rural areas, can greatly improve the reliability of household power. The UPS architectures for single and multiple EVs are presented first. The methodology for calculating backup capacity for EV-UPS systems is then presented based on the EV mobility pattern, and four cases based on different grid failure times are detailed. According to the calculations, if the grid fails during charging, the EV-UPS can completely cover the outage. A Monte Carlo simulation is also run to account for the uncertainty of the daily travel parameters. The duration of the power outage is also considered. The percentage of load downtime increases with the duration of the power outage, resulting in lower load reliability. An improved strategy is proposed to increase backup capacity even further. The battery energy requirement is changed during the grid outage to maintain only above the minimum energy Emin plus the next trip energy requirement Etrip. More energy can thus be released during the power outage. Furthermore, the next trip will be unaffected. Furthermore, during a grid outage, the load can be reduced by only using power for the essentials. In the case study, the improved strategy can increase backup time by two hours. Finally, a 5 kW EV-UPS testing platform is constructed. The experimental results show that the improved strategy significantly improves backup time.
Author Contributions
Conceptualization, Y.W.; Methodology, W.Z.; Software, P.X.; Validation, B.L.; Supervision, D.L. All authors have read and agreed to the published version of the manuscript.
Funding
This research received no external funding.
Data Availability Statement
Data can be available on request.
Acknowledgments
The authors would like to thank the University of New Brunswick for their assistance with this project.
Conflicts of Interest
The authors declare no conflict of interest.
References
- Musavi, F.; Eberle, W. Overview of wireless power transfer technologies for electric vehicle battery charging. IET Power Electron. 2014, 7, 60–66. [Google Scholar] [CrossRef]
- Sortomme, E.; El-Sharkawi, M.A. Optimal scheduling of vehicle-to-grid energy and ancillary services. IEEE Trans. Smart Grid 2012, 3, 351–359. [Google Scholar] [CrossRef]
- Liu, C.; Chau, K.T.; Wu, D.; Gao, S. Opportunities and Challenges of Vehicle-to-Home, Vehicle-to-Vehicle, and Vehicle-to-Grid Technologies. In Proceedings of the IEEE; IEEE: Manhattan, NY, USA, 2013; Volume 101, pp. 2409–2427. [Google Scholar]
- Nguyen, D.T.; Le, L.B. Joint optimization of electric vehicle and home energy scheduling considering user comfort preference. IEEE Trans. Smart Grid 2014, 5, 188–199. [Google Scholar] [CrossRef]
- Tushar, M.H.K.; Assi, C.; Maier, M.; Uddin, M.F. Smart microgrids: Optimal joint scheduling for electric vehicles and home appliances. IEEE Trans. Smart Grid 2014, 5, 239–250. [Google Scholar] [CrossRef]
- Monteiro, V.; Exposto, B.; Pinto, J.G.; Almeida, R.; Ferreira, J.C.; Melendez, A.A.N.; Afonso, J.L. On-board electric vehicle battery charger with enhanced V2H operation mode. In Proceedings of the IEEE Industrial Electronics Society (IECON), Dallas, TX, USA, 29 October–1 November 2014; pp. 1636–1642. [Google Scholar]
- Power Failures far More Common in Remote Parts of B.C. Available online: http://www.vancouversun.com/technology/Power+failures+more+common+remote+parts/11311997/story.html (accessed on 24 August 2015).
- Zhang, W.; Spence, K.; Shao, R.; Chang, L. Optimal Scheduling of Spinning Reserve and User Cost in Vehicle-to-Grid (V2G) Systems. In Proceedings of the 2018 IEEE Energy Conversion Congress and Exposition (ECCE), Portland, OR, USA, 23–27 September 2018. [Google Scholar]
- Bekiarov, S.B.; Emadi, A. Uninterruptible power supplies: Classification, operation, dynamics, and control. In In Proceedings of the APEC. Seventeenth Annual IEEE Applied Power Electronics Conference and Exposition, Dallas, TX, USA, 10–14 March 2002; Volume 1, pp. 597–604. [Google Scholar]
- Williamson, S.S.; Rathore, A.K.; Musavi, F. Industrial Electronics for Electric Transportation: Current State-of-the-Art and Future Challenges. IEEE Trans. Ind. Electron. 2015, 62, 3021–3032. [Google Scholar] [CrossRef]
- Zhao, Z.; Xu, Q.; Dai, Y.; Luo, A. Minimum resonant capacitor design of high-power LLC resonant converter for comprehensive efficiency improvement in battery charging application. IET Power Electron. 2018, 11, 1866–1874. [Google Scholar] [CrossRef]
- Monteiro, V.; Exposto, B.; Ferreira, J.C.; Afonso, J.L. Improved Vehicle-to-Home (iV2H) Operation Mode: Experimental Analysis of the Electric Vehicle as Off-Line UPS. IEEE Trans. Smart Grid 2017, 8, 2702–2711. [Google Scholar] [CrossRef]
- Zhang, W.; Xu, D.; Li, X.; Xie, R.; Li, H.; Dong, D.; Sun, C.; Chen, M. Seamless Transfer Control Strategy for Fuel Cell Uninterruptible Power Supply System. IEEE Trans. Power Electron. 2013, 28, 717–729. [Google Scholar] [CrossRef]
- Yu, R.; Zhong, W.; Xie, S.; Yuen, C.; Gjessing, S.; Zhang, Y. Balancing Power Demand through EV Mobility in Vehicle-to-Grid Mobile Energy Networks. IEEE Trans. Ind. Inform. 2016, 12, 79–90. [Google Scholar] [CrossRef]
- Zhang, W.D.; Shao, C.; Chang, L. An improved minimum-cost charging schedule for large-scale penetration of electric vehicles. In Proceedings of the 2018 IEEE Applied Power Electronics Conference and Exposition (APEC), San Antonio, TX, USA, 4–8 March 2018; pp. 3411–3417. [Google Scholar]
- Yilmaz, M.; Krein, P.T. Review of Battery Charger Topologies, Charging Power Levels, and Infrastructure for Plug-In Electric and Hybrid Vehicles. IEEE Trans. Power Electron. 2013, 28, 2151–2169. [Google Scholar] [CrossRef]
- Haider, Z.M.; Mehmood, K.K.; Khan, S.U.; Khan, M.O.; Wadood, A.; Rhee, S.B. Optimal Management of a Distribution Feeder During Contingency and Overload Conditions by Harnessing the Flexibility of Smart Loads. IEEE Access 2021, 9, 40124–40139. [Google Scholar] [CrossRef]
- Jaruwatanachai, P.; Sukamongkol, Y.; Samanchuen, T. Predicting and Managing EV Charging Demand on Electrical Grids: A Simulation-Based Approach. Energies 2023, 16, 3562. [Google Scholar] [CrossRef]
- Balvender, S.; Slowik, A. Shree Krishan Bishnoi, and Mandeep Sharma. 2023. Frequency Regulation Strategy of Two-Area Microgrid System with Electric Vehicle Support Using Novel Fuzzy-Based Dual-Stage Controller and Modified Dragonfly Algorithm. Energies 2023, 16, 3407. [Google Scholar] [CrossRef]
Disclaimer/Publisher’s Note: The statements, opinions and data contained in all publications are solely those of the individual author(s) and contributor(s) and not of MDPI and/or the editor(s). MDPI and/or the editor(s) disclaim responsibility for any injury to people or property resulting from any ideas, methods, instructions or products referred to in the content. |
© 2023 by the authors. Licensee MDPI, Basel, Switzerland. This article is an open access article distributed under the terms and conditions of the Creative Commons Attribution (CC BY) license (https://creativecommons.org/licenses/by/4.0/).





























