Treatment of Wastewater from Soil Washing with Soluble Humic Substances Using Biochars and Activated Carbon
Abstract
1. Introduction
2. Materials and Methods
2.1. Soil Characterization and SHS Preparation
2.2. Soil Washing with SHS
2.3. Types of Adsorbents and Their Characterization
2.4. Treatment of SWW
- -
- The adsorbent dosage (12.5; 25; 50; and 100 g/L): in this experiment, 20 mL of SWW was shaken at different adsorbent dosages for 24 h at 90 rpm; then samples were centrifuged at 8000 rpm for 10 min and filtered through a 0.45 μm filter;
- -
- Adsorption time (30, 60, 120, 180, and 1440 min): this experiment was performed with an adsorbent dosage of 100 g/L; the samples were prepared in the same way as in the previous experiments.
2.5. Analytical Methods
2.6. Calculation and Statistical Methods
3. Results and Discussion
3.1. Metal Removal from Soil
3.2. Adsorbent Characterization
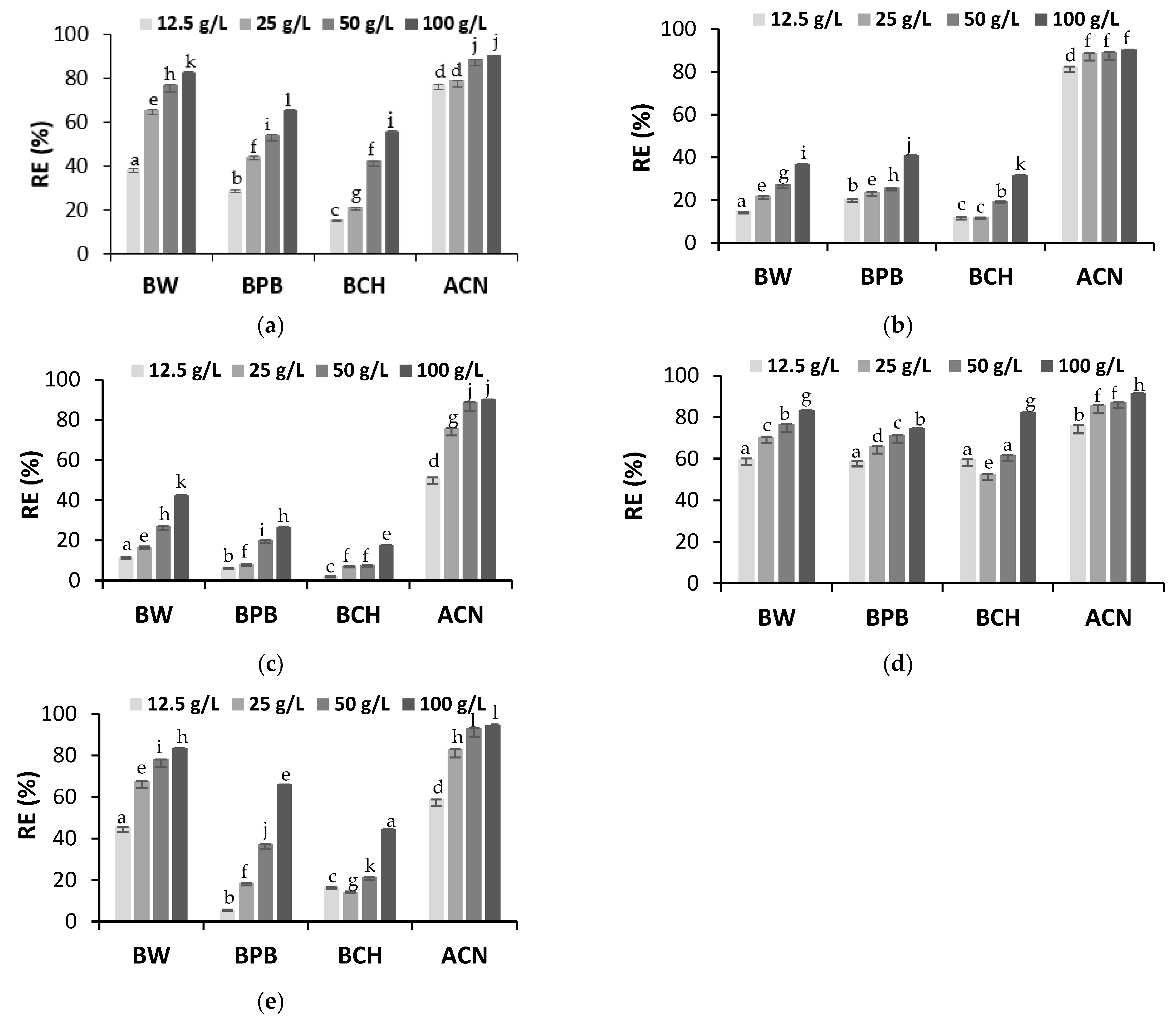
3.3. The Effect of Adsorbent Dosage on SWW Treatment
3.3.1. Changes in pH and EC
3.3.2. Removal of Heavy Metals
3.3.3. Removal of Soluble Organics
3.4. The Effect of Contact Time on the SWW Treatment
3.4.1. Heavy Metals
3.4.2. Soluble Organics (as TOC)
4. Conclusions
Author Contributions
Funding
Data Availability Statement
Acknowledgments
Conflicts of Interest
Appendix A







| Adsorbent | Name | Position | FWHM | %At Conc |
|---|---|---|---|---|
| BW | C–H | 285.00 | 0.92 | 20.2 |
| C=C sp2 | 284.51 | 0.83 | 29.1 | |
| C–C sp3 | 285.71 | 0.89 | 15.1 | |
| C–OH | 286.39 | 0.98 | 7.4 | |
| C–O–C | 287.17 | 1.08 | 7.1 | |
| C=O | 288.00 | 0.96 | 2.1 | |
| –COOR | 289.36 | 1.20 | 7.2 | |
| BPB | C–H | 285.00 | 0.85 | 14.6 |
| C=C sp2 | 284.51 | 0.76 | 40.3 | |
| C–C sp3 | 285.70 | 0.82 | 5.5 | |
| C–OH | 286.38 | 0.90 | 5.6 | |
| C–O–C | 287.17 | 0.99 | 3.7 | |
| C=O | 288.00 | 0.89 | 2.5 | |
| –COOR | 288.91 | 1.28 | 3.5 | |
| DCS | 284.13 | 0.76 | 24.3 | |
| BCH | DCS | 284.13 | 0.76 | 11.8 |
| C=C sp2 | 284.52 | 0.83 | 33.6 | |
| C–C sp3 | 285.71 | 0.89 | 8.6 | |
| C–OH | 286.39 | 0.97 | 6.3 | |
| C–O–C | 287.18 | 1.08 | 3.5 | |
| C=O | 288.01 | 0.96 | 1.1 | |
| –COOR | 288.97 | 1.19 | 5.2 | |
| DCS | 284.01 | 0.77 | 17.2 | |
| ACN | C–H | 285.00 | 0.90 | 11.4 |
| C=C sp2 | 284.42 | 0.81 | 63.4 | |
| C–C sp3 | 285.61 | 0.87 | 7.7 | |
| C–OH | 286.29 | 0.95 | 6.0 | |
| C–O–C | 287.07 | 1.05 | 4.8 | |
| C=O | 287.91 | 0.94 | 2.0 | |
| –COOR | 289.09 | 1.23 | 4.7 |
| Adsorbent | Name | Position | FWHM | %At Conc |
|---|---|---|---|---|
| BW | quinones | 530.52 | 1.44 | 4.2 |
| O=C | 531.39 | 1.46 | 14.4 | |
| HO–C | 532.67 | 1.31 | 36.5 | |
| O–C | 533.97 | 1.41 | 35.4 | |
| O2/H2O | 535.04 | 1.61 | 9.5 | |
| BPB | quinones | 530.58 | 1.46 | 6.2 |
| O=C | 531.61 | 1.48 | 36.0 | |
| HO–C | 532.63 | 1.36 | 23.8 | |
| O–C | 533.58 | 1.47 | 28.7 | |
| O2/H2O | 535.20 | 1.83 | 5.3 | |
| BCH | quinones | 530.59 | 1.45 | 4.9 |
| O=C | 531.68 | 1.45 | 27.1 | |
| HO–C | 532.58 | 1.37 | 32.3 | |
| O–C | 533.56 | 1.41 | 33.1 | |
| O2/H2O | 534.81 | 1.59 | 2.5 | |
| ACN | quinones | 530.46 | 1.45 | 5.5 |
| O=C | 531.51 | 1.44 | 9.9 | |
| HO–C | 532.47 | 1.36 | 36.5 | |
| O–C | 533.78 | 1.43 | 37.5 | |
| O2/H2O | 534.97 | 1.56 | 10.6 |
| Metal | Phase | Parameter | BW | BPB | BCH | ACN |
|---|---|---|---|---|---|---|
| Cd | 1 | ki,1 (mg/g·min0.5) | 8 × 10−5 | 0.0001 | 0.0002 | 4 × 10−5 |
| Ci,1 (mg/g) | 0.032 | 0.0024 | −0.0002 | 0.0037 | ||
| R2 | 0.9578 | 0.9297 | 0.8731 | 0.9270 | ||
| 2 | ki,2 (mg/g·min0.5) | 4 × 10−6 | 8 × 10−7 | 2 × 10−5 | 2 × 10−5 | |
| Ci,2 (mg/g) | 0.0041 | 0.0039 | 0.002 | 0.0041 | ||
| R2 | 1.0000 | 1.0000 | 1.0000 | 1.0000 | ||
| Cu | 1 | ki,1 (mg/g·min0.5) | 0.0008 | 0.0023 | 0.0016 | 0.003 |
| Ci,1 (mg/g) | 0.0266 | 0.0167 | −0.0016 | 0.0617 | ||
| R2 | 0.9556 | 0.9995 | 0.9612 | 0.7872 | ||
| 2 | ki,2 (mg/g·min0.5) | 7 × 10−5 | 0.0001 | 0.0005 | 7 × 10−5 | |
| Ci,2 (mg/g) | 0.0353 | 0.0931 | 0.0128 | 0.0924 | ||
| R2 | 1.0000 | 1.0000 | 1.0000 | 0.6663 | ||
| Ni | 1 | ki,1 (mg/g·min0.5) | 0.0006 | 0.0006 | 0.0001 | 0.0003 |
| Ci,1 (mg/g) | 0.007 | 0.0033 | 0.0038 | 0.0204 | ||
| R2 | 0.7360 | 0.9855 | 1.0000 | 0.8977 | ||
| 2 | ki,2 (mg/g·min0.5) | 2 × 10−5 | 1 × 10−5 | 4 × 10−5 | 0.0002 | |
| Ci,2 (mg/g) | 0.0126 | 0.0121 | 0.0049 | 0.0213 | ||
| R2 | 0.5853 | 1.0000 | 0.9111 | 0.9966 | ||
| Pb | 1 | ki,1 (mg/g·min0.5) | 0.0002 | 0.0013 | 0.0006 | 0.00007 |
| Ci,1 (mg/g) | 0.0637 | 0.0522 | 0.0557 | 0.0706 | ||
| R2 | 0.8727 | 0.9599 | 0.9942 | 0.8881 | ||
| 2 | ki,2 (mg/g·min0.5) | 1 × 10−5 | 2 × 10−5 | 3 × 10−5 | −6 × 10−6 | |
| Ci,2 (mg/g) | 0.067 | 0.0686 | 0.0629 | 0.0773 | ||
| R2 | 1.0000 | 1.0000 | 1.0000 | 1.000 | ||
| Zn | 1 | ki,1 (mg/g·min0.5) | 0.0003 | 0.0068 | 0.0032 | 0.0008 |
| Ci,1 (mg/g) | 0.114 | −0.0132 | 0.0083 | 0.1227 | ||
| R2 | 0.7261 | 0.9746 | 0.9663 | 0.9193 | ||
| 2 | ki,2 (mg/g·min0.5) | 4 × 10−7 | 0.0009 | 0.0004 | 0.0001 | |
| Ci,2 (mg/g) | 0.1188 | 0.0615 | 0.0485 | 0.1297 | ||
| R2 | 1.0000 | 1.0000 | 1.0000 | 0.9999 |



References
- Andreozzi, R.; Fabbricino, M.; Ferrraro, A.; Lerza, S.; Marotta, R.; Pirozzi, F.; Race, M. Simultaneous removal of Cr(III) from high contaminated soil and recovery of lactic acid from the spent solution. J. Environ. Manag. 2020, 268, 110584. [Google Scholar] [CrossRef] [PubMed]
- Wang, L.; Rinklebe, J.; Tack, F.M.G.; Hou, D. A review of green remediation strategies for heavy metal contaminated soil. Soil Use Manag. 2021, 37, 936–963. [Google Scholar] [CrossRef]
- Yang, Z.; Wang, D.; Wang, G.; Zhang, S.; Cheng, Z.; Xian, J.; Pu, Y.; Li, T.; Jia, Y.; Li, Y.; et al. Removal of Pb, Zn, Ni and Cr from industrial sludge by biodegradable washing agents: Caboxyethylthiosuccinic acid and itaconic-acrylic acid. J. Environ. Chem. Eng. 2021, 9, 105846. [Google Scholar] [CrossRef]
- Gusiatin, Z.M.; Kumpiene, J.; Janiszewska, S.; Kasiński, S.; Pecio, M.; Piec, R.; Radziemska, M. A mineral by-product from gasification of poultry feathers for removing Cd from highly contaminated synthetic wastewater. Minerals 2020, 10, 1048. [Google Scholar] [CrossRef]
- Klik, B.; Gusiatin, Z.M.; Kulikowska, D. A holistic approach to remediation of soil contaminated with Cu, Pb and Zn with sewage sludge-derived washing agents and synthetic chelator. J. Clean Prod. 2021, 311, 127664. [Google Scholar] [CrossRef]
- Kulikowska, D.; Klik, B.K.; Gusiatin, Z.M.; Hajdukiewicz, K. Characteristics of humic substances from municipal sewage sludge: A case study. Desalination Water Treat. 2019, 144, 57–64. [Google Scholar] [CrossRef]
- Futalan, C.M.; Kim, J.; Yee, J.J. Adsorptive treatment via simultaneous removal of copper, lead and zinc from soil washing wastewater using spent coffee grounds. Water Sci. Technol. 2019, 79, 1029–1041. [Google Scholar] [CrossRef]
- Wang, Q.; Chen, J. Recovery of EDTA from soil-washing wastewater with calcium-hydroxide-enhanced sulfide precipitation. Chemosphere 2019, 237, 124286. [Google Scholar] [CrossRef]
- Ferraro, A.; van Hullebusch, E.D.; Huguenot, D.; Fabbricino, M.; Esposito, G. Application of an electrochemical treatment for EDDS soil washing solution regeneration and reuse in a multi-step soil washing process: Case of a Cu contaminated soil. J. Environ. Manag. 2015, 163, 62–69. [Google Scholar] [CrossRef]
- Futalan, C.M.; Phatai, P.; Kim, J.; Maulana, A.Y.; Yee, J.J. Treatment of soil washing wastewater via adsorption of lead and zinc using graphene oxide. Environ. Sci. Pollut. Res. 2019, 26, 17292–17304. [Google Scholar] [CrossRef]
- de Oliveira Silva, K.N.; Rodrigo, M.A.; dos Santos, E.V. Electrochemical treatment of soil-washing effluent with boron-doped diamond electrodes: A review. Curr. Opin. Solid State Mater. Sci. 2021, 25, 100962. [Google Scholar] [CrossRef]
- Zhan, L.; Chen, M. The improvement effects of different treatment methods of soil wastewater washing on environmental pollution. Water 2020, 12, 2329. [Google Scholar] [CrossRef]
- Reynier, N.; Coudert, L.; Blais, J.F.; Mercier, G.; Besner, S. Treatment of contaminated soil leachate by precipitation, adsorption and Ion exchange. J. Environ. Chem. Eng. 2015, 3, 977–985. [Google Scholar] [CrossRef]
- Fabbricino, M.; Ferraro, A.; Luongo, V.; Pontoni, L.; Race, M. Soil washing optimization, recycling of the solution, and ecotoxicity assessment for the remediation of Pb-contaminated sites using EDDS. Sustainability 2018, 10, 636. [Google Scholar] [CrossRef]
- Makino, T.; Takano, H.; Kamiya, T.; Itou, T.; Sekiya, N.; Inahara, M.; Sakurai, Y. Restoration of cadmium-contaminated paddy soils by washing with ferric chloride: Cd extraction mechanism and bench-scale verification. Chemosphere 2008, 70, 1035–1043. [Google Scholar] [CrossRef]
- Gusiatin, Z.M.; Kulikowska, D.; Klik, B. New-generation washing agents in remediation of metal-polluted soils and methods for washing effluent treatment: A review. Int. J. Environ. Res. Public Health 2020, 17, 6220. [Google Scholar] [CrossRef]
- Park, S.M.; Kim, T.; Kim, Y.H.; Baek, K. Hybrid process of combined soil washing and selective adsorption to treat Cs-contaminated soil. Chem. Eng. J. 2021, 423, 129921. [Google Scholar] [CrossRef]
- Xu, Z.; Guo, H.; Liu, T.; Zhang, W.; Ma, X. Regeneration of washing effluents for remediation of petroleum-hydrocarbons-contaminated soil by corncob-based biomass materials. ACS Omega 2019, 4, 18711–18717. [Google Scholar] [CrossRef]
- Chen, X.; Yin, L.; Zhou, H.; Liu, J.; Ai, X.; Huang, K. Efficient removal of lead from washing effluent of lead-contaminated soil with garlic peel. Chem. Res. Chin. Univ. 2018, 34, 1020–1027. [Google Scholar] [CrossRef]
- Hughes, D.L.; Afsar, A.; Laventine, D.M.; Shaw, E.J.; Harwood, L.M.; Hodson, M.E. Metal removal from soil leachates using DTPA-functionalised maghemite nanoparticles, a potential soil washing technology. Chemosphere 2018, 209, 480–488. [Google Scholar] [CrossRef] [PubMed]
- Li, H.; Dong, X.; da Silva, E.B.; de Oliveira, L.M.; Chen, Y.; Ma, L.Q. Mechanisms of metal sorption by biochars: Biochar characteristics and modifications. Chemosphere 2017, 178, 466–478. [Google Scholar] [CrossRef]
- Jjagwe, J.; Olupot, P.W.; Menya, E.; Kalibbala, H.M. Synthesis and application of granular activated carbon from biomass waste materials for water treatment: A review. J. Bioresour. Bioprod. 2021, 6, 292–322. [Google Scholar] [CrossRef]
- Obey, G.; Adelaide, M.; Ramaraj, R. Biochar derived from non-customized matamba fruit shell as an adsorbent for wastewater treatment. J. Bioresour. Bioprod. 2022, 7, 109–115. [Google Scholar] [CrossRef]
- Xiang, W.; Zhang, X.; Chen, J.; Zou, W.; He, F.; Hu, X.; Tsang, D.C.W.; Ok, Y.S.; Gao, B. Biochar technology in wastewater treatment: A critical review. Chemosphere 2020, 252, 126539. [Google Scholar] [CrossRef] [PubMed]
- Kulikowska, D.; Gusiatin, Z.M.; Bułkowska, K.; Klik, B. Feasibility of using humic substances from compost to remove heavy metals (Cd, Cu, Ni, Pb, Zn) from contaminated soil aged for different periods of time. J. Hazard. Mater. 2015, 300, 882–891. [Google Scholar] [CrossRef]
- EBC. (2012–2022) European Biochar Certificate—Guidelines for a Sustainable Production of Biochar; Carbon Standards International (CSI): Frick, Switzerland, 2022; Available online: http://European-Biochar.Org (accessed on 1 April 2023).
- Pueyo, M.; Mateu, J.; Rigol, A.; Vidal, M.; López-Sánchez, J.F.; Rauret, G. Use of the modified BCR three-step sequential extraction procedure for the study of trace element dynamics in contaminated soils. Environ. Pollut. 2008, 152, 330–341. [Google Scholar] [CrossRef]
- Damian, G.E.; Micle, V.; Sur, I.M. Mobilization of Cu and Pb from multi-metal contaminated soils by dissolved humic substances extracted from leonardite and factors affecting the process. J. Soils Sediments 2019, 19, 2869–2881. [Google Scholar] [CrossRef]
- Piccolo, A.; Spaccini, R.; De Martino, A.; Scognamiglio, F.; di Meo, V. Soil washing with solutions of humic substances from manure compost removes heavy metal contaminants as a function of humic molecular composition. Chemosphere 2019, 225, 150–156. [Google Scholar] [CrossRef] [PubMed]
- Marzeddu, S.; Décima, M.A.; Camilli, L.; Bracciale, M.P.; Genova, V.; Paglia, L.; Marra, F.; Damizia, M.; Stoller, M.; Chiavola, A.; et al. Physical-chemical characterization of different carbon-based sorbents for environmental applications. Materials 2022, 15, 7162. [Google Scholar] [CrossRef]
- Ahmedna, M.; Marshall, W.E.; Husseiny, A.A.; Rao, R.M.; Goktepe, I. The use of nutshell carbons in drinking water filters for removal of trace metals. Water Res. 2004, 38, 1062–1068. [Google Scholar] [CrossRef]
- Hsieh, C.T.; Teng, H. Influence of mesopore volume and adsorbate size on adsorption capacities of activated carbons in aqueous solutions. Carbon 2000, 38, 863–869. [Google Scholar] [CrossRef]
- Lawal, A.A.; Hassan, M.A.; Zakaria, M.R.; Yusoff, M.Z.M.; Norrrahim, M.N.F.; Mokhtar, M.N.; Shirai, Y. Effect of oil palm biomass cellulosic content on nanopore structure and adsorption capacity of biochar. Bioresour. Technol. 2021, 332, 125070. [Google Scholar] [CrossRef]
- Jindo, K.; Mizumoto, H.; Sawada, Y.; Sanchez-Monedero, M.A.; Sonoki, T. Physical and chemical characterization of biochars derived from different agricultural residues. Biogeosciences 2014, 11, 6613–6621. [Google Scholar] [CrossRef]
- Décima, M.A.; Marzeddu, S.; Barchiesi, M.; Di Marcantonio, C.; Chiavola, A.; Boni, M.R. A review on the removal of carbamazepine from aqueous solution by using activated carbon and biochar. Sustainability 2021, 13, 11760. [Google Scholar] [CrossRef]
- Mukome, F.N.; Zhang, X.; Silva, L.C.; Six, J.; Parikh, S.J. Use of chemical and physical characteristics to investigate trends in biochar feedstocks. J. Agric. Food Chem. 2013, 61, 2196–2222. [Google Scholar] [CrossRef] [PubMed]
- Hmid, A.; Mondelli, D.; Fiore, S.; Fanizzi, F.P.; Al Chami, Z.; Dumontet, S. Production and characterization of biochar from three-phase olive mill waste through slow pyrolysis. Biomass Bioenergy 2014, 71, 330–339. [Google Scholar] [CrossRef]
- Askeland, M.; Clarke, B.; Paz-Ferreiro, J. Comparative characterization of biochars produced at three selected pyrolysis temperatures from common woody and herbaceous waste streams. PeerJ 2019, 7, e6784. [Google Scholar] [CrossRef]
- Al-Wabel, M.I.; Al-Omran, A.; El-Naggar, A.H.; Nadeem, M.; Usman, A.R.A. Pyrolysis temperature induced changes in characteristics and chemical composition of biochar produced from conocarpus wastes. Bioresour. Technol. 2013, 131, 374–379. [Google Scholar] [CrossRef]
- Chu, G.; Zhao, J.; Liu, Y.; Lang, D.; Wu, M.; Pan, B.; Steinberg, C.E.W. The relative importance of different carbon structures in biochars to carbamazepine and bisphenol a sorption. J. Hazard. Mater. 2019, 373, 106–114. [Google Scholar] [CrossRef]
- Socrates, G. Infrared and Raman Characteristic Group Frequencies: Tables and Charts; John Wiley & Sons: Hoboken, NJ, USA, 2001. [Google Scholar]
- Keiluweit, M.; Nico, P.S.; Johnson, M.G.; Kleber, M. Dynamic molecular structure of plant biomass-derived black carbon (biochar). Environ. Sci. Technol. 2010, 44, 12471253. [Google Scholar] [CrossRef]
- Xiaoli, C.; Yongxia, H.; Guixiang, L.; Xin, Z.; Youcai, Z. Spectroscopic studies of the effect of aerobic conditions on the chemical characteristics of humic acid in landfill leachate and its implication for the environment. Chemosphere 2013, 91, 1058–1063. [Google Scholar] [CrossRef] [PubMed]
- Morterra, C.; Low, M.J.D. The nature of the 1600 cm−1 band of carbons. Spectrosc. Lett. 1982, 15, 689–697. [Google Scholar] [CrossRef]
- Yang, C.Q.; Simms, J.R. Comparison of photoacoustic, diffuse reflectance and transmission infrared spectroscopy for the study of carbon fibres. Fuel 1995, 74, 543–548. [Google Scholar] [CrossRef]
- Lu, H.; Zhang, W.; Yang, Y.; Huang, X.; Wang, S.; Qiu, R. Relative distribution of Pb2+ sorption mechanisms by sludge-derived biochar. Water Res. 2012, 46, 854–862. [Google Scholar] [CrossRef]
- Qiu, B.; Tao, X.; Wang, H.; Li, W.; Ding, X.; Chu, H. Biochar as a low-cost adsorbent for aqueous heavy metal removal: A review. J. Anal. Appl. Pyrolysis 2021, 155, 105081. [Google Scholar] [CrossRef]
- Shan, R.; Shi, Y.; Gu, J.; Wang, Y.; Yuan, H. Single and competitive adsorption affinity of heavy metals toward peanut shell-derived biochar and its mechanisms in aqueous systems. Chin. J. Chem. Eng. 2020, 28, 1375–1383. [Google Scholar] [CrossRef]
- Chen, X.; Chen, G.; Chen, L.; Chen, Y.; Lehmann, J.; McBride, M.B.; Hay, A.G. Adsorption of copper and zinc by biochars produced from pyrolysis of hardwood and corn straw in aqueous solution. Bioresour. Technol. 2011, 102, 8877–8884. [Google Scholar] [CrossRef]
- Ambaye, T.G.; Vaccari, M.; van Hullebusch, E.D.; Amrane, A.; Rtimi, S. Mechanisms and adsorption capacities of biochar for the removal of organic and inorganic pollutants from industrial wastewater. Int. J. Environ. Sci. Technol. 2021, 18, 3273–3294. [Google Scholar] [CrossRef]
- Zhao, M.; Dai, Y.; Zhang, M.; Feng, C.; Qin, B.; Zhang, W.; Zhao, N.; Li, Y.; Ni, Z.; Xu, Z.; et al. Mechanisms of Pb and/or Zn adsorption by different biochars: Biochar characteristics, stability, and binding energies. Sci. Total Environ. 2020, 717, 136894. [Google Scholar] [CrossRef] [PubMed]
- Fei, Y.H.; Zhang, Z.; Ye, Z.; Wu, Q.; Tang, Y.T.; Xiao, T. Roles of soluble minerals in Cd sorption onto rice straw biochar. J. Environ. Sci. 2022, 113, 64–71. [Google Scholar] [CrossRef]
- Li, J.; Zheng, L.; Wang, S.L.; Wu, Z.; Wu, W.; Niazi, N.K.; Shaheen, S.M.; Rinklebe, J.; Bolan, N.; Ok, Y.S.; et al. Sorption mechanisms of lead on silicon-rich biochar in aqueous solution: Spectroscopic investigation. Sci. Total Environ. 2019, 672, 572–582. [Google Scholar] [CrossRef]
- Zhang, F.; Wang, X.; Yin, D.; Peng, B.; Tan, C.; Liu, Y.; Tan, X.; Wu, S. Efficiency and mechanisms of Cd removal from aqueous solution by biochar derived from water hyacinth (eichornia crassipes). J. Environ. Manag. 2015, 153, 68–73. [Google Scholar] [CrossRef] [PubMed]
- Zhao, J.J.; Shen, X.J.; Domene, X.; Alcañiz, J.M.; Liao, X.; Palet, C. Comparison of biochars derived from different types of feedstock and their potential for heavy metal removal in multiple-metal solutions. Sci. Rep. 2019, 9, 9869. [Google Scholar] [CrossRef] [PubMed]
- Yan, X.; Du, W.; Ma, C.; Cheng, S.; Li, X. Humic acid adsorption behavior and mechanism comparison between biochars and activated carbon. Desalination Water Treat. 2020, 173, 213–222. [Google Scholar] [CrossRef]
- Liu, H.; Ye, M.; Dong, X.; Ren, Z.; Long, S.; Lichtfouse, E. Removal of humic substances by the synergistic effect of biochar adsorption and activation of persulfate. J. Water Process Eng. 2021, 44, 102428. [Google Scholar] [CrossRef]
- Liu, Z.; Zhang, F.S. Removal of lead from water using biochars prepared from hydrothermal liquefaction of biomass. J. Hazard. Mater. 2009, 167, 933–939. [Google Scholar] [CrossRef] [PubMed]
- Mohan, D.; Pittman, C.U.; Bricka, M.; Smith, F.; Yancey, B.; Mohammad, J.; Steele, P.H.; Alexandre-Franco, M.F.; Gómez-Serrano, V.; Gong, H. Sorption of arsenic, cadmium, and lead by chars produced from fast pyrolysis of wood and bark during bio-oil production. J. Colloid Interface Sci. 2007, 310, 57–73. [Google Scholar] [CrossRef]
- Anoop Krishnan, K.; Sreejalekshmi, K.G.; Baiju, R.S. Nickel(II) adsorption onto biomass based activated carbon obtained from sugarcane bagasse pith. Bioresour. Technol. 2011, 102, 10239–10247. [Google Scholar] [CrossRef]
- Manjuladevi, M.; Anitha, R.; Manonmani, S. Kinetic study on adsorption of Cr(VI), Ni(II), Cd(II) and Pb(II) Ions from aqueous solutions using activated carbon prepared from cucumis melo peel. Appl. Water Sci. 2018, 8, 36. [Google Scholar] [CrossRef]
- Zhou, R.; Zhang, M.; Shao, S. Optimization of target biochar for the adsorption of target heavy metal Ion. Sci. Rep. 2022, 12, 13662. [Google Scholar] [CrossRef]
- Liu, J.; Wang, H.; Ma, N.; Zhou, B.; Chen, H.; Yuan, R. Optimization of the raw materials of biochars for the adsorption of heavy metal Ions from aqueous solution. Water Sci. Technol. 2022, 85, 2869–2881. [Google Scholar] [CrossRef] [PubMed]
- Hameed, B.H. Evaluation of papaya seeds as a novel non-conventional low-cost adsorbent for removal of methylene blue. J. Hazard. Mater. 2009, 162, 939–944. [Google Scholar] [CrossRef] [PubMed]
- Fierro, V.; Torné-Fernández, V.; Montané, D.; Celzard, A. Adsorption of phenol onto activated carbons having different textural and surface properties. Microporous Mesoporous Mater. 2008, 111, 276–284. [Google Scholar] [CrossRef]
- Ofomaja, A.E. Intraparticle diffusion process for lead(II) biosorption onto mansonia wood sawdust. Bioresour. Technol. 2010, 101, 5868–5876. [Google Scholar] [CrossRef]
- Chen, J.; Lu, X. Equilibrium and kinetics studies of Cd(II) sorption on zeolite nax synthesized from coal gangue. J. Water Reuse Desalin. 2018, 8, 94–101. [Google Scholar] [CrossRef]
- Zhu, Q.; Moggridge, G.D.; D’Agostino, C. Adsorption of pyridine from aqueous solutions by polymeric adsorbents MN 200 and MN 500. Part 2: Kinetics and diffusion analysis. Chem. Eng. J. 2016, 306, 1223–1233. [Google Scholar] [CrossRef]
- Zhang, J.; Lu, W.; Zhan, S.; Qiu, J.; Wang, X.; Wu, Z.; Li, H.; Qiu, Z.; Peng, H. Adsorption and mechanistic study for humic acid removal by magnetic biochar derived from forestry wastes functionalized with Mg/Al-LDH. Sep. Purif. Technol. 2021, 276, 119296. [Google Scholar] [CrossRef]
- Omri, A.; Benzina, M.; Trabelsi, W.; Ammar, N. Adsorptive removal of humic acid on activated carbon prepared from almond shell: Approach for the treatment of industrial phosphoric acid solution. Desalination Water Treat. 2014, 52, 2241–2252. [Google Scholar] [CrossRef]
- Tan, K.L.; Hameed, B.H. Insight into the adsorption kinetics models for the removal of contaminants from aqueous solutions. J. Taiwan Inst. Chem. Eng. 2017, 74, 25–48. [Google Scholar] [CrossRef]
- Koinuma, M.; Tateishi, H.; Hatakeyama, K.; Miyamoto, S.; Ogata, C.; Funatsu, A.; Taniguchi, T.; Matsumoto, Y. Analysis of reduced graphene oxides by X-ray photoelectron spectroscopy and electrochemical capacitance. Chem. Lett. 2013, 42, 924–926. [Google Scholar] [CrossRef]
- Rabchinskii, M.K.; Ryzhkov, S.A.; Kirilenko, D.A.; Ulin, N.V.; Baidakova, M.V.; Shnitov, V.V.; Pavlov, S.I.; Chumakov, R.G.; Stolyarova, D.Y.; Besedina, N.A.; et al. From graphene oxide towards aminated graphene: Facile synthesis, its structure and electronic properties. Sci. Rep. 2020, 10, 6902. [Google Scholar] [CrossRef] [PubMed]
- Maddi, C.; Bourquard, F.; Barnier, V.; Avila, J.; Asensio, M.C.; Tite, T.; Donnet, C.; Garrelie, F. Nano-architecture of nitrogen-doped graphene films synthesized from a solid CN source. Sci. Rep. 2018, 8, 3247. [Google Scholar] [CrossRef] [PubMed]
- Barinov, A.; Malcioǧlu, O.B.; Fabris, S.; Sun, T.; Gregoratti, L.; Dalmiglio, M.; Kiskinova, M. Initial stages of oxidation on graphitic surfaces: Photoemission study and density functional theory calculations. J. Phys. Chem. C 2009, 113, 9009–9013. [Google Scholar] [CrossRef]
- Oh, Y.J.; Yoo, J.J.; Kim, Y., II; Yoon, J.K.; Yoon, H.N.; Kim, J.H.; Park, S. Bin oxygen functional groups and electrochemical capacitive behavior of incompletely reduced graphene oxides as a thin-film electrode of supercapacitor. Electrochim. Acta 2014, 116, 118–128. [Google Scholar] [CrossRef]
- Arrigo, R.; Hävecker, M.; Wrabetz, S.; Blume, R.; Lerch, M.; McGregor, J.; Parrott, E.P.J.; Zeitler, J.A.; Gladden, L.F.; Knop-Gericke, A.; et al. Tuning the acid/base properties of nanocarbons by functionalization via amination. J. Am. Chem. Soc. 2010, 132, 9616–9630. [Google Scholar] [CrossRef]
- Stobinski, L.; Lesiak, B.; Malolepszy, A.; Mazurkiewicz, M.; Mierzwa, B.; Zemek, J.; Jiricek, P.; Bieloshapka, I. Graphene oxide and reduced graphene oxide studied by the XRD, TEM and electron spectroscopy methods. J. Electron. Spectros. Relat. Phenomena 2014, 195, 145–154. [Google Scholar] [CrossRef]








| Property | Unit | SHS | SWW |
|---|---|---|---|
| pH | - | 4.0 ± 0.1 | 4.9 ± 0.1 |
| Electrical conductivity | mS/cm | 36.6 ± 4.5 | 64.9 ± 1.5 |
| Total organic carbon | mg/L | 2200.0 ± 20.6 | 1934.0 ± 11.6 |
| Total inorganic carbon | 6.5 ± 0.6 | 6.4 ± 0.2 | |
| Calcium (Ca) | 15.6 ± 2.6 | 127.6 ± 6.5 | |
| Magnesium (Mg) | 15.1 ± 1.9 | 29.9 ± 3.2 | |
| Sodium (Na) | 1025.5 ± 8.9 | 1022.9 ± 10.6 | |
| Cadmium (Cd) | 0.1 ± 0.02 | 0.5 ± 0.08 | |
| Copper (Cu) | 6.1 ± 0.4 | 10.3 ± 1.3 | |
| Nickel (Ni) | 0.1 ± 0.03 | 3.1 ± 0.6 | |
| Lead (Pb) | 0.05 ± 0.1 | 7.8 ± 0.02 | |
| Zinc (Zn) | 3.0 ± 0.3 | 14.2 ± 0.9 |
| Characteristic | Adsorbent | |||
|---|---|---|---|---|
| BW | BPB | BCH | ACN | |
| Average pore diameter (nm) | 5.3 | 127.0 | 128.6 | 7.2 |
| BET surface area (m2/g) | 313.7 | 2.36 | 2.88 | 659.4 |
| Micropore surface area (m2/g) | 272.9 | 0.52 | 0.29 | 347.3 |
| Total pore volume (cm3/g) | 0.1132 | 0.0089 | 0.0012 | 0.6116 |
| Micropore volume (cm3/g) (%) * | 0.0859 76 | 0.00077 9 | 0.00052 4 | 0.1456 24 |
| Moisture (%) | 5.2 | 4.1 | 4.6 | 4.7 |
| Volatile matter (%) | 26.3 | 27.2 | 35.1 | 13.7 |
| Ash content (%) | 8.8 | 7.0 | 7.8 | 8.2 |
| Fixed carbon (%) | 59.7 | 61.7 | 52.5 | 73.4 |
| pH | 10.35 ± 0.29 | 7.90 ± 0.1 | 7.65 ± 0.09 | 9.58 ± 0.18 |
| EC (mS/cm) | 2.9 ± 0.0 | 2.0 ± 0.0 | 0.06 ± 0.0 | 1.2 ± 0.0 |
| Total C (%) | 75.27 ± 0.45 | 77.21 ± 2.32 | 67.64 ± 3.42 | 78.33 ± 0.64 |
| Total H (%) | 1.94 ± 0.13 | 2.14 ± 0.18 | 3.00 ± 0.05 | 0.71 ± 0.15 |
| Total N (%) | 1.78 ± 0.24 | 0.50 ± 0.09 | 0.90 ± 0.14 | 1.63 ± 0.09 |
| Total O (%) | 12.2 | 13.1 | 20.7 | 11.1 |
| H/C mole ratio | 0.31 | 0.30 | 0.53 | 0.11 |
| O/C mole ratio | 0.12 | 0.13 | 0.23 | 0.11 |
| Adsorbent | Element | Binding Energy (eV) | Conc. (%at.) |
|---|---|---|---|
| BW | C | 285.0 | 85.2 |
| N | 399.8 | 0.8 | |
| O | 533.3 | 13.5 | |
| Si | 103.5 | 0.4 | |
| BPB | C | 285.0 | 87.2 |
| N | 399.8 | 0.6 | |
| O | 532.5 | 11.5 | |
| Ca | 347.3 | 0.7 | |
| BCH | C | 285.0 | 84.0 |
| N | 399.0 | 1.2 | |
| O | 533.3 | 14.4 | |
| Ca | 348.0 | 0.5 | |
| ACN | C | 285.0 | 91.4 |
| N | 402.0 | 0.5 | |
| O | 533.3 | 7.7 | |
| Si | 102.8 | 0.4 |
| Adsorbent | Dosage (g/L) | Na (mg/L) | RE (%) | Ca (mg/L) | RE (%) | Mg (mg/L) | RE (%) |
|---|---|---|---|---|---|---|---|
| BW | 0 | 1022.9 ± 22.1 | 127.6 ± 5.9 | 29.9 ± 2.1 | |||
| 12.5 | 1167.9 ± 15.6 | −14.2 | 182.6 ± 9.4 | −43.1 | 57.9 ± 4.7 | −93.9 | |
| 25 | 1167.7 ± 23.1 | −14.2 | 179.8 ± 3.9 | −41.0 | 58.6 ± 3.1 | −96.3 | |
| 50 | 1041.8 ± 10.9 | −18.0 | 129.0 ± 6.4 | −1.2 | 49.6 ± 4.4 | −66.2 | |
| 100 | 977.4 ± 8.9 | 4.4 | 88.0 ± 3.3 | 31.1 | 53.5 ± 4.9 | −79.1 | |
| BPB | 0 | 1022.9 ± 16.7 | 127.6 ± 2.7 | 29.9 ± 1.3 | |||
| 12.5 | 514.2 ± 9.1 | 49.7 | 145.3 ± 6.2 | −13.9 | 40.1 ± 2.3 | −34.3 | |
| 25 | 512.4 ± 5.9 | 49.9 | 162.0 ± 3.1 | −27.0 | 25.7 ± 1.2 | 14.0 | |
| 50 | 495.4 ± 7.1 | 51.6 | 155.2 ± 2.9 | −21.7 | 25.0 ± 0.9 | 16.2 | |
| 100 | 497.0 ± 7.3 | 51.4 | 158.1 ± 2.8 | −23.9 | 42.7 ± 2.8 | −43.0 | |
| BCH | 0 | 1022.9 ± 19.1 | 127.6 ± 3.1 | 29.9 ± 1.0 | |||
| 12.5 | 520.3 ± 10.1 | 49.1 | 121.3 ± 1.2 | 4.9 | 51.5 ± 2.1 | −72.3 | |
| 25 | 530.9 ± 8.2 | 48.1 | 121.9 ± 3.9 | 4.4 | 47.5 ± 3.7 | −59.1 | |
| 50 | 501.5 ± 9.4 | 51.0 | 123.9 ± 4.1 | 2.9 | 47.6 ± 1.7 | −59.5 | |
| 100 | 484.7 ± 7.2 | 52.6 | 146.6 ± 2.4 | −14.9 | 74.9 ± 4.2 | 150.8 | |
| ACN | 0 | 1022.9 ± 27.0 | 127.6 ± 4.1 | 29.9 ± 1.2 | |||
| 12.5 | 497.0 ± 18.1 | 51.4 | 98.9 ± 3.1 | 22.5 | 37.2 ± 0.9 | −24.7 | |
| 25 | 489.3 ± 13.7 | 52.2 | 78.1 ± 3.8 | 38.7 | 32.7 ± 1.3 | −9.5 | |
| 50 | 489.3 ± 10.6 | 52.2 | 61.1 ± 2.8 | 52.1 | 30.3 ± 1.0 | −1.3 | |
| 100 | 488.8 ± 9.8 | 52.2 | 46.9 ± 1.9 | 63.3 | 21.4 ± 2.1 | 28.4 |
| Adsorbent/ Metal | Pseudo-First Order | Pseudo-Second Order | |||||
|---|---|---|---|---|---|---|---|
| k1 | qe | R2 | k2 | qe | R2 | ||
| 1/min | mg/g | - | g/(mg·min) | mg/g | - | ||
| BW | Cd | 0.0621 | 0.0042 | 0.9965 | 35.1408 | 0.0043 | 0.9992 |
| Cu | 0.0553 | 0.0364 | 0.9962 | 3.2075 | 0.0382 | 0.9996 | |
| Ni | 0.0423 | 0.0133 | 0.9954 | 6.0823 | 0.0140 | 0.9874 | |
| Pb | 0.1189 | 0.0667 | 0.9997 | 12.4141 | 0.0673 | 0.9998 | |
| Zn | 0.1252 | 0.1179 | 0.9998 | 9.7425 | 0.1187 | 0.9998 | |
| BPB | Cd | 0.0543 | 0.0036 | 0.9821 | 26.6563 | 0.0039 | 0.9920 |
| Cu | 0.0257 | 0.0475 | 0.9877 | 0.7811 | 0.0516 | 0.9964 | |
| Ni | 0.0220 | 0.0120 | 0.9821 | 2.5908 | 0.0131 | 0.9912 | |
| Pb | 0.0621 | 0.0679 | 0.9987 | 2.2940 | 0.0704 | 0.9998 | |
| Zn | 0.0096 | 0.0934 | 0.9963 | 0.1217 | 0.1022 | 0.9897 | |
| BCH | Cd | 0.0066 | 0.0029 | 0.9656 | 2.6020 | 0.0032 | 0.9631 |
| Cu | 0.0063 | 0.0321 | 0.9879 | 0.2224 | 0.0352 | 0.9949 | |
| Ni | 0.0463 | 0.0055 | 0.9559 | 10.5117 | 0.0061 | 0.9755 | |
| Pb | 0.0943 | 0.0623 | 0.9984 | 5.5857 | 0.0637 | 0.9996 | |
| Zn | 0.0125 | 0.0603 | 0.9725 | 0.2860 | 0.0650 | 0.9878 | |
| ACN | Cd | 0.0747 | 0.0043 | 0.9926 | 40.6366 | 0.0045 | 0.9966 |
| Cu | 0.0536 | 0.0939 | 0.9990 | 1.4020 | 0.0972 | 0.9948 | |
| Ni | 0.0668 | 0.0248 | 0.9830 | 5.0726 | 0.0262 | 0.9903 | |
| Pb | 0.1028 | 0.0771 | 0.9999 | 8.6864 | 0.0778 | 0.9998 | |
| Zn | 0.1049 | 0.1321 | 0.9995 | 4.1552 | 0.1339 | 0.9999 | |
| Kinetic Model | BW | ACN | ||
|---|---|---|---|---|
| Pseudo-first order | k1 (1/min) | 0.0015 | 35.2196 | |
| qe (mg/g) | 10.9698 | 17.7280 | ||
| R2 | 0.9942 | 0.9987 | ||
| Pseudo-second order | k2 (g/mg·min) | 0.0001 | 0.021 | |
| qe (mg/g) | 14.0056 | 18.1490 | ||
| R2 | 0.9855 | 1.0000 | ||
| Intraparticle diffusion | Stage 130–180min | ki (mg/g·min0.5) | 0.2731 * | 0.1155 |
| Ci (mg/g) | −0.9825 * | 16.291 | ||
| R2 | 0.9982 * | 0.9007 | ||
| Stage 2180–1440min | ki (mg/g·min0.5) | – | 0.0152 | |
| Ci (mg/g) | – | 17.556 | ||
| R2 | – | 1.000 | ||
Disclaimer/Publisher’s Note: The statements, opinions and data contained in all publications are solely those of the individual author(s) and contributor(s) and not of MDPI and/or the editor(s). MDPI and/or the editor(s) disclaim responsibility for any injury to people or property resulting from any ideas, methods, instructions or products referred to in the content. |
© 2023 by the authors. Licensee MDPI, Basel, Switzerland. This article is an open access article distributed under the terms and conditions of the Creative Commons Attribution (CC BY) license (https://creativecommons.org/licenses/by/4.0/).
Share and Cite
Gusiatin, M.Z.; Pasieczna-Patkowska, S.; Bálintová, M.; Kuśmierz, M. Treatment of Wastewater from Soil Washing with Soluble Humic Substances Using Biochars and Activated Carbon. Energies 2023, 16, 4311. https://doi.org/10.3390/en16114311
Gusiatin MZ, Pasieczna-Patkowska S, Bálintová M, Kuśmierz M. Treatment of Wastewater from Soil Washing with Soluble Humic Substances Using Biochars and Activated Carbon. Energies. 2023; 16(11):4311. https://doi.org/10.3390/en16114311
Chicago/Turabian StyleGusiatin, Mariusz Z., Sylwia Pasieczna-Patkowska, Magdaléna Bálintová, and Marcin Kuśmierz. 2023. "Treatment of Wastewater from Soil Washing with Soluble Humic Substances Using Biochars and Activated Carbon" Energies 16, no. 11: 4311. https://doi.org/10.3390/en16114311
APA StyleGusiatin, M. Z., Pasieczna-Patkowska, S., Bálintová, M., & Kuśmierz, M. (2023). Treatment of Wastewater from Soil Washing with Soluble Humic Substances Using Biochars and Activated Carbon. Energies, 16(11), 4311. https://doi.org/10.3390/en16114311

