Performance Study of Gravity-Type Heat Pipe Applied to Fuel Cell Heat Dissipation
Abstract
:1. Introduction
2. Test setup, Measurement Method, and Data Measurement
2.1. Test Setup
2.2. Experimental Methods and Data Measurement
3. Data Reduction
3.1. Heat Losses
3.2. Heat Flow Densities
3.3. Temperature Differences of the Flat Plate
4. Experimental Results and Analysis
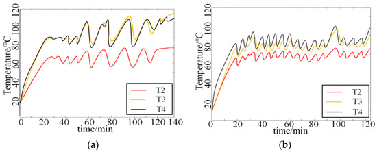
4.1. The Effect of Heating Flow Density Size on Fluid Boiling Heat Exchange in Evaporator
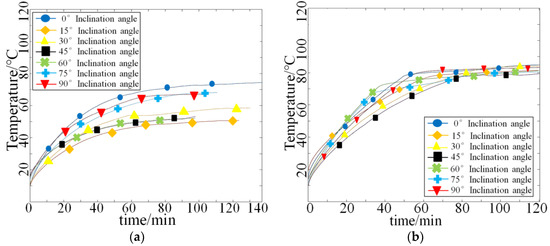
4.2. Effect of Tilt Angle on Fluid Boiling Heat Exchange in Evaporator
5. Conclusions
Author Contributions
Funding
Data Availability Statement
Conflicts of Interest
Nomenclature
| Nomenclature | Greek Symbol | ||
| A | heat exchange area, [m2] | α | angle, [°] |
| h | convective heat transfer coefficient, [W·m−2·K−1] | λ | thermal conductivity, [W·m−1·K−1] |
| K | heat transfer coefficient, [W·m−2·K−1] | δ | thickness, [mm] |
| L | length, [m] | subscripts | |
| p | pressure, [Pa] | ehc | electric heating capacity |
| Q | heat exchange capacity, [W] | hp | heat pipe |
| q | heat flux, [W·m−2] | hw | hot water |
| qm | mass flow, [kg·s−1] | ins | thermal insulation material |
| T | temperature, [K] | s | loss |
| ΔT | temperature difference, [K] | sp | single-phase |
References
- Li, J.; Yu, T. A new adaptive controller based on distributed deep reinforcement learning for PEMFC air supply system. Energy Rep. 2021, 7, 1267–1279. [Google Scholar] [CrossRef]
- Ala, G.; Colak, I.; Di Filippo, G.; Miceli, R.; Romano, P.; Silva, C.; Valtchev, S.; Viola, F. Electric Mobility in Portugal: Current Situation and Forecasts for Fuel Cell Vehicles. Energies 2021, 14, 7945. [Google Scholar] [CrossRef]
- Darges, S.J.; Devahdhanush, V.; Mudawar, I. Assessment and development of flow boiling critical heat flux correlations for partially heated rectangular channels in different gravitational environments. Int. J. Heat Mass Transf. 2022, 196, 123291. [Google Scholar] [CrossRef]
- Huang, J.; Xiang, J.; Chu, X.; Sun, W.; Liu, R.; Ling, W.; Zhou, W.; Tao, S. Thermal performance of flexible branch heat pipe. Appl. Therm. Eng. 2021, 186, 116531. [Google Scholar]
- Zhao, J.; Bu, Y.; Zhang, L. In Design and Performance of Heat Pipe Air-Conditioning Based on Latent Heat of Water Evaporation, Wuhan Hubei Province China. In Proceedings of the 2021 International Conference on Applied Mathematics, Modeling and Computer Simulation (AMMCS 2021), Wuhan, China, 13–14 November 2021; pp. 575–585. [Google Scholar]
- Zheng, N.; Fan, R.; Sun, Z.; Zhou, T. Thermal management performance of a fin-enhanced phase change material system for the lithium-ion battery. Int. J. Energy Res. 2020, 44, 7617–7629. [Google Scholar] [CrossRef]
- Zou, D.; Liu, X.; He, R.; Zhu, S.; Bao, J.; Guo, J.; Hu, Z.; Wang, B. Preparation of a novel composite phase change material (PCM) and its locally enhanced heat transfer for power battery module. Energy Convers. Manag. 2019, 180, 1196–1202. [Google Scholar] [CrossRef]
- Yu, G.Y.; Chiang, S.W.; Chen, W.; Du, H.D. Thermal Management of a Li-Ion Battery for Electric Vehicles Using PCM and Water-Cooling Board. Key Eng. Mater. 2019, 4838, 307–313. [Google Scholar] [CrossRef]
- Devahdhanush, V.; Mudawar, I.; Nahra, H.K.; Balasubramaniam, R.; Hasan, M.M.; Mackey, J.R. Experimental heat transfer results and flow visualization of vertical upflow boiling in Earth gravity with subcooled inlet conditions—In preparation for experiments onboard the International Space Station. Int. J. Heat Mass Transf. 2022, 188, 122603. [Google Scholar] [CrossRef]
- Chen, B.; Ho, K.; Abakr, Y.A.; Chan, A. Fluid dynamics and heat transfer investigations of swirling decaying flow in an annular pipe Part 1: Review, problem description, verification and validation. Int. J. Heat Mass Transf. 2016, 97, 1029–1043. [Google Scholar] [CrossRef]
- Liu, Z.-H.; Li, Y.-Y.; Bao, R. Thermal performance of inclined grooved heat pipes using nanofluids. Int. J. Therm. Sci. 2010, 49, 1680–1687. [Google Scholar] [CrossRef]
- Kumaresan, G.; Vijayakumar, P.; Ravikumar, M.; Kamatchi, R.; Selvakumar, P. Experimental study on effect of wick structures on thermal performance enhancement of cylindrical heat pipes. J. Therm. Anal. Calorim. 2019, 136, 389–400. [Google Scholar] [CrossRef]
- E, J.; Han, D.; Qiu, A.; Zhu, H.; Deng, Y.; Chen, J.; Zhao, X.; Zuo, W.; Wang, H.; Chen, J.; et al. Orthogonal experimental design of liquid-cooling structure on the cooling effect of a liquid-cooled battery thermal management system. Appl. Therm. Eng. 2018, 132, 508–520. [Google Scholar] [CrossRef]
- Kumar, V.; Vikash; Nigam, K. Multiphase fluid flow and heat transfer characteristics in microchannels. Chem. Eng. Sci. 2017, 169, 34–66. [Google Scholar] [CrossRef]
- Jige, D.; Inoue, N. Boiling heat transfer, pressure drop, and flow pattern in a horizontal square minichannel. Int. J. Heat Fluid Flow 2019, 78, 108433. [Google Scholar] [CrossRef]
- Bortolin, S.; Bortolato, M.; Azzolin, M.; Col, D.D. Comparative experimental procedures for measuring the local heat transfer coefficient during flow boiling in a microchannel. Exp. Therm. Fluid Sci. 2018, 90, 231–245. [Google Scholar] [CrossRef]
- Copetti, J.B.; Macagnan, M.H.; Zinani, F. Experimental study on R-600a boiling in 2.6 mm tube. Int. J. Refrig. 2013, 36, 325–334. [Google Scholar] [CrossRef]
- Shen, W.; Fan, L.; Pan, Z.; Chen, C.; Wang, N.; Zhou, S. Comparison of Different Topologies of Thermal Management Subsystems in Multi-Stack Fuel Cell Systems. Energies 2022, 15, 5030. [Google Scholar] [CrossRef]
- Zhang, D.; Li, H.; Wu, J.; Li, Q.; Xu, B.; An, Z. Experimental Study on the Effect of Inclination Angle on the Heat Transfer Characteristics of Pulsating Heat Pipe under Variable Heat Flux. Energies 2022, 15, 8252. [Google Scholar] [CrossRef]








Disclaimer/Publisher’s Note: The statements, opinions and data contained in all publications are solely those of the individual author(s) and contributor(s) and not of MDPI and/or the editor(s). MDPI and/or the editor(s) disclaim responsibility for any injury to people or property resulting from any ideas, methods, instructions or products referred to in the content. |
© 2023 by the authors. Licensee MDPI, Basel, Switzerland. This article is an open access article distributed under the terms and conditions of the Creative Commons Attribution (CC BY) license (https://creativecommons.org/licenses/by/4.0/).
Share and Cite
Jin, L.; Wang, S.; Guo, J.; Li, H.; Tian, X. Performance Study of Gravity-Type Heat Pipe Applied to Fuel Cell Heat Dissipation. Energies 2023, 16, 563. https://doi.org/10.3390/en16010563
Jin L, Wang S, Guo J, Li H, Tian X. Performance Study of Gravity-Type Heat Pipe Applied to Fuel Cell Heat Dissipation. Energies. 2023; 16(1):563. https://doi.org/10.3390/en16010563
Chicago/Turabian StyleJin, Lei, Shaohua Wang, Jiachao Guo, Haopeng Li, and Xiaoliang Tian. 2023. "Performance Study of Gravity-Type Heat Pipe Applied to Fuel Cell Heat Dissipation" Energies 16, no. 1: 563. https://doi.org/10.3390/en16010563
APA StyleJin, L., Wang, S., Guo, J., Li, H., & Tian, X. (2023). Performance Study of Gravity-Type Heat Pipe Applied to Fuel Cell Heat Dissipation. Energies, 16(1), 563. https://doi.org/10.3390/en16010563
