Study on Phase-Shift Mechanism and Kriging-Based Global Optimization of the Active Displacer Pulse Tube Refrigerators
Abstract
1. Introduction
2. Theoretical Analysis
2.1. Numerical Modeling
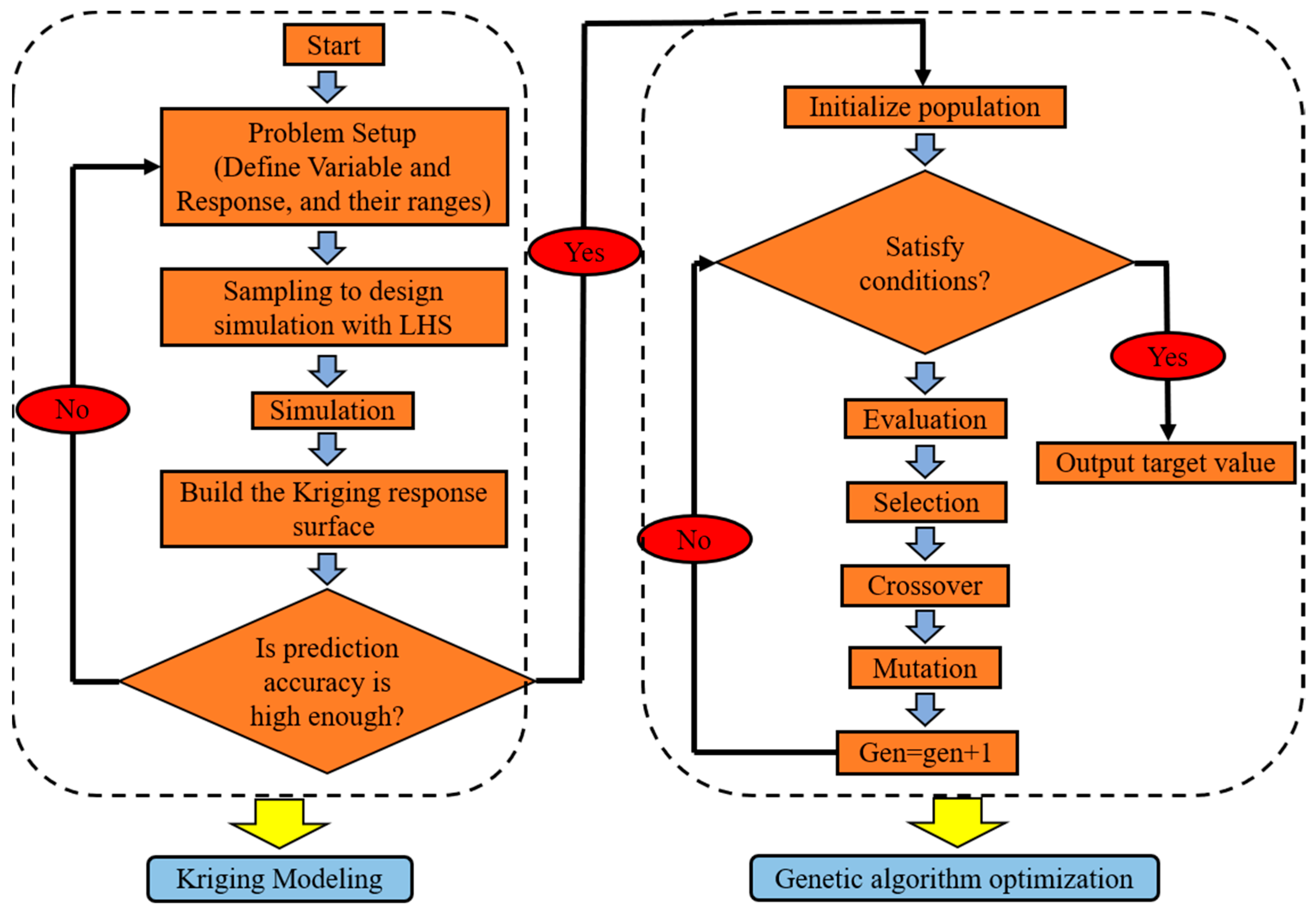
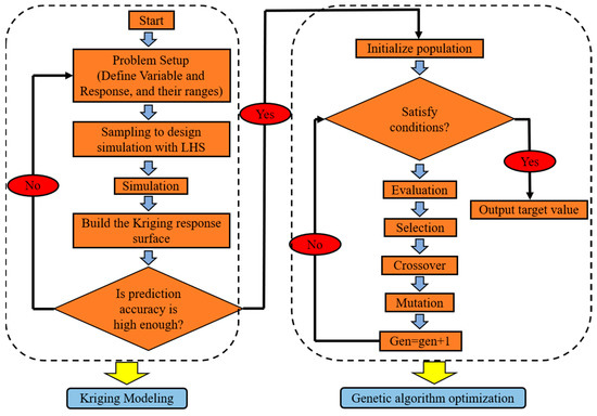
2.2. Kriging-Meta-Modeling Method Combined with Genetic Algorithm
3. Comparisons between the ADPTR and ITPTR
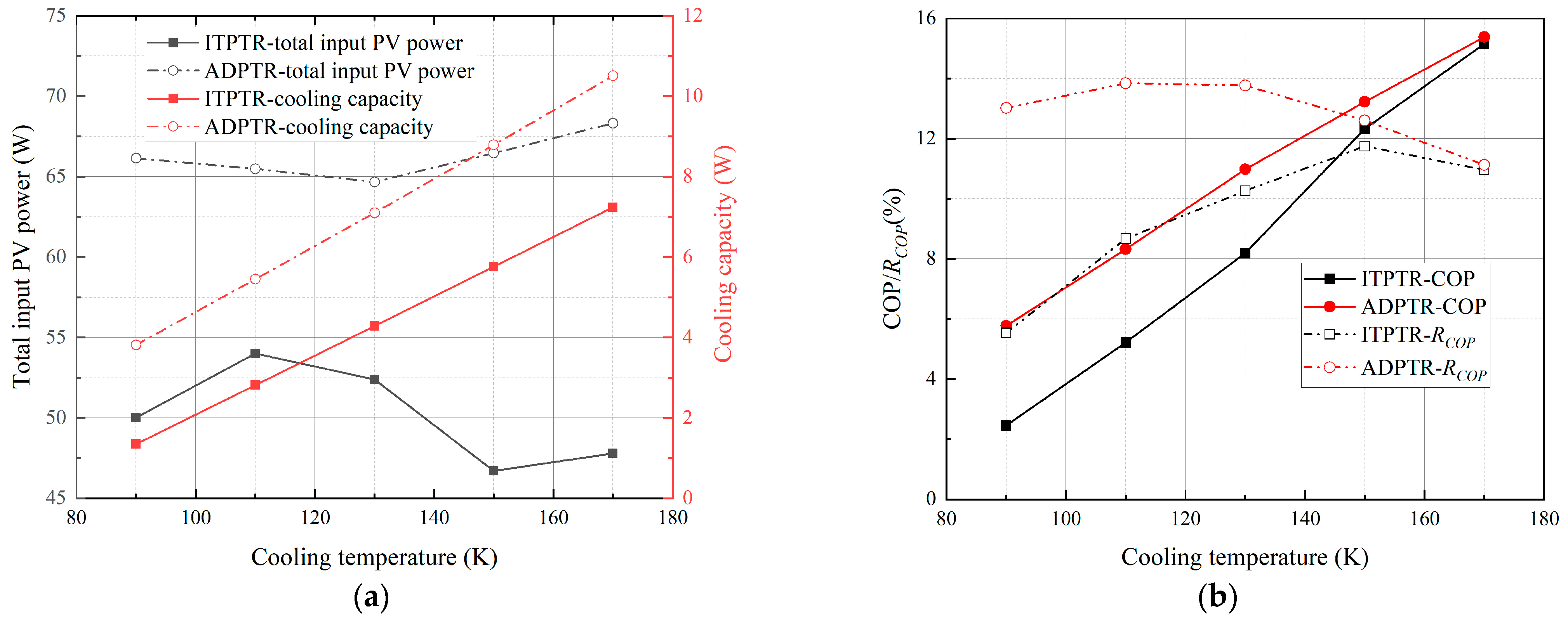
3.1. Comparison of the Cooling Performance of ITPTR and ADPTR
3.2. Analysis of Losses within the Cold Finger
3.3. Flow and Heat Transfer Characteristics in the Pulse Tube
4. Optimization of Displacer Parameters for ADPTR
4.1. Effect of the xd and θ
4.2. Kriging Model for ADPTR Optimization
4.3. Discussion on Optimization Results by Genetic Algorithm
5. Conclusions
Author Contributions
Funding
Data Availability Statement
Conflicts of Interest
References
- Waele, A.T.A.M. Pulse tube refrigerators: Principle, recent developments, and prospects. Phys. B Condens. Matter 2000, 280, 479–482. [Google Scholar] [CrossRef]
- Ross, R.G. Aerospace Coolers: A 50-Year Quest for Long-Life Cryogenic Cooling in Space. In Book Cryogenic Engineering, 2nd ed.; Timmerhaus, K.D., Reed, R.P., Eds.; Springer: New York, NY, USA, 2007; pp. 225–284. [Google Scholar] [CrossRef]
- Zhang, A.; Wu, Y.; Liu, S.; Yu, H.; Yang, B. Development of Pulse Tube Cryocoolers at SITP for Space Application. J. Low Temp. Phys. 2018, 191, 228–241. [Google Scholar] [CrossRef]
- Gifford, W.E.; Longthworth, R.C. Pulse Tube Refrigeration. Trans. ASME. Eng. Ind. Ser. B 1964, 86, 264–268. [Google Scholar] [CrossRef]
- Mikulin, E.I.; Tarasov, A.A.; Shkrebyonock, M.P. Low-Temperature Expansion Pulse Tubes. Adv. Cryog. Eng. 1984, 29, 629–637. [Google Scholar] [CrossRef]
- Radebaugh, R.; Zimmerman, J.; Smith, D.R.; Louie, B. A comparison of three types of pulse tube refrigerators: New methods for reaching 60 K. Adv. Cryog. Eng. 1986, 31, 779–789. [Google Scholar] [CrossRef]
- Zhu, S.; Wu, P.; Chen, Z. Double inlet pulse tube refrigerators: An important improvement. Cryogenics 1990, 30, 514–520. [Google Scholar] [CrossRef]
- Kanao, K.; Watanabe, N.; Kanazawa, Y. A Miniature Pulse Tube Refrigerator for Temperatures below 100 K. Cryogenics 1994, 34, 167–170. [Google Scholar] [CrossRef]
- Zhu, S.; Nogawa, M. Pulse tube stirling machine with warm gas-driven displacer. Cryogenics 2010, 50, 320–330. [Google Scholar] [CrossRef]
- Wang, X.; Zhang, Y.; Li, H.; Dai, W.; Chen, S.; Lei, G.; Luo, E. A high efficiency hybrid stirling-pulse tube cryocooler. AIP Adv. 2015, 5, 037127. [Google Scholar] [CrossRef]
- Shi, Y.; Zhu, S. Experimental investigation of pulse tube refrigerator with displacer. Int. J. Refrig. 2017, 76, 1–6. [Google Scholar] [CrossRef]
- Abolghasemi, M.A.; Rana, H.; Stone, R.; Dadd, M.; Baileya, P.; Liang, K. Coaxial Stirling pulse tube cryocooler with active displacer. Cryogenics 2020, 111, 103143. [Google Scholar] [CrossRef]
- Rana, H.; Abolghasemi, M.A.; Stone, R.; Dadd, M.; Bailey, P. Numerical modelling of a coaxial Stirling pulse tube cryocooler with an active displacer for space applications. Cryogenics 2020, 106, 103048. [Google Scholar] [CrossRef]
- Xu, J.; Hua, J.; Hu, J.; Zhang, L.; Luo, E.; Gao, B. Experimental study of a cascade pulse tube cryocooler with a displacer. Cryogenics 2018, 95, 69–75. [Google Scholar] [CrossRef]
- Zhu, H.; Jiang, Z.; Liu, S.; Jiang, Y.; Wu, Y. Comparison of three phase shifters for Stirling-type pulse tube cryocoolers operating below 30 K. Int. J. Refrig. 2018, 88, 413–419. [Google Scholar] [CrossRef]
- Pang, X.; Wang, X.; Dai, W.; Li, H.; Wu, Y.; Luo, E. Theoretical and experimental study of a gas-coupled two-stage pulse tube cooler with stepped warm displacer as the phase shifter. Cryogenics 2018, 92, 36–40. [Google Scholar] [CrossRef]
- Liu, B.; Jiang, Z.; Ying, K.; Zhu, H.; Liu, S.; Wen, F.; Wu, Y.; Dong, D. A high efficiency Stirling/pulse tube hybrid cryocooler operating at 35 K/85 K. Cryogenics 2019, 101, 137–140. [Google Scholar] [CrossRef]
- Liu, B.; Jiang, Z.; Ying, K.; Yin, W.; Zhu, H.; Liu, S.; Wu, Y.; Dong, D. Numerical and experimental study on a Stirling/pulse tube hybrid refrigerator operating around 30 K. Int. J. Refrig. 2021, 123, 34–44. [Google Scholar] [CrossRef]
- Abolghasemi, M.A.; Liang, K.; Stone, R.; Dadd, M.; Bailey, P. Stirling pulse tube cryocooler using an active displacer. Cryogenics 2018, 96, 53–61. [Google Scholar] [CrossRef]
- Chen, X.; Ling, F.; Zeng, Y.; Wu, Y. Investigation of the high efficiency pulse tube refrigerator with acoustic power recovery. Appl. Therm. Eng. 2019, 159, 11390. [Google Scholar] [CrossRef]
- Deng, W.; Liu, S.; Chen, X.; Ding, L.; Jiang, Z. A work-recovery pulse tube refrigerator for natural gas liquefaction. Cryogenics 2020, 111, 103170. [Google Scholar] [CrossRef]
- Rout, S.K.; Choudhury, B.K.; Sahoo, R.K.; Sarangi, S.K. Multi-objective parametric optimization of Inertance type pulse tube refrigerator using response surface methodology and non-dominated sorting genetic algorithm. Cryogenics 2014, 62, 71–83. [Google Scholar] [CrossRef]
- Panda, D.; Kumar, M.; Satapathy, A.K.; Sarangi, S.K. Optimal design of thermal performance of an orifice pulse tube Refrigerator. J. Therm. Anal. Calorim. 2021, 143, 3589–3609. [Google Scholar] [CrossRef]
- Wu, W.; Deng, W.; Huang, Y.; Wang, X.; Ji, Y. Prediction of the working conditions for the pulse tube cooler based on artificial neural network model. Appl. Therm. Eng. 2021, 197, 117424. [Google Scholar] [CrossRef]
- Jiang, Z.; Wu, J.; Huang, F.; Lv, Y.; Wan, L. A novel adaptive Kriging method: Time-dependent reliability-based robust design optimization and case study. Comput. Ind. Eng. 2021, 162, 107692. [Google Scholar] [CrossRef]
- Yang, R.J.; Wang, N.; Tho, C.H.; Bobineau, J.P.; Wang, B.P. Metamodeling Development for Vehicle Frontal Impact Simulation. J. Mech. Des. 2005, 127, 1014–1020. [Google Scholar] [CrossRef]
- Prebeg, P.; Zanic, V.; Vazic, B. Application of a surrogate modeling to the ship structural design. Ocean Eng. 2014, 84, 259–272. [Google Scholar] [CrossRef]
- Zheng, C.; Zhao, H.X.; Zhou, Z.Z.; Geng, Z.T.; Cui, Z. Investigation on thermal model updating of Alpha Magnetic Spectrometer inorbit based on Kriging meta-modeling. Nucl. Inst. Methods Phys. Res. A 2022, 1031, 166581. [Google Scholar] [CrossRef]
- Harvey, J. Oscillatory compressible flow and heat transfer in porous media application to cryocooler. Ph.D. Thesis, Georgia Institute of Technology, Atlanta, GA, USA, 2003. [Google Scholar]
- Radebaugh, R. Development of the Pulse Tube Refrigerator as an Efficient and Reliable Cryocooler. In Institute of Refrigeration Proceedings; Institute of Refrigeration: London, UK, 1999. [Google Scholar]
- Chen, L.; Zhang, Y.; Luo, E.; Li, T.; Wei, X. CFD analysis of thermodynamic cycles in a pulse tube refrigerator. Cryogenics 2010, 50, 743–749. [Google Scholar] [CrossRef]















| No. | Components | Radius (mm) | Length (mm) | Boundary Condition |
|---|---|---|---|---|
| 1 | Compressor | 9.54 | 7.5 | Adiabatic |
| 2 | Transfer line 1 | 1.55 | 101 | Adiabatic |
| 3 | WHX1 | 4 | 20 | 293 K |
| 4 | Regenerator | 4 | 58 | Adiabatic |
| 5 | CHX | 3 | 5.7 | Adiabatic |
| 6 | Pulse tube | 2.5 | 60 | Adiabatic |
| 7 | WHX2 | 4 | 10 | 293 K |
| 8 | Inertance tube | 0.425 | 684 | Adiabatic |
| 9 | Reservoir | 13 | 130 | Adiabatic |
| 10 | Transfer line 2 | 1.55 | 101 | Adiabatic |
| 11 | Displacer | 13 | 8 | Adiabatic |
| Cases | xd (mm) | θ (°) | Simulated Values (K) | Predicted Values (K) |
|---|---|---|---|---|
| 1 | 1.1 | 220 | 43 | 42.3 |
| 2 | 1.2 | 220 | 42.9 | 42.5 |
| 3 | 1.3 | 220 | 44.7 | 43.8 |
| 4 | 1.5 | 220 | 51.1 | 49.4 |
| 5 | 1.7 | 220 | 57.1 | 57.8 |
| 6 | 1.8 | 220 | 62.4 | 62.6 |
| 7 | 1.9 | 220 | 69.9 | 68.4 |
| 8 | 2.1 | 225 | 93.2 | 92.7 |
| 9 | 1.5 | 210 | 44.2 | 45.4 |
| 10 | 1.5 | 230 | 59.6 | 61.3 |
| Cases | Y1 Simulated (W) | Y1 Predicted (W) | Y2 Simulated (%) | Y2 Predicted (%) | Y3 Simulated (W) | Y3 Predicted (W) |
|---|---|---|---|---|---|---|
| 1 | 7.31 | 7.48 | 12.01 | 12.09 | 60.88 | 60.5 |
| 2 | 7.81 | 8.02 | 12.65 | 12.53 | 61.76 | 61.99 |
| 3 | 8.20 | 8.38 | 12.88 | 12.78 | 63.60 | 63.97 |
| 4 | 8.79 | 8.72 | 13.22 | 12.80 | 66.46 | 68.02 |
| 5 | 8.72 | 8.76 | 12.39 | 12.53 | 70.35 | 70.13 |
| 6 | 8.54 | 8.58 | 12.46 | 12.30 | 68.49 | 70.29 |
| 7 | 7.99 | 8.22 | 11.32 | 11.84 | 70.61 | 70.23 |
| 8 | 6.21 | 5.98 | 8.55 | 8.85 | 72.72 | 68.09 |
| 9 | 8.42 | 8.44 | 13.58 | 14.59 | 61.98 | 57.66 |
| 10 | 7.90 | 7.82 | 9.81 | 10.05 | 80.55 | 80.12 |
Disclaimer/Publisher’s Note: The statements, opinions and data contained in all publications are solely those of the individual author(s) and contributor(s) and not of MDPI and/or the editor(s). MDPI and/or the editor(s) disclaim responsibility for any injury to people or property resulting from any ideas, methods, instructions or products referred to in the content. |
© 2023 by the authors. Licensee MDPI, Basel, Switzerland. This article is an open access article distributed under the terms and conditions of the Creative Commons Attribution (CC BY) license (https://creativecommons.org/licenses/by/4.0/).
Share and Cite
Geng, Z.; Shao, W.; Cui, Z.; Zheng, C. Study on Phase-Shift Mechanism and Kriging-Based Global Optimization of the Active Displacer Pulse Tube Refrigerators. Energies 2023, 16, 4263. https://doi.org/10.3390/en16114263
Geng Z, Shao W, Cui Z, Zheng C. Study on Phase-Shift Mechanism and Kriging-Based Global Optimization of the Active Displacer Pulse Tube Refrigerators. Energies. 2023; 16(11):4263. https://doi.org/10.3390/en16114263
Chicago/Turabian StyleGeng, Zongtao, Wei Shao, Zheng Cui, and Chen Zheng. 2023. "Study on Phase-Shift Mechanism and Kriging-Based Global Optimization of the Active Displacer Pulse Tube Refrigerators" Energies 16, no. 11: 4263. https://doi.org/10.3390/en16114263
APA StyleGeng, Z., Shao, W., Cui, Z., & Zheng, C. (2023). Study on Phase-Shift Mechanism and Kriging-Based Global Optimization of the Active Displacer Pulse Tube Refrigerators. Energies, 16(11), 4263. https://doi.org/10.3390/en16114263
