Comparative Analysis of Battery Thermal Management System Using Biodiesel Fuels
Abstract
1. Introduction
2. The Model and System Specifications
2.1. LIB Module Description
2.2. Basic Heat Transfer Equations
2.3. Mesh Independence
2.4. Biodiesel and Conventional Coolants
3. Results
- Transient flow;
- Transient LIB electrochemistry;
- Uniform inlet velocity;
- Negligible radiative effect;
- Incompressible flow; and
- Viscous flow.
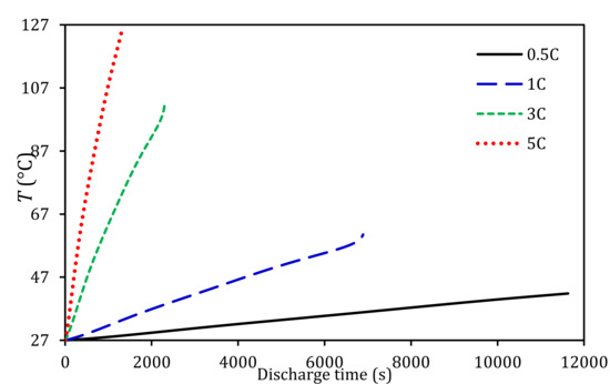
3.1. LIB without Cooling
3.2. Air Cooling
3.3. 3M Novec Cooling
3.4. Biodiesel Cooling
3.5. Comparison among Modules
4. Conclusions
- A benchmark LIB module without any means of cooling exceeded the maximum working temperature with the temperature increased linearly at different discharge rates. At a lower discharge rate of 0.5C, the LIB module temperature exceeded the maximum working temperature by 5 °C when fully depleted. As the discharge rate increased to 3C, the LIB module temperature reached 140 °C, which can cause thermal runaway. In addition, the change in discharge rate affected the distribution of temperature across the LIB module. These results can significantly accelerate the LIB cells capacity degradation and performance, which are in need of an efficient BTMS to control the LIB module within the optimum operating temperature range.
- Biodiesel cooling proved to be a very effective solution for BTMS with all the biodiesels being able to maintain the temperature within the optimum operating temperature range. The best biodiesel out of the four used was palm, as it managed to reduce the LIB module maximum temperature to 31.7 °C at a discharge rate of 3C, ensuring the LIB cells are working to their full potential and maintaining their lifespan. In addition, the low density of palm oil biodiesel (865 kg/m3) decreases the overall weight of the vehicle and the enclosure itself.
- Air-cooling is an inefficient method, which was not able to maintain the LIB module temperature below the optimum range. In addition, the temperature gradient of the LIB module was 10 °C, creating the issue of uneven cell voltage and leading to faster LIB cell degradation. When compared with air-cooling, biodiesel is a much better approach in terms of cooling efficiency and power efficiency from the fluid source as air requires higher velocities to improve cooling.
- 3M Novec performed the best out of the coolants in terms of maintaining the LIB optimum operating temperature. It was noted that 3M Novec maintained the LIB module temperature gradient at a desired temperature range. However, it is heavy, thus increasing the overall vehicle energy consumption, and it is expensive, in addition to its requirement for a complex system installation.
- Biodiesel is seen as a good alternative coolant to save weight, improve the BTMS, and being renewable. For instance, using palm oil in a typical HEV can reduce the weight of the filled enclosure by up to 43%. This light-weighting can be a big advantage for improving system performance and fuel economy.
Author Contributions
Funding
Conflicts of Interest
References
- Hansen, T.A. Stranded Assets and Reduced Profits: Analyzing the Economic Underpinnings of the Fossil Fuel Industry’s Resistance to Climate Stabilization. Renew. Sustain. Energy Rev. 2022, 158, 112144. [Google Scholar] [CrossRef]
- Monasterolo, I.; Raberto, M. The Impact of Phasing out Fossil Fuel Subsidies on the Low-Carbon Transition. Energy Policy 2019, 124, 355–370. [Google Scholar] [CrossRef]
- Renewable Energy—Resources, Challenges and Applications; Al Qubeissi, M., El-Kharouf, A., Serhad Soyhan, H., Eds.; IntechOpen: London, UK, 2020; ISBN 978-1-78984-283-8. [Google Scholar]
- Biofuels—Challenges and Opportunities; Al Qubeissi, M., Ed.; IntechOpen: London, UK, 2019; ISBN 978-1-78985-535-7. [Google Scholar]
- Al Qubeissi, M. Predictions of Droplet Heating and Evaporation: An Application to Biodiesel, Diesel, Gasoline and Blended Fuels. Appl. Therm. Eng. 2018, 136, 260–267. [Google Scholar] [CrossRef]
- Al Qubeissi, M.; Sazhin, S.S.; Elwardany, A.E. Modelling of Blended Diesel and Biodiesel Fuel Droplet Heating and Evaporation. Fuel 2017, 187, 349–355. [Google Scholar] [CrossRef]
- Kaliaperumal, M.; Dharanendrakumar, M.S.; Prasanna, S.; Abhishek, K.V.; Chidambaram, R.K.; Adams, S.; Zaghib, K.; Reddy, M.V. Cause and Mitigation of Lithium-Ion Battery Failure—A Review. Materials 2021, 14, 5676. [Google Scholar] [CrossRef]
- Allafi, W.; Uddin, K.; Zhang, C.; Mazuir Raja Ahsan Sha, R.; Marco, J. On-Line Scheme for Parameter Estimation of Nonlinear Lithium Ion Battery Equivalent Circuit Models Using the Simplified Refined Instrumental Variable Method for a Modified Wiener Continuous-Time Model. Appl. Energy 2017, 204, 497–508. [Google Scholar] [CrossRef]
- Ma, S.; Jiang, M.; Tao, P.; Song, C.; Wu, J.; Wang, J.; Deng, T.; Shang, W. Temperature Effect and Thermal Impact in Lithium-Ion Batteries: A Review. Prog. Nat. Sci. Mater. Int. 2018, 28, 653–666. [Google Scholar] [CrossRef]
- Chen, D.; Jiang, J.; Kim, G.-H.; Yang, C.; Pesaran, A. Comparison of Different Cooling Methods for Lithium Ion Battery Cells. Appl. Therm. Eng. 2016, 94, 846–854. [Google Scholar] [CrossRef]
- Pesaran, A.; Santhanagopalan, S.; Kim, G.H. Addressing the Impact of Temperature Extremes on Large Format Li-Ion Batteries for Vehicle Applications (Presentation); National Renewable Energy Lab. (NREL): Golden, CO, USA, 2013. [Google Scholar]
- Saw, L.H.; Tay, A.A.O.; Zhang, L.W. Thermal Management of Lithium-Ion Battery Pack with Liquid Cooling. In Proceedings of the 2015 31st Thermal Measurement, Modeling & Management Symposium (SEMI-THERM), San Jose, CA, USA, 15–19 March 2015; pp. 298–302. [Google Scholar]
- Kim, J.; Oh, J.; Lee, H. Review on Battery Thermal Management System for Electric Vehicles. Appl. Therm. Eng. 2019, 149, 192–212. [Google Scholar] [CrossRef]
- Mohammed, A.G.; Elfeky, K.E.; Wang, Q. Recent Advancement and Enhanced Battery Performance Using Phase Change Materials Based Hybrid Battery Thermal Management for Electric Vehicles. Renew. Sustain. Energy Rev. 2022, 154, 111759. [Google Scholar] [CrossRef]
- Bibin, C.; Vijayaram, M.; Suriya, V.; Ganesh, R.S.; Soundarraj, S. A Review on Thermal Issues in Li-Ion Battery and Recent Advancements in Battery Thermal Management System. Mater. Today Proc. 2020, 33, 116–128. [Google Scholar] [CrossRef]
- Wen, J.; Yu, Y.; Chen, C. A Review on Lithium-Ion Batteries Safety Issues: Existing Problems and Possible Solutions. Mater. Express 2012, 2, 197–212. [Google Scholar] [CrossRef]
- Troxler, Y.; Wu, B.; Marinescu, M.; Yufit, V.; Patel, Y.; Marquis, A.J.; Brandon, N.P.; Offer, G.J. The Effect of Thermal Gradients on the Performance of Lithium-Ion Batteries. J. Power Sources 2014, 247, 1018–1025. [Google Scholar] [CrossRef]
- Pesaran, A.A. Battery Thermal Management in EV and HEVs: Issues and Solutions. Battery Man 2001, 43, 34–49. [Google Scholar]
- Raja Shah, R.M.; Jardine, B. Thermal Management Unit and System. Patent 2018. Available online: https://data.epo.org/publication-server/document?iDocId=6599379&iFormat=0 (accessed on 5 July 2022).
- Battery Pack and Module Thermal Simulation Software|Ansys. Available online: https://www.ansys.com/en-gb/applications/battery/pack-and-module-thermal-management (accessed on 15 October 2022).
- Wegmann, S.; Rytka, C.; Diaz-Rodenas, M.; Werlen, V.; Schneeberger, C.; Ermanni, P.; Caglar, B.; Gomez, C.; Michaud, V. A Life Cycle Analysis of Novel Lightweight Composite Processes: Reducing the Environmental Footprint of Automotive Structures. J. Clean. Prod. 2022, 330, 129808. [Google Scholar] [CrossRef]
- Wang, Y.; Biswas, A.; Rodriguez, R.; Keshavarz-Motamed, Z.; Emadi, A. Hybrid Electric Vehicle Specific Engines: State-of-the-Art Review. Energy Rep. 2022, 8, 832–851. [Google Scholar] [CrossRef]
- Al Qubeissi, M.; Almshahy, A.; Mahmoud, A.; Al-Asadi, M.T.; Shah, R.M.R.A. Modelling of Battery Thermal Management: A New Concept of Cooling Using Fuel. Fuel 2022, 310, 122403. [Google Scholar] [CrossRef]
- Cao, W.; Zhao, C.; Wang, Y.; Dong, T.; Jiang, F. Thermal Modeling of Full-Size-Scale Cylindrical Battery Pack Cooled by Channeled Liquid Flow. Int. J. Heat Mass Transf. 2019, 138, 1178–1187. [Google Scholar] [CrossRef]
- Wang, H.; Tao, T.; Xu, J.; Shi, H.; Mei, X.; Gou, P. Thermal Performance of a Liquid-Immersed Battery Thermal Management System for Lithium-Ion Pouch Batteries. J. Energy Storage 2022, 46, 103835. [Google Scholar] [CrossRef]
- Ho, V.-T.; Chang, K.; Lee, S.W.; Kim, S.H. Transient Thermal Analysis of a Li-Ion Battery Module for Electric Cars Based on Various Cooling Fan Arrangements. Energies 2020, 13, 2387. [Google Scholar] [CrossRef]
- Lin, J.; Chu, H.N.; Monroe, C.W.; Howey, D.A. Anisotropic Thermal Characterisation of Large-Format Lithium-Ion Pouch Cells. Batter. Supercaps 2022, 5, e202100401. [Google Scholar] [CrossRef]
- Eastop, T.D.; McConkey, A. Applied Thermodynamics for Engineering Technologists, 5th ed.; Longman: London, UK, 1993; ISBN 9780582091931. [Google Scholar]
- Tu, J.; Yeoh, G.-H.; Liu, C. CFD Mesh Generation: A Practical Guideline. In Computational Fluid Dynamics; Elsevier: Amsterdam, The Netherlands, 2018; pp. 125–154. ISBN 978-0-08-101127-0. [Google Scholar]
- Yasin, M.H.M.; Mamat, R.; Sharma, K.; Yusop, A.F. Influence of Palm Methyl Ester (PME) as an Alternative Fuel in Multicylinder Diesel Engine. J. Mech. Eng. Sci. 2012, 3, 331–339. [Google Scholar] [CrossRef]
- Al Qubeissi, M.; Sazhin, S.S.; Crua, C.; Turner, J.; Heikal, M.R. Modelling of Biodiesel Fuel Droplet Heating and Evaporation: Effects of Fuel Composition. Fuel 2015, 154, 308–318. [Google Scholar] [CrossRef]
- Sazhin, S.S.; Al Qubeissi, M.; Kolodnytska, R.; Elwardany, A.E.; Nasiri, R.; Heikal, M.R. Modelling of Biodiesel Fuel Droplet Heating and Evaporation. Fuel 2014, 115, 559–572. [Google Scholar] [CrossRef]
- Lain, M.J.; Kendrick, E. Understanding the Limitations of Lithium Ion Batteries at High Rates. J. Power Sources 2021, 493, 229690. [Google Scholar] [CrossRef]
- Delogu, M.; Zanchi, L.; Dattilo, C.A.; Pierini, M. Innovative Composites and Hybrid Materials for Electric Vehicles Lightweight Design in a Sustainability Perspective. Mater. Today Commun. 2017, 13, 192–209. [Google Scholar] [CrossRef]
- Takase, M.; Zhao, T.; Zhang, M.; Chen, Y.; Liu, H.; Yang, L.; Wu, X. An Expatiate Review of Neem, Jatropha, Rubber and Karanja as Multipurpose Non-Edible Biodiesel Resources and Comparison of Their Fuel, Engine and Emission Properties. Renew. Sustain. Energy Rev. 2015, 43, 495–520. [Google Scholar] [CrossRef]
- Manjunath, M.; Prakash, P.; Raghavan, V.; Mehta, P.S. Composition Effects on Thermo-Physical Properties and Evaporation of Suspended Droplets of Biodiesel Fuels. SAE Int. J. Fuels Lubr. 2014, 7, 833–841. [Google Scholar] [CrossRef]
- Sirisomboon, P.; Posom, J. Thermal Properties of Jatropha Curcas L. Kernels. Biosyst. Eng. 2012, 113, 402–409. [Google Scholar] [CrossRef]
- Shadangi, K.P.; Mohanty, K. Comparison of Yield and Fuel Properties of Thermal and Catalytic Mahua Seed Pyrolytic Oil. Fuel 2014, 117, 372–380. [Google Scholar] [CrossRef]
- Huber, C.; Kuhn, R. Thermal Management of Batteries for Electric Vehicles. In Advances in Battery Technologies for Electric Vehicles; Elsevier: Amsterdam, The Netherlands, 2015; pp. 327–358. [Google Scholar]
- Teng, H. Thermal Analysis of a High-Power Lithium-Ion Battery System with Indirect Air Cooling. SAE Int. J. Altern. Powertrains 2012, 1, 79–88. [Google Scholar] [CrossRef]
- Zhao, J.; Xue, F.; Fu, Y.; Cheng, Y.; Yang, H.; Lu, S. A Comparative Study on the Thermal Runaway Inhibition of 18650 Lithium-Ion Batteries by Different Fire Extinguishing Agents. iScience 2021, 24, 102854. [Google Scholar] [CrossRef]
- Roe, C.; Feng, X.; White, G.; Li, R.; Wang, H.; Rui, X.; Li, C.; Zhang, F.; Null, V.; Parkes, M.; et al. Immersion Cooling for Lithium-Ion Batteries—A Review. J. Power Sources 2022, 525, 231094. [Google Scholar] [CrossRef]
- 3MTM NovecTM 7000 Engineered Fluid. Available online: https://www.3m.com/3M/en_US/company-us/SDS-search/ (accessed on 28 July 2021).
















| Properties | Aluminium (Busbar) | Copper (Tab) | LIB Cell Material |
|---|---|---|---|
| Density (kg/m3) | 2719 | 8978 | 2029 |
| Specific heat (J/kg · K) | 871 | 381 | 678 |
| Thermal conductivity (W/m · K) | 202.4 | 387.6 | 18.2 |
| Electrical conductivity (s/m) | 3.541 × 107 | 5.8 × 107 | 5.8 × 107 |
| Nominal Capacity (Ah) | 30 |
|---|---|
| C-rates | 0.5–5 |
| Maximum voltage (V) | 4.2 |
| Minimum voltage (V) | 2.7 |
| Height (mm) | 100 |
| Width (mm) | 100 |
| Thickness (mm) | 5 |
| Coolant | Density (kg/m3) | Viscosity (kg/ms) | Thermal Conductivity (W/mK) | Specific Heat (J/kg · K) |
|---|---|---|---|---|
| Palm [31,32] | 865 | 3.91 × 10−3 | 0.172 | 1687.248 |
| Jatropha [37] | 870 | 4.49 × 10−3 | 0.166 | 1344.881 |
| Mahua [38] | 875 | 4.88 × 10−3 | 0.170 | 1379.166 |
| Karanja [31,32] | 895 | 5.62 × 10−3 | 0.172 | 1257.633 |
| 3M Novec 7100 [33] | 1510 | 6.0 × 10−4 | 0.069 | 1183 |
| Air | 1.225 | 1.79 × 10−5 | 0.025 | 1006.43 |
Disclaimer/Publisher’s Note: The statements, opinions and data contained in all publications are solely those of the individual author(s) and contributor(s) and not of MDPI and/or the editor(s). MDPI and/or the editor(s) disclaim responsibility for any injury to people or property resulting from any ideas, methods, instructions or products referred to in the content. |
© 2022 by the authors. Licensee MDPI, Basel, Switzerland. This article is an open access article distributed under the terms and conditions of the Creative Commons Attribution (CC BY) license (https://creativecommons.org/licenses/by/4.0/).
Share and Cite
Al Qubeissi, M.; Mahmoud, A.; Al-Damook, M.; Almshahy, A.; Khatir, Z.; Soyhan, H.S.; Raja Ahsan Shah, R.M. Comparative Analysis of Battery Thermal Management System Using Biodiesel Fuels. Energies 2023, 16, 565. https://doi.org/10.3390/en16010565
Al Qubeissi M, Mahmoud A, Al-Damook M, Almshahy A, Khatir Z, Soyhan HS, Raja Ahsan Shah RM. Comparative Analysis of Battery Thermal Management System Using Biodiesel Fuels. Energies. 2023; 16(1):565. https://doi.org/10.3390/en16010565
Chicago/Turabian StyleAl Qubeissi, Mansour, Ayob Mahmoud, Moustafa Al-Damook, Ali Almshahy, Zinedine Khatir, Hakan Serhad Soyhan, and Raja Mazuir Raja Ahsan Shah. 2023. "Comparative Analysis of Battery Thermal Management System Using Biodiesel Fuels" Energies 16, no. 1: 565. https://doi.org/10.3390/en16010565
APA StyleAl Qubeissi, M., Mahmoud, A., Al-Damook, M., Almshahy, A., Khatir, Z., Soyhan, H. S., & Raja Ahsan Shah, R. M. (2023). Comparative Analysis of Battery Thermal Management System Using Biodiesel Fuels. Energies, 16(1), 565. https://doi.org/10.3390/en16010565

