Thermal–Hydraulic Calculation and Analysis on Water Wall System of a 700 MWe Ultra-Supercritical CFB Boiler
Abstract
1. Introduction
2. Boiler Structure and Design Parameters of Water Wall System
3. Mathematical Model and Calculation Method
4. Calculation Results and Discussion
4.1. Hydrodynamic Characteristics at Different Loads
4.2. Heat Flux Distribution
4.3. Outlet Fluid Temperature
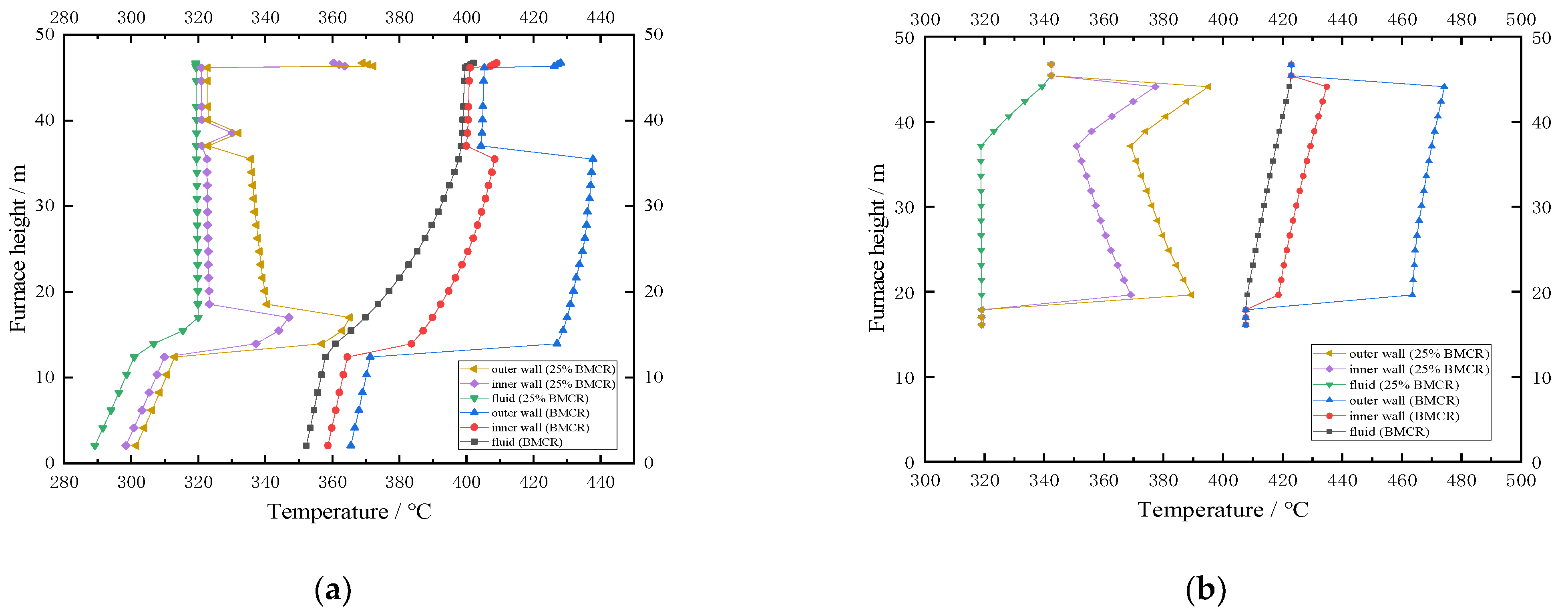
4.4. Metal Temperature Distribution
5. Conclusions
Funding
Data Availability Statement
Conflicts of Interest
References
- Cai, R.; Lu, J.; Ling, W. Progress of supercritical and ultra-supercritical circulating fluidized bed boiler technology. Electr. Power 2016, 49, 1–7. [Google Scholar]
- Yu, L.; Lu, J.-F.; Yue, G.-X. Prospective research progress of combustion technology for circulating fluidized beds. J. Eng. Therm. Energy Power 2004, 19, 336–342. [Google Scholar]
- Koornneef, J.; Junginger, M.; Faaij, A. Development of fluidized bed combustion—An overview of trends, performance and cost. Prog. Energy Combust. Sci. 2007, 33, 19–55. [Google Scholar] [CrossRef]
- Yue, G.; Cai, R.; Lu, J.; Zhang, H. From a CFB reactor to a CFB boiler–The review of R&D progress of CFB coal combustion technology in China. Powder Technol. 2017, 316, 18–28. [Google Scholar]
- Lyu, J.; Yang, H.; Ling, W.; Nie, L.; Yue, G.; Li, R.; Chen, Y.; Wang, S. Development of a supercritical and an ultra-supercritical circulating fluidized bed boiler. Front. Energy 2019, 13, 114–119. [Google Scholar] [CrossRef]
- Ji, J.; Cheng, L.; Wei, Y.; Wang, J.; Gao, X.; Fang, M.; Wang, Q. Predictions of NOx/N2O emissions from an ultra-supercritical CFB boiler using a 2-D comprehensive CFD combustion model. Particuology 2020, 49, 77–87. [Google Scholar] [CrossRef]
- Blaszczuk, A.; Nowak, W.; Jagodzik, S. Effects of operating conditions on deNOx system efficiency in supercritical circulating fluidized bed boiler. J. Power Technol. 2013, 93, 1. [Google Scholar]
- Ke, X.; Yao, Y.; Huang, Z.; Zhang, M.; Lyu, J.; Yang, H.; Zhou, T. Prediction and minimization of NOx emission in a circulating fluidized bed combustor: Improvement of bed quality by optimizing cyclone performance and coal particle size. Fuel 2022, 328, 125287. [Google Scholar] [CrossRef]
- Yan, J.; Lu, X.F.; Zhang, C.F.; Li, Q.J.; Wang, J.P.; Liu, S.R.; Zheng, X.; Fan, X.C. An Experimental Study on the Characteristics of NOx Distributions at the SNCR Inlets of a Large-Scale CFB Boiler. Energies 2021, 14, 1267. [Google Scholar] [CrossRef]
- Ke, X.; Li, D.; Li, Y.; Jiang, L.; Cai, R.; Lyu, J.; Yang, H.; Zhang, M.; Jeon, C.-H. 1-Dimensional modelling of In-Situ desulphurization performance of a 550 MWe ultra-supercritical CFB boiler. Fuel 2021, 290, 120088. [Google Scholar] [CrossRef]
- Leckner, B. Hundred years of fluidization for the conversion of solid fuels. Powder Technol. 2022, 411, 117935. [Google Scholar] [CrossRef]
- Tang, G.; Zhang, M.; Gu, J.; Wu, Y.; Yang, H.; Zhang, Y.; Wei, G.; Lyu, J. Thermal-hydraulic calculation and analysis on evaporator system of a 660 MWe ultra-supercritical CFB boiler. Appl. Therm. Eng. 2019, 151, 385–393. [Google Scholar] [CrossRef]
- Xin, S.; Wang, H.; Li, J.; Wang, G.; Wang, Q.; Cao, P.; Zhang, P.; Lu, X. Discussion on the Feasibility of Deep Peak Regulation for Ultra-Supercritical Circulating Fluidized Bed Boiler. Energies 2022, 15, 7720. [Google Scholar] [CrossRef]
- Domenichini, R.; Mancuso, L.; Ferrari, N.; Davison, J. Operating flexibility of power plants with carbon capture and storage (CCS). Energy Procedia 2013, 37, 2727–2737. [Google Scholar] [CrossRef]
- Henderson, C. Increasing the flexibility of coal-fired power plants. IEA Clean Coal Cent. 2014, 15, 15. [Google Scholar]
- Cai, R.; Ke, X.; Lyu, J.; Yang, H.; Zhang, M.; Yue, G.; Ling, W. Progress of circulating fluidized bed combustion technology in China: A review. Clean Energy 2017, 1, 14. [Google Scholar] [CrossRef]
- Zhu, X.; Wang, W.; Xu, W. A study of the hydrodynamic characteristics of a vertical water wall in a 2953t/h ultra-supercritical pressure boiler. Int. J. Heat Mass Transf. 2015, 86, 404–414. [Google Scholar] [CrossRef]
- Pan, J.; Yang, D.; Yu, H.; Bi, Q.-C.; Hua, H.-Y.; Gao, F.; Yang, Z.-M. Mathematical modeling and thermal-hydraulic analysis of vertical water wall in an ultra supercritical boiler. Appl. Therm. Eng. 2009, 29, 2500–2507. [Google Scholar] [CrossRef]
- Pan, J.; Wu, G.; Yang, D. Thermal-hydraulic calculation and analysis on water wall system of 600 MW supercritical CFB boiler. Appl. Therm. Eng. 2015, 82, 225–236. [Google Scholar] [CrossRef]
- Lu, J. Heat Flux Distribution Along Water Walls of Circulating Fluidized Bed Boilers. J. Power Eng. 2008, 27, 336–340. [Google Scholar]
- Lu, J.; Zhang, J.; Yue, G.; Liu, Q.; Yu, L.; Lin, X.; Li, W.; Tang, Y.; Luo, T.; Ge, R. Method of calculation of heat transfer coefficient of the heater in a circulating fluidized bed furnace. Heat Transf.—Asian Res. Co-Spons. Soc. Chem. Eng. Jpn. Heat Transf. Div. ASME 2002, 31, 540–550. [Google Scholar] [CrossRef]
- Lyu, J. Investigation on Heat Flux and Hydrodynamics of Water Wall of a Supercritical Pressure Circulating Fluidized Bed Boiler. Ph.D. Thesis, Tsinghua University, Beijing, China, 2004. [Google Scholar]
- JB/Z201-83; The National Standard of the Boiler Hydrodynamics Calculation. Shanghai Power Equipment Packaged Design Research Institute: Shanghai, China, 1983.
- Chen, Y.; Lu, X.; Zhang, W.; Wang, Q.; Chen, S.; Fan, X.; Li, J. An experimental study on the hydrodynamic performance of the water-wall system of a 600 MW supercritical CFB boiler. Appl. Therm. Eng. 2018, 141, 280–287. [Google Scholar] [CrossRef]









| Parameter | Unit | BMCR | 75%BMCR | 50%BMCR | 25%BMCR |
|---|---|---|---|---|---|
| Total mass flow rate, | kg/s | 596.67 | 399.44 | 291.94 | 158.06 |
| Inlet pressure, | MPa | 32.2 | 25.6 | 16.9 | 11.4 |
| Inlet fluid temperature, | °C | 352 | 317 | 315 | 288 |
| Inlet fluid enthalpy, | kJ/kg | 1615.97 | 1421.38 | 1420.62 | 1276.07 |
| Outlet fluid pressure, | MPa | 31.50 | 25.12 | 16.48 | 11.07 |
| Outlet fluid temperature, | °C | 422.3 | 403.8 | 396.6 | 342.3 |
| Outlet fluid enthalpy, | kJ/kg | 2513.97 | 2629.51 | 2919.72 | 2848.79 |
| Pressure drop | MPa | 0.70 | 0.48 | 0.42 | 0.33 |
| Parameter | Unit | BMCR | 75%BMCR | 50%BMCR | 25%BMCR |
|---|---|---|---|---|---|
| Outlet fluid temperature in water wall | °C | 400.3 | 383.6 | 350.7 | 319.3 |
| Outlet fluid enthalpy in the water wall | kJ/kg | 2082.26 | 2048.65 | 2199.00 | 2092.66 |
| Outlet fluid temperature in the water-cooled panel | °C | 422.3 | 403.8 | 396.6 | 342.3 |
| Outlet fluid enthalpy in water-cooled panel | kJ/kg | 2513.97 | 2629.51 | 2919.72 | 2848.79 |
| Pressure drop of vertical water wall | MPa | 0.32 | 0.30 | 0.24 | 0.22 |
| Pressure drop of water-cooled panel | MPa | 0.35 | 0.16 | 0.16 | 0.10 |
| Pressure drop of vertical water wall system | MPa | 0.70 | 0.48 | 0.42 | 0.37 |
Disclaimer/Publisher’s Note: The statements, opinions and data contained in all publications are solely those of the individual author(s) and contributor(s) and not of MDPI and/or the editor(s). MDPI and/or the editor(s) disclaim responsibility for any injury to people or property resulting from any ideas, methods, instructions or products referred to in the content. |
© 2023 by the authors. Licensee MDPI, Basel, Switzerland. This article is an open access article distributed under the terms and conditions of the Creative Commons Attribution (CC BY) license (https://creativecommons.org/licenses/by/4.0/).
Share and Cite
Wu, H.; Zhou, T.; Hu, X.; Luo, Y.; Zhang, M.; Yang, H. Thermal–Hydraulic Calculation and Analysis on Water Wall System of a 700 MWe Ultra-Supercritical CFB Boiler. Energies 2023, 16, 4344. https://doi.org/10.3390/en16114344
Wu H, Zhou T, Hu X, Luo Y, Zhang M, Yang H. Thermal–Hydraulic Calculation and Analysis on Water Wall System of a 700 MWe Ultra-Supercritical CFB Boiler. Energies. 2023; 16(11):4344. https://doi.org/10.3390/en16114344
Chicago/Turabian StyleWu, Haowen, Tuo Zhou, Xiannan Hu, Yongjun Luo, Man Zhang, and Hairui Yang. 2023. "Thermal–Hydraulic Calculation and Analysis on Water Wall System of a 700 MWe Ultra-Supercritical CFB Boiler" Energies 16, no. 11: 4344. https://doi.org/10.3390/en16114344
APA StyleWu, H., Zhou, T., Hu, X., Luo, Y., Zhang, M., & Yang, H. (2023). Thermal–Hydraulic Calculation and Analysis on Water Wall System of a 700 MWe Ultra-Supercritical CFB Boiler. Energies, 16(11), 4344. https://doi.org/10.3390/en16114344
