Grass from Road Verges as a Substrate for Biogas Production
Abstract
1. Introduction
2. Materials and Methods
2.1. Substrates and Inocula
2.2. Biochemical Methane Potential Tests
2.3. Chemical Analyses
2.4. Biogas Calculations
- G(t)—cumulative CH4 production at a specific time t (mL);
- G0—CH4 production potential (mL);
- Rmax—maximum daily CH4 production rate (mL day−1);
- λ—duration of lag phase (minimum time to produce CH4) (days);
- t—cumulative time for CH4 production (days);
- e—mathematical constant (2.71828).
2.5. Calculations of Energy and GHG Emissions
2.6. Statistical Analyses
3. Results
3.1. Chemical Properties of Grass
3.1.1. The Effect of Cutting Time on Chemical Properties of Grass
3.1.2. The Effect of the Preservation Method on Chemical Properties of Grass
3.2. The SMY of Grass
3.3. Energy Balance and CO2 Emissions
4. Discussion
4.1. Chemical Properties of Grass
4.2. The SMY of Grass
4.3. Energy Balance and CO2 Emissions
4.4. The Advantages and Disadvantages of Grass Fermentation in Wet and Dry Technology
5. Conclusions
Author Contributions
Funding
Data Availability Statement
Conflicts of Interest
References
- News European Parliament. EU Responses to Climate Change. Available online: https://www.europarl.europa.eu/news/en/headlines/society/20180703STO07129/eu-responses-to-climate-change (accessed on 20 September 2022).
- Adelard, L.; Poulsen, T.G.; Rakotoniaina, V. Biogas and Methane Yield in Response to Co- and Separate Digestion of Biomass Wastes. Waste Manag. Res. 2015, 33, 55–62. [Google Scholar] [CrossRef]
- European Environment Agency. Climate Change, Impacts and Vulnerability in Europe 2016. Available online: https://www.eea.europa.eu/publications/climate-change-impacts-and-vulnerability-2016 (accessed on 17 April 2023).
- Eurostat. Urban and Rural Living in the EU. Available online: https://ec.europa.eu/eurostat/web/products-eurostat-news/-/edn-20200207-1 (accessed on 20 September 2022).
- UNEP. Cities and Climate Change. Available online: http://www.unep.org/explore-topics/resource-efficiency/what-we-do/cities/cities-and-climate-change (accessed on 15 April 2023).
- European Environment Agency. Urban Green Infrastructure. 2018. Available online: https://www.eea.europa.eu/data-and-maps/dashboards/urban-green-infrastructure-2018 (accessed on 27 September 2022).
- Brown, S.; Kruger, C.; Subler, S. Greenhouse Gas Balance for Composting Operations. J. Environ. Qual. 2008, 37, 1396–1410. [Google Scholar] [CrossRef]
- Bedoić, R.; Čuček, L.; Ćosić, B.; Krajnc, D.; Smoljanić, G.; Kravanja, Z.; Ljubas, D.; Pukšec, T.; Duić, N. Green Biomass to Biogas—A Study on Anaerobic Digestion of Residue Grass. J. Clean. Prod. 2019, 213, 700–709. [Google Scholar] [CrossRef]
- De Moor, S.; Velghe, F.; Wierinck, I.; Michels, E.; Ryckaert, B.; De Vocht, A.; Verbeke, W.; Meers, E. Feasibility of Grass Co-Digestion in an Agricultural Digester, Influence on Process Parameters and Residue Composition. Bioresour. Technol. 2013, 150, 187–194. [Google Scholar] [CrossRef]
- Poulsen, T.G.; Adelard, L. Improving Biogas Quality and Methane Yield via Co-Digestion of Agricultural and Urban Biomass Wastes. Waste Manag. 2016, 54, 118–125. [Google Scholar] [CrossRef]
- Vogel, T.; Ahlhaus, M.; Barz, M. Optimisation of Biogas Production from Grass by Dry-Wet Fermentation. In Proceedings of the Engineering for Rural Development, Jelgava, Latvia, 28–29 May 2009. [Google Scholar]
- Maroušek, J.; Zeman, R.; Vaníčková, R.; Hašková, S. New Concept of Urban Green Management. Clean Technol. Environ. Policy 2014, 16, 1835–1838. [Google Scholar] [CrossRef]
- Czubaszek, R.; Wysocka-Czubaszek, A.; Banaszuk, P. GHG Emissions and Efficiency of Energy Generation through Anaerobic Fermentation of Wetland Biomass. Energies 2020, 13, 6497. [Google Scholar] [CrossRef]
- Abdelsalam, E.M.; Samer, M.; Amer, M.A.; Amer, B.M.A. Biogas Production Using Dry Fermentation Technology through Co-Digestion of Manure and Agricultural Wastes. Environ. Dev. Sustain. 2021, 23, 8746–8757. [Google Scholar] [CrossRef]
- Fu, Y.; Luo, T.; Mei, Z.; Li, J.; Qiu, K.; Ge, Y. Dry Anaerobic Digestion Technologies for Agricultural Straw and Acceptability in China. Sustainability 2018, 10, 4588. [Google Scholar] [CrossRef]
- Stolze, Y.; Zakrzewski, M.; Maus, I.; Eikmeyer, F.; Jaenicke, S.; Rottmann, N.; Siebner, C.; Pühler, A.; Schlüter, A. Comparative Metagenomics of Biogas-Producing Microbial Communities from Production-Scale Biogas Plants Operating under Wet or Dry Fermentation Conditions. Biotechnol. Biofuels 2015, 8, 14. [Google Scholar] [CrossRef]
- Jha, A.K.; Li, J.; Zhang, L.; Ban, Q.; Jin, Y. Comparison between Wet and Dry Anaerobic Digestions of Cow Dung under Mesophilic and Thermophilic Conditions. Adv. Water Resour. Prot. 2013, 1, 28–38. [Google Scholar]
- Luning, L.; van Zundert, E.H.M.; Brinkmann, A.J.F. Comparison of Dry and Wet Digestion for Solid Waste. Water Sci. Technol. 2003, 48, 15–20. [Google Scholar] [CrossRef] [PubMed]
- Angelonidi, E.; Smith, S.R. A Comparison of Wet and Dry Anaerobic Digestion Processes for the Treatment of Municipal Solid Waste and Food Waste: Comparison of Wet and Dry Anaerobic Digestion Processes. Water Environ. J. 2015, 29, 549–557. [Google Scholar] [CrossRef]
- Lehtomäki, A.; Björnsson, L. Two-Stage Anaerobic Digestion of Energy Crops: Methane Production, Nitrogen Mineralisation and Heavy Metal Mobilisation. Environ. Technol. 2006, 27, 209–218. [Google Scholar] [CrossRef]
- Korres, N.E.; Thamsiriroj, T.; Smyth, B.M.; Nizami, A.S.; Singh, A.; Murphy, J.D. Grass Biomethane for Agriculture and Energy. In Genetics, Biofuels and Local Farming Systems; Lichtfouse, E., Ed.; Sustainable Agriculture Reviews; Springer: Dordrecht, The Netherlands, 2011; pp. 5–49. ISBN 978-94-007-1521-9. [Google Scholar]
- Li, W.; Khalid, H.; Zhu, Z.; Zhang, R.; Liu, G.; Chen, C.; Thorin, E. Methane Production through Anaerobic Digestion: Participation and Digestion Characteristics of Cellulose, Hemicellulose and Lignin. Appl. Energy 2018, 226, 1219–1228. [Google Scholar] [CrossRef]
- Amon, T.; Amon, B.; Kryvoruchko, V.; Zollitsch, W.; Mayer, K.; Gruber, L. Biogas Production from Maize and Dairy Cattle Manure—Influence of Biomass Composition on the Methane Yield. Agric. Ecosyst. Environ. 2007, 118, 173–182. [Google Scholar] [CrossRef]
- Triolo, J.M.; Pedersen, L.; Qu, H.; Sommer, S.G. Biochemical Methane Potential and Anaerobic Biodegradability of Non-Herbaceous and Herbaceous Phytomass in Biogas Production. Bioresour. Technol. 2012, 125, 226–232. [Google Scholar] [CrossRef] [PubMed]
- Seppälä, M.; Paavola, T.; Lehtomäki, A.; Rintala, J. Biogas Production from Boreal Herbaceous Grasses—Specific Methane Yield and Methane Yield per Hectare. Bioresour. Technol. 2009, 100, 2952–2958. [Google Scholar] [CrossRef]
- McEniry, J.; O’Kiely, P. Anaerobic Methane Production from Five Common Grassland Species at Sequential Stages of Maturity. Bioresour. Technol. 2013, 127, 143–150. [Google Scholar] [CrossRef]
- Dragoni, F.; Giannini, V.; Ragaglini, G.; Bonari, E.; Silvestri, N. Effect of Harvest Time and Frequency on Biomass Quality and Biomethane Potential of Common Reed (Phragmites Australis) Under Paludiculture Conditions. Bioenerg. Res. 2017, 10, 1066–1078. [Google Scholar] [CrossRef]
- Roj-Rojewski, S.; Wysocka-Czubaszek, A.; Czubaszek, R.; Kamocki, A.; Banaszuk, P. Anaerobic Digestion of Wetland Biomass from Conservation Management for Biogas Production. Biomass Bioenerg. 2019, 122, 126–132. [Google Scholar] [CrossRef]
- Nizami, A.-S.; Korres, N.E.; Murphy, J.D. Review of the Integrated Process for the Production of Grass Biomethane. Environ. Sci. Technol. 2009, 43, 8496–8508. [Google Scholar] [CrossRef] [PubMed]
- Lehtomäki, A.; Huttunen, S.; Lehtinen, T.M.; Rintala, J.A. Anaerobic Digestion of Grass Silage in Batch Leach Bed Processes for Methane Production. Bioresour. Technol. 2008, 99, 3267–3278. [Google Scholar] [CrossRef]
- Ambye-Jensen, M.; Johansen, K.S.; Didion, T.; Kádár, Z.; Schmidt, J.E.; Meyer, A.S. Ensiling as Biological Pretreatment of Grass (Festulolium Hykor): The Effect of Composition, Dry Matter, and Inocula on Cellulose Convertibility. Biomass Bioenerg. 2013, 58, 303–312. [Google Scholar] [CrossRef]
- Zhao, Y.; Yuan, X.; Wen, B.; Wang, X.; Zhu, W.; Cui, Z. Methane Potential and Microbial Community Dynamics in Anaerobic Digestion of Silage and Dry Cornstalks: A Substrate Exchange Study. Appl. Biochem. Biotechnol. 2017, 181, 91–111. [Google Scholar] [CrossRef] [PubMed]
- Gallegos, D.; Wedwitschka, H.; Moeller, L.; Zehnsdorf, A.; Stinner, W. Effect of Particle Size Reduction and Ensiling Fermentation on Biogas Formation and Silage Quality of Wheat Straw. Bioresour. Technol. 2017, 245, 216–224. [Google Scholar] [CrossRef]
- Madhukara, K.; Nand, K.; Raju, N.R.; Srilatha, H.R. Ensilage of Mangopeel for Methane Generation. Process Biochem. 1993, 28, 119–123. [Google Scholar] [CrossRef]
- Teixeira Franco, R.; Buffière, P.; Bayard, R. Ensiling for Biogas Production: Critical Parameters. A Review. Biomass Bioenerg. 2016, 94, 94–104. [Google Scholar] [CrossRef]
- Rani, D.S.; Nand, K. Ensilage of Pineapple Processing Waste for Methane Generation. Waste Manag. 2004, 24, 523–528. [Google Scholar] [CrossRef]
- Prochnow, A.; Heiermann, M.; Plöchl, M.; Linke, B.; Idler, C.; Amon, T.; Hobbs, P.J. Bioenergy from Permanent Grassland—A Review: 1. Biogas. Bioresour. Technol. 2009, 100, 4931–4944. [Google Scholar] [CrossRef]
- Nizami, A.-S.; Murphy, J.D. Optimizing the Operation of a Two-Phase Anaerobic Digestion System Digesting Grass Silage. Environ. Sci. Technol. 2011, 45, 7561–7569. [Google Scholar] [CrossRef]
- Thamsiriroj, T.; Nizami, A.S.; Murphy, J.D. Why Does Mono-Digestion of Grass Silage Fail in Long Term Operation? Appl. Energy 2012, 95, 64–76. [Google Scholar] [CrossRef]
- Wall, D.M.; Allen, E.; Straccialini, B.; O’Kiely, P.; Murphy, J.D. Optimisation of Digester Performance with Increasing Organic Loading Rate for Mono- and Co-Digestion of Grass Silage and Dairy Slurry. Bioresour. Technol. 2014, 173, 422–428. [Google Scholar] [CrossRef] [PubMed]
- Yu, L.; Bule, M.; Ma, J.; Zhao, Q.; Frear, C.; Chen, S. Enhancing Volatile Fatty Acid (VFA) and Bio-Methane Production from Lawn Grass with Pretreatment. Bioresour. Technol. 2014, 162, 243–249. [Google Scholar] [CrossRef]
- Cadavid-Rodríguez, L.S.; Bolaños-Valencia, I.V. Grass from Public Green Spaces an Alternative Source of Renewable Energy in Tropical Countries. Rev. ION 2016, 29, 109–116. [Google Scholar] [CrossRef]
- Mattioli, A.; Boscaro, D.; Dalla Venezia, F.; Correale Santacroce, F.; Pezzuolo, A.; Sartori, L.; Bolzonella, D. Biogas from Residual Grass: A Territorial Approach for Sustainable Bioenergy Production. Waste Biomass Valor. 2017, 8, 2747–2756. [Google Scholar] [CrossRef]
- Chiumenti, A.; Boscaro, D.; Da Borso, F.; Sartori, L.; Pezzuolo, A. Biogas from Fresh Spring and Summer Grass: Effect of the Harvesting Period. Energies 2018, 11, 1466. [Google Scholar] [CrossRef]
- Piepenschneider, M.; Bühle, L.; Hensgen, F.; Wachendorf, M. Energy Recovery from Grass of Urban Roadside Verges by Anaerobic Digestion and Combustion after Pre-Processing. Biomass Bioenerg. 2016, 85, 278–287. [Google Scholar] [CrossRef]
- Statistics Poland. Area and Population in the Territorial Profile in 2021. Available online: https://stat.gov.pl/obszary-tematyczne/ludnosc/ludnosc/powierzchnia-i-ludnosc-w-przekroju-terytorialnym-w-2021-roku,7,18.html (accessed on 28 September 2022).
- Górniak, A. Climate of the Podlaskie Voivodeship in the Time of Global Warming, 1st ed.; Wydawnictwo Uniwersytetu w Białymstoku: Białystok, Poland, 2021. (In Polish) [Google Scholar]
- Jankowski, K.; Sosnowski, J.; Kowalczyk, R. Impact of Hydrogel and Kind of Soil Cover on the Compactness of Turf Lawns. Inż. Ekol. 2012, 30, 249–256. (In Polish) [Google Scholar]
- APHA. Standard Methods: For the Examination of Water and Wastewater, 20th ed.; American Public Health Association; American Water Works Association; Water Pollution Control Federation: Washington, DC, USA, 1998; ISBN 978-0-87553-235-6. [Google Scholar]
- AOAC. Official Method 973.18–1977. Fiber (Acid Detergent) and Lignin (H2SO4) in Animal Feed; AOAC: Rockville, MD, USA, 1977. [Google Scholar]
- Wang, K.; Yun, S.; Xing, T.; Li, B.; Abbas, Y.; Liu, X. Binary and Ternary Trace Elements to Enhance Anaerobic Digestion of Cattle Manure: Focusing on Kinetic Models for Biogas Production and Digestate Utilization. Bioresour. Technol. 2021, 323, 124571. [Google Scholar] [CrossRef]
- Statistics Poland. Production of Agricultural and Horticultural Crops in 2021, 1st ed.; Zakład Wydawnictw Statystycznych: Warsaw, Poland, 2022. [Google Scholar]
- Czubaszek, R.; Wysocka-Czubaszek, A.; Wichtmann, W.; Banaszuk, W. Specific Methane Yield of Wetland Biomass in Dry and Wet Fermentation Technologies. Energies 2021, 14, 8373. [Google Scholar] [CrossRef]
- The National Centre for Emissions Management. Calorific Values (CO) and CO2 Emission Factors (EC) in 2019 to Be Reported under the Emission Trading Scheme for 2022; The National Centre for Emissions Management: Warsaw, Poland, 2021. (In Polish) [Google Scholar]
- Piepenschneider, M. Urban Grass and Grass-Leaf Litter Mixtures as Source for Bioenergy Recovery. Ph.D. Thesis, University of Kassel, Kassel, Germany, 2015. [Google Scholar]
- Heiermann, M.; Ploechl, M.; Linke, B.; Schelle, H.; Herrmann, C. Biogas Crops—Part I: Specifications and Suitability of Field Crops for Anaerobic Digestion. Agric. Eng. Int. CIGR J. 2009, XI, 1–17. [Google Scholar]
- Bryson, G.M.; Barker, A.V. Sodium Accumulation in Soils and Plants along Massachusetts Roadsides. Commun. Soil Sci. Plant Anal. 2002, 33, 67–78. [Google Scholar] [CrossRef]
- Gross, F.; Riebe, K. Silage: Business Management, Production, Feeding, 1st ed.; UlmeVerlag Eugen: Stuttgart, Germany, 1974; ISBN 978-3-8001-4321-4. (In German) [Google Scholar]
- Radkowski, A.; Radkowska, I. Evaluation of the Quality and Nutritional Value of Silage from the Meadow Sward of Selected Farms in South-Eastern Poland. Wiad. Zootech. 2014, 52, 32–37. (In Polish) [Google Scholar]
- Chen, Y.; Cheng, J.J.; Creamer, K.S. Inhibition of Anaerobic Digestion Process: A Review. Bioresour. Technol. 2008, 99, 4044–4064. [Google Scholar] [CrossRef] [PubMed]
- Mason, P.E.; Higgins, L.; Climent Barba, F.; Cunliffe, A.; Cheffins, N.; Robinson, D.; Jones, J.M. An Assessment of Contaminants in UK Road-Verge Biomass and the Implications for Use as Anaerobic Digestion Feedstock. Waste Biomass Valor. 2020, 11, 1971–1981. [Google Scholar] [CrossRef]
- Weiland, P. Biomass Digestion in Agriculture: A Successful Pathway for the Energy Production and Waste Treatment in Germany. Eng. Life Sci. 2006, 6, 302–309. [Google Scholar] [CrossRef]
- Antonopoulou, G.; Vayenas, D.; Lyberatos, G. Biogas Production from Physicochemically Pretreated Grass Lawn Waste: Comparison of Different Process Schemes. Molecules 2020, 25, 296. [Google Scholar] [CrossRef] [PubMed]
- Juneja, A.; Kumar, D.; Williams, J.D.; Wysocki, D.J.; Murthy, G.S. Potential for Ethanol Production from Conservation Reserve Program Lands in Oregon. J. Renew. Sustain. Energy 2011, 3, 063102. [Google Scholar] [CrossRef]
- Keady, T.W.J.; Mayne, C.; Fitzpatrick, D.A. Prediction of Silage Feeding Value from the Analysis of the Herbage at Ensiling and Effects of Nitrogen Fertilizer, Date of Harvest and Additive Treatment on Grass Silage Composition. J. Agric. Sci. 2000, 134, 353–368. [Google Scholar] [CrossRef]
- Malinowska, E.; Wiśniewska-Kadżajan, B. Effects of Tytanit and Nitrogen on Cellulose and Hemicellulose Content of Festulolium Braunii and on Its Digestibility. Agronomy 2022, 12, 1547. [Google Scholar] [CrossRef]
- Delafield, M. A Practical Trial to Investigate the Feasibility of Wide-Scale Collection of Cuttings from Roadside Verges in Powys, for Use in Biogas and Compost Production, 1st ed.; Montgomeryshire Wildlife Trust: Welshpool, UK, 2006. [Google Scholar]
- Brown, A.E.; Ford, J.S.; Bale, C.S.E.; Camargo-Valero, M.A.; Cheffins, N.J.; Mason, P.E.; Price-Allison, A.M.; Ross, A.B.; Taylor, P.G. An Assessment of Road-verge Grass as a Feedstock for Farm-fed Anaerobic Digestion Plants. Biomass Bioenerg. 2020, 138, 105570. [Google Scholar] [CrossRef]
- Desta, S.T.; Yuan, X.; Li, J.; Shao, T. Ensiling characteristics, structural and nonstructural carbohydrate composition and enzymatic digestibility of Napier grass ensiled with additives. Bioresour. Technol. 2016, 221, 447–454. [Google Scholar] [CrossRef] [PubMed]
- Pergola, M.; Persiani, A.; Pastore, V.; Palese, A.M.; D’Adamo, C.; De Falco, E.; Celano, G. Sustainability Assessment of the Green Compost Production Chain from Agricultural Waste: A Case Study in Southern Italy. Agronomy 2020, 10, 230. [Google Scholar] [CrossRef]
- Salter, A.; Delafield, M.; Heaven, S.; Gunton, Z. Anaerobic Digestion of Verge Cuttings for Transport Fuel. Proc. Inst. Civ. Eng.-Waste Resour. Manag. 2007, 160, 105–112. [Google Scholar] [CrossRef]
- Boldrin, A.; Andersen, J.K.; Møller, J.; Christensen, T.H.; Favoino, E. Composting and Compost Utilization: Accounting of Greenhouse Gases and Global Warming Contributions. Waste Manag. Res. 2009, 27, 800–812. [Google Scholar] [CrossRef]
- Thamsiriroj, T.; Murphy, J.D. Difficulties Associated with Monodigestion of Grass as Exemplified by Commissioning a Pilot-Scale Digester. Energy Fuels 2010, 24, 4459–4469. [Google Scholar] [CrossRef]
- Schäfer, W.; Lehto, M.; Teye, F. Dry Anaerobic Digestion of Organic Residues On-Farm—A Feasibility Study. Agriffod Research Reports 77, 1st ed.; MTT Agrifood Research Finland: Vihti, Finland, 2006. [Google Scholar]









| Substrates | Total Solids (TS) | Volatile Solids (VS) | pH |
|---|---|---|---|
| % | %TS | ||
| FG-Sp | 38.00 ± 1.35 | 68.22 ± 7.98 | 6.17 ± 0.01 |
| GS-Sp | 37.37 ± 0.58 | 67.93 ± 7.58 | 5.44 ± 0.03 |
| GSA-Sp | 38.48 ± 0.77 | 60.60 ± 2.46 | 5.45 ± 0.01 |
| FG-Su | 25.83 ± 0.97 | 84.70 ± 1.32 | 5.96 ± 0.04 |
| GS-Su | 29.11 ± 0.37 | 83.34 ± 2.08 | 4.54 ± 0.03 |
| GSA-Su | 27.85 ± 0.55 | 86.05 ± 0.63 | 4.55 ± 0.01 |
| FG-Au | 29.34 ± 0.97 | 88.83 ± 0.10 | 5.97 ± 0.04 |
| GS-Au | 30.33 ± 0.30 | 87.69 ± 0.08 | 4.15 ± 0.02 |
| GSA-Au | 29.74 ± 0.04 | 87.20 ± 0.15 | 4.14 ± 0.01 |
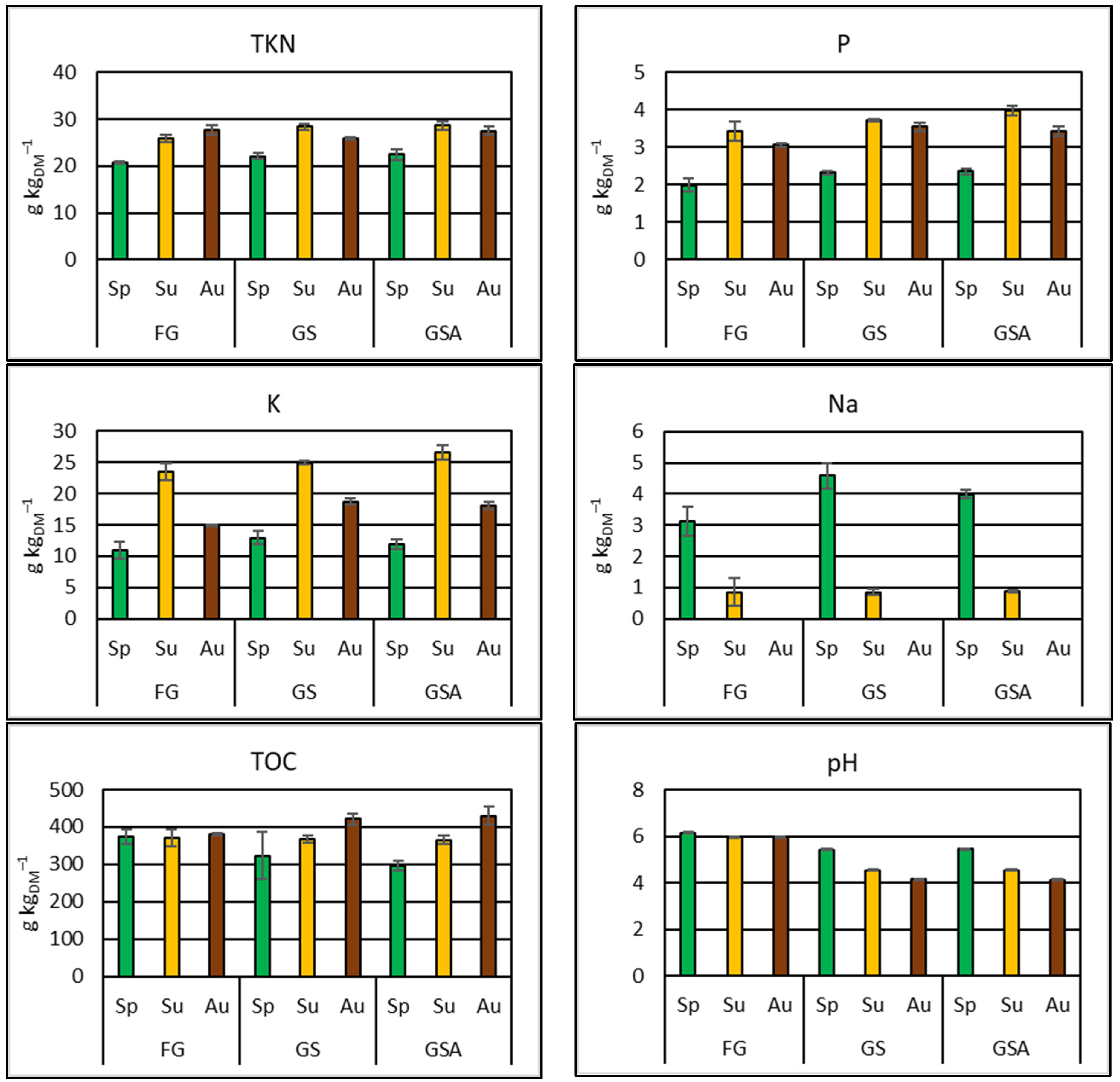
| Substrates | Total Kjeldahl Nitrogen (TKN) | Total Phosphorus (TP) | Total Potassium (K) | Total Sodium (Na) | Total Organic Carbon (TOC) | C:N | N:P |
|---|---|---|---|---|---|---|---|
| g kgDM−1 | |||||||
| FG-Sp | 20.76 ± 0.23 | 1.99 ± 0.19 | 10.96 ± 1.43 | 3.12 ± 0.48 | 373.8 ± 18.29 | 18 | 10 |
| GS-Sp | 22.12 ± 0.63 | 2.32 ± 0.06 | 12.97 ± 1.12 | 4.58 ± 0.41 | 323.49 ± 63.45 | 15 | 10 |
| GSA-Sp | 22.48 ± 1.16 | 2.36 ± 0.08 | 11.89 ± 0.80 | 3.99 ± 0.15 | 297.74 ± 12.78 | 13 | 9 |
| FG-Su | 25.89 ± 0.84 | 3.42 ± 0.26 | 23.48 ± 1.36 | 0.85 ± 0.44 | 371.63 ± 22.42 | 7 | 8 |
| GS-Su | 28.39 ± 0.67 | 3.72 ± 0.04 | 24.94 ± 0.35 | 0.85 ± 0.10 | 368.04 ± 8.66 | 14 | 8 |
| GSA-Su | 28.63 ± 0.87 | 3.97 ± 0.13 | 26.55 ± 1.17 | 0.88 ± 0.04 | 365.48 ± 10.15 | 13 | 7 |
| FG-Au | 27.67 ± 1.12 | 3.06 ± 0.05 | 15.00 ± 0.08 | n.d. | 381.87 ± 3.17 | 13 | 9 |
| GS-Au | 25.87 ± 0.34 | 3.55 ± 0.12 | 18.72 ± 0.46 | n.d. | 421.68 ± 14.38 | 16 | 7 |
| GSA-Au | 27.44 ± 0.92 | 3.43 ± 0.13 | 18.13 ± 0.53 | n.d. | 429.66 ± 24.69 | 16 | 8 |
| Substrates | Ash | VM | FC | C | H | N | S |
|---|---|---|---|---|---|---|---|
| % | |||||||
| FG-Sp | 16.92 ± 0.07 a | 62.15 ± 0.18 a | 15.01 ± 0.08 a | 38.31 ± 0.28 a | 7.23 ± 0.04 a | 2.10 ± 0.00 a | 0.25 ± 0.01 a |
| FG-Su | 12.54 ± 0.14 b | 66.27 ± 0.52 b | 14.89 ± 0.48 a | 40.60 ± 0.23 b | 7.61 ± 0.04 b | 2.49 ± 0.00 b | 0.36 ± 0.00 b |
| FG-Au | 10.96 ± 0.05 c | 67.84 ± 0.10 c | 14.98 ± 0.07 a | 41.91 ± 0.03 c | 7.73 ± 0.02 c | 2.62 ± 0.01 c | 0.33 ± 0.00 c |
| Heavy Metals | Spring Fresh Grass (FG-Sp) | Summer Fresh Grass (FG-Su) | Autumn Fresh Grass (FG-Au) | |
|---|---|---|---|---|
| Substrates | mg kgDM−1 | |||
| Chromium (Cr) | 14.43 ± 2.94 a | 7.54 ± 3.49 ab | 2.67 ± 0.20 b | |
| Manganese (Mn) | 175.24 ± 11.92 a | 116.98 ± 3.17 ab | 34.87 ± 3.85 b | |
| Iron (Fe) | 3970.23 ± 635.23 a | 977.88 ± 416.44 ab | 295.52 ± 6.00 b | |
| Nickel (Ni) | 3.37 ± 0.77 a | 0.78 ± 0.59 b | 1.45 ± 0.01 ab | |
| Copper (Cu) | n.d. | n.d. | 19.53 ± 2.75 | |
| Zinc (Zn) | 80.16 ± 34.09 a | 31.04 ± 8.37 ab | 1.73 ± 0.68 b | |
| Cadmium (Cd) | 0.26 ± 0.09 a | 0.27 ± 0.03 a | 0.07 ± 0.02 b | |
| Mercury (Hg) | n.d. | 1.93 ± 0.11 a | 1.41 ± 0.31 b | |
| Lead (Pb) | 8.79 ± 2.58 a | 2.45 ± 1.52 b | 1.61 ± 0.16 b | |
| Substrates | Spring Fresh Grass (FG-Sp) | Summer Fresh Grass (FG-Su) | Autumn Fresh Grass (FG-Au) |
|---|---|---|---|
| %TS | |||
| Crude fiber | 23.93 ± 3.39 a | 22.15 ± 0.83 a | 24.78 ± 1.61 a |
| Lignin | 15.11 ± 2.48 a | 20.15 ± 1.01 b | 20.32 ± 0.66 b |
| Hemicellulose | 21.28 ± 10.30 a | 15.94 ± 1.59 a | 18.15 ± 1.05 a |
| Cellulose | 10.81 ± 2.06 a | 15.88 ± 1.13 b | 17.94 ± 1.61 b |
| Lignification | 32.6 ± 6.6 a | 38.8 ± 2.4 a | 38.0 ± 0.9 a |
| Substrates | Fresh Grass (FG) | Grass Ensiled without Additives (GS) | Grass Ensiled with Additive (GSA) | |||
|---|---|---|---|---|---|---|
| NL kgVS−1 | ||||||
| WF | DF | WF | DF | WF | DF | |
| Spring | 274.18 ± 22.59 | 232.79 ± 1.19 | 243.76 ± 5.27 | 213.54 ± 8.48 | 268.53 ± 5.07 | 234.34 ± 9.11 |
| Summer | 234.84 ± 18.63 | 217.70 | 226.21 ± 16.62 | 182.63 ± 0.48 | 223.50 ± 15.50 | 188.81 ± 2.72 |
| Autumn | 239.21 ± 7.70 | 224.47 ± 2.96 | 238.14 ± 11.35 | 223.71 ± 3.66 | 252.41 ± 3.17 | 223.90 ± 4.93 |
| Substrates | Electricity Production | Heat Production | ||
|---|---|---|---|---|
| kWh tDM−1 | GJ tDM−1 | |||
| WF | DF | WF | DF | |
| FG-Sp | 593 | 548 | 1.9 | 2.1 |
| GS-Sp | 506 | 510 | 1.6 | 1.9 |
| GSA-Sp | 460 | 469 | 1.4 | 1.8 |
| FG-Su | 655 | 595 | 2.1 | 2.3 |
| GS-Su | 598 | 525 | 1.9 | 2.0 |
| GSA-Su | 650 | 664 | 2.0 | 2.5 |
| FG-Au | 756 | 718 | 2.4 | 2.7 |
| GS-Au | 621 | 571 | 1.9 | 2.2 |
| GSA-Au | 698 | 674 | 2.2 | 2.6 |
| Substrates | Emissions Avoided through Electricity Production | Emissions Avoided through Heat Production | ||
|---|---|---|---|---|
| kg CO2 tDM−1 | ||||
| WF | DF | WF | DF | |
| FG | 466.31 | 433.09 | 195.72 | 220.14 |
| GS | 401.39 | 373.75 | 168.47 | 189.97 |
| GSA | 420.52 | 420.40 | 176.50 | 213.68 |
Disclaimer/Publisher’s Note: The statements, opinions and data contained in all publications are solely those of the individual author(s) and contributor(s) and not of MDPI and/or the editor(s). MDPI and/or the editor(s) disclaim responsibility for any injury to people or property resulting from any ideas, methods, instructions or products referred to in the content. |
© 2023 by the authors. Licensee MDPI, Basel, Switzerland. This article is an open access article distributed under the terms and conditions of the Creative Commons Attribution (CC BY) license (https://creativecommons.org/licenses/by/4.0/).
Share and Cite
Czubaszek, R.; Wysocka-Czubaszek, A.; Banaszuk, P.; Zając, G.; Wassen, M.J. Grass from Road Verges as a Substrate for Biogas Production. Energies 2023, 16, 4488. https://doi.org/10.3390/en16114488
Czubaszek R, Wysocka-Czubaszek A, Banaszuk P, Zając G, Wassen MJ. Grass from Road Verges as a Substrate for Biogas Production. Energies. 2023; 16(11):4488. https://doi.org/10.3390/en16114488
Chicago/Turabian StyleCzubaszek, Robert, Agnieszka Wysocka-Czubaszek, Piotr Banaszuk, Grzegorz Zając, and Martin J. Wassen. 2023. "Grass from Road Verges as a Substrate for Biogas Production" Energies 16, no. 11: 4488. https://doi.org/10.3390/en16114488
APA StyleCzubaszek, R., Wysocka-Czubaszek, A., Banaszuk, P., Zając, G., & Wassen, M. J. (2023). Grass from Road Verges as a Substrate for Biogas Production. Energies, 16(11), 4488. https://doi.org/10.3390/en16114488

